Abstract
Background: The pharmaceutical industry is faced with the problem of how to design and conduct tests to assess photostability during drug use and storage. In this study, the aim was to analyze the changes in total hemispherical reflectance (THR) and homogeneity in two preparations of tablets with clindamycin or tablets with phenoxymethylpenicillin stored under UV radiation. Methods: The analysis was performed for coated tablets with two types of antibiotics in and out of the direct package (i.e., non-blister and blister). The condition of UV radiation was maintained over 7 days in a Solarbox 1500 chamber. THR values were assessed after 3 and 7 days using a SOC-410 reflectometer. Hyperspectral evaluation was carried out with Specim IQ hyperspectral camera every 3 nm from 400 nm to 1030 nm. Results: THR values for both blister and non-blister tablets with clindamycin decreased significantly for the ranges 400–540 nm, 480–600 nm, 590–720 nm, and 700–1100 nm on day 3 of UV exposure. For non-blister clindamycin tablets, THR increased slightly on day 7 of the experiment compared to day 3, while THR continued to decrease for blister tablets. THR values for non-blister phenoxymethylpenicillin tablets decreased slightly on day 3 of UV exposure for the ranges 400–540 nm, 480–600 nm, 590–720 nm, 700–1100 nm, and 1000–1700 nm, and then on day 7 of UV exposure THR values increased to near baseline. In addition, non-blister clindamycin tablets showed a tendency to increase in a difference between max–min reflectance in the total spectral range as well as in visible and infrared light (p < 0.001 each). Similarly, day 7 blister tablets with clindamycin had a significantly higher max–min reflectance difference compared to day 3 blister tablets but only in the range of visible light (p = 0.034). Thus, the lowest homogeneity was demonstrated for 7 day tablets. On the contrary, the lowest homogeneity was observed for phenoxymethylpenicillin tablets on day 0 of experiment. Conclusions: UV radiation affects the total hemispherical reflectance values for clindamycin and phenoxymethylpenicillin tablets, but to a different extent and within a different spectral range for each type of tablet. The homogeneity of the tablets may also change over time with UV exposure.
1. Introduction
Nowadays, fast and accurate methods for assessing important parameters of finished pharmaceutical preparations are needed. Determining the stability of a drug formulation is one of the crucial parameters to ensure the efficacy of ongoing pharmacotherapy throughout the shelf life of a medicinal product [].
Such methods, including spectral ones, are being implemented in other areas of science, and are still being improved which leads to the creation of compact devices that allow measurements to be taken under almost any conditions. In addition, these techniques are fast, inexpensive, and simple to perform, which are undoubtedly their advantages.
Any opaque boundary surface partly absorbs and partially reflects incident light []. Two characteristics of the resulting reflection are observed, i.e., the specular character when the laws of reflection are met and the diffuse character otherwise. The most common type is directional reflection (so-called shiny reflection) or directional–diffuse reflection. This is an intermediate situation. For very smooth surfaces, with micro-irregularities much smaller than the wavelength of light, measuring the intensity of light reflected from the tested object at a specular angle allows for determining the roughness and other surface parameters [].
The directional reflectance of a surface is defined as the ratio of the total energy reflected into the hemisphere from which the reflection occurs to the energy incident on the surface under examination. There are available data on the use of the described phenomenon in the cosmetics and pharmaceutical industry, e.g., concerning counterfeit drugs [].
According to the International Conference on Harmonization (ICH) guidelines, generally, a single batch of a pharmaceutical product is tested for photostability for regulatory purposes. When tests give unclear results, a maximum of two subsequent batches should be analyzed. These tests should not be performed during the use of the product or for products not covered by overarching photostability guidelines. Therefore, in the absence of guidelines for assessing photostability during drug usage, the pharmaceutical industry is faced with the problem of how to design and conduct such an evaluation to ensure photostability [].
Among active pharmaceutical ingredients (APIs), vitamins and antibiotics may be particularly radiation-sensitive. Clindamycin is a semi-synthetic antibiotic belonging to the lincosamides and is a derivative of lincomycin, a naturally occurring antibiotic extracted from Streptomyces lincolensis. Over time, it almost completely replaced the original one due to its increased antibacterial activity and better absorption from the gastrointestinal tract []. Clindamycin has a wide range of uses, including treating infections of the teeth, bones, and joints, and the genitourinary system. It is also used to treat diabetic feet and prevent endocarditis [,]. The mechanism of action of clindamycin is to inhibit ribosomal translocation in bacteria, resulting in reduced protein production. It is most effective against aerobic Gram-positive bacteria and some Gram-negative bacteria []. Despite the passing years since its discovery, clindamycin is still on the WHO list of essential medicines. Data from 2020 showed that it was ranked 125th among the most commonly prescribed drugs in the US [].
Penicillin is a β-lactam antibiotic and is among the first-line drugs to treat those infections of orthopedic and soft tissue which are caused by penicillin-sensitive Staphylococcus aureus (S. aureus) and Streptococcus species (Strep. spp.) []. Phenoxymethylpenicillin (Penicillin V) remains stable in gastric secretions so it can be used orally. Penicillin V is highly effective against Gram-positive granulomas such as S. pyogenes, S. pneumoniae, and S. aureus that do not produce penicillinase, and it is the drug of choice in upper respiratory tract infections []. In Denmark, patients with acute pharyngitis, tonsillitis, or acute sinusitis are given enteric penicillin for 7–10 days if the rapid streptococcal antigen test is positive or if they have severe symptoms [].
In the present study, the aim was to analyze the changes in some new spectral data (hemispherical reflectance values and homogeneity based on hyperspectral analyses) for two types of antibiotic tablets following exposure to UV radiation. Two widely prescribed and widely used antibiotics, clindamycin and phenoxymethylpenicillin, were selected for this study. The conditions proposed in this study were intended to resemble the conditions to which tablets are exposed in patients, especially the elderly, who often leave medications without any packaging or only in the immediate packaging (blister).
2. Materials and Methods
2.1. Model Tablets
In the present analysis, tablets from two pharmaceutical preparations containing antibiotics were analyzed, i.e., tablets containing clindamycin and tablets containing phenoxymethylpenicillin. Tablets from both analyzed preparations were coated. The first type of tablets contained 1,500,000 IU (981 mg) of phenoxymethylpenicillin potassium, the tablets were oval, white, or slightly cream with a score line on both sides. The second type of tablets contained 300 mg of clindamycin in the form of 344 mg of clindamycin hydrochloride and the tablets were white, round, and biconvex. Clindamycin tablets contain 11 excipients while phenoxymethylpenicillin tablets contain 10 excipients in addition to APIs. The exact composition of the excipients is presented in Table 1.

Table 1.
Comparison of excipients used in the tested medicinal products.
For each preparation, the following types of tablets were distinguished:
- (1)
- non-blister tablets analyzed at the beginning of the experiments (day 0);
- (2)
- non-blister tablets subjected to stress conditions (day 3 and day 7 depending on the duration of stress);
- (3)
- blister tablets subjected to stress conditions in blister packs (day 3B and day 7B depending on the duration of stress) (Figure 1).

Figure 1.
Diagram showing study design by tablet type.
Thus, both tablets alone and tablets in blisters were stored under stress conditions. Direct radiation was incident on the tablets alone, whereas tablets in blisters were exposed to radiation through the blister surface. However, for reflectance analysis on days 3 and 7, tablets were removed from the blisters. Reflectance was not assessed for blisters alone.
2.2. Stress Conditions
Tablets were stored according to the manufacturer’s recommendations and good distribution practices before testing. In turn, stressed tablets were placed under UV radiation with simulated sunlight of 350 W/m2 (1500 W xenon lamp, 300–800 nm) at a temperature of 22 °C in a Solarbox 1500 chamber (Cofomegra Srl, Milan, Italy). These conditions were maintained for 7 days. Overall, the tablets were analyzed on day 3 and day 7 of the experiment with visual evaluation each time.
2.3. Analysis of Total Hemispherical Reflectance (THR)
THR was assessed by a SOC-410 directional hemispheric reflectometer (Surface Optics Corporation, San Diego, CA, USA). The device measures reflectance (total, diffuse, and specular) in seven discrete wavelength ranges during each analysis, along UV range (335–380 nm band), visible light (400–540 nm, 480–600 nm, and 590–720 nm bands), and infrared (700–1100 nm, 1000–1700 nm, and 1700–2500 nm bands) for a beam at an angle of 20°. These discrete spectral ranges were established by the manufacturer. The THR result for each type of tablet analyzed was the average of all measurements obtained for 20 tablets (3 measurements per tablet). THR values were obtained using solar energy distributions for an air mass of 1.5, corresponding to a solar zenith angle of 48°. According to the manufacturer’s recommendations, before the measurement, the reflectometer was calibrated with the mirror and scattering coupons certified by the American National Institute of Standards and Technology. The 99.9% repeatability of the results was observed during the measurements.
2.4. Hyperspectral Analysis
Hyperspectral profiles of tablets in the spectral range from 400 to 1030 nm were obtained using a Specim IQ hyperspectral camera (Spectral Imaging Ltd., Oulu, Finland). The spectral resolution of the camera was 5 nm. The spatial resolution was 512 × 512 with a pixel size of 17.58 μm × 17.58 μm. Reflectance measurement was performed approximately every 3 nm, giving 204 values for each tablet. Analysis of the obtained hyperspectral data was performed using MATLAB software version 7.11.0.584 (R2010b). For each tablet, for each wavelength point, the maximum, mean, and minimum reflectance values were obtained. The difference between the maximum and minimum reflectance values allowed for the tablet homogeneity assessment because the greater the difference, the lower the homogeneity.
2.5. Statistical Analysis
Statistical analysis was performed using Statistica 13 (StatSoft, Tulsa, OK, USA) and Microsoft Excel 2019 (Office 365, Microsoft Corporation, Redmond, WA, USA). The normality of the distributions was assessed using the W Shapiro–Wilk test. Then, for variables with normal distribution, the Student’s t-test was used, while variables deviating from normal distribution were compared using the non-parametric Mann–Whitney U test. The non-parametric Kruskal–Wallis test was used to compare more than two groups of tablets. If a significant result was obtained, post hoc analyses were performed to assess differences between pairs of formulations.
3. Results
3.1. Analysis of THR
3.1.1. Tablets Containing Clindamycin
For this preparation, at each time point, all the radiation was reflected in the 480–600 nm spectral range, and thus THR was the highest in this band. In turn, the lowest THR on day 0 was found for 335–380 nm and 1700–2500 nm bands, amounting to about 35% and 46%, respectively. It can be seen that the mean THR increases in the visible range (ranges of 400–540 nm, 480–600 nm, and 590–720 nm), and from the infrared range of 700–1100 nm, it starts to decrease compared to the ranges of 480–600 nm and 590–720 nm.
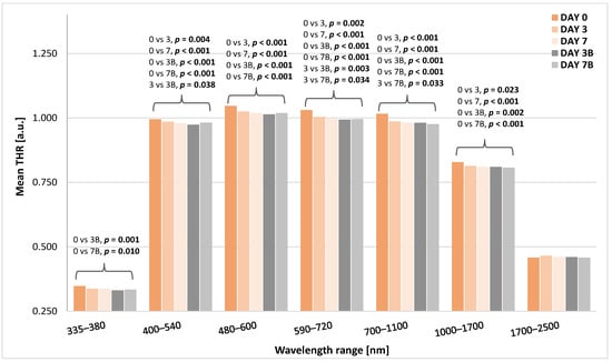
Comparing the THR values between subsequent days of analyses, significant differences were found for all spectral bands except for 1700–2500 nm. In these ranges, mean THR values were the highest on day 0 of the experiment. In turn, for the 335–380 nm spectral band, THR significantly differed for the day 0 vs. day 3B and day 0 vs. day 7B comparisons (p = 0.001 and p = 0.010, respectively). Statistically significant differences in mean THR values are shown in Figure 2.

Figure 2.
Mean THR values of clindamycin tablets between subsequent days of experiments. THR—total hemispherical reflectance; B—blister tablets. Only significant differences are shown.
The THR values for both non-blister and blister tablets with clindamycin significantly decreased on day 3 of UV exposure for ranges of 400–540 nm, 480–600 nm, 590–720 nm, and 700–1100 nm. Figure 3 shows the course of the spectra for the above-mentioned bands throughout the experiment (time points 0, 3, and 7). For non-blister tablets, on day 7 of the experiment, THR increased slightly compared to day 3, while for blister tablets, THR continued to decrease. In the remaining spectral ranges, i.e., for the UV (335–380 nm) and infrared range (two bands from 1000 nm to 2500 nm), the THR values were below 0.8, which would mean that the waveforms in these four ranges of visible light and near-infrared would not be visible. Furthermore, no such obvious differences in the course of the spectra over time were found; therefore, they are not visible in Figure 3.

Figure 3.
The course of mean THR spectra at subsequent time points (days 0, 3, and 7) for non-blister clindamycin tablets (on the left) and clindamycin tablets stored in blisters (on the right). THR—total hemispherical reflectance; B—blister tablets.
3.1.2. Tablets with Phenoxymethylpenicillin
For this preparation, the lowest values of THR were demonstrated for the UV range (335–380 nm) and infrared (from 1000 nm to 2500 nm). The THR values for the 700–1100 nm infrared range were similar to THR within the total visible light range.
For non-blister phenoxymethylpenicillin tablets, the THR values differed between day 0 and day 3 for all spectral bands except for 335–380 nm, and between day 3 and day 7 for all spectral bands except for 1000–1700 nm. For blister tablets in the range 335–380, THR was significantly lower on day 0 compared to day 3 and day 7 (p < 0.001) (Figure 4). Comparisons of THR on day 3 between non-blister and blister tablets demonstrated that blister tablets had significantly higher THR than non-blister tablets in all ranges (p < 0.001). In turn, the mean THR value after 7 days of experiment was considerably higher for non-blister tablets in most of the analyzed spectral ranges except for the 335–380 nm and 400–540 nm ranges (Figure 4).

Figure 4.
Comparison of mean THR values of tablets with phenoxymethylpenicillin between subsequent days of experiment. THR—total hemispherical reflectance; B—blister tablets. Only significant differences are shown.
THR for non-blister phenoxymethylpenicillin tablets decreased slightly on day 3 of UV exposure for the ranges 400–540 nm, 480–600 nm, 590–720 nm, 700–1100 nm, and 1000–1700 nm, and then on day 7 of UV exposure, THR values increased to a level close to the baseline. For the remaining ranges, i.e., 335–380 nm and 1700–2500 nm, THR values were close to baseline values on day 3 and increased on day 7. Figure 5 shows the course of the spectra for the above-mentioned bands throughout the experiment (time points 0, 3, and 7). In the case of blister tablets, THR values remained at a similar level throughout the experiment for all ranges except 335–380 nm, for which THR is the highest after 7 days of UV exposure.

Figure 5.
The course of mean THR spectra at subsequent time points (days 0, 3, and 7) for non-blister phenoxymethylpenicillin tablets (on the left) and phenoxymethylpenicillin tablets stored in blisters (on the right). THR—total hemispherical reflectance; B—blister tablets.
3.2. Results of Hyperspectral Analysis
The mean difference between the maximum and minimum reflectance may reflect the homogeneity of the tablet and thus it may be used as a screening parameter during the shelf life. We consider this difference as one average value for each of the three configurations, i.e., total spectral range (400–1030 nm), visible light range (400–700 nm), and infrared range (701–1030 nm). Figure 6 shows the differences between maximum and minimum reflectance values in the tablets with clindamycin while Figure 6 presents results for phenoxymethylpenicillin tablets.

Figure 6.
Comparison of mean max–min reflectance difference between all types of analyzed tablets with clindamycin. B—blister tablets. Significant differences are in bold.
In general, non-blister clindamycin tablets that were stressed under UV radiation and a temperature of 22 °C for 7 days showed a tendency to an increased mean difference between maximum and minimum reflectance in the total spectral range (p < 0.001) as well as in both visible and infrared light. Similarly, day 7 blister tablets with clindamycin had a significantly higher max–min reflectance difference than day 3 blister tablets but only in the visible light range (p = 0.034) (Figure 6). High max–min reflectance difference for day 7 clindamycin tablets corresponds to lower homogeneity as expected.
On the other hand, in tablets with phenoxymethylpenicillin, the max–min reflectance difference differed significantly over time of the experiment in the total spectral range, within the visible light, and in the infrared range (p < 0.001 each for non-blister and blister tablets) (Figure 7). In each spectral range analyzed, on day 3, the max–min reflectance difference decreased significantly (p < 0.001 each) and then on day 7, it increased. However, in the visible light range, the max—min reflectance difference on day 7 was similar to the max–min difference on day 0.

Figure 7.
Comparison of mean max–min reflectance difference values between all types of analyzed tablets with phenoxymethylpenicillin. B—blister tablets. Significant differences are in bold.
4. Discussion
Photostability is an increasingly discussed topic, especially in relation to specific parameters of finished products that can be improved to provide greater protection against solar radiation [,]. In the field of photostability, there is a constant search for rapid, non-invasive, and ecological techniques for drug analysis.
The present study evaluated parameters that are relatively rarely analyzed in pharmaceutical preparations, i.e., hemispherical directional reflectance and homogeneity, for which measurements were performed using portable devices. The advantage of these types of equipment is the possibility of monitoring drugs in almost any condition and at any stage of the distribution chain []. In this study, we used antibiotic tablets, because these APIs are generally considered sensitive to stress conditions (solar radiation, temperature, and moisture), but to a different extent depending on the type of antibiotic. Data indicate that the time of degradation of ciprofloxacin and sulfamethoxazole under simulated solar radiation is relatively fast (half-lives of 0.5 and 1.5 h, respectively) but in roxithromycin and erythromycin, macrolides are persistent in such conditions (half-life of 2.4–10 days) [].
We confirmed the differences in THR values between antibiotic tablets before, during, and after UV irradiation within seven analyzed spectral ranges. For the borderline spectral ranges measured by the reflectometer, the lowest THR on day 0 amounting to about 35% and 46% was found for the 335–380 nm and 1700–2500 nm bands, respectively. Therefore, about 65% and 55% of radiation in these ranges can interact with the tested pharmaceutical formulation. Understanding this subject, one can influence the increase in protection against ultraviolet and infrared wavelengths, and, in particular, this radiation should be blocked by designed drug packaging. In our recent preliminary study on reflectance analysis of pharmaceutical packaging, we have shown that blisters and white areas of cefuroxime packaging provide better protection from radiation than colored areas of the packaging [].
In the present study, we also demonstrated the changes in the homogeneity of tablets which was assessed based on hyperspectral analyses. For the clindamycin tablets evaluated in this study, the THR tended to decrease after UV exposure compared to tablets at the beginning of this study. In contrast, the THR values increased after UV exposure for the tablets containing penicillin V. This is most likely related to the complexity of the concept of photostability. The study by Janga et al. [] pointed out how light can affect a medicinal preparation. A change in the active substance as well as degradation of the excipient polymers can occur in this process. The literature data showed that excipients used in drug preparations play an important role relating to drug stability [,]. They can provide suitable conditions to protect the drug substance from degradation, e.g., under the influence of moisture []. It is therefore appropriate to consider the impact of adverse conditions on the full composition of the medicinal product and not just the active substance. Thus, it is important to know and understand the nature and characteristics of a given excipient and, in particular, its impact on the shelf life of the finished drug. This knowledge is essential for the correct design and manufacture of the drug. The use of excipients always involves an additional risk of impurities that may affect subsequent stability, but it was noted that impurities that are problematic in one case may not be relevant for another preparation []. We assume that the differences obtained in our study may result from the various ingredients used in the preparation process. In addition, based on the hyperspectral analysis, we observed changes in the homogeneity of the tablets over time with UV exposure.
Non-blister clindamycin tablets showed a significant tendency to increase by a difference between the max–min reflectance in the total spectral range as well as in visible and infrared light. Similarly, day 7 blister tablets with clindamycin had a significantly higher max–min reflectance difference than day 3 blister tablets but only in the visible light range. Thus, the lowest homogeneity was demonstrated for day 7 tablets, as expected. On the contrary, the lowest homogeneity was observed for phenoxymethylpenicillin tablets on day 0 of the experiment. Such discrepancies may result from the presence of particular coating excipients. A study by Maver et al. [] analyzed the spectrum of clindamycin using the attenuated total reflectance–Fourier transform infrared spectroscopy (ATR-FTIR) technique and showed several typical absorption signals corresponding to N–C=O and C–O stretching, as well as S–C–H bending. After incorporating clindamycin into polymer coatings obtained by electrospinning and 3D printing methods, no new functional peaks were found in any of the spectra, which indicated that probably no new chemical bonds were formed between the drug and the polymer mixtures. However, exposure to unfavorable external conditions (UV radiation, temperature, moisture) may affect the formation of new chemical bonds, and in consequence the reflectance values [].
The assessment of hemispherical directional light reflectance is one of the modern methods of assessing the stability of solid drug forms and is similar to other methods, e.g., the near-infrared hyperspectral images (HIS-NIR) used by França et al. []. The authors used HIS-NIR to assess the degradation of captopril to captopril disulfide in various layers of captopril tablets with different expiry dates. Based on the results obtained, a model that can predict the expiry date of a medicinal product with an error value of 120 days was developed []. This model may be useful for assessing whether a sample shows a degradation pattern consistent with the manufacturer’s data or whether there are irregularities in the natural degradation process of the sample. HIS-NIR is widely used in many areas of pharmacy, including monitoring the quality of solid drug dosage forms, detecting counterfeit drugs, assessing the distribution of API in the finished product, and much more. According to the authors [], the proposed model can predict the degradation rate depending on the expiration date. Similarly, using our proposed methods, reflectance values can distinguish expired and unexpired tablets (THR values are lower for expired tablets) [], which in turn can be used for rapid screening to improve the efficacy of pharmacotherapy.
Spectroscopic analytical methods provide both spatial and spectral data on the sample. This information is becoming increasingly valuable in the chemical imaging of pharmaceutical samples, as it allows the qualitative and quantitative assessment of, among others, the homogeneity of powder samples or particle size and the homogeneity and distribution of API in solid oral dosage forms []. In the study by Lopes et al. [], near-infrared chemical imaging (NIR-CI) was used to analyze the spatial distribution of components in tablets. In turn, another study [] demonstrated that NIR-CI was effective and sensitive in the analysis of the homogeneity of antibiotic content, including ciprofloxacin hydrochlorides and maize starch in ciprofloxacin tablets, which was measured inside their blister packages. The authors showed that the blister packages interfered with the shift and background spectra of the raw tablets, which were however successfully removed during the analyses []. Sammartino et al. [] performed a photodegradation test on three commonly used drugs of finasteride, diclofenac, and naproxen in several ways, i.e., as pure substances dissolved in water, as the solid forms inside the packaging, and also inside and outside the immediate packaging. The test samples were exposed to UV light simulating exposure to sunlight. Differences were determined using HPLC with UV/Vis detection. After 90 h of UV exposure, the concentrations of the active substances decreased by almost 43% for finasteride, 88% for naproxen, and 91% for diclofenac []. In addition, the usefulness of electron paramagnetic resonance (EPR) spectroscopy in the photostability characteristics of APIs in the solid state was demonstrated []. Williams and Claybourn [] showed that most of the 50 APIs analyzed produced free radicals after exposure to light for app. 10 min, and the extent of their formation could be used to classify the APIs for their photostability characteristics.
Following current regulations, durability tests are not generally performed on products already available on the market. However, there are exceptions to these rules, e.g., when the production process changes, additional tests are required []. The availability of rapid, readily available, and low-cost analysis methods, such as the one proposed in our experiment, will allow greater control of finished products. Greater control will contribute to the increased efficacy and safety of pharmacotherapy.
In the present study, a limitation is the lack of chemical and thermal characterization of the analyzed preparations. Such analyses may be a valuable complement to a spectral evaluation and we have this in mind for the future. In the current form, we focused only on new spectral data coming from the methods very rarely used in characteristics of pharmaceutical preparations and not used at all in the stability of drug form analyses. Additionally, the duration of this study may seem short because long-term analysis would be more appropriate to give reliable results. However, our research using new spectral methods assumed that the analysis of pharmaceutical products that may not meet the requirements due to storage in unfavorable conditions could be performed in the field, e.g., in a healthcare unit or a pharmacy. In our study, the THR parameter changed significantly in some spectral ranges within 7 days; therefore, we may assume that storage for a longer period will deepen these differences. Thus, such data may indicate the need to adapt pharmaceutical packaging for storage in unfavorable conditions, and as previously demonstrated, patients store medicines in different places in their homes.
5. Conclusions
Under the influence of UV radiation, the hemispheric directional reflectance changed for both analyzed antibiotic formulations. The homogeneity of the tablets may also change over time with UV exposure. These changes occurred in opposite directions for both formulations. Most likely they may be related to the various compositions of the excipients of the analyzed tablets. With the proposed methods, it is possible to determine that changes are occurring in the tablet during storage in unfavorable conditions; however, the nature of these changes cannot yet be determined, i.e., whether they concern the active substance, excipient, or structure of the analyzed tablet.
Author Contributions
Conceptualization, methodology, software, formal analysis, investigation, resources, data curation, writing—original draft preparation, B.S.-H. and M.M.; writing—review and editing, B.S.-H. and M.M.; visualization, supervision, B.S.-H.; project administration, funding acquisition, B.S.-H. and M.M. All authors have read and agreed to the published version of the manuscript.
Funding
The experimental part of this study was funded by the Medical University of Silesia in Katowice (Poland) within the projects: BNW-1-062/N/3/F and BNW-2-042/N/3/Z. The article publication charge (APC) was funded by the Metropolitan Fund for the Support of Science within the RW/21/2024 project.
Institutional Review Board Statement
Not applicable.
Informed Consent Statement
Not applicable.
Data Availability Statement
The data presented in this study are available on request from the Department of Basic Biomedical Science, Faculty of Pharmaceutical Sciences in Sosnowiec, Medical University of Silesia in Katowice (Poland). The data are not publicly available due to privacy restrictions.
Conflicts of Interest
The authors declare no conflicts of interest.
References
- Chavda, H. In-use stability studies: Guidelines and challenges. Drug Dev. Ind. Pharm. 2021, 47, 1373–1391. [Google Scholar] [CrossRef]
- Buzalewicz, I.; Podbielska, H. Podstawy fotofizyki. In OPTYKA BIOMEDYCZNA Wybrane Numery; Podbielska, H., Ed.; Oficyna Wydawnicza Politechniki: Wrocławskiej, Wrocław, 2011; pp. 62–70. (In Polish) [Google Scholar]
- Jaglarz, J.; Duraj, R. Goniometric Determination of BRDF for Solid Surfaces. Tech. Trans. Fundam. Sci. 2011, 22, 85–94. (In Polish) [Google Scholar]
- Wilczyński, S.; Deda, A.; Koprowski, R.; Banyś, A.; Błońska-Fajfrowska, B. The Use of Directional Reflectance Measurement for in vivo Assessment of Protective Properties of Cosmetics in the Infrared Radiation Range. Photochem. Photobiol. 2017, 93, 1303–1311. [Google Scholar] [CrossRef]
- Del Rosso, J.Q.; Armillei, M.K.; Lomakin, I.B.; Grada, A.; Bunick, C.G. Clindamycin: A Comprehensive Status Report with Emphasis on Use in Dermatology. J. Clin. Aesthetic Dermatol. 2024, 17, 29–40. [Google Scholar]
- Gómez-Sandoval, J.R.; Robles-Cervantes, J.A.; Hernández-González, S.O.; Espinel-Bermudez, M.C.; Mariaud-Schmidt, R.; Martínez-Rodríguez, V.; Morgado-Castillo, K.C.; Mercado-Sesma, A.R. Efficacy of clindamycin compared with amoxicillin-metronidazole after a 7-day regimen in the treatment of periodontitis in patients with diabetes: A randomized clinical trial. BMJ Open Diabetes Res. Care 2020, 8, e000665. [Google Scholar] [CrossRef]
- Ritter, L.; Bergozza, L.; Possa, E.; Tasso, L. Is clindamycin a potential treatment for prostatitis? APMIS 2022, 130, 197–205. [Google Scholar] [CrossRef]
- American Chemical Society. Molecule of the Week Archive: Clindamycin. Available online: https://www.acs.org/molecule-of-the-week/archive/c/clindamycin.html (accessed on 10 December 2024).
- Rasmussen, H.C.; Hanberg, P.; Lilleøre, J.G.; Petersen, E.K.; Hvistendahl, M.A.; Jørgensen, A.R.; Stilling, M.; Bue, M. Penicillin concentrations in bone and subcutaneous tissue: A porcine microdialysis study comparing oral and intravenous treatment. J. Orthop. Res. 2024, 42, 2844–2851. [Google Scholar] [CrossRef]
- Samanidou, V.F.; Evaggelopoulou, E.N.; Papadoyannis, I.N. Chromatographic analysis of penicillins in pharmaceutical formulations and biological fluids. J. Sep. Sci. 2006, 29, 1879–1908. [Google Scholar] [CrossRef]
- Hanberg, P.; Rasmussen, H.C.; Bue, M.; Stilling, M.; Jørgensen, A.R.; Petersen, E.K.; Lilleøre, J.G.; Hvistendahl, M.A.; Bille, J.; Klug, T.E. Penicillin concentrations in oropharyngeal and frontal sinus tissue following enteral and intravenous administration measured by microdialysis in a porcine model. Eur. J. Pharm. Sci. 2024, 201, 106859. [Google Scholar] [CrossRef]
- Kawabata, K.; Hirai, K.; Akimoto, S.; Inagaki, M.; Nishi, H. Photostability evaluation of manidipine tablets and structural determination of its photoproducts. Anal. Sci. 2024, 40, 1733–1747. [Google Scholar] [CrossRef]
- Aman, W.; Thoma, K. The influence of formulation and manufacturing process on the photostability of tablets. Int. J. Pharm. 2002, 243, 33–41. [Google Scholar] [CrossRef]
- Batchu, S.R.; Panditi, V.R.; O’Shea, K.E.; Gardinali, P.R. Photodegradation of antibiotics under simulated solar radiation: Implications for their environmental fate. Sci. Total. Environ. 2014, 470–471, 299–310. [Google Scholar] [CrossRef]
- Górka, T.; Meisner, M.; Sarecka-Hujar, B. Evaluation of photoprotective properties of pharmaceutical packaging containing cefuroxime by total hemispherical reflectance analysis. Ann. Acad. Medicae Silesiensis 2024, 78, 226–233. [Google Scholar] [CrossRef]
- Janga, K.Y.; King, T.; Ji, N.; Sarabu, S.; Shadambikar, G.; Sawant, S.; Xu, P.; Repka, M.A.; Murthy, S.N. Photostability Issues in Pharmaceutical Dosage Forms and Photostabilization. Aaps Pharmscitech 2018, 19, 48–59. [Google Scholar] [CrossRef]
- Veronica, N.; Heng, P.W.S.; Liew, C.V. Ensuring Product Stability—Choosing the Right Excipients. J. Pharm. Sci. 2022, 111, 2158–2171. [Google Scholar] [CrossRef]
- Wu, Y.; Levons, J.; Narang, A.S.; Raghavan, K.; Rao, V.M. Reactive Impurities in Excipients: Profiling, Identification and Mitigation of Drug–Excipient Incompatibility. Aaps Pharmscitech 2011, 12, 1248–1263. [Google Scholar] [CrossRef]
- Maver, T.; Mastnak, T.; Mihelič, M.; Maver, U.; Finšgar, M. Clindamycin-Based 3D-Printed and Electrospun Coatings for Treatment of Implant-Related Infections. Materials 2021, 14, 1464. [Google Scholar] [CrossRef]
- França, L.d.M.; Pimentel, M.F.; Simões, S.d.S.; Grangeiro, S.; Prats-Montalbán, J.M.; Ferrer, A. NIR hyperspectral imaging to evaluate degradation in captopril commercial tablets. Eur. J. Pharm. Biopharm. 2016, 104, 180–188. [Google Scholar] [CrossRef]
- Sarecka-Hujar, B.; Szulc-Musioł, B.; Meisner, M.; Duda, P. The Use of Novel, Rapid Analytical Tools in the Assessment of the Stability of Tablets—A Pilot Analysis of Expired and Unexpired Tablets Containing Nifuroxazide. Processes 2022, 10, 1934. [Google Scholar] [CrossRef]
- Kandpal, L.M.; Park, E.; Tewari, J.; Cho, B.-K. Spectroscopic Techniques for Nondestructive Quality Inspection of Pharmaceutical Products: A Review. J. Biosyst. Eng. 2015, 40, 394–408. [Google Scholar] [CrossRef]
- Lopes, M.B.; Wolff, J.-C. Investigation into classification/sourcing of suspect counterfeit Heptodin™ tablets by near infrared chemical imaging. Anal. Chim. Acta 2009, 633, 149–155. [Google Scholar] [CrossRef] [PubMed]
- Assi, S.; Rowlands, S.; Liatsis, P.; Al Hamid, M.; Mustafina, J.; Yousif, M.G.; Coombs, T.; Obe, D.A.-J. Evaluation of Near-Infrared Chemical Imaging (NIR-CI) for the Authentication of Antibiotics. Curr. Pharm. Res. 2023, 1, 47–69. [Google Scholar] [CrossRef]
- Sammartino, M.P.; Castrucci, M.; Ruiu, D.; Visco, G.; Campanella, L. Photostability and toxicity of finasteride, diclofenac and naproxen under simulating sunlight exposure: Evaluation of the toxicity trend and of the packaging photoprotection. Chem Cent J. 2013, 7, 181. [Google Scholar] [CrossRef]
- Williams, H.E.; Claybourn, M. Predicting the photostability characteristics of active pharmaceutical ingredients using electron paramagnetic resonance spectroscopy. Drug Dev. Ind. Pharm. 2012, 38, 200–208. [Google Scholar] [CrossRef]
- Sengupta, P.; Chatterjee, B.; Tekade, R.K. Current regulatory requirements and practical approaches for stability analysis of pharmaceutical products: A comprehensive review. Int. J. Pharm. 2018, 543, 328–344. [Google Scholar] [CrossRef]
Disclaimer/Publisher’s Note: The statements, opinions and data contained in all publications are solely those of the individual author(s) and contributor(s) and not of MDPI and/or the editor(s). MDPI and/or the editor(s) disclaim responsibility for any injury to people or property resulting from any ideas, methods, instructions or products referred to in the content. |
© 2024 by the authors. Licensee MDPI, Basel, Switzerland. This article is an open access article distributed under the terms and conditions of the Creative Commons Attribution (CC BY) license (https://creativecommons.org/licenses/by/4.0/).