Complex Function Solution of Stratum Displacements and Stresses in Shallow Rectangular Pipe Jacking Excavation Considering the Convergence Boundary
Abstract
1. Introduction
2. Rectangular Pipe Jacking Excavation Cross-Section Modeling
2.1. Semi-Infinite Plane Strain Model
2.2. Conformal Transformation
2.3. Potential Function and Boundary Condition
3. Potential Function Solution and Stress–Displacement Calculation
3.1. Potential Function Solution
3.2. Stress–Displacement Calculation
4. Comparative Verification
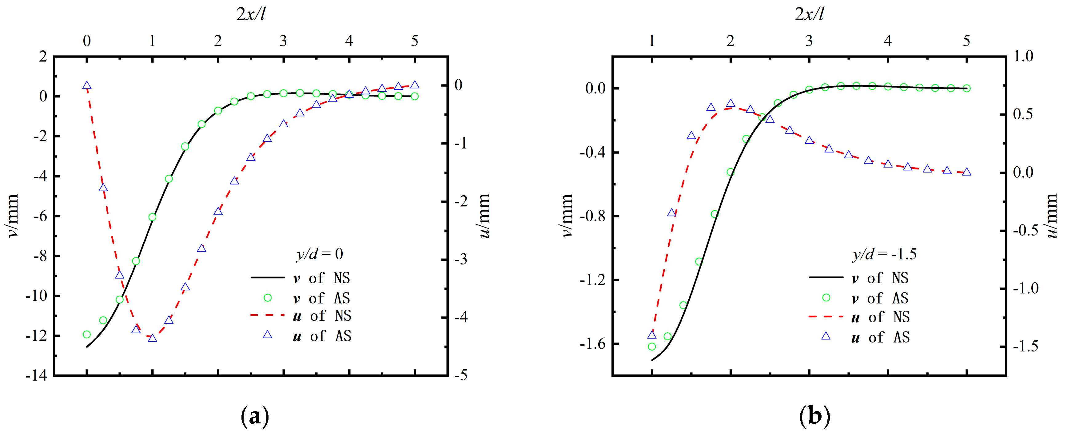
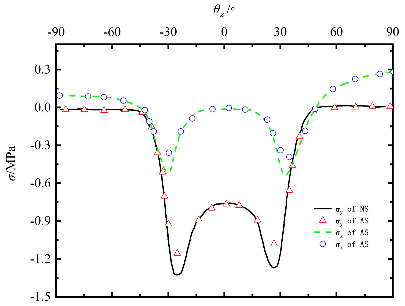
4.1. Comparison with Numerical Solutions
4.2. Comparison with Engineering-Measured Data
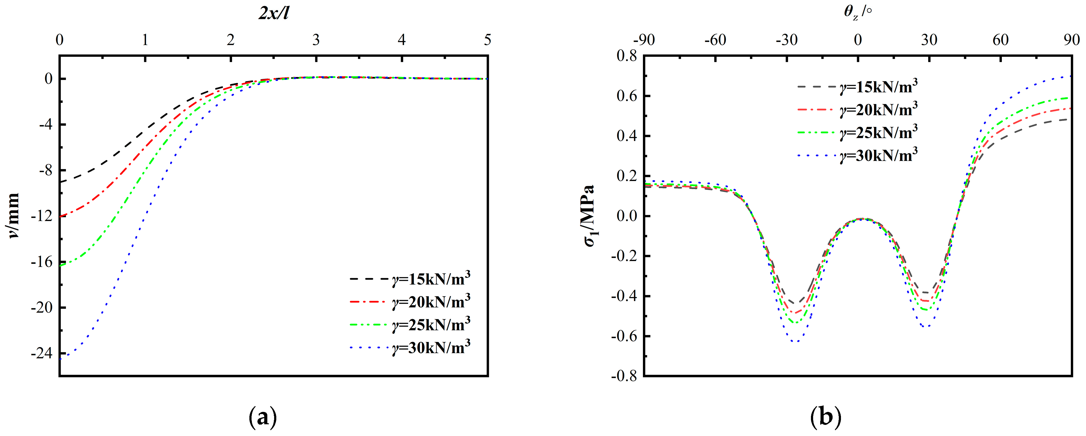
5. Parametric Analysis
5.1. The Effect of the Control Points of the Mapping Function on the Accuracy of Analytic Solutions
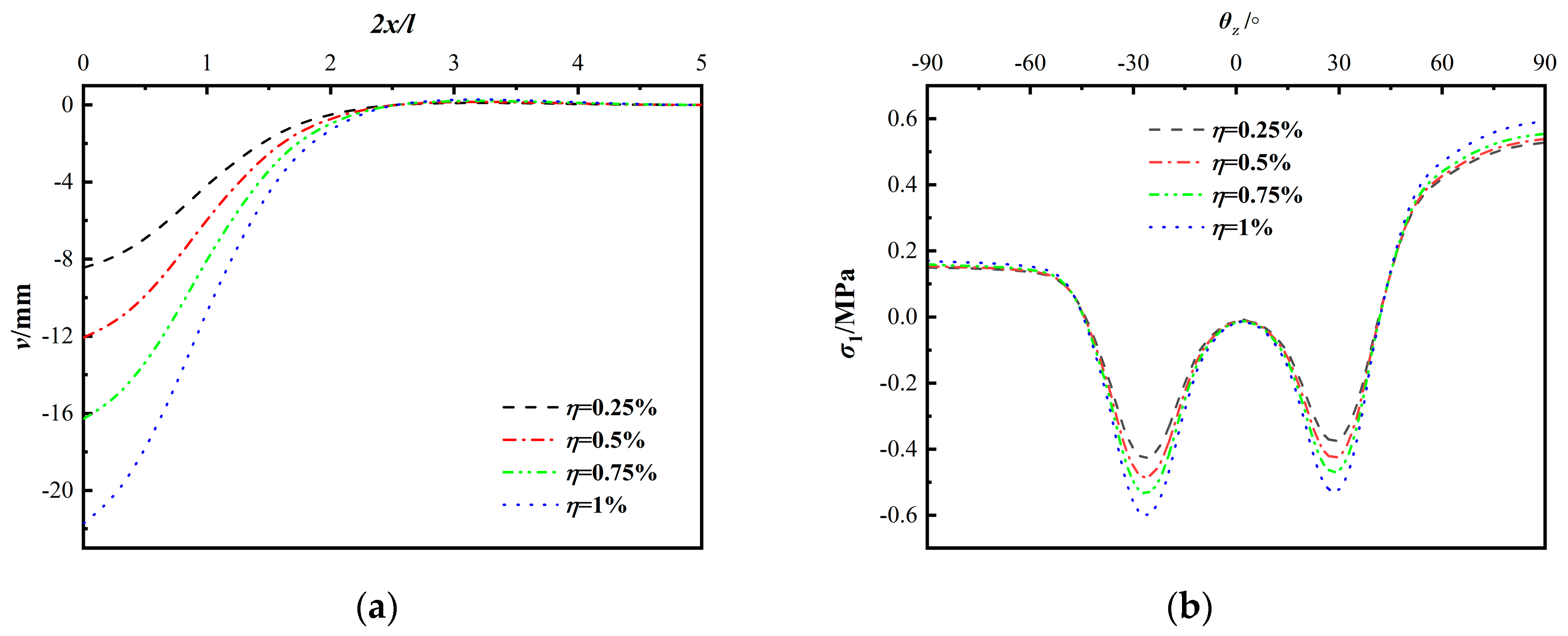
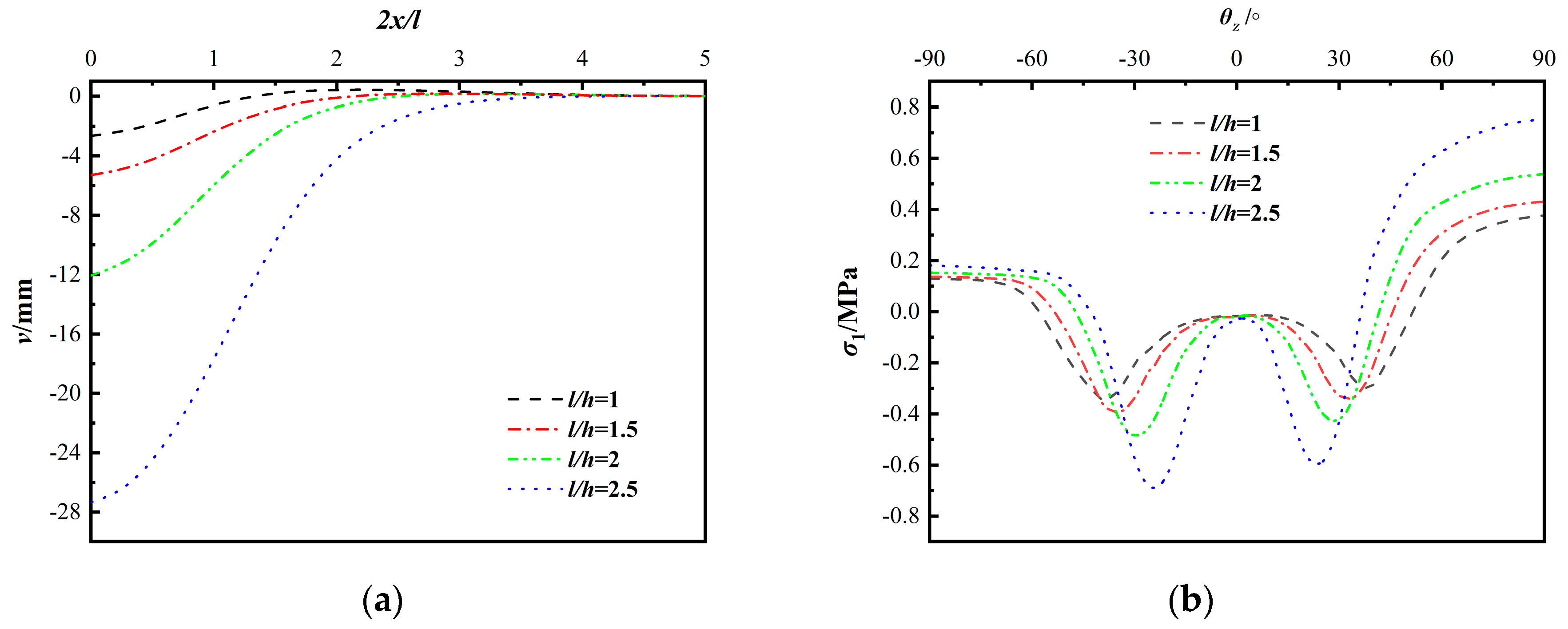
5.2. The Effect of Model Parameters on Settlement and Stress
6. Conclusions
- The displacements and stresses of the analytical solution are consistent with the corresponding finite element solution, and the differences between the analytical solution and the engineering-measured data are acceptable in surface subsidence patterns, maximum values, and ranges.
- For the top pipe excavation, the midpoints and corners of the top boundary and the midpoints and corners of the bottom boundary can be used as the four control points of the mapping function. The accuracy of the calculation results can meet engineering requirements.
- The surface subsidence increases with the increase in the stratum loss rate, the span, and the stratum unit weight. Moreover, it decreases with the increase in the buried depth, but it will eventually tend to a constant value.
- The major principal stress at the top boundary of the pipe jacking excavation and near the corner points changed obviously with the change in the stratum loss rate, span, buried depth, and the stratum unit weight. Nevertheless, the change in the major principal stress at the other locations was not obvious. The stress concentrations at the four corners and the center of the top boundary of the excavation were more obvious.
Author Contributions
Funding
Institutional Review Board Statement
Informed Consent Statement
Data Availability Statement
Conflicts of Interest
References
- Kang, Z.; Yang, W.; Yin, R. Construction risk identification and risk assessment of large rectangular shallow embedded shield pipe jacking tunnel. J. Railw. Sci. Eng. 2017, 14, 1105–1112. [Google Scholar]
- Zhang, Z.; Li, Z. Analysis of upheaval and settlement deformation of ground surface caused by excavation of rectangular pipe jacking in soft soil stratum. Rock Soil Mech. 2022, 43 (Suppl. S1), 419–430. [Google Scholar]
- Peck, R.B. Deep excavation and tunneling in soft ground. In Proceedings of the 7th International Conference on Soil Mechanics and Foundation Engineering, Mexico City, Mexico, 29 August 1969; Volume 7, pp. 225–290. [Google Scholar]
- Han, X.; Li, N.; Standing, J.R. An adaptability study of Gaussian equation applied to predicting ground settlements induced by tunneling in China. Rock Soil Mech. 2007, 28, 23–28. [Google Scholar]
- Chen, C.; Zhao, C.; Wei, G. Prediction of soil settlement induced by double-line shield tunnel based on Peck formula. Rock Soil Mech. 2014, 35, 2212–2218. [Google Scholar]
- Wang, J.; Zhang, D.; Zhang, C. Deformation characteristics of existing tunnels induced by excavation of new shallow tunnel in Beijing. Chin. J. Rock Mech. Eng. 2014, 33, 947–956. [Google Scholar]
- Yang, J.; Liu, B. Ground surface movement and deformation due to tunnel construction by squeezing shield. Rock Soil Mech. 1998, 19, 10–13. [Google Scholar]
- Yang, J.; Liu, B. Ground Movement and Deformation Induced by Urban Tunnel Construction; China Railway Publishing House: Beijing, China, 2002. [Google Scholar]
- Han, X.; Li, N. A predicting model for ground movement induced by non-uniform convergence of tunnel. Chin. J. Geotech. Eng. 2007, 29, 347–352. [Google Scholar]
- Zhou, H.; Ma, B. Study on influence of large cross-section rectangular pipe jacking construction on vertical deformation of strata under multiple factors. Tunn. Constr. 2020, 40, 1324–1332. [Google Scholar]
- Jiao, Y.; Liang, Y.; Feng, J.; Zheng, Q.; Jiang, K. Study on soil deformation caused by pipe jacking construction with multi-factor. J. Railw. Sci. Eng. 2021, 18, 192–199. [Google Scholar]
- Cheng, L.; Ariaratnam, S.; Chen, S. Analytical solution for predicting ground deformation associated with pipe jacking. J. Pipeline Syst. Eng. Pract. 2017, 8, 4017008. [Google Scholar] [CrossRef]
- Jia, P.; Zhao, W.; Khoshghalb, A.; Ni, P.; Jiang, B.; Chen, Y.; Li, S. A new model to predict ground surface settlement induced by jacked pipes with flanges. Tunn. Undergr. Space Technol. 2020, 98, 103330. [Google Scholar] [CrossRef]
- Sagaseta, C. Analysis of undrained soil deformation due to ground loss. Géotechnique 1987, 37, 301–320. [Google Scholar] [CrossRef]
- Verruijt, A.; Booker, J. Surface settlements due to deformation of a tunnel in an elastic half plane. Géotechnique 1996, 46, 753–756. [Google Scholar] [CrossRef]
- Lee, K.; Rowe, R. An analysis of three-dimensional ground movements; the Thunder Bay Tunnel. Can. Geotech. J. 1991, 28, 25–41. [Google Scholar] [CrossRef]
- Lin, C.; Xia, T.; Liang, R. Estimation of shield tunnelling-induced ground surface settlements by virtual image technique. Chin. J. Geotech. Eng. 2014, 36, 1438–1446. [Google Scholar]
- Lu, A.; Zhang, L. Complex Function Method on Mechanical Analysis of Underground Tunnel; Science Press: Beijing, China, 2007. [Google Scholar]
- Chen, Z. Analytic Method of Mechanical Analysis for the Surrounding Rock; Coal Industry Publishing Press: Beijing, China, 1994. [Google Scholar]
- Verruijt, A. A complex variable solution for a deforming circular tunnel in an elastic half-plane. Int. J. Numer. Anal. Methods Geomech. 1997, 21, 77–89. [Google Scholar] [CrossRef]
- Tong, L.; Xie, K.; Cheng, Y. Elastic solution of sallow tunnels in clays considering oval deformation of ground. Rock Soil Mech. 2009, 30, 393–398. [Google Scholar]
- Jinag, X.; Yang, H.; Cao, P. Elastic stress analytic solution of the round and underground cavern under slope. Chin. J. Comput. Mech. 2012, 29, 62–68. [Google Scholar]
- Shen, Y.; He, Y.; Zhao, L.; He, W. Improvement of Peck formula of surface construction settlement of rectangular tunnel in soft soil area. J. Railw. Sci. Eng. 2017, 14, 1270–1277. [Google Scholar]
- Zhang, Z.; Shi, M.; Zhang, C. Research on deformation of adjacent underground pipelines caused by excavation of quasi-rectangular shields. Chin. J. Rock Mech. Eng. 2019, 38, 852–864. [Google Scholar]
- Wang, Y.; Zhang, D.; Fang, Q. Analytical solution on ground deformation caused by parallel construction of rectangular pipe jacking. Appl. Sci. 2022, 12, 3298. [Google Scholar] [CrossRef]
- Xu, Y.; Wang, Y.; Feng, C. Research on ground deformation caused by rectangular Pipe Jacking construction. Chin. J. Undergr. Space Eng. 2018, 14, 192–199. [Google Scholar]
- Huangfu, P.; Wu, F.; Guo, S. A new method for calculating mapping function of external area of cavern with arbitrary shape based on searching points on boundary. Rock Soil Mech. 2011, 32, 1418–1424. [Google Scholar]
- Zeng, G. Complex Variable Solution for A Non-Circular Tunnel in An Elastic Half-Plane; North China Electric Power University: Beijing, China, 2018. [Google Scholar]
- Shen, H.; Zhou, H.; Liu, H. Solution of complex function of rectangular hole contraction in elastic semi-infinite space. J. Civ. Environ. Eng. 2021, 43, 1–11. [Google Scholar]














| m = 2 | m = 3 | m = 4 | m = 5 | m = 6 | |
|---|---|---|---|---|---|
| −7.07103 | −7.56903 | −7.79914 | −7.79835 | −7.79811 | |
| 0.17157 | 0.08030 | 0.26592 | 0.26573 | 0.26569 | |
| −0.30093 | −0.56187 | −0.58143 | −0.58425 | ||
| −0.10561 | −0.10527 | −0.10516 | |||
| 0.00139 | 0.00149 | ||||
| −0.00002 |
Disclaimer/Publisher’s Note: The statements, opinions and data contained in all publications are solely those of the individual author(s) and contributor(s) and not of MDPI and/or the editor(s). MDPI and/or the editor(s) disclaim responsibility for any injury to people or property resulting from any ideas, methods, instructions or products referred to in the content. |
© 2024 by the authors. Licensee MDPI, Basel, Switzerland. This article is an open access article distributed under the terms and conditions of the Creative Commons Attribution (CC BY) license (https://creativecommons.org/licenses/by/4.0/).
Share and Cite
Wang, Y.; Xiang, Y. Complex Function Solution of Stratum Displacements and Stresses in Shallow Rectangular Pipe Jacking Excavation Considering the Convergence Boundary. Appl. Sci. 2024, 14, 1154. https://doi.org/10.3390/app14031154
Wang Y, Xiang Y. Complex Function Solution of Stratum Displacements and Stresses in Shallow Rectangular Pipe Jacking Excavation Considering the Convergence Boundary. Applied Sciences. 2024; 14(3):1154. https://doi.org/10.3390/app14031154
Chicago/Turabian StyleWang, Yaze, and Yanyong Xiang. 2024. "Complex Function Solution of Stratum Displacements and Stresses in Shallow Rectangular Pipe Jacking Excavation Considering the Convergence Boundary" Applied Sciences 14, no. 3: 1154. https://doi.org/10.3390/app14031154
APA StyleWang, Y., & Xiang, Y. (2024). Complex Function Solution of Stratum Displacements and Stresses in Shallow Rectangular Pipe Jacking Excavation Considering the Convergence Boundary. Applied Sciences, 14(3), 1154. https://doi.org/10.3390/app14031154

