AR-Assisted Guidance for Assembly and Maintenance of Avionics Equipment
Abstract
1. Introduction
- We proposed a pose tracking method for dynamic assembly parts based on RGBD data, aiming at fast, accurate tracking and the robust display of assembly information on parts;
- We proposed an AR-assisted assembly guidance method for the assembly and maintenance operations in the visual blind area. The method consists of assembly step identification and dynamic assembly guidance;
- We designed and conducted a user study, comparing the proposed methods with traditional methods in terms of assembly efficiency and user experience, which verified the feasibility of our proposed method.
2. Related works
2.1. Object 3D Tracking Algorithm
2.2. AR-Assisted Assembly Guidance
3. Materials and Methods
3.1. System Framework
3.2. Dynamic Assembly Pose Tracking
3.2.1. Region Modality
3.2.2. Depth Modality
3.2.3. Texture Modality
3.2.4. The Method to Remove Correspondence Points and Lines under Occlusion Conditions
3.2.5. Optimization
3.3. Assembly Step Identification
3.4. AR-Assisted Guidance
3.4.1. Assembly Training
3.4.2. Visualization and Assembly Guidance of Blind Areas of Avionics Equipment
3.4.3. Auxiliary Maintenance Guidance
3.5. User Study
3.5.1. Participants
3.5.2. Procedure
- Overview and preparation (20–30 min)
- 2.
- Experiment (40–50 min)
- Task 1: Training
- Task 2: Assembly
- Task 3: Maintenance
- 3.
- Review and interview (10–20 min)
- Do you have any general comments or questions about the study, task, or system?
- What information are you most lacking in visual blind area assignments?
- Do you think visual display of bolts is necessary? What about the bolt holes?
- How do you feel during the operation of “Assembly blind spot Perspective”?
- Do you think visual displays of aeronautical cable interfaces are necessary?
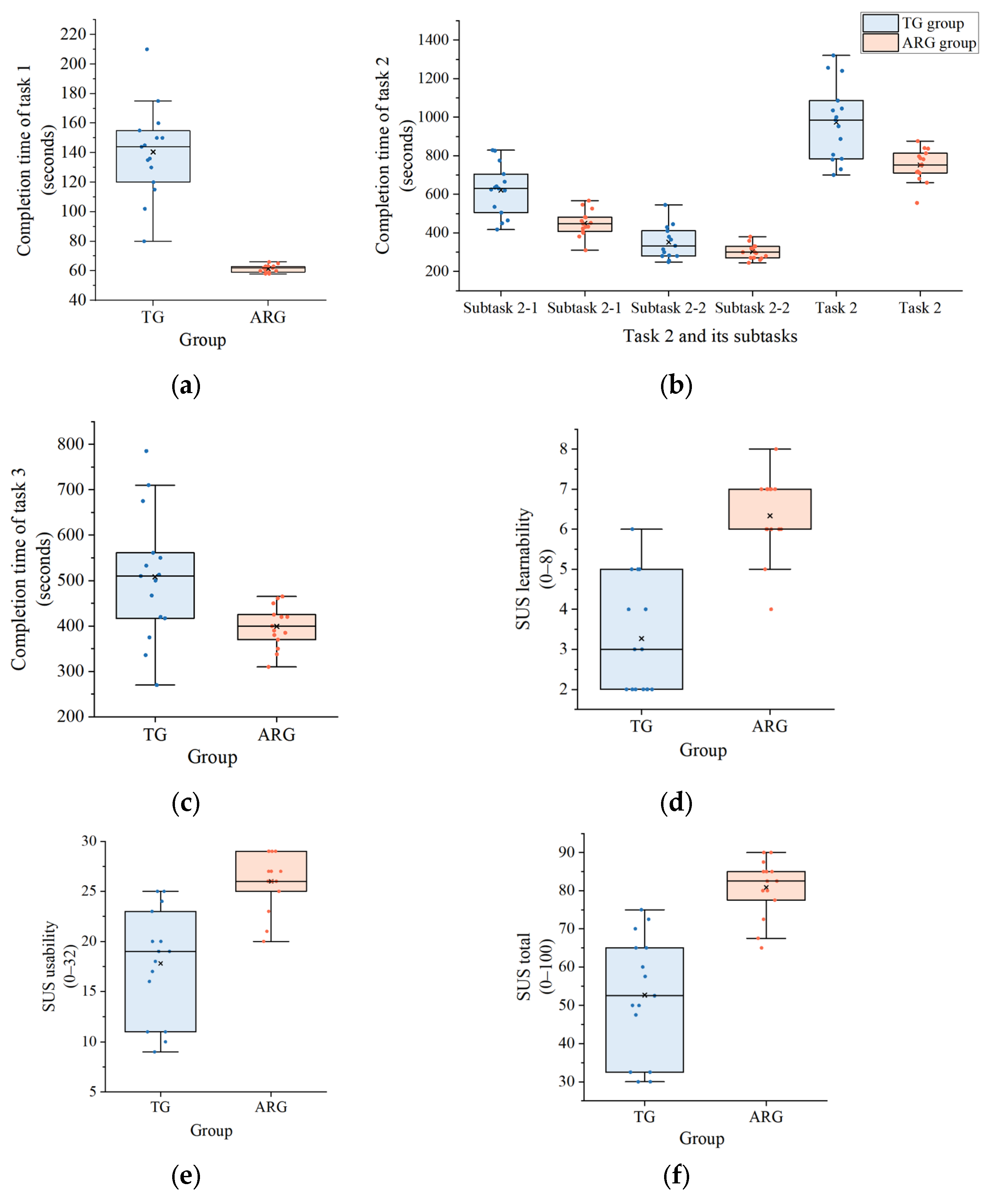
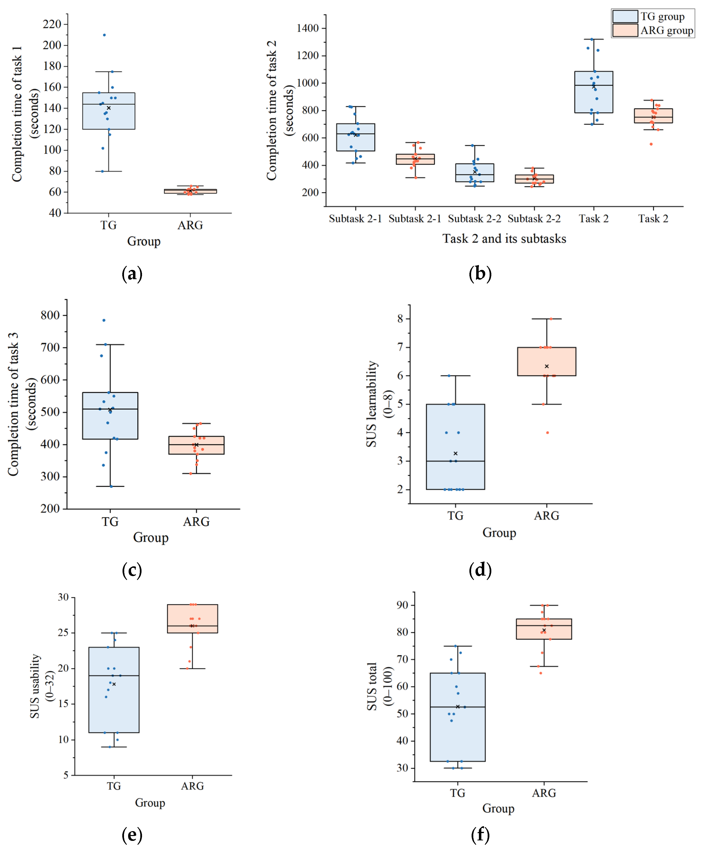
4. Results
4.1. Efficiency
4.2. Learnability
4.3. Usability
4.4. Mental Effort
5. Discussion
6. Limitations and Conclusions
Author Contributions
Funding
Institutional Review Board Statement
Informed Consent Statement
Data Availability Statement
Acknowledgments
Conflicts of Interest
References
- Safi, M.; Chung, J.; Pradhan, P. Review of augmented reality in aerospace industry. Aircr. Eng. Aerosp. Technol. 2019, 91, 1187–1194. [Google Scholar] [CrossRef]
- Alves, J.B.; Marques, B.; Dias, P.; Santos, B.S. Using augmented reality for industrial quality assurance: A shop floor user study. Int. J. Adv. Manuf. Technol. 2021, 115, 105–116. [Google Scholar] [CrossRef]
- Barbosa, G.F.; Carvalho, J.D. Design for Manufacturing and Assembly methodology applied to aircrafts design and manufacturing. IFAC Proc. Vol. 2013, 46, 116–121. [Google Scholar]
- Gao, S.; Jin, R.; Lu, W. Design for manufacture and assembly in construction: A review. Build. Res. Inf. 2020, 48, 538–550. [Google Scholar] [CrossRef]
- Mustapha, S.; Chong, C.A.; Mohammed, M. Review on the usage of mixed reality and augmented reality assisted learning tool in aircraft maintenance. In Proceedings of the 2021 IEEE 9th Conference on Systems, Process and Control (ICSPC 2021), Melaka, Malaysia, 10–11 December 2021; pp. 168–173. [Google Scholar]
- Szajna, A.; Stryjski, R.; Woźniak, W.; Chamier-Gliszczyński, N.; Kostrzewski, M. Assessment of augmented reality in manual wiring production process with use of mobile AR glasses. Sensors 2020, 20, 4755. [Google Scholar] [CrossRef] [PubMed]
- Brown, C.; Hicks, J.; Rinaudo, C.H.; Burch, R. The use of augmented reality and virtual reality in ergonomic applications for education, aviation, and maintenance. Ergon. Des. 2023, 31, 23–31. [Google Scholar] [CrossRef]
- Chu, C.-H.; Ko, C.-H. An experimental study on augmented reality assisted manual assembly with occluded components. J. Manuf. Syst. 2021, 61, 685–695. [Google Scholar] [CrossRef]
- Fu, M.; Fang, W.; Gao, S.; Hong, J.; Chen, Y. Edge computing-driven scene-aware intelligent augmented reality assembly. Int. J. Adv. Manuf. Technol. 2022, 119, 7369–7381. [Google Scholar] [CrossRef]
- Baroroh, D.K.; Chu, C.-H.; Wang, L. Systematic literature review on augmented reality in smart manufacturing: Collaboration between human and computational intelligence. J. Manuf. Syst. 2021, 61, 696–711. [Google Scholar] [CrossRef]
- Tjaden, H.; Schwanecke, U.; Schömer, E.; Cremers, D. A region-based gauss-newton approach to real-time monocular multiple object tracking. IEEE Trans. Pattern Anal. Mach. Intell. 2018, 41, 1797–1812. [Google Scholar] [CrossRef]
- Soleimanitaleb, Z.; Keyvanrad, M.A.; Jafari, A. Object tracking methods: A review. In Proceedings of the 2019 9th International Conference on Computer and Knowledge Engineering (ICCKE), Mashhad, Iran, 24–25 October 2019; pp. 282–288. [Google Scholar]
- Prisacariu, V.A.; Reid, I.D. PWP3D: Real-time segmentation and tracking of 3D objects. Int. J. Comput. Vis. 2012, 98, 335–354. [Google Scholar] [CrossRef]
- Minaee, S.; Boykov, Y.; Porikli, F.; Plaza, A.; Kehtarnavaz, N.; Terzopoulos, D. Image segmentation using deep learning: A survey. IEEE Trans. Pattern Anal. Mach. Intell. 2021, 44, 3523–3542. [Google Scholar] [CrossRef] [PubMed]
- Kehl, W.; Tombari, F.; Ilic, S.; Navab, N. Real-time 3D model tracking in color and depth on a single CPU core. In Proceedings of the IEEE Conference on Computer Vision and Pattern Recognition, Honolulu, HI, USA, 21–26 July 2017; pp. 745–753. [Google Scholar]
- Ren, C.Y.; Prisacariu, V.A.; Kähler, O.; Reid, I.D.; Murray, D.W. Real-time tracking of single and multiple objects from depth-colour imagery using 3D signed distance functions. Int. J. Comput. Vis. 2017, 124, 80–95. [Google Scholar] [CrossRef] [PubMed]
- Li, J.C.; Zhong, F.; Xu, S.H.; Qin, X.Y. 3D object tracking with adaptively weighted local bundles. J. Comput. Sci. Technol. 2021, 36, 555–571. [Google Scholar] [CrossRef]
- Stoiber, M.; Pfanne, M.; Strobl, K.H.; Triebel, R.; Albu-Schäffer, A. SRT3D: A sparse region-based 3D object tracking approach for the real world. Int. J. Comput. Vis. 2022, 130, 1008–1030. [Google Scholar] [CrossRef]
- Stoiber, M.; Sundermeyer, M.; Triebel, R. Iterative corresponding geometry: Fusing region and depth for highly efficient 3d tracking of textureless objects. In Proceedings of the IEEE/CVF Conference on Computer Vision and Pattern Recognition, New Orleans, LA, USA, 18–24 June 2022; pp. 6855–6865. [Google Scholar]
- Zhong, L.; Zhao, X.; Zhang, Y.; Zhang, S.; Zhang, L. Occlusion-Aware region-based 3D pose tracking of objects with temporally consistent polar-based local partitioning. IEEE Trans. Image Process. 2020, 29, 5065–5078. [Google Scholar] [CrossRef]
- Marinello, N.; Proesmans, M.; van Gool, L. TripletTrack: 3D object tracking using triplet embeddings and LSTM. In Proceedings of the IEEE/CVF Conference on Computer Vision and Pattern Recognition (CVPR) Workshops, New Orleans, LA, USA, 18–24 June 2022; pp. 4500–4510. [Google Scholar]
- He, Z.; Feng, W.; Zhao, X.; Lv, Y. 6D pose estimation of objects: Recent technologies and challenges. Appl. Sci. 2020, 11, 228. [Google Scholar] [CrossRef]
- Wen, B.; Mitash, C.; Ren, B.; Bekris, K.E. se (3)-TrackNet: Data-driven 6d pose tracking by calibrating image residuals in synthetic domains. In Proceedings of the International Conference on Intelligent Robots and Systems (IROS), Las Vegan, NV, USA, 25–29 October 2020; pp. 10367–10373. [Google Scholar]
- Deng, X.; Mousavian, A.; Xiang, Y.; Xia, F.; Bretl, T.; Fox, D. PoseRBPF: A Rao–Blackwellized particle filter for 6-D object pose tracking. IEEE Trans. Robot. 2021, 37, 1328–1342. [Google Scholar] [CrossRef]
- Wang, C.; Martín-Martín, R.; Xu, D.; Lv, J.; Lu, C.; Fei-Fei, L.; Savarese, S.; Zhu, Y. 6-pack: Category-level 6d pose tracker with anchor-based keypoints. In Proceedings of the IEEE International Conference on Robotics and Automation (ICRA), Paris, France, 31 May–31 August 2020; pp. 10059–10066. [Google Scholar]
- Wang, L.; Yan, S.; Zhen, J.; Liu, Y.; Zhang, M.; Zhang, G.; Zhou, X. Deep active contours for real-time 6-DoF object tracking. In Proceedings of the IEEE/CVF International Conference on Computer Vision (ICCV), Paris, France, 30 September–6 October 2023; pp. 14034–14044. [Google Scholar]
- Davies, P.; Sivich, L. Augmented reality and other visualization technologies for manufacturing in boeing. SAE Int. J. Aerosp. 2011, 4, 1133–1139. [Google Scholar] [CrossRef]
- Serván, J.; Rubio, J.M.; Mas, F.; Ríos, J.; Gómez, A. Augmented Reality using laser projection for the airbus A400M wing assembly. In Proceedings of the XIX Congreso Nacional de Ingeniería Mecánica, Castellón, Spain, 14–16 November 2012; Volume 1. [Google Scholar]
- Pang, Y.; Nee, A.Y.; Khim Ong, S.; Yuan, M.; Youcef-Toumi, K. Assembly feature design in an augmented reality environment. Assem. Autom. 2006, 26, 34–43. [Google Scholar] [CrossRef]
- Henderson, S.J.; Feiner, S. Evaluating the benefits of augmented reality for task localization in maintenance of an armored personnel carrier turret. In Proceedings of the 2009 8th IEEE International Symposium on Mixed and Augmented Reality, Orlando, FL, USA, 19–22 October 2009; pp. 135–144. [Google Scholar]
- Erkoyuncu, J.A.; del Amo, I.F.; Dalle Mura, M.; Roy, R.; Dini, G. Improving efficiency of industrial maintenance with context aware adaptive authoring in augmented reality. Cirp Ann. 2017, 66, 465–468. [Google Scholar] [CrossRef]
- Ojer, M.; Alvarez, H.; Serrano, I.; Saiz, F.A.; Barandiaran, I.; Aguinaga, D.; Querejeta, L.; Alejandro, D. Projection-based augmented reality assistance for manual electronic component assembly processes. Appl. Sci. 2020, 10, 796. [Google Scholar] [CrossRef]
- Dalle Mura, M.; Dini, G. An augmented reality approach for supporting panel alignment in car body assembly. J. Manuf. Syst. 2021, 59, 251–260. [Google Scholar] [CrossRef]
- Khenak, N.; Vézien, J.; Bourdot, P. Effectiveness of augmented reality guides for blind insertion tasks. Front. Virtual Real. 2020, 1, 588217. [Google Scholar] [CrossRef]
- Feng, S.; He, W.; Zhang, S.; Billinghurst, M. Seeing is believing: AR-assisted blind area assembly to support hand–eye coordination. Int. J. Adv. Manuf. Technol. 2022, 119, 8149–8158. [Google Scholar] [CrossRef]
- Laviola, E.; Gattullo, M.; Evangelista, A.; Fiorentino, M.; Uva, A.E. In-situ or side-by-side? A user study on augmented reality maintenance instructions in blind areas. Comput. Ind. 2023, 144, 103795. [Google Scholar] [CrossRef]
- Cascini, G.; O’Hare, J.; Dekoninck, E.; Becattini, N.; Boujut, J.-F.; Guefrache, F.B.; Carli, I.; Caruso, G.; Giunta, L.; Morosi, F. Exploring the use of AR technology for co-creative product and packaging design. Comput. Ind. 2020, 123, 103308. [Google Scholar] [CrossRef]
- Qiu, C.; Zhou, S.; Liu, Z.; Gao, Q.; Tan, J. Digital assembly technology based on augmented reality and digital twins: A review. Virtual Real. Intell. Hardw. 2019, 1, 597–610. [Google Scholar] [CrossRef]
- Wang, Z.; Bai, X.; Zhang, S.; Billinghurst, M.; He, W.; Wang, P.; Lan, W.; Min, H.; Chen, Y. A comprehensive review of augmented reality-based instruction in manual assembly, training and repair. Robot. Comput. Integr. Manuf. 2022, 78, 102407. [Google Scholar] [CrossRef]
- Halim, A.A. Applications of augmented reality for inspection and maintenance process in automotive industry. J. Fundam. Appl. Sci. 2018, 10, 412–421. [Google Scholar]
- Butaslac, I.M.; Fujimoto, Y.; Sawabe, T.; Kanbara, M.; Kato, H. Systematic Review of Augmented Reality Training Systems. IEEE Trans. Vis. Comput. Graph. 2022, 29, 5062–5082. [Google Scholar] [CrossRef] [PubMed]
- Bangor, A.; Kortum, P.; Miller, J. Determining what individual SUS scores mean: Adding an adjective rating scale. J. Usability Stud. 2009, 4, 114–123. [Google Scholar]
- Van der Schatte Olivier, R.; van ‘t Hullenaar, C.; Ruurda, J.; Broeders, I. Ergonomics, user comfort, and performance in standard and robot-assisted laparoscopic surgery. Surg. Endosc. 2009, 23, 1365–1371. [Google Scholar] [CrossRef] [PubMed]
- Hart, S.G.; Staveland, L.E. Development of NASA-TLX (Task Load Index): Results of empirical and theoretical research. In Advances in Psychology; Elsevier: Amsterdam, The Netherlands, 1988; Volume 52, pp. 139–183. [Google Scholar]
- Hongli, S.; Qingmiao, W.; Weixuan, Y.; Yuan, L.; Yihui, C.; Hongchao, W. Application of AR technology in aircraft maintenance manual. J. Phys. Conf. Ser. 2021, 1738, 012133. [Google Scholar] [CrossRef]
- Li, B.; Dong, Q.; Dong, J.; Wang, J.; Li, W.; Li, S. Instruction manual for product assembly process based on augmented visualization. In Proceedings of the 2018 IEEE Chinese Automation Congress (CAC), Xi’an, China, 30 November–2 December 2018; pp. 3248–3253. [Google Scholar]
- Zogopoulos, V.; Geurts, E.; Gors, D.; Kauffmann, S. Authoring tool for automatic generation of augmented reality instruction sequence for manual operations. Procedia CIRP 2022, 106, 84–89. [Google Scholar] [CrossRef]













| Task 1 | Subtask 2-1 | Subtask 2-2 | Task 2 | Task 3 | |
|---|---|---|---|---|---|
| TG | 140.47 (30.70) | 621.53 (129.49) | 352.20 (84.08) | 973.73 (195.85) | 508.13 (139.47) |
| ARG | 61.40 (2.41) | 449.80 (65.98) | 301.93 (38.08) | 751.73 (82.26) | 399.27 (45.16) |
| Group | SUS Learnability | SUS Usability | SUS Total | SMEQ | NASA-TLX |
|---|---|---|---|---|---|
| TG | 3.27 (1.44) | 17.80 (5.45) | 52.67 (15.71) | 19.07 (9.03) | 34.49 (11.29) |
| ARG | 6.33 (0.98) | 26.00 (2.80) | 80.83 (7.48) | 11.80 (6.54) | 20.05 (7.83) |
Disclaimer/Publisher’s Note: The statements, opinions and data contained in all publications are solely those of the individual author(s) and contributor(s) and not of MDPI and/or the editor(s). MDPI and/or the editor(s) disclaim responsibility for any injury to people or property resulting from any ideas, methods, instructions or products referred to in the content. |
© 2024 by the authors. Licensee MDPI, Basel, Switzerland. This article is an open access article distributed under the terms and conditions of the Creative Commons Attribution (CC BY) license (https://creativecommons.org/licenses/by/4.0/).
Share and Cite
Xue, Z.; Yang, J.; Chen, R.; He, Q.; Li, Q.; Mei, X. AR-Assisted Guidance for Assembly and Maintenance of Avionics Equipment. Appl. Sci. 2024, 14, 1137. https://doi.org/10.3390/app14031137
Xue Z, Yang J, Chen R, He Q, Li Q, Mei X. AR-Assisted Guidance for Assembly and Maintenance of Avionics Equipment. Applied Sciences. 2024; 14(3):1137. https://doi.org/10.3390/app14031137
Chicago/Turabian StyleXue, Zhengjie, Jun Yang, Ruchen Chen, Qiang He, Qixiu Li, and Xuesong Mei. 2024. "AR-Assisted Guidance for Assembly and Maintenance of Avionics Equipment" Applied Sciences 14, no. 3: 1137. https://doi.org/10.3390/app14031137
APA StyleXue, Z., Yang, J., Chen, R., He, Q., Li, Q., & Mei, X. (2024). AR-Assisted Guidance for Assembly and Maintenance of Avionics Equipment. Applied Sciences, 14(3), 1137. https://doi.org/10.3390/app14031137

