The Application of Computed Tomography to Study the Soil Porosity of Mountain Red Earth
Abstract
1. Introduction
2. Materials and Methods
2.1. Study Site and Sampling
2.2. X-ray CT Scanning
2.3. Image Processing
2.4. Computational Method
3. Results and Discussion
3.1. Parameter Quantization
3.2. Fractal Characteristics of Pores
3.3. The Relationship between the Parameters of Pores
3.4. Three-Dimensional Morphology of Pores
4. Conclusions
- (1)
- The study used CT scanning to non-destructively examine Mountain Red Earth columns. Analyses showed a linear decrease in pore area percentage with depth. Pore roundness fluctuated more, and the total pore count initially increased, then decreased. Micropores were most prevalent, while medium and large pores were fewer, with more large pores in the topsoil. The box-counting dimension effectively highlighted the heterogeneity and complexity of soil pores, decreasing linearly with depth.
- (2)
- In this study, it was found that the soil predominantly consisted of small pores, which generally indicate high aggregate stability. Stable aggregates are formed by the interaction of soil particles with organic matter and clay minerals. While small pores help maintain aggregate stability and enhance soil structure, an excessive amount can make the soil more prone to erosion. Additionally, soil porosity decreases with depth, leading to reduced structural stability, limited water infiltration, restricted root growth, and lower organic matter content, all of which increase erosion risks. Therefore, soil management must consider porosity changes and their impact on erosion.
- (3)
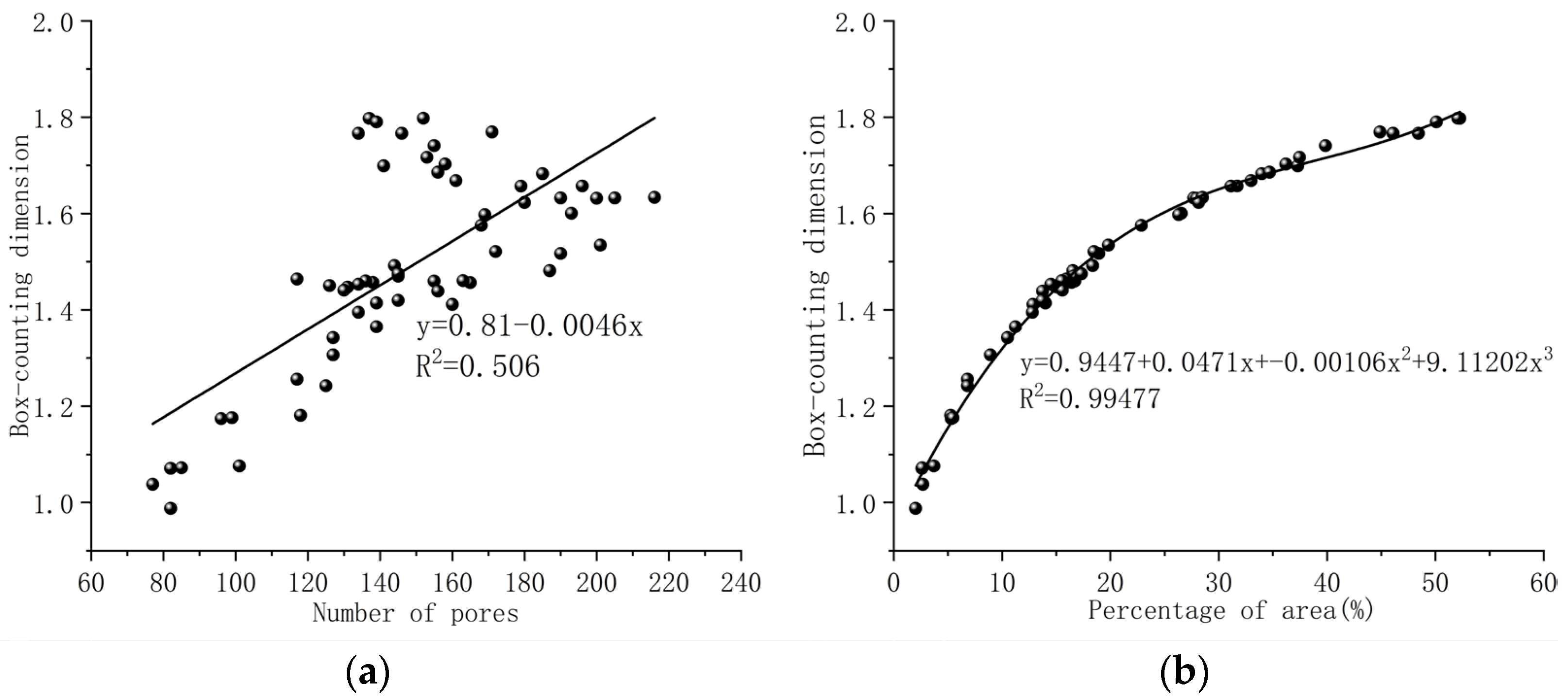
- The correlation analysis of quantified pore parameters indicates that as depth increases, there is no direct relationship between pore area percentage and roundness. However, the number of pores does affect roundness values. Both the number of pores and the ratio of pore area to box-counting dimension exhibit a clear linear positive correlation, with the linear influence of pore area on the box-counting dimension being particularly distinct. Meanwhile, there is a negative correlation between the box-counting dimension and roundness.
- (4)
- The 3D visualization reconstruction using Avizo effectively reconstructs the pore structure of Mountain Red Earth. The results indicate that pores are mainly concentrated in the upper soil column, distributed in an interconnected pattern with few isolated pores. The pore scale decreases significantly with depth, showing clear differences between the top and bottom surfaces, consistent with 2D slice observations.
- (5)
- CT scanning and 3D visualization successfully reconstructed the morphology of Mountain Red Earth from various perspectives. This demonstrates that CT non-destructive testing effectively observes and characterizes its pore structure qualitatively and quantitatively.
Author Contributions
Funding
Institutional Review Board Statement
Informed Consent Statement
Data Availability Statement
Conflicts of Interest
References
- Ju, X.; Gao, L.; She, D.; Chen, Y. Impacts of the soil pore structure on infiltration characteristics at the profile scale in the red soil region. Soil Tillage Res. 2024, 236, 105922. [Google Scholar] [CrossRef]
- Lin, Z.; Huang, W.; Liao, D.; Zhang, Y. Sediment production process and hydraulic characteristics of ephemeral gully erosion in granite hilly area. Catena 2024, 210, 105899. [Google Scholar] [CrossRef]
- Wang, X.; Li, J.; Wang, X.; Zhang, Y. Study on strength and microstructure of red clay reinforced by F1 ionic soil stabilizer. Appl. Sci. 2022, 12, 9831. [Google Scholar] [CrossRef]
- Lu, Z.; Zhou, Y.; Li, Y.; Wu, Y. Effects of partial substitution of chemical fertilizer with organic manure on the activity of enzyme and soil bacterial communities in the mountain red soil. Front. Microbiol. 2023, 14, 1234904. [Google Scholar] [CrossRef]
- Wang, Y.; Li, K.; Li, J.; Chen, Y. Influence of soil particle size on the engineering properties and microstructure of a red clay. Appl. Sci. 2021, 11, 10887. [Google Scholar] [CrossRef]
- Deng, K.; Zhu, Y.; Liu, Z.; Wu, Y. Effects of crop growth and surface microtopography on runoff and soil losses in the red soil region of southern China. Catena 2024, 238, 107894. [Google Scholar] [CrossRef]
- Liu, Z.; Deng, K.; Zheng, H.; Wang, Y. Effects of tillage practices on runoff and soil losses in response to different crop growth stages in the red soil region of southern China. J. Soils Sediments 2024, 24, 2199–2212. [Google Scholar] [CrossRef]
- Huang, F.; Wei, X.; Zhu, T.; Liu, Y. Insights into distribution of soil available heavy metals in karst area and its influencing factors in Guilin, southwest China. Forests 2021, 12, 609. [Google Scholar] [CrossRef]
- Zhao, Y.; Hu, X.; Li, X. Analysis of the intra-aggregate pore structures in three soil types using X-ray computed tomography. Catena 2020, 193, 104622. [Google Scholar] [CrossRef]
- Zhu, X.; Liang, Y.; Cao, L.; Liu, Y. Pore characteristics of physical crust samples from two typical erodible soils in southern China. Eur. J. Soil Sci. 2022, 73, e13234. [Google Scholar] [CrossRef]
- Han, Y.; Fan, Y.; Xin, Z.; Zhang, Y. Effects of wetting rate and simulated rain duration on soil crust formation of red loam. Environ. Earth Sci. 2016, 75, 1–9. [Google Scholar] [CrossRef]
- Wilson, G.V.; Zhang, T.; Wells, R.R.; Yang, Y. Consolidation effects on relationships among soil erosion properties and soil physical quality indicators. Soil Tillage Res. 2020, 198, 104550. [Google Scholar] [CrossRef]
- Zhang, S.Y.; He, B.; Hao, B.; Chen, Y. Quantification of red soil macropores affected by slope erosion and sediment using computed tomography. Vadose Zone J. 2023, 22, e20276. [Google Scholar] [CrossRef]
- Liu, J.; Chen, X.; Qin, Z.; Wang, Y. Soil pore structure and water movement characteristics of sugarcane field under the influence of two typical tillage methods. J. Soil Water Conserv. 2023, 37, 237–245. (In Chinese) [Google Scholar]
- Shen, S.; Liu, Z.; Lv, Y. Effects of different planting patterns on soil microstructure in greenhouse. Soils 2016, 48, 355–360. (In Chinese) [Google Scholar]
- Zhou, H.; Li, B.; Lv, Y.; Wu, Y. Multifractal characteristics of soil pore structure under different tillage systems. Acta Pedol. Sinica 2010, 47, 1094–1100. (In Chinese) [Google Scholar] [CrossRef]
- Wang, K.; Zhang, R.D. Heterogeneous soil water flow and macropores described with combined tracers of dye and iodine. J. Hydrol. 2011, 397, 105–117. [Google Scholar] [CrossRef]
- Bradley, S.; Ghimire, C. Design of an ultrasound sensing system for estimation of the porosity of agricultural soils. Sensors 2024, 24, 2266. [Google Scholar] [CrossRef]
- Kim, S.Y.; Chun, J.K.; Yeo, J.Y.; Lee, J. Estimation of soil porosity in mine tailing using parameters from instrumented oedometer test. Eng. Geol. 2023, 317, 107065. [Google Scholar] [CrossRef]
- de Oliveira JA, T.; Cássaro FA, M.; Pires, L.F. Estimating soil porosity and pore size distribution changes due to wetting-drying cycles by morphometric image analysis. Soil Tillage Res. 2021, 205, 104814. [Google Scholar] [CrossRef]
- Liu, B.; Fan, H.; Jiang, Y.; Zhang, Y. Evaluation of soil macro-aggregate characteristics in response to soil macropore characteristics investigated by X-ray computed tomography under freeze-thaw effects. Soil Tillage Res. 2023, 225, 105559. [Google Scholar] [CrossRef]
- Budhathoki, S.; Lamba, J.; Srivastava, P.; Singh, R. Impact of land use and tillage practice on soil macropore characteristics inferred from X-ray computed tomography. Catena 2022, 210, 105886. [Google Scholar] [CrossRef]
- Tian, M.; Qin, S.; Whalley, W.R.; Zhang, Y. Changes of soil structure under different tillage management assessed by bulk density, penetrometer resistance, water retention curve, least limiting water range and X-ray computed tomography. Soil Tillage Res. 2022, 221, 105420. [Google Scholar] [CrossRef]
- Yang, Y.; Wu, J.; Zhao, S.; Liu, Y. Impact of long-term sub-soiling tillage on soil porosity and soil physical properties in the soil profile. Land Degrad. Dev. 2021, 32, 2892–2905. [Google Scholar] [CrossRef]
- Pessoa, T.N.; Cooper, M.; Nunes, M.R.; Ribeiro, A. 2D and 3D techniques to assess the structure and porosity of Oxisols and their correlations with other soil properties. Catena 2022, 210, 105899. [Google Scholar] [CrossRef]
- Shaheb, M.R.; Misiewicz, P.A.; Godwin, R.J.; Zhang, Y. A quantification of soil porosity using X-ray computed tomography of a drummer silty clay loam soil. In Proceedings of the 2020 ASABE Annual International Virtual Meeting, Online, 13–15 July 2020; American Society of Agricultural and Biological Engineers: St. Joseph, MI, USA, 2020; pp. 1–10. [Google Scholar] [CrossRef]
- Pires, L.F.; Ferreira, T.R.; Cássaro FA, M.; Almeida, D. A comparison of the differences in soil structure under long-term conservation agriculture relative to a secondary forest. Agriculture 2022, 12, 1783. [Google Scholar] [CrossRef]
- Ivonin, D.; Kalnin, T.; Dembovetskiy, A.; Kim, S.Y. Experimental data showing the effect of wetting on soil structure transformations: 3D images. Data Brief 2022, 41, 107928. [Google Scholar] [CrossRef]
- Ghardaghloo, B.; Price, J.S.; Rezanezhad, F.; Quinton, W.L. Evaluating the hydraulic and transport properties of peat soil using pore network modeling and X-Ray micro computed tomography. J. Hydrol. 2018, 561, 494–508. [Google Scholar] [CrossRef]
- Zeng, F.; Dong, C. Pore structure characteristics of reservoirs of Xihu Sag in East China Sea Shelf Basin based on dual resolution X-ray computed tomography and their influence on permeability. Energy 2022, 239, 122386. [Google Scholar] [CrossRef]
- Singh, N.; Kumar, S.; Udawatta, R.P.; Anderson, S.H.; de Jonge, L.W.; Katuwal, S. X-ray micro-computed tomography characterized soil pore network as influenced by long-term application of manure and fertilizer. Geoderma 2021, 385, 114872. [Google Scholar] [CrossRef]
- Yu, Q.; Yan, X.; Wang, Q.; Yang, T.; Kong, Y.; Huang, X.; Mehmood, Q. X-ray computed tomography-based evaluation of the physical properties and compressibility of soil in a reclamation area. Geoderma 2020, 375, 114524. [Google Scholar] [CrossRef]
- Zhang, L.; Wang, J.; Xiao, M.; Chen, Y. Variations of aggregates and organic matter in soil profile during degradation process of mountainous red soil in karst area of East Yunnan Province. Bull. Soil Water Conserv. 2015, 35, 53–58. (In Chinese) [Google Scholar]
- Wang, C.; Wu, X.; Zhang, M. Analysis of maintenance case of trouble of Siemens Definition AS CT. China Med. Equip. 2023, 38, 175–180. (In Chinese) [Google Scholar]
- Yang, C. The Research on Medical Image Segmentation Algorithm Based on Level Set. Master’s Thesis, Chongqing University of Posts and Telecommunications, Chongqing, China, 2021. (In Chinese). [Google Scholar]
- Heeraman, D.A.; Hopmans, J.W.; Clausnitzer, V. Three-dimensional imaging of plant roots in situ with X-ray computed tomography. Plant Soil 1997, 189, 167–179. [Google Scholar] [CrossRef]
- Yu, H.; Dong, Z.; Yang, J.Y.; Zhang, Y. Study on soil macropore characteristics and infiltration capacity of different land use types based on CT scanning. J. Arid. Land Resour. Environ. 2023, 37, 55–61. (In Chinese) [Google Scholar]
- Luo, L.; Lin, H.; Li, S. Quantification of 3-D soil macropore networks in different soil types and land uses using computed tomography. J. Hydrol. 2010, 393, 53–64. [Google Scholar] [CrossRef]
- Feng, J.; Hao, Z.C. Distribution of soil macropores characterized by CT. Adv. Water Sci. 2002, 5, 611–617. (In Chinese) [Google Scholar]
- Carpinteri, A.; Lacidogna, G.; Pugno, N. "Scaling of energy dissipation in crushing and fragmentation: A fractal and statistical analysis based on particle size distribution. Int. J. Fract. 2004, 129, 131–139. [Google Scholar] [CrossRef]
- Wu, Z.; Peng, Z.C.; Hou, F.J. Response of main plant population pattern to winter grazing in alpine steppe of the Qilian Mountains. Acta Ecol. Sin. 2019, 39, 8010–8020. (In Chinese) [Google Scholar]
- Feng, J.; Yu, J.Y. Effect on soil wetting pattern caused by emitter discharge and spacing for layered soil in sunshine greenhouse. J. Irrig. Drain. 2005, 4, 26–28+40. (In Chinese) [Google Scholar]
- Tao, G.L. Fractal Approach on Pore Structure of Rock and Oil Porous Media and Its Applications. Master’s Thesis, Wuhan University of Technology, Wuhan, China, 2010. (In Chinese). [Google Scholar]
- Zhu, H.; Ji, C.C. Fractal Theory and Its Applications; Science Press: Beijing, China, 2011. (In Chinese) [Google Scholar]
- Lü, Y.Z.; Li, B.G. (Eds.) Soil Science; China Agricultural Press: Beijing, China, 2006. (In Chinese) [Google Scholar]
- Sun, J.R. Simulation Study of Infiltration Process in Heterogeneous Porous Media. Master’s Thesis, China University of Mining and Technology, Xuzhou, China, 2023. (In Chinese). [Google Scholar]

















| Pore Parameters | Average | Standard Deviation (SD) | Box-Counting Dimension (D) | Number of Pores | Sphericity | Percentage of Pore Area |
|---|---|---|---|---|---|---|
| Box-counting Dimension (D) | 1.487 | 0.210 | 1 | |||
| Number of Pores | 147.793 | 32.690 | 0.711 ** | 1 | ||
| Sphericity | 0.840 | 0.021 | −0.545 ** | −0.565 ** | 1 | |
| Percentage of Pore Area | 21.547 | 13.692 | 0.934 ** | 0.507 ** | −0.357 ** | 1 |
Disclaimer/Publisher’s Note: The statements, opinions and data contained in all publications are solely those of the individual author(s) and contributor(s) and not of MDPI and/or the editor(s). MDPI and/or the editor(s) disclaim responsibility for any injury to people or property resulting from any ideas, methods, instructions or products referred to in the content. |
© 2024 by the authors. Licensee MDPI, Basel, Switzerland. This article is an open access article distributed under the terms and conditions of the Creative Commons Attribution (CC BY) license (https://creativecommons.org/licenses/by/4.0/).
Share and Cite
Ye, H.; Xu, Z.; Zha, L.; Chen, Y. The Application of Computed Tomography to Study the Soil Porosity of Mountain Red Earth. Appl. Sci. 2024, 14, 9050. https://doi.org/10.3390/app14199050
Ye H, Xu Z, Zha L, Chen Y. The Application of Computed Tomography to Study the Soil Porosity of Mountain Red Earth. Applied Sciences. 2024; 14(19):9050. https://doi.org/10.3390/app14199050
Chicago/Turabian StyleYe, Hongchen, Zongheng Xu, Linglong Zha, and Yunying Chen. 2024. "The Application of Computed Tomography to Study the Soil Porosity of Mountain Red Earth" Applied Sciences 14, no. 19: 9050. https://doi.org/10.3390/app14199050
APA StyleYe, H., Xu, Z., Zha, L., & Chen, Y. (2024). The Application of Computed Tomography to Study the Soil Porosity of Mountain Red Earth. Applied Sciences, 14(19), 9050. https://doi.org/10.3390/app14199050

