Transfer Reconstruction from High-Frequency to Low-Frequency Bridge Responses Under Vehicular Loading with a ResNet
Abstract
1. Introduction
2. Bridge Dynamics in a VBI System and the Data Reconstruction Algorithm
2.1. Dynamic Responses of a Bridge in a Simple VBI System
2.2. Characteristics of Bridge Dynamics in the VBI System
2.3. Signal Processing Methods
2.3.1. An Intercept Method to Separate Vibration Components
- Step 1: The residual data series was segmented into a series of windows, with each window extending to 50% of the subsequent one, as depicted in Figure 4a.
 
- Step 2: The standard deviation (STD) of each window was calculated (as shown in Figure 4b);
 - Step 3: The median of all the STDs was calculated, based on the direct observation that during most of the monitoring periods, there were no vehicles on the bridge.
 - Step 4: Windows with a standard deviation (STD) exceeding the median value were identified and designated with “0”, and the remaining windows were assigned “1”, as illustrated in Figure 4c. If the STD during a window period is higher than the median value, a vehicle is passing the bridge. Otherwise, it is supposed that no vehicles are on the bridge.
 - Step 5: All assigned labels were examined and consecutive pairs of windows identified. The first window in each pair was designated as “1” and the following window as “0”. Subsequently, the initial data point in the second window of each pair was referenced as the “start element,” as demonstrated in Figure 4c. This step marks the start time point of the multiple-vehicle process.
 - Step 6: Similarly, the labels were sequentially reviewed and subsequent sets of two adjacent windows selected. The label “0” was assigned to the first window and “1” to the second window. Then, the first data point in the second window was designated as the “end element,” as shown in Figure 4c. This step marks the end time point of the process of multiple vehicles.
 - Step 7: Subsequently, interpolation between the “start element” and the “end element” was performed using a spline function to generate a smooth curve. This curve was then used to replace the corresponding segment of the original monitoring data, as depicted in Figure 4d. The resulting interpolated curve provides an estimation of the time history of the temperature change-induced responses, isolated from the driving-force-related responses, as illustrated in Figure 4e alongside Figure 3b for comparison.
 - Step 8: Afterward, the temperature change-induced responses were removed from the residual filtered monitoring data by subtraction. The resulting curve isolated the low-frequency driving-force-related structural responses, as portrayed in Figure 4f.
 
2.3.2. Response Reconstruction with a Deep ResNet (Residual Network)
2.3.3. Transfer–Reconstruction Process
3. Finite Element Analysis
3.1. Finite Element Models
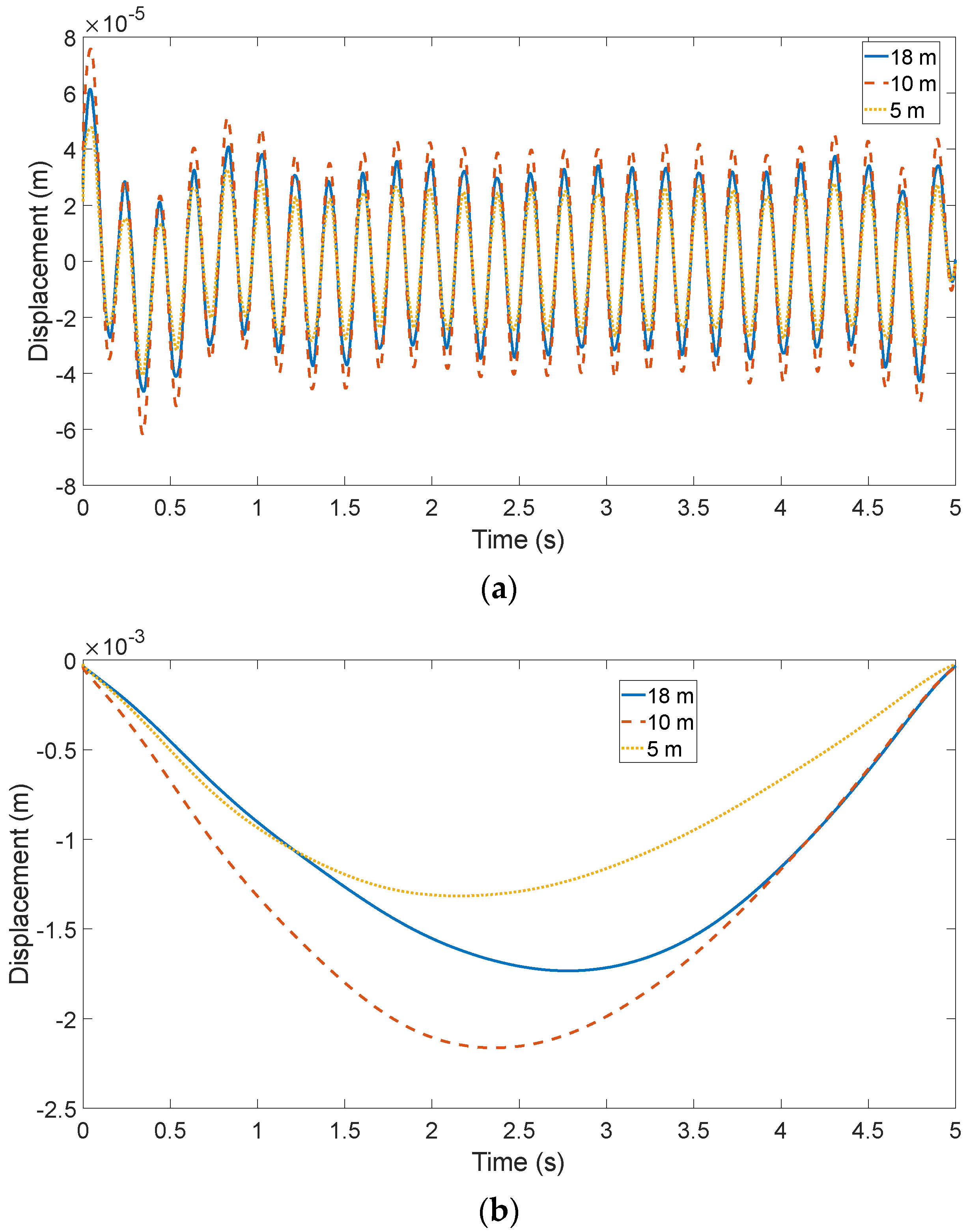
3.2. Validation of the Derived Physical Characteristics
4. Validation with Field Test
4.1. Bridge and Structural Health Monitoring System
4.2. Dataset Configuration
4.3. Data Analysis and Discussion
4.3.1. Validation of the ResNet with High-Frequency Responses
4.3.2. Transfer Reconstruction from High-Frequency to Low-Frequency Strain
4.3.3. Discussion on Transfer Reconstruction with Time-Series Prediction Method
5. Conclusions
- (1).
 - The theoretical analysis confirms that the transfer matrix for high-frequency responses is identical to that for low-frequency responses. This matrix is independent of time and remains stable under changing traffic conditions, which can modify the external forces acting on the bridge, and under varying air temperatures, which can influence the stiffness of the bridge’s structural materials.
 - (2).
 - A series of numerical models was meticulously constructed. The low-frequency bridge displacement at a designated cross-section was accurately reconstructed by multiplying the regressed transfer matrix for high-frequency displacements and the low-frequency displacement input. This reconstructed outcome closely aligned with the simulation results, thereby substantiating the validity of the derived physical characteristics. Furthermore, it was confirmed that the transfer matrix maintained its constancy even amidst varying traffic conditions and alterations in the global stiffness of the bridge.
 - (3).
 - Through validation with monitoring data from a real continuousbridge, an example of the aforementioned constant transfer matrix representing physical characteristics was confirmed. The reconstructed low-frequency bridge responses were in close agreement with the actual values, thereby also validating the effectiveness of the proposed algorithm. Moreover, comparisons with a typical time-series prediction method such as LSTM suggest that the proposed method exhibits superior robustness.
 
Author Contributions
Funding
Institutional Review Board Statement
Informed Consent Statement
Data Availability Statement
Conflicts of Interest
Appendix A. Derivation of the Transfer Matrix of Equation (12) [19]
References
- RAC Foundation Report: Bridge Maintenance in Great Britain in 2016–2017. 2018. Available online: http://www.racfoundation.org/media-centre/bridge-maintenance-backlog-grows (accessed on 1 August 2024).
 - Avci, O.; Abdeljaber, O.; Kiranyaz, S.; Hussein, M.; Gabbouj, M.; Inman, D.J. A Review of Vibration-Based Damage Detection in Civil Structures: From Traditional Methods to Machine Learning and Deep Learning Applications. Mech. Syst. Signal Process. 2021, 147, 107077. [Google Scholar] [CrossRef]
 - He, J.; Guan, X.; Liu, Y. Structural Response Reconstruction Based on Empirical Mode Decomposition in Time Domain. Mech. Syst. Signal Process. 2012, 28, 348–366. [Google Scholar] [CrossRef]
 - Zhuang, Y.; Qin, J.; Chen, B.; Dong, C.; Xue, C.; Easa, S.M. Data Loss Reconstruction Method for a Bridge Weigh-in-Motion System Using Generative Adversarial Networks. Sensors 2022, 22, 858. [Google Scholar] [CrossRef] [PubMed]
 - Sun, H.; Burton, H.; Wallace, J. Reconstructing Seismic Response Demands across Multiple Tall Buildings Using Kernel-Based Machine Learning Methods. Struct. Control. Health Monit. 2019, 26, e2359. [Google Scholar] [CrossRef]
 - Li, J.; Hao, H.; Chen, Z. Damage Identification and Optimal Sensor Placement for Structures under Unknown Traffic-Induced Vibrations. J. Aerosp. Eng. 2017, 30, B4015001. [Google Scholar] [CrossRef]
 - Wan, H.-P.; Ni, Y.-Q. Bayesian Multi-Task Learning Methodology for Reconstruction of Structural Health Monitoring Data. Struct. Health Monit. 2019, 18, 1282–1309. [Google Scholar] [CrossRef]
 - Candes, E.J.; Wakin, M.B. An Introduction to Compressive Sampling. IEEE Signal Process. Mag. 2008, 25, 21–30. [Google Scholar] [CrossRef]
 - Bao, Y.; Li, H.; Sun, X.; Yu, Y.; Ou, J. Compressive Sampling–Based Data Loss Recovery for Wireless Sensor Networks Used in Civil Structural Health Monitoring. Struct. Health Monit. 2013, 12, 78–95. [Google Scholar] [CrossRef]
 - Moeinifard, P.; Rajabi, M.S.; Bitaraf, M. Lost Vibration Test Data Recovery Using Convolutional Neural Network: A Case Study. arXiv 2022, arXiv:2204.05440. [Google Scholar]
 - Lei, X.; Sun, L.; Xia, Y. Lost Data Reconstruction for Structural Health Monitoring Using Deep Convolutional Generative Adversarial Networks. Struct. Health Monit. 2021, 20, 2069–2087. [Google Scholar] [CrossRef]
 - Fan, G.; Li, J.; Hao, H. Lost Data Recovery for Structural Health Monitoring Based on Convolutional Neural Networks. Struct. Control. Health Monit. 2019, 26, e2433. [Google Scholar] [CrossRef]
 - Oh, B.K.; Glisic, B.; Kim, Y.; Park, H.S. Convolutional Neural Network–Based Data Recovery Method for Structural Health Monitoring. Struct. Health Monit. 2020, 19, 1821–1838. [Google Scholar] [CrossRef]
 - Kim, S.G.; Chae, Y.H.; Seong, P.H. Development of a Generative-Adversarial-Network-Based Signal Reconstruction Method for Nuclear Power Plants. Ann. Nucl. Energy 2020, 142, 107410. [Google Scholar] [CrossRef]
 - Li, L.; Zhou, H.; Liu, H.; Zhang, C.; Liu, J. A Hybrid Method Coupling Empirical Mode Decomposition and a Long Short-Term Memory Network to Predict Missing Measured Signal Data of SHM Systems. Struct. Health Monit. 2021, 20, 1778–1793. [Google Scholar] [CrossRef]
 - Wang, Z.; Li, A.; Zhang, W.; Zhang, Y. Long-Term Missing Wind Data Recovery Using Free Access Databases and Deep Learning for Bridge Health Monitoring. J. Wind. Eng. Ind. Aerodyn. 2022, 230, 105201. [Google Scholar] [CrossRef]
 - Chen, Z.; Li, H.; Bao, Y. Analyzing and Modeling Inter-Sensor Relationships for Strain Monitoring Data and Missing Data Imputation: A Copula and Functional Data-Analytic Approach. Struct. Health Monit. 2019, 18, 1168–1188. [Google Scholar] [CrossRef]
 - Yang, Y.B.; Lin, C.W. Vehicle–Bridge Interaction Dynamics and Potential Applications. J. Sound Vib. 2005, 284, 205–226. [Google Scholar] [CrossRef]
 - Lu, X.; Sun, L.; Xia, Y. Reconstruction of High-Frequency Bridge Responses Based on Physical Characteristics of VBI System with BP-ANN. Appl. Sci. 2024, 14, 6757. [Google Scholar] [CrossRef]
 - Lu, X.; Qu, G.; Sun, L.; Xia, Y.; Sun, H.; Zhang, W. Physically Guided Estimation of Vehicle Loading-Induced Low-Frequency Bridge Responses with BP-ANN. Buildings 2024, 14, 2995. [Google Scholar] [CrossRef]
 - Li, J.-A.; Feng, D. A Comparative Study of Vehicle-Bridge Interaction Dynamics with 2D and 3D Vehicle Models. Eng. Struct. 2023, 292, 116493. [Google Scholar] [CrossRef]
 - He, K.; Zhang, X.; Ren, S.; Sun, J. Deep Residual Learning for Image Recognition. In Proceedings of the 2016 IEEE Conference on Computer Vision and Pattern Recognition (CVPR), Las Vegas, NV, USA, 27–30 June 2016; pp. 770–778. [Google Scholar]
 - Lu, X.; Kim, C.-W.; Chang, K.-C.; Han, Z.; Sun, L. Bridge Frequency Identification Using Cross-Power Spectra of Vehicle Vibrations from Multiple Moving Speeds. Int. J. Str. Stab. Dyn. 2023, 23, 2340035. [Google Scholar] [CrossRef]
 - Paultre, P.; Chaallal, O.; Proulx, J. Bridge Dynamics and Dynamic Amplification Factors—A Review of Analytical and Experimental Findings. Can. J. Civ. Eng. 1992, 19, 260–278. [Google Scholar] [CrossRef]
 - He, W.-Y.; Zhu, S. Moving Load-Induced Response of Damaged Beam and Its Application in Damage Localization. J. Vib. Control. 2016, 22, 3601–3617. [Google Scholar] [CrossRef]
 - MATLAB. Signal Processing Toolbox (Version R2022a). MathWorks. Available online: https://www.mathworks.com/help/signal/ref/highpass.html#mw_dcf4bbd2-1e29-4f0f-819f-39d872f77a14_seealso (accessed on 27 September 2024).
 - Shafiq, M.; Gu, Z. Deep Residual Learning for Image Recognition: A Survey. Appl. Sci. 2022, 12, 8972. [Google Scholar] [CrossRef]
 - Ukil, A.; Bandyopadhyay, S.; Pal, A. Sig-R2ResNet: Residual Network with Signal Processing-Refined Residual Mapping, Auto-Tuned L1-Regularization with Modified Adam Optimizer for Time Series Classification. In Proceedings of the 2020 International Joint Conference on Neural Networks (IJCNN), Glasgow, UK, 19–24 July 2020; pp. 1–8. [Google Scholar]
 - Xu, Q.; Huang, Q. A3R-Net: Adaptive Attention Aggregation Residual Network for Sparse DOA Estimation. Signal Image Video Process. 2024, 18, 2939–2949. [Google Scholar] [CrossRef]
 - Yang, Y.B.; Li, Y.C.; Chang, K.C. Using Two Connected Vehicles to Measure the Frequencies of Bridges with Rough Surface: A Theoretical Study. Acta Mech. 2012, 223, 1851–1861. [Google Scholar] [CrossRef]
 - Dassault Systèmes. Abaqus 6.11 Analysis User’s Manual; Dassault Systemes Simulia Corporation: Providence, RI, USA, 2011. [Google Scholar]
 - Lu, X.; Kim, C.-W.; Chang, K.-C. Finite Element Analysis Framework for Dynamic Vehicle-Bridge Interaction System Based on ABAQUS. Int. J. Str. Stab. Dyn. 2020, 20, 2050034. [Google Scholar] [CrossRef]
 - Xia, Y.; Lei, X.; Wang, P.; Liu, G.; Sun, L. Long-Term Performance Monitoring and Assessment of Concrete Beam Bridges Using Neutral Axis Indicator. Struct. Control. Health Monit. 2020, 27, e2637. [Google Scholar] [CrossRef]
 - Li, H.; Wang, T.; Wu, G. Dynamic Response Prediction of Vehicle-Bridge Interaction System Using Feedforward Neural Network and Deep Long Short-Term Memory Network. Structures 2021, 34, 2415–2431. [Google Scholar] [CrossRef]
 - Fan, G.; Li, J.; Hao, H.; Xin, Y. Data Driven Structural Dynamic Response Reconstruction Using Segment Based Generative Adversarial Networks. Eng. Struct. 2021, 234, 111970. [Google Scholar] [CrossRef]
 - Li, Y.; Ni, P.; Sun, L.; Zhu, W. A Convolutional Neural Network-Based Full-Field Response Reconstruction Framework with Multitype Inputs and Outputs. Struct. Control. Health Monit. 2022, 29, e2961. [Google Scholar] [CrossRef]
 - Lu, Y.; Tang, L.; Chen, C.; Zhou, L.; Liu, Z.; Liu, Y.; Jiang, Z.; Yang, B. Reconstruction of Structural Long-Term Acceleration Response Based on BiLSTM Networks. Eng. Struct. 2023, 285, 116000. [Google Scholar] [CrossRef]
 - Xin, J.; Zhou, C.; Jiang, Y.; Tang, Q.; Yang, X.; Zhou, J. A Signal Recovery Method for Bridge Monitoring System Using TVFEMD and Encoder-Decoder Aided LSTM. Measurement 2023, 214, 112797. [Google Scholar] [CrossRef]
 - Xu, Y.; Tian, Y.; Li, H. Unsupervised Deep Learning Method for Bridge Condition Assessment Based on Intra-and Inter-Class Probabilistic Correlations of Quasi-Static Responses. Struct. Health Monit. 2023, 22, 600–620. [Google Scholar] [CrossRef]
 

























| Unit mass (kg/m)  | Bending Stiffness (N·m2)  | First Natural Frequency (Hz)  | Second Natural Frequency (Hz)  | 
|---|---|---|---|
| 2303 | 2.87 × 1011 | 5.18 | 20.81 | 
| Vehicle Mass (kg)  | Spring Stiffness (N/m)  | Natural Frequency (Hz)  | 
|---|---|---|
| 5750 | 1.595 × 106 | 2.65 | 
| Interaction | Penalty method | 
| Calculation Framework | Implicit (static analysis followed by dynamic analysis) with Hilber–Hughes–Taylor (HHT) method | 
| Time step | 0.002 s | 
Disclaimer/Publisher’s Note: The statements, opinions and data contained in all publications are solely those of the individual author(s) and contributor(s) and not of MDPI and/or the editor(s). MDPI and/or the editor(s) disclaim responsibility for any injury to people or property resulting from any ideas, methods, instructions or products referred to in the content.  | 
© 2024 by the authors. Licensee MDPI, Basel, Switzerland. This article is an open access article distributed under the terms and conditions of the Creative Commons Attribution (CC BY) license (https://creativecommons.org/licenses/by/4.0/).
Share and Cite
Lu, X.; Wei, C.; Sun, L.; Xia, Y.; Zhang, W. Transfer Reconstruction from High-Frequency to Low-Frequency Bridge Responses Under Vehicular Loading with a ResNet. Appl. Sci. 2024, 14, 10927. https://doi.org/10.3390/app142310927
Lu X, Wei C, Sun L, Xia Y, Zhang W. Transfer Reconstruction from High-Frequency to Low-Frequency Bridge Responses Under Vehicular Loading with a ResNet. Applied Sciences. 2024; 14(23):10927. https://doi.org/10.3390/app142310927
Chicago/Turabian StyleLu, Xuzhao, Chenxi Wei, Limin Sun, Ye Xia, and Wei Zhang. 2024. "Transfer Reconstruction from High-Frequency to Low-Frequency Bridge Responses Under Vehicular Loading with a ResNet" Applied Sciences 14, no. 23: 10927. https://doi.org/10.3390/app142310927
APA StyleLu, X., Wei, C., Sun, L., Xia, Y., & Zhang, W. (2024). Transfer Reconstruction from High-Frequency to Low-Frequency Bridge Responses Under Vehicular Loading with a ResNet. Applied Sciences, 14(23), 10927. https://doi.org/10.3390/app142310927
        
