An Integrated Taylor Expansion and Least Squares Approach to Enhanced Acoustic Wave Staggered Grid Finite Difference Modeling
Abstract
Featured Application
Abstract
1. Introduction
2. Basic Method
3. Analysis of Numerical Simulations
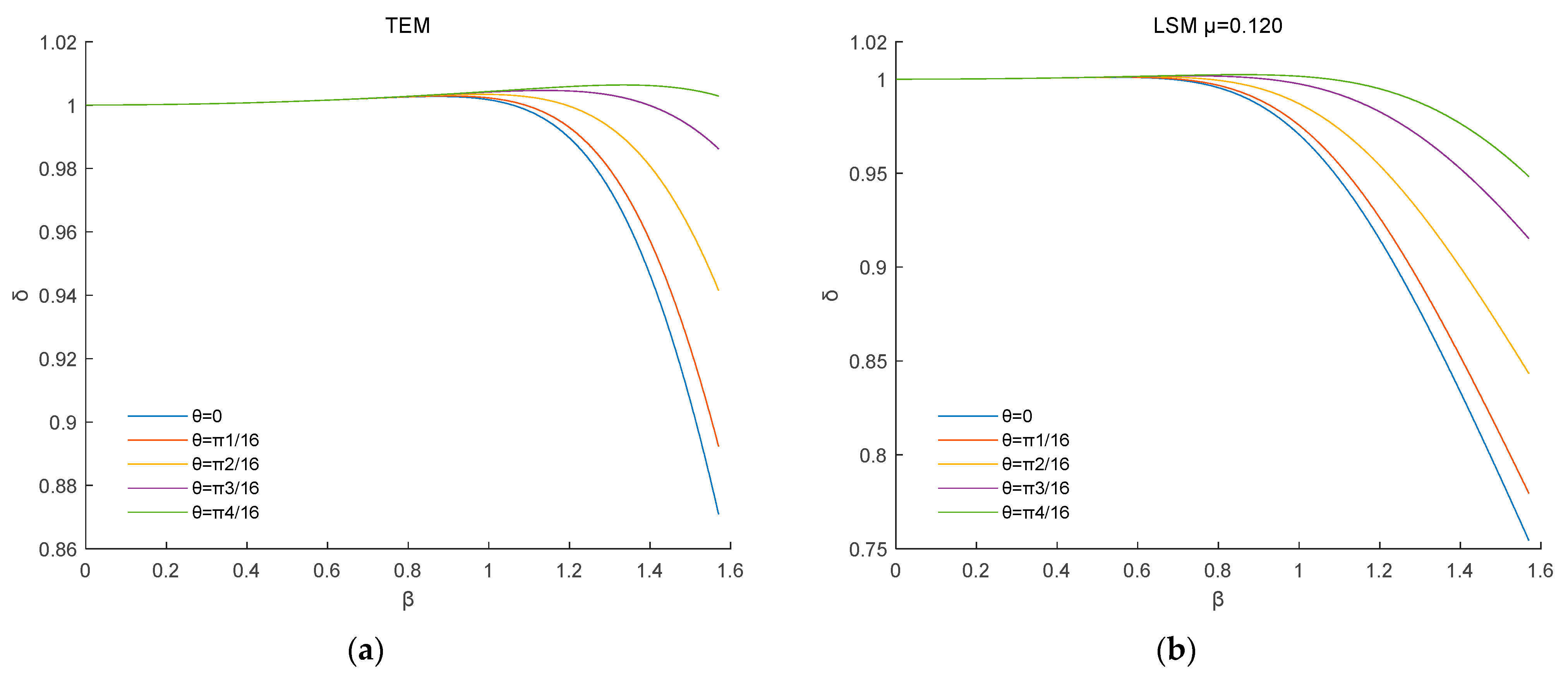
3.1. Accuracy Analysis
3.2. Dispersion Analysis
3.3. Stability Analysis
4. Numerical Examples
- (1)
- In the small wavenumber range, the SGFD based on TLM(L = 1) demonstrates significantly lesser numerical dispersion compared to the TEM and LSM methods, with TEM showing higher numerical accuracy than LSM (Figure 6a–c).
- (2)
- In the medium wavenumber range, the TLM(L = 1) SGFD still exhibits markedly lower numerical dispersion relative to both TEM and LSM, with LSM achieving better numerical accuracy than TEM (Figure 6a,d,e).
- (3)
- In the wide wavenumber range, the numerical accuracy of the TEM-based SGFD with M = 7 is substantially inferior to those of the LSM- and TLM(L = 1)-based schemes. Furthermore, wavefield snapshots from LSM and TLM(L = 1) appear indistinct (Figure 6a,f,g).
5. Conclusions
Author Contributions
Funding
Data Availability Statement
Conflicts of Interest
References
- Virieux, J. P-SV wave propagation in heterogeneous media: Velocity-stress finite-difference method. Geophysics 1986, 51, 889–901. [Google Scholar] [CrossRef]
- Levander, A.R. Fourth-order finite-difference P-SV seismograms. Geophysics 1988, 53, 1425–1436. [Google Scholar] [CrossRef]
- Smith, W.D.; Bolt, B.A. Rayleigh’s principle in finite element calculations of seismic wave response. Geophys. J. R. Astron. Soc. 1976, 45, 647–655. [Google Scholar] [CrossRef]
- Qu, Y.L.; Zhang, J.Q.; Eisenträger, S.; Song, C.M. A time-domain approach for the simulation of three-dimensional seismic wave propagation using the scaled boundary finite element method. Soil Dyn. Earthq. Eng. 2022, 152, 19. [Google Scholar] [CrossRef]
- Furumura, T.; Kennett, B.L.N.; Furumura, M. Seismic wavefield calculation for laterally heterogeneous whole earth models using the pseudospectral method. Geophys. J. Int. 1998, 135, 845–860. [Google Scholar] [CrossRef]
- Chu, C.L.; Macy, B.K.; Anno, P.D. Pure acoustic wave propagation in transversely isotropic media by the pseudospectral method. Geophys. Prospect. 2013, 61, 556–567. [Google Scholar] [CrossRef]
- Kindelan, M.; Kamel, A.; Sguazzero, P. On the construction and efficiency of staggered numerical differentiators for the wave equation. Geophysics 1990, 55, 107–110. [Google Scholar] [CrossRef]
- Tam, C.K.W.; Webb, J.C. Dispersion-relation-preserving finite difference schemes for computational acoustics. J. Comput. Phys. 1993, 107, 262–281. [Google Scholar] [CrossRef]
- Operto, S.; Virieux, J.; Amestoy, P.; L’Excellent, J.Y.; Giraud, L.; Ali, H.B.H. 3D finite-difference frequency-domain modeling of visco-acoustic wave propagation using a massively parallel direct solver: A feasibility study. Geophysics 2007, 72, SM195–SM211. [Google Scholar]
- Li, D.; Li, K.R.; Liao, W.Y. A combined compact finite difference scheme for solving the acoustic wave equation in heterogeneous media. Numer. Methods Partial Differ. Equ. 2023, 39, 4062–4086. [Google Scholar] [CrossRef]
- Liang, W.Q.; Yang, C.C.; Wang, Y.F.; Liu, H.W. Acoustic wave equation modeling with new time-space domain finite difference operators. Chin. J. Geophys.-Chin. Ed. 2013, 56, 3497–3506. [Google Scholar]
- Park, B.; Ha, W. Efficient 3D Acoustic Wave Propagation Modeling using a Cell-based Finite Difference Method. Geophys. Geophys. Explor. 2019, 22, 56–61. [Google Scholar]
- Malkoti, A.; Vedanti, N.; Tiwari, R.K. A highly efficient implicit finite difference scheme for acoustic wave propagation. J. Appl. Geophys. 2019, 161, 204–215. [Google Scholar] [CrossRef]
- Robertsson, J.O.A. A numerical free-surface condition for elastic/viscoelastic finite-difference modeling in the presence of topography. Geophysics 1996, 61, 1921–1934. [Google Scholar] [CrossRef]
- Graves, R.W. Simulating seismic wave propagation in 3D elastic media using staggered-grid finite differences. Bull. Seismol. Soc. Am. 1996, 86, 1091–1106. [Google Scholar] [CrossRef]
- Pitarka, A. 3D elastic finite-difference modeling of seismic motion using staggered grids with nonuniform spacing. Bull. Seismol. Soc. Am. 1999, 89, 54–68. [Google Scholar] [CrossRef]
- Bohlen, T.; Saenger, E.H. Accuracy of heterogeneous staggered-grid finite-difference modeling of Rayleigh waves. Geophysics 2006, 71, T109–T115. [Google Scholar] [CrossRef]
- Saenger, E.H.; Shapiro, S.A. Effective velocities in fractured media: A numerical study using the rotated staggered finite-difference grid. Geophys. Prospect. 2002, 50, 183–194. [Google Scholar] [CrossRef]
- Zheng, Y.P.; Cheng, F.; Liu, J.P.; Fan, Z.; Han, B.K.; Wang, J. Elastic full-wave field simulation in 3D tunnel space with the variable staggered-grid finite-difference method in cylindrical coordinates. J. Appl. Geophys. 2023, 213, 11. [Google Scholar] [CrossRef]
- Zhang, C.L.; Fan, L.Y.; Chen, G.T.; Zeng, X. Efficient temporal high-order staggered-grid scheme with a dispersion-relation-preserving method for the scalar wave modeling. Front. Earth Sci. 2023, 11, 15. [Google Scholar] [CrossRef]
- Jin, C.; Zhou, B.; Riahi, M.K.; Zemerly, M.J.; Cao, D.P. On the numerical resolution of the second-order viscoacoustic and viscoelastic anisotropic wave equations using the recursive convolution method. Comput. Geosci. 2024, 184, 12. [Google Scholar] [CrossRef]
- Araujo, E.S.; Pestana, R.C. Time-stepping wave-equation solution for seismic modeling using a multiple-angle formula and the Taylor expansion. Geophysics 2019, 84, T299–T311. [Google Scholar] [CrossRef]
- Liu, Y.; Sen, M.K. An implicit staggered-grid finite-difference method for seismic modelling. Geophys. J. Int. 2009, 179, 459–474. [Google Scholar] [CrossRef]
- Liu, Y.; Sen, M.K. A practical implicit finite-difference method: Examples from seismic modelling. J. Geophys. Eng. 2009, 6, 231–249. [Google Scholar] [CrossRef]
- Yang, D.H.; Song, G.J.; Chen, S.; Hou, B.Y. An improved nearly analytical discrete method: An efficient tool to simulate the seismic response of 2-D porous structures. J. Geophys. Eng. 2007, 4, 40–52. [Google Scholar] [CrossRef]
- Chen, C.P.; Liu, H.; Wang, Z.Y.; Bai, W.L.; Zhang, C.F.; Meng, Z.R. Optimizing staggered-grid finite-difference method based on the least-squares combination of the square window function. Appl. Geophys. 2021, 12, 2021. [Google Scholar] [CrossRef]
- Liu, Y. Globally optimal finite-difference schemes based on least squares. Geophysics 2013, 78, T113–T132. [Google Scholar] [CrossRef]
- Liu, Y. Optimal staggered-grid finite-difference schemes based on least-squares for wave equation modelling. Geophys. J. Int. 2014, 197, 1033–1047. [Google Scholar] [CrossRef]
- Wang, E.J.; Liu, Y. An implicit spatial and high-order temporal finite difference scheme for 2D acoustic modelling. Explor. Geophys. 2018, 49, 187–201. [Google Scholar] [CrossRef]
- Li, B.; Liu, Y.; Sen, M.K.; Ren, Z.M. Time-space-domain mesh-free finite difference based on least squares for 2D acoustic-wave modeling. Geophysics 2017, 82, T143–T157. [Google Scholar] [CrossRef]
- Yan, H.; Yang, L.; Li, X.Y. Optimal staggered-grid finite-difference schemes by combining Taylor-series expansion and sampling approximation for wave equation modeling. J. Comput. Phys. 2016, 326, 913–930. [Google Scholar] [CrossRef]
- Yang, L.; Yan, H.Y.; Liu, H. Optimal implicit staggered-grid finite-difference schemes based on the sampling approximation method for seismic modelling. Geophys. Prospect. 2016, 64, 595–610. [Google Scholar] [CrossRef]
- Yang, L.; Yan, H.Y.; Liu, H. An optimal implicit staggered-grid finite-difference scheme based on the modified Taylor-series expansion with minimax approximation method for elastic modeling. J. Appl. Geophys. 2017, 138, 161–171. [Google Scholar] [CrossRef]
- Yang, L.; Yan, H.Y.; Liu, H. Optimal rotated staggered-grid finite-difference schemes for elastic wave modeling in TTI media. J. Appl. Geophys. 2015, 122, 40–52. [Google Scholar] [CrossRef]
- Zhang, M.; Dong, S.H.; Huang, Y.P.; Wu, H.B.; Chen, G.W.; Weil, M.D.; Yang, W.Q. Enhanced Difference Algorithm for Seismic Modeling Based on Fruit Fly Optimization. J. Environ. Eng. Geophys. 2017, 22, 353–364. [Google Scholar] [CrossRef]
- Liu, Y.; Sen, M.K. Scalar Wave Equation Modeling with Time-Space Domain Dispersion-Relation-Based Staggered-Grid Finite-Difference Schemes. Bull. Seismol. Soc. Am. 2011, 101, 141–159. [Google Scholar] [CrossRef]











| TEM | LSM | TLM N = 7 | ||||||
|---|---|---|---|---|---|---|---|---|
| D = 1 | D = 2 | D = 3 | D = 4 | D = 5 | D = 6 | |||
| 1.2286062 × 100 | 1.1448988 × 100 | 1.2512730 × 100 | 4.2214752 × 10−6 | −1.2914842 × 10−7 | 7.7676554 × 10−10 | 6.1198957 × 10−10 | −4.4335040 × 10−9 | |
| −1.0238385 × 10−1 | −4.3880793 × 10−2 | −1.2010736 × 10−1 | 6.6557309 × 10−1 | 7.1492736 × 10−1 | 8.1965220 × 10−1 | 8.1975953 × 10−1 | 8.1907082 × 10−1 | |
| 2.0476770 × 10−2 | −7.1771591 × 10−3 | 3.1385941 × 10−2 | −2.3172387 × 10−1 | −3.1714882 × 10−1 | −4.9241107 × 10−1 | −4.9259035 × 10−1 | −4.9144249 × 10−1 | |
| −4.1789327 × 10−3 | 3.8776041 × 10−3 | −9.4445332 × 10−3 | −1.1920701 × 10−2 | 6.0284696 × 10−2 | 2.0136316 × 10−1 | 2.0150706 × 10−1 | 2.0058877 × 10−1 | |
| 6.8945355 × 10−3 | −3.6490319 × 10−4 | 2.5921535 × 10−3 | 4.4363980 × 10−2 | 9.1482349 × 10−3 | −5.5507989 × 10−2 | −5.5573689 × 10−2 | −5.5156284 × 10−2 | |
| −7.6922503 × 10−4 | −1.5312012 × 10−4 | −5.2990094 × 10−4 | −1.6586157 × 10−2 | −7.0123187 × 10−3 | 9.3185364 × 10−3 | 9.3350516 × 10−3 | 9.2307004 × 10−3 | |
| 4.2365148 × 10−5 | 3.4968896 × 10−5 | 5.6202445 × 10−5 | 2.1932841 × 10−3 | 1.0592838 × 10−3 | −7.2118205 × 10−4 | −7.2297230 × 10−4 | −7.1173449 × 10−4 | |
| LSM | TLM N = 7 | ||||||
|---|---|---|---|---|---|---|---|
| D = 1 | D = 2 | D = 3 | D = 4 | D = 5 | D = 6 | ||
| 1.2363710 × 100 | 1.2522201 × 100 | −2.3148995 × 10−1 | 3.0130562 × 10−2 | −1.3085410 × 10−2 | 1.3393886 × 10−2 | −3.4997432 × 10−2 | |
| −1.0836659 × 10−1 | −1.2118526 × 10−1 | 1.0804761 × 100 | 8.5610680 × 10−1 | 8.7556610 × 10−1 | 8.3722285 × 10−1 | 8.4773619 × 10−1 | |
| 2.3987820 × 10−2 | 3.2285409 × 10−2 | −7.4771267 × 10−1 | −5.8558246 × 10−1 | −5.7833450 × 10−1 | −5.3339779 × 10−1 | −5.0864172 × 10−1 | |
| −5.7072692 × 10−3 | −9.9055743 × 10−3 | 3.8646146 × 10−1 | 2.9076352 × 10−1 | 2.7258131 × 10−1 | 2.3673221 × 10−1 | 2.0760886 × 10−1 | |
| 1.1580958 × 10−3 | 2.7421397 × 10−3 | −1.4771885 × 10−1 | −1.0420959 × 10−1 | −9.0438354 × 10−2 | −7.2067572 × 10−2 | −5.7086612 × 10−2 | |
| −1.6802060 × 10−4 | −5.7367368 × 10−4 | 3.8280517 × 10−2 | 2.4410371 × 10−2 | 1.8938298 × 10−2 | 1.3519577 × 10−2 | 9.5537512 × 10−3 | |
| 1.2759096 × 10−5 | 6.7601199 × 10−5 | −5.2477820 × 10−3 | −2.8085473 × 10−3 | −1.8758199 × 10−3 | −1.1773951 × 10−3 | −7.3664336 × 10−4 | |
| LSM | TLM N = 7 | ||||||
|---|---|---|---|---|---|---|---|
| D = 1 | D = 2 | D = 3 | D = 4 | D = 5 | D = 6 | ||
| 1.2568717 × 100 | 1.2570656 × 100 | 1.2809909 × 100 | 1.2126540 × 100 | 1.3771760 × 100 | −2.2839268 × 100 | 1.7189158 × 100 | |
| −1.2578011 × 10−1 | −1.2597111 × 10−1 | −1.4823258 × 10−1 | −8.7507146 × 10−2 | −2.4719150 × 10−1 | 3.2368722 × 100 | −5.8884294 × 10−1 | |
| 3.6484620 × 10−2 | 3.6628674 × 10−2 | 5.4935209 × 10−2 | −9.0723972 × 10−4 | 1.1739883 × 10−1 | −2.5257005 × 100 | 3.5330577 × 10−1 | |
| −1.3230002 × 10−2 | −1.3362141 × 10−2 | −2.7741624 × 10−2 | 1.3489961 × 10−2 | −6.3218984 × 10−2 | 1.3881903 × 100 | −1.4420643 × 10−1 | |
| 4.8454239 × 10−3 | 4.9239528 × 10−3 | 1.4239296 × 10−2 | −1.2542354 × 10−2 | 4.0562524 × 10−2 | −5.1270714 × 10−1 | 3.9652723 × 10−2 | |
| −1.5923039 × 10−3 | −1.6445654 × 10−3 | −7.3176643 × 10−3 | 1.0075938 × 10−2 | −1.6362780 × 10−2 | 1.1320743 × 10−1 | −6.6360963 × 10−3 | |
| 3.5093138 × 10−4 | 3.8568806 × 10−4 | 2.7356030 × 10−3 | −2.9215547 × 10−3 | 2.6819340 × 10−3 | −1.1264382 × 10−2 | 5.1167715 × 10−4 | |
Disclaimer/Publisher’s Note: The statements, opinions and data contained in all publications are solely those of the individual author(s) and contributor(s) and not of MDPI and/or the editor(s). MDPI and/or the editor(s) disclaim responsibility for any injury to people or property resulting from any ideas, methods, instructions or products referred to in the content. |
© 2024 by the authors. Licensee MDPI, Basel, Switzerland. This article is an open access article distributed under the terms and conditions of the Creative Commons Attribution (CC BY) license (https://creativecommons.org/licenses/by/4.0/).
Share and Cite
Zhang, M.; Zhou, L.; Fu, D.; Chen, Z.; Wu, H. An Integrated Taylor Expansion and Least Squares Approach to Enhanced Acoustic Wave Staggered Grid Finite Difference Modeling. Appl. Sci. 2024, 14, 10076. https://doi.org/10.3390/app142110076
Zhang M, Zhou L, Fu D, Chen Z, Wu H. An Integrated Taylor Expansion and Least Squares Approach to Enhanced Acoustic Wave Staggered Grid Finite Difference Modeling. Applied Sciences. 2024; 14(21):10076. https://doi.org/10.3390/app142110076
Chicago/Turabian StyleZhang, Min, Liming Zhou, Daiguang Fu, Zhixue Chen, and Haibo Wu. 2024. "An Integrated Taylor Expansion and Least Squares Approach to Enhanced Acoustic Wave Staggered Grid Finite Difference Modeling" Applied Sciences 14, no. 21: 10076. https://doi.org/10.3390/app142110076
APA StyleZhang, M., Zhou, L., Fu, D., Chen, Z., & Wu, H. (2024). An Integrated Taylor Expansion and Least Squares Approach to Enhanced Acoustic Wave Staggered Grid Finite Difference Modeling. Applied Sciences, 14(21), 10076. https://doi.org/10.3390/app142110076

