Abstract
The purpose of the investigation was to determine the influence of a four-week unilateral (UNI) and bilateral (BIL) resistance training program on peak torque and peak power of the lower limbs in soccer players. Background: We evaluated the effects of a 3:1 step load training program using UNI and BIL forms of exercises on the level of peak torque and peak power of the knee joint extensors and flexors. Methods: The study included 16 division I soccer players having the highest number of matches played in the first round of the season. The motor tests included isokinetic evaluation of peak torque and peak power of the extensors and flexors of the knee joint. Results: The results showed that both types of training sessions were equally effective. Only in terms of power during knee flexion, unilateral training contributed to improvement, whereas bilateral training did not. Conclusions: The use of periodization using a step load progression based on an extended eccentric phase of the movement during the preseason period in combination with UNI training may increase peak torque and peak power of knee flexors and extensors in soccer players.
1. Introduction
If the goal of resistance training were only to increase muscular strength, then the choice of exercises would be dictated by the selection of those that maximize this motor ability based on the percentage of external load above 70% 1 RM [,]. However, the specificity of a given sports discipline is a key factor in transferring strength and power into discipline-specific skills [,]. Furthermore, resistance training is a significant means of reducing the risk of injury []. Considering that achieving elite sports level is a long-term process, we increasingly see the use of innovative training methods aimed at maximizing the athlete’s motor performance. Therefore, the periodization of the training program is a key element that determines the optimization of particular training micro and mesocycles. Depending on the macrocycle, the training loads should be increased gradually and periodically allowing for physiological adaptations to take place. In resistance training, variables such as load, bar velocity, the number of repetitions and sets, as well as movement tempo, and rest intervals between sets have a direct impact on the effectiveness of the training process []. Additionally, exercise selection plays a significant role in training effectiveness [,,]. However, one training variable (movement tempo), is often neglected in the periodization of training []. This variable includes movement tempo.
Resistance exercises have two types of movement tempo: unintentional and intentional. To clarify, a slow tempo can inadvertently occur during resistance training where a heavy load or the manifestation of fatigue is primarily responsible for a slower movement (i.e., increased duration of the repetition) []. On the contrary, an intentional slow tempo can be purposefully used if the load is light enough to control the movement and fatigue does not influence one’s ability to control the velocity of the bar or other training device. Consequently, conscious and intentional control of the movement tempo is only possible to a certain extent []. During concentric contractions, strength is a limiting factor of movement tempo. On the other hand, during eccentric actions even loads above 100% of 1 RM can be controlled to some extent. The tempo is often described using a sequence of digits (e.g., 3/0/2/0), where each digit defines the duration of a particular phase of the movement, irrespective of whether the movement tempo is intentional or unintentional. Therefore, the literature suggests using a four-digit combination that describes the eccentric, isometric/transitional, concentric, and isometric/transitional phases of movement []. For example, 3/0/2/0 denotes a 3 s eccentric phase, no intentional isometric pause during the transition phase, a 2 s concentric phase, and no pause between the completion of the concentric phase and the beginning (eccentric phase) of the next repetition. Changes in movement tempo affect the number of performed repetitions in a single set, the time under tension (TUT), and the maximum possible load lifted during a resistance exercise []. According to some studies, the number of possible repetitions decreases as the total intended TUT of an exercise with the same load increases. If the relation between movement tempo, number of repetitions, and the TUT is considered, they are not mutually exclusive, as they all affect each other. Hence, modification of movement tempo can indirectly cause a change in the training load during a single training session, or a whole training microcycle [,,].
Considering the main objective of the study, the differences between UNI and BIL resistance training must be taken into account. Because the method of multi-joint exercise or the isolated form of the unilateral (UNI) or bilateral (BIL) setting is one of the basic variables in the modification of training programs, which plays a fundamental role in the intensification of particular training cycles []. Resistance exercises can be classified either into unilateral or bilateral movements [,]. BIL exercises involve both limbs simultaneously, inducing the same type of muscle contraction, e.g., squats, deadlifts, etc. The first aspect, according to many authors, which proves the general applicability of BIL exercises, especially those such as the squat and deadlift is their biomechanical structure, which is similar to activities such as jumping and short-distance sprinting [,,,]. In addition, BIL training is commonly recommended in many resistance training programs because it allows for significant mechanical overload of the contractile apparatus, as it is possible to use a much higher external load than during UNI training [,]. The ability to use a significant external load improves the neuromuscular mechanisms involved in generating force and power and is an extremely important variable of BIL exercise. It must be underlined that the highest threshold motor units are recruited only in maximal or near-maximal contractions. Additionally, some authors suggest that when they are developed in similar kinetics, the transfer of increased recruitment of high-threshold motor units is more effective in terms of sports performance [,,].
Therefore, training sessions using BIL exercises have been used in the periodization of strength and power training for many years. UNI exercises, on the other hand, are being increasingly applied in resistance training, where they no longer play the role of complementary exercises, but form the foundation of a given resistance training program [,]. Therefore, UNI exercises are predominant for specific activities like jumps, sprints, and changes of direction [,,]. Therefore, UNI exercises are currently not used as accessory exercises in soccer and other team sports such as basketball or handball, but are often the basis for periodization of strength training, using the ability to transfer force and power to one limb. This allows moving in many directions, which is an obvious advantage due to the demands of team sports games [,]. In soccer, it will be decisive, especially in such technical activities as dribbling, winning a running duel, taking the ball away from the opponent, or performing an agility move that ends with a strike at the goal []. An additional attribute of the use of UNI exercises is the analysis of match units using GPS systems (Catapult) considering such variables as accelerations and decelerations. The high pace of the game is based on the holistic use of the musculoskeletal system, where, on one hand, the same muscle groups are involved in the performance of a given motor task, and on the other hand, they also perform a stabilizing function. A good example has been shown in defensive activities which require players to actively engage in regaining the possession of the ball, reduce space and block forward passes, demanding high-intensity actions such as accelerations and decelerations []. These actions are often initiated by the movements of the opposing team and are thus high-speed reactions (acceleration and deceleration) to put immediate pressure on the ball. In the offensive zone (the opposition half) it is essential to press high, as nearly half of all winning ball turnovers in various European leagues are shown to create scoring opportunities. This is why the periodization of resistance training based on the use of UNI and BIL exercises is important because it allows the use of appropriate training measures depending on the period of the macrocycle that the team is in. For example, consider that a team plays 3 games in 12 days, taking into account that soccer players can cover from 9 to 14 km during a match and perform a distance of 0.7–3.9 km of fast running (>20–25 km/h), 0.2–0.6 km sprinting (>25 km/h), and approximately 600 accelerations and decelerations. Recovery times may be too short during crowded professional soccer matches when it comes to maintaining physical fitness and preventing injuries [,,]. This was shown in a study [] considering the number of matches per week (one versus two), where the injury rate was significantly higher when players played two matches per week versus one match per week (25.6 versus 4.1 injuries per 1000 h of exposure; p < 0.001). Therefore, taking into account the abovementioned variables, it seems appropriate to use UNI resistance training in soccer. The specificity of training exercises is crucial for the transference of training-induced adaptations to the target performance. Young [] proposes that exercises should be as specific as possible to optimize the transfer of training. In addition, Bosch [] suggested that intramuscular and intermuscular coordination, the similarity of external movements, and energy production are key factors for assessing and predicting the specificity of training methods. A convincing body of empirical evidence also supports the specificity of the type of exercise with regard to the range of motion, speed, posture, and movement patterns. Furthermore, we use a lower external load than in the case of BIL exercises, which can translate into lumbar load []. BIL exercises are usually used in micro-cycles in which one championship match is played. Moreover, BIL exercises are very often used in the preseason where the accumulation phase can be extended by increasing the training load. It should also be taken into account that the team plays championship matches every week and, depending on the coaching concept, the team will prepare one or two resistance training sessions in a weekly micro-cycle. In addition, trainers often use a holistic form of resistance training, which includes both UNI and BIL exercises, some of which play the role of main and accessory exercises, depending on the training goal. Taking the abovementioned into account, it should be stated that maximizing sports results is strongly related to the periodization of the training process. Therefore, UNI training seems to be an important factor, and research supports the thesis that unilateral training is necessary when periodizing resistance training. This study aimed to investigate the effectiveness of a four-week training cycle based on a 3:1 gradual load progression of UNI and BIL exercises on the strength and power of lower limb flexors and extensors. It was hypothesized that the effect of unilateral and bilateral resistance training would be consistent with the principle of specificity. In other words, UNI and BIL resistance training would be more effective in improving the knee flexor performance of soccer players performing with a slow pace in the eccentric phase of movement. On the other hand, UNI resistance exercises would be more effective in the case of the dominant limb, which may result from the learned movement pattern of the subjects when performing such technical and tactical activities as passing, ball handling, feints, and shots on goal by the dominant limb.
2. Materials and Methods
2.1. Participants
The study included 16 male soccer players from division I having the highest number of matches played in the first (winter) round from the entire team (randomly divided into two groups—UNI and BIL). The (±SD) height of the participants was 170 cm, (±SD) body mass 77 kg, (±SD) and age 26 years. In fact, each player had a minimum of 60 championship matches played at the central level and 6 years of experience in resistance training. The subjects were randomly assigned to the UNI and BIL groups as there were no significant differences in the level of strength and power between the study participants. This was a homogenous group of players. The randomization was performed for 2 different conditions using online software (www.randomizer.org (accessed on 5 January 2021)). The participants refrained from resistance training 72 h before the initial testing. The athletes were informed about the procedures of the experiment and its purpose. Each subject gave written consent to participate in the study. The University Bioethics Committee for Research (XXXXXXXXX Nb. 3/2021) approved the study.
2.2. Strength and Power Assessments
Measurements were taken in January 2023 under standard conditions, that is, during the morning hours (8–9 a.m.), with 72 h of restriction from training and consumption of alcohol and caffeine. The peak torque and power of knee extensors and flexors were tested using an “isokinetic device” (HUMAC NORM, Stoughton, MA, USA) []. The tests were performed in the presence of the coaching staff who supervised the tests, and the entire procedure was carried out by a technical employee of the university familiar with the device. Particular muscle groups activated under conditions of concentric work (muscle shortening) with isokinetic (constant) loading under laboratory conditions were evaluated. The device was calibrated according to the manufacturer’s instructions []. Before the test, the participants performed a 10 min warm-up on a stationary cycle (Keiser M3i, Fresno, CA, USA) at 70–80 RPM. To familiarize themselves with the testing procedures, the subjects performed three submaximal and two maximal repetitions (60°/s) before the main test []. A 30 s rest interval was given between repetitions, and a 3 min rest interval was provided between sets []. Before the test began, verbal instruction was given to generate as much force and power as possible during the test. In addition, no verbal encouragement was used during the test, but the computer screen was set so that participants could receive real-time feedback. Participants were seated in an extended position, with the backrest at an angle of 85°. The axis of rotation of the knee joint was placed in line with the axis of rotation of the dynamometer. The lever arm pad was fixed at the head of the fibula so that the movement of the ankle joint was not restricted. Tests were performed within a predefined ROM (90–0°). To minimize compensatory trunk movements during the test, participants were secured using stabilizing straps, according to the manufacturer’s instructions []. The athletes performed a test of five repetitions of knee flexion and extension at 60°/s. The training load was selected using Velocity-Based Training (VBT) corresponding to (1–0.75 m/s), which was determined using the Tendo Power Analyzer linear position transducer (Tendo Sport Machines, Trencin, Slovakia) on which the whole training process was based (Table 1). We considered variables most commonly used in practice and scientific research which include mean velocity (MV) (i.e., the average velocity across the entire concentric phase) and peak velocity (PV) (i.e., the maximum instantaneous velocity reached during the concentric phase) [,].

Table 1.
Resistance training variables.
2.3. Experimental Approach to the Problem
To define the effect of step load progression using the UNI and BIL form of resistance training on peak power and peak torque of the knee joint extensors and flexors, a 3:1 (1 stands for deloading) step load distribution was used (Figure 1). The main factor intensifying load progression, in addition to the nature of the exercise, was the movement tempo (TUT, time under tension) (Table 2). A group of 16 athletes was randomly divided into two groups of 8 participants each for the UNI and BIL mesocycles. Afterward, the athletes performed a four-week resistance training program targeting mainly lower limb muscles during the pre-season, which was divided into 4 training microcycles (1 microcycle = 7 days) (Table 3), based on a load of 50–60% 1 RM (repetition maximum). Each training session was preceded by a 5 min jog, followed by 5 min of cycling on an air bike and the performance of several resistance exercises involving the upper and lower body (5 min) (Table 4).

Figure 1.
Tempo of movement (3/0/2/0) eccentric/isometric/concentric/isometric phases of each repetition/x-maximum velocity.

Table 2.
Time under tension Microcycle variables.

Table 3.
Microcycle variables.

Table 4.
Exercise type.
2.4. Statistical Analyses
All statistical analyses were performed using SPSS (version 25.0; SPSS, Inc., Chicago, IL, USA) and were expressed as means with standard deviations (±SD). Moreover, the 95% confidence intervals for mean values and relative differences (i.e., in percentages) between baseline (BA) and post-intervention were also calculated. Statistical significance was set at p < 0.05. The Shapiro–Wilk, Mauchly’s, and Levine’s tests were used in order to verify the normality, sphericity, and variance homogeneity of the sample data, respectively. In order to compare symmetry index values between the unilateral and bilateral groups, the non-parametric Mann–Whitney U test was used, while the Wilcoxon signed-rank test was used to assess the impact of training (pre- vs. post-training). The independent t-tests were used to compare baseline values in relative peak torque and relative peak power of knee extension and flexion. A two-way ANOVA (2 [unilateral; bilateral training] × 2 [pre; post-training]) was used to examine the changes in relative peak torque and peak power of the dominant and non-dominant knee extension and flexion. When a significant main effect or interaction was found, post-hoc tests with Bonferroni correction were used to analyze the pairwise comparisons. The magnitude of mean differences was expressed with standardized effect sizes. Thresholds for qualitative descriptors of Hedges g were interpreted as ≤0.20 “small”, 0.21–0.79 “medium”, and >0.80 as “large”.
3. Results
3.1. Knee Extension
The two-way ANOVA showed a significant time × training interaction (F = 5.284; p = 0.037; η2 = 0.008) for the knee extension peak torque of the dominant limb. Moreover, a non-significant time × training interaction was found (F = 4.081; p = 0.063; η2 = 0.004), as well as main effect of training (F = 0.245; p = 0.628; η2 = 0.016), but also a significant main effect of time to increase knee extensions peak torque of the non-dominant limb (F = 41.649; p < 0.001; η2 = 0.04) was found. The post-hoc comparison showed a significant increase in dominant limb knee extension peak torque from pre to post-universal (p < 0.001) and bilateral (p = 0.011) training interventions.
Moreover, a non-significant time × training interaction (F = 1.602; p = 0.226; η2 = 0.006) and main effect of training (F = 0.359; p = 0.558; η2 = 0.022) were found but also a significant main effect of time to increase knee extensions peak power of dominant limb (F = 12.288; p = 0.003; η2 = 0.046) was found. Similarly, there was a non-significant time × training interaction (F = 0.068; p = 0.797; η2 < 0.001) and main effect of training (F = 0.404; p = 0.535; η2 = 0.026) but also a significant main effect of time to increase knee extensions peak power of the non-dominant limb (F = 32.387; p < 0.001; η2 = 0.048).
3.2. Knee Flexion
The two-way ANOVA showed a significant time × training interaction (F = 8.721; p = 0.01; η2 = 0.023) for knee flexion peak torque of the dominant limb and (F = 5.345; p = 0.037; η2 = 0.02) for the non-dominant limb. Moreover, a significant time × training interaction (F = 12.380; p = 0.003; η2 = 0.019) for knee flexion peak power of the dominant limb was found. Furthermore, there was a non-significant time × training interaction (F = 0.880; p = 0.364; η2 = 0.008) and a main effect of training (F = 1.256; p = 0.281; η2 = 0.066) for knee flexion peak power of the non-dominant limb. However, a significant main effect of time to increase knee flexion peak power of the non-dominant limb (F = 7.507; p = 0.016; η2 = 0.066) was found.
The post-hoc comparison revealed a significant increase in dominant limb knee flexion peak torque from pre to post-universal (p < 0.001) and bilateral (p < 0.001) training interventions. Moreover, the non-dominant knee flexion peak torque increased significantly only from the pre to post-universal training intervention (p < 0.001). Similarly, a significant increase from pre to post-intervention in dominant knee flexion peak power was found only in the unilateral training group (p < 0.001).
3.3. Symmetry Index
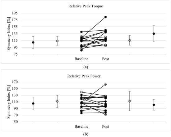
At baseline and after the training intervention, there were no significant differences between groups for any of the symmetry index values (p > 0.05). The Wilcoxon signed-rank test revealed a significant increase in peak torque flexion symmetry index in the bilateral training group after the intervention compared to baseline values (110 ± 17 vs. 135 ± 24%; p = 0.012) (Figure 2 and Figure 3).

Figure 2.
(a) Inter-individual responses to the unilateral (unfilled circle) and bilateral (filled circle) training intervention in the knee extension symmetry index in relation to relative peak torque. (b) Inter-individual responses to the unilateral (unfilled circle) and bilateral (filled circle) training intervention in the knee extension symmetry index in relation to relative peak power.

Figure 3.
(a) Inter-individual responses to the unilateral (unfilled circle) and bilateral (filled circle) training intervention in the knee flexion symmetry index in relation to relative peak torque. (b) Inter-individual responses to the unilateral (unfilled circle) and bilateral (filled circle) training intervention in the knee flexion symmetry index in relation to relative peak power.
4. Discussion
Overall, the analysis showed that the training sessions were equally effective. Only in terms of power during the knee flexion, unilateral training contributed to improvement, whereas bilateral training did not. However, the effect size was larger after unilateral training in each variable tested (Table 5 and Table 6). Comprehensive training requirements resulting from the specificity of a given discipline require proper periodization of resistance training. Therefore, the present study investigated the effects of a periodized training mesocycle using step load progression during unilateral and bilateral training on the level of peak torque and power of lower limb extensors and flexors. The results of the experiment showed that the UNI mesocycle was more effective in developing peak torque and power of lower limb extensors and flexors. Appropriate modeling of resistance training, depending on its purpose, induces various types of morphological and neural adaptations, which are a direct consequence of this process [,,,].

Table 5.
Relative peak torque and relative peak power during the knee extension before and after the training intervention.

Table 6.
Relative peak torque and relative peak power during the knee flexion before and after the training intervention.
Our mesocycle consisted of four training microcycles, which were conditioned by the team’s preseason which consisted of five mesocycles. The first 10-day microcycle included two resistance training sessions for neuromuscular adaptations and four 7-day microcycles (two training sessions per microcycle) with the use of a 3:1 step load distribution in order to achieve neuromuscular supercompensation before the start of the competitions. Both the UNI and BIL groups performed exercises mainly for the lower part of the body, which results from the specificity of the discipline, and several exercises for the upper body. The step load was selected based on a modified non-linear or “undulating” periodization model (Figure 1) []. The main training variables were pace and time under tension, which are part of the training volume according to Wilk et al. []. However, the entire intensity of the mesocycle was constant and was determined during each training session using Velocity Based Training (VBT) corresponding to (1–0.75 m/s), which is equal to 50–60% of 1 RM (Table 1) []. Because using an athlete’s previous maximum capacity to determine training loads may be problematic if the athlete’s 1 RM changes as a result of training adaptations, the prescribed load may not match the % of 1 RM intended for a given training session. Additionally, each player may react differently to the main soccer training sessions, especially in the preseason, which may result in variable loads (kg) at which the players will generate appropriate power (1–0.75 m/s). Another fact is that the number of repetitions that can be performed at a given % of 1 RM varies among athletes; therefore, assigning all athletes the same number of sets and repetitions may result in different levels of effort and fatigue [].
In our research, athletes during the 4-week UNI and BIL mesocycle were equally effective even though the load from VBT corresponds to 50–60% of 1 RM (Table 2 and Table 3). This is contrary to the research of Peterson et al. [] where it was shown that trained non-athletes during resistance training effectively develop maximum strength with a mean training intensity of 80% of 1 RM, 2 days per week, and a mean volume of four sets. This work also showed that for untrained people, maximum strength gains are achieved at an average training intensity of 60% 1 RM), 3 days per week, and an average training volume of four sets per muscle group. For athletes, maximal strength gains are elicited at a mean training intensity of 85% of 1 RM, 2 days per week, and with a mean training volume of eight sets per muscle group. In another study, an 8-week mesocycle of resistance training (RT) was compared with plyometric training (PLY) and a control group (CG). Soccer players in the RT group performed three sets of exercises with 10 repetitions twice a week at 80% 1 RM (1–3 weeks). Afterward, eight reps at 85% 1 RM (4–6 weeks) and six reps at 90% 1 RM (7–8 weeks) were performed. The PLY protocol involved a preparatory phase (weeks 1–2), followed by two 3-week periods of progressive loads (weeks 3–5 and weeks 6–8). The results of the isokinetic test showed a significant improvement in the maximum torque of the extensors and flexors of the knee joint (large ES). It was found that the RT group had a higher level of peak torque extensor compared to the control group (CG), while it did not differ from the PLY group. This study also showed a greater intra-group effect size for the RT when compared to either PLY or CG groups. Post hoc testing showed improvements in knee flexor peak torque in all groups pre- and post-training. However, the greatest improvement was achieved in the RT group (from 125.3 to 143.3 Nm). The next variable was the value obtained of 1 Rm in the back squat where it was significantly higher in the RT compared to the CG group (±24.9 kg) and PLY group (±41.8 kg). To conclude, the value of 1 RM in the squat was improved in each group. However, in the next paper, the authors stated that the motor performance of soccer players seems to be more effectively associated with variables that are measured within the power-training load range at which peak power is obtained. The peak power of highly trained soccer players was shown to occur with loads of 45% and 60% 1 RM during jump- and back squat exercises, respectively. []. Lopez-Segovia et al. [] assessed the effects of velocity-based resistance training on strength, aerobic power, and acceleration. Two under-19 Spanish soccer teams completed a 16-week resistance training program followed by strength and power evaluations. The study participants were subjected to two evaluations, before and after the training intervention, where CMJ and CMJ20, Smith machine speed movement (FSL) (20, 30, 40 kg), acceleration capacity at various split times, and MAS were evaluated. Loads used by each player were individually determined according to the results of the initial test. The athletes trained at a bar speed of 1 m/s in the back squat, which corresponded to approximately 55% of 1 RM. Overall, Team A improved in the CMJ tests by (5%), strength, and speed tests of the back squat at 20, 30, and 40 kg loads. Additionally, the team’s maximum aerobic speed was significantly improved. We believe that the evaluation of our research should take into account, in addition to % 1 RM (50–60%) or VBT (1–0.75 m/s), the duration of the intervention (4-week mesocycle). In this manner, we agree that adaptive changes to resistance training are generally evident after 8 to 12 weeks. However, some studies have observed increases in muscle strength after 2–4 weeks []. The primary argument is that this early increase in strength is likely due to neuromuscular and connective tissue adaptations, whereas the early increase in muscle CSA (cross-sectional area) size may be the result of edema []. An important factor that had a significant impact on the results of our study was the movement tempo and TUT. The main issue of our periodization included the extension of the eccentric phase of movement in particular exercises performed with a load of 50–60% 1 RM. This selection is optimal for power development, but we wanted to avoid submaximal and maximum loads (85–100% 1 RM) on the other hand, assuming that extending the eccentric phase of movement could cause excessive muscle damage and delayed muscle soreness (DOMS) []. The appearance of DOMS in players in the pre-season could significantly affect their effectiveness in technical and tactical activities during soccer training and increase the risk of injury through micro-damage to muscle fibers. In our study, we considered the extension of tempo in the eccentric phase with an appropriate supercompensation during the intervention mesocycle. At a given load, the movement tempo variation was a consequence of an immediate change in TUT (time under tension) and in consequence a change in total training volume affecting muscle strength and power [,,]. Roig et al. [] compared eccentric muscle contractions and showed several distinct physiological properties as compared with concentric actions. For example, different neurological patterns have been observed between these two types of muscle contractions. Compared with concentric contractions, eccentric ones are characterized by a broader and faster cortical activity as movements are being executed. Faster neural adaptations during eccentric contractions involve an inverse motor unit activation pattern. Kidgell [] highlighted a greater cross-transfer of strength with an eccentric phase (47%) versus concentric phase (28%) loading group. One of the possible reasons for the greater effect of eccentric loading was a larger increase in corticospinal excitability, which has been proposed as the mechanism underlying this effect []. All exercises used in the experiment were based on the SSC (stretch–shortening cycle). During concentric contractions (CON), the force that muscles generate is always lower than the maximum voluntary isometric contraction, because the load that the muscles must overcome decreases and the speed of contraction increases. This process depends on the moment at which the muscles reach their maximum contraction velocity, (Vmax). When the speed of contraction is negative (the muscle lengthens), the muscles contract eccentrically. For eccentric contractions (ECC) of a muscle, the force-velocity relationship is significantly different from the CON contraction. Supramaximal muscle strength can be generated at both slow and fast contraction speeds. This creates a method of training with high loads at high speeds, which is impossible to achieve with CON contractions according to the force–velocity relationship. During active stretching, human muscle fibers produce 1.4 to 2.1 times the tension (force produced per cross-sectional area of the muscle) depending on the type of fiber []. A rapid or explosive tempo is typically used to improve maximal power.
Despite the small number of studies considering the effects of different TUTs on peak power, it can be pointed out that faster tempos are more effective in developing power. However, the biomechanical demands for particular limbs change with the weight being lifted and depend to some extent on the role that the joint plays in the movement. This process is also influenced by the individual potential of the athlete []. This fact changes the concepts of periodization of strength and power training. Therefore, in order to develop power, a fast or explosive TUT of movement is recommended, but to optimize movement at particular joints, a combination of external loads based on different percentages of 1 RM may be recommended. The available data on the effects of different movement tempos on power refer to chronic changes, and only one study considered the acute effects of movement tempo on power. This study found that a faster eccentric tempo (2/0/X/0 − X determines maximum velocity) during the bench press exercise generated greater power levels and higher bar speed in a concentric movement compared to a slower eccentric tempo (6/0/X/0). Therefore, this study shows that the time of eccentric movements has a significant impact on power output and barbell speed of central movements [,]. However, when comparing both forms of the UNI and BIL mesocycle to the obtained results, they were equally effective except for power output during knee flexion, where unilateral training contributed to improvement, whereas bilateral training did not. However, the effect size was larger after unilateral training in each variable tested. It is worth referring to the work of Wilk et al. [], which pointed out that the most appropriate TUT for strength gains is between 2 and 20 s per set, while Vieira et al. [] concluded that RT performed not until failure may induce comparable or even greater improvements in maximal dynamic strength and power output. He pointed out that the completion of a maximum concentric repetition of resistance exercises at a particular load could result in greater improvement of maximum strength and power than a relatively slow repetition at a slower tempo with fewer repetitions []. This is contrary to our results because, during the peak accumulation phase, TUT was 50 s for the BIL exercise and 100 s for ones (50 s per limb). However, attention should be paid to the maximum concentric phase in each of our microcycles. We believe that such a large training volume in the TUT accumulation phase, especially in the UNI form, could have brought the players closer to muscle failure, which can explain to some extent the better effect size of the UNI training intervention. Moreover, most of the data on tempo and TUT deal with people who come strictly from strength oriented sports. Bearing in mind that soccer is a holistic sport, this could allow these players to perform a given number of repetitions with a specific VBT or 1% RM. Furthermore, by using periodization schedules in combination with step load strategies, an appropriate sequence of training loads is determined to improve performance []. The step-loading model provides a gradual overload and an unloading phase that allows for regeneration, physiological adaptation, and psychological renewal within the structure of a traditional periodic schedule []. In such schedules, progressive overloading and loading may occur in mesocycles and microcycles []. The use of resistance training in soccer during the preseason does not have to refer only to the development of strength and power, but through the selection of appropriate measures, e.g., UNI and BIL exercises, it can also play a key role in injury prevention, taking into account the length of the season and the risk of injuries and micro-injuries that may cause strength and power asymmetry. Bilateral muscular asymmetry is widely recognized as a precursor to musculoskeletal injuries [,,,,]. Hence, an additional argument apart from the results obtained in the UNI mesocycle is the phenomenon of using the so-called bilateral deficit (BLD) and selective recruitment of motor units []. BLD is a phenomenon that indicates that the total strength of each limb is greater than the maximum strength of both limbs working simultaneously in a given motor task [,]. This suggests that the amount of muscle strength and power generated by well-trained athletes may be less with BIL training than with UNI training. In addition, the use of UNI exercises may provide significantly greater neuromuscular overload and may differ from the range of motion, which is determined by exercise choice, pace, external load, and even training experience [,,,]. Thus, there are strong indications that the specificity of neuromuscular demands in UNI exercises will be different than in BIL exercises. BLD occurs, according to many authors, in untrained individuals with low levels of strength and power [,]. This suggests that the generation of force during UNI movements may account for more than 50% of the maximum force produced during BIL exercise. For example, an athlete can perform a single leg press with a maximum load of 60 kg, while in the BIL setting, he or she overcomes a maximum of 100 kg, potentially limiting maximum force production. An athlete may unknowingly perform a BIL exercise asymmetrically, contributing to or exacerbating musculoskeletal imbalances [,,]. In resistance training periodization and rehabilitation protocols, asymmetry can interfere with the normal development of motor potential. Given the structure of the exercises in the UNI mesocycle, they may stimulate stabilizing muscles of the core and knee joint to a greater extent than BIL exercises, which may be beneficial for improving stability and strength transfer through the kinematic chain. However, the greater neuromuscular adaptation of agonists with BIL training may counteract the stability and evasiveness of UNI exercises [,]. We assume that this effect may be further increased by extending the eccentric phase, which may be an additional argument for the use of this periodization. Although this variable was not the subject of our research, we believe that it is worth referring to the work of Fisher et al. [] in the context of our results, where they found that the use of UNI strength training may increase the potential for stabilizing muscles (the hip adductor muscles) to generate greater force and power through increased EMG activity.
5. Conclusions
The results of our study showed that the training sessions were equally effective. Only in terms of power during knee flexion, unilateral training contributed to improvement, whereas bilateral training did not. However, the effect size was larger after unilateral training in each variable tested. Thus explosive technical and tactical activities tend to improve more on the dominant side, which partially explains the dependence of maximum strength in the recruitment capacity of motor units and the number of nerve impulses reaching the muscles. This may be due to the research participants (soccer players), as the sport is based on performing numerous activities with a lowered center of gravity, which includes all kinds of accelerations and decelerations, where through slight flexion at the knee joint, mainly the quadriceps are activated. This indicates that during resistance training players often perform exercises in a restricted range of motion, which is consistent with the research of Cejudo et al. [], which found that soccer players, due to the specificity of the discipline, have limited external rotation and adduction of the hip joint. Therefore, the use of periodization using the step load based on an extended eccentric phase and maximum velocity concentric phase during the preseason in combination with UNI training may increase the potential to generate strength and power in soccer players. Additionally, the use of this periodization allows avoiding maladaptation and injury due to the appearance of supercompensation after the deloading microcycle [,]. However, we believe that extending the rest intervals between sets with such a training volume would allow for better results.
Author Contributions
Conceptualization, M.D.; Methodology, M.D. and N.K.; Software, M.D., N.K., J.M. and M.B.-P.; Validation, M.D. and A.Z.; Formal analysis, J.M.; Investigation, M.D., N.K. and J.M.; Resources, K.F.; Data curation, M.D. and N.K.; Writing—original draft, M.D. and N.K.; Writing—review & editing, M.D.; Visualization, M.D. and K.F.; Supervision, K.F., M.B.-P. and A.Z.; Project administration, M.D., K.F. and A.Z.; Funding acquisition, K.F. and A.Z. All authors have read and agreed to the published version of the manuscript.
Funding
The research was supported by the Jerzy Kukuczka Academy of Physical Education in Katowice, Poland and Galen-Orthopaedics Jerzego 6, 43-150 Bieruń, Poland.
Institutional Review Board Statement
The study was conducted in accordance with the Declaration of Helsinki, and approved by Uczelnianej Komisji Bioetycznej ds. Badań Naukowych przy Akademii Wychowania (Dz. U. 1999 Nr 47, poz. 480). The experiments complied with the current laws of the country in which they were performed.
Informed Consent Statement
Informed consent was obtained from all subjects involved in the study.
Data Availability Statement
The datasets generated and analyzed during the current study are not publicly available but are available from the corresponding author who organized of the study.
Acknowledgments
We would like to thank the coaches for their help in the research and the players for participating in the research.
Conflicts of Interest
The authors have no conflicts of interest to declare.
References
- Lopez, P.; Radaelli, R.; Taaffe, D.R.; Newton, R.U.; Galvão, D.A.; Trajano, G.S.; Teodoro, J.L.; Kraemer, W.J.; Häkkinen, K.; Pinto, R.S. Resistance Training Load Effects on Muscle Hypertrophy and Strength Gain: Systematic Review and Network Meta-Analysis. Med. Sci. Sports Exerc. 2021, 53, 1206. [Google Scholar] [CrossRef]
- Carvalho, L.; Junior, R.M.; Barreira, J.; Schoenfeld, B.J.; Orazem, J.; Barroso, R. Muscle Hypertrophy and Strength Gains after Resistance Training with Different Volume-Matched Loads: A Systematic Review and Meta-Analysis. Appl. Physiol. Nutr. Metab. 2022, 47, 357–368. [Google Scholar] [CrossRef]
- Drozd, M.; Krzysztofik, M.; Nawrocka, M.; Krawczyk, M.; Kotuła, K.; Langer, A.; Maszczyk, A. Analysis of the 30-m running speed test results in soccer players in third soccer leagues. Turk. J. Kinesiol. 2017, 3, 1–5. [Google Scholar]
- Weldon, A.; Duncan, M.J.; Turner, A.; Lockie, R.G.; Loturco, I. Practices of Strength and Conditioning Coaches in Professional Sports: A Systematic Review. Biol. Sport 2022, 39, 715–726. [Google Scholar] [CrossRef] [PubMed]
- Fleck, S.J.; Falkel, J.E. Value of Resistance Training for the Reduction of Sports Injuries. Sports Med. 1986, 3, 61–68. [Google Scholar] [CrossRef] [PubMed]
- Wilk, M.; Golas, A.; Stastny, P.; Nawrocka, M.; Krzysztofik, M.; Zajac, A. Does Tempo of Resistance Exercise Impact Training Volume? J. Hum. Kinet. 2018, 62, 241–250. [Google Scholar] [CrossRef] [PubMed]
- Lorenz, D.S.; Reiman, M.P.; Walker, J.C. Periodization: Current Review and Suggested Implementation for Athletic Rehabilitation. Sports Health 2010, 2, 509–518. [Google Scholar] [CrossRef] [PubMed]
- Harries, S.K.; Lubans, D.R.; Callister, R. Systematic Review and Meta-Analysis of Linear and Undulating Periodized Resistance Training Programs on Muscular Strength. J. Strength Cond. Res. 2015, 29, 1113–1125. [Google Scholar] [CrossRef] [PubMed]
- Kraemer, W.J.; Ratamess, N.A.; Flanagan, S.D.; Shurley, J.P.; Todd, J.S.; Todd, T.C. Understanding the Science of Resistance Training: An Evolutionary Perspective. Sports Med. 2017, 47, 2415–2435. [Google Scholar] [CrossRef] [PubMed]
- Wilk, M.; Zajac, A.; Tufano, J.J. The Influence of Movement Tempo During Resistance Training on Muscular Strength and Hypertrophy Responses: A Review. Sports Med. 2021, 51, 1629–1650. [Google Scholar] [CrossRef]
- Mookerjee, S.; Ratamess, N. Comparison of Strength Differences and Joint Action Durations Between Full and Partial Range-of-Motion Bench Press Exercise. J. Strength Cond. Res. 1999, 13, 76. [Google Scholar] [CrossRef][Green Version]
- Suchomel, T.J.; Wagle, J.P.; Douglas, J.; Taber, C.B.; Harden, M.; Haff, G.G.; Stone, M.H. Implementing Eccentric Resistance Training—Part 1: A Brief Review of Existing Methods. J. Funct. Morphol. Kinesiol. 2019, 4, 38. [Google Scholar] [CrossRef]
- Salagas, A.; Tsoukos, A.; Terzis, G.; Paschalis, V.; Katsikas, C.; Krzysztofik, M.; Wilk, M.; Zajac, A.; Bogdanis, G.C. Effectiveness of Either Short-Duration Ischemic Pre-Conditioning, Single-Set High-Resistance Exercise, or Their Combination in Potentiating Bench Press Exercise Performance. Front. Physiol. 2022, 13, 1083299. [Google Scholar] [CrossRef]
- Krzysztofik, M.; Wilk, M.; Wojdała, G.; Gołaś, A. Maximizing Muscle Hypertrophy: A Systematic Review of Advanced Resistance Training Techniques and Methods. Int. J. Environ. Res. Public Health 2019, 16, 4897. [Google Scholar] [CrossRef]
- Liao, K.-F.; Nassis, G.P.; Bishop, C.; Yang, W.; Bian, C.; Li, Y.-M. Effects of Unilateral vs. Bilateral Resistance Training Interventions on Measures of Strength, Jump, Linear and Change of Direction Speed: A Systematic Review and Meta-Analysis. Biol. Sport 2022, 39, 485–497. [Google Scholar] [CrossRef] [PubMed]
- Speirs, D.E.; Bennett, M.A.; Finn, C.V.; Turner, A.P. Unilateral vs. Bilateral Squat Training for Strength, Sprints, and Agility in Academy Rugby Players. J. Strength Cond. Res. 2016, 30, 386–392. [Google Scholar] [CrossRef]
- Sollanek, K.J.; Talpey, S.W.; Sökmen, B. The Effects of Acute Bilateral and Unilateral Set Protocols on Muscle Power and Rate of Force Development. Sports Med. Rehabil. J. 2017, 2, 1012. [Google Scholar]
- Chaouachi, A.; Brughelli, M.; Chamari, K.; Levin, G.T.; Ben Abdelkrim, N.; Laurencelle, L.; Castagna, C. Lower Limb Maximal Dynamic Strength and Agility Determinants in Elite Basketball Players. J. Strength Cond. Res. 2009, 23, 1570–1577. [Google Scholar] [CrossRef]
- Brechue, W.F.; Mayhew, J.L.; Piper, F.C. Characteristics of Sprint Performance in College Football Players. J. Strength Cond. Res. 2010, 24, 1169–1178. [Google Scholar] [CrossRef] [PubMed]
- Comfort, P.; Haigh, A.; Matthews, M.J. Are Changes in Maximal Squat Strength during Preseason Training Reflected in Changes in Sprint Performance in Rugby League Players? J. Strength Cond. Res. 2012, 26, 772–776. [Google Scholar] [CrossRef] [PubMed]
- Hornsby, W.G.; Gentles, J.A.; Haff, G.G.; Stone, M.H.; Buckner, S.L.; Dankel, S.J.; Bell, Z.W.; Abe, T.; Loenneke, J.P. What Is the Impact of Muscle Hypertrophy on Strength and Sport Performance? Strength Cond. J. 2018, 40, 99–111. [Google Scholar] [CrossRef]
- Cormie, P.; McGuigan, M.R.; Newton, R.U. Adaptations in Athletic Performance after Ballistic Power versus Strength Training. Med. Sci. Sports Exerc. 2010, 42, 1582–1598. [Google Scholar] [CrossRef]
- Garstecki, M.A.; Latin, R.W.; Cuppett, M.M. Comparison of Selected Physical Fitness and Performance Variables between NCAA Division I and II Football Players. J. Strength Cond. Res. 2004, 18, 292–297. [Google Scholar] [CrossRef]
- Newton, R.U.; Gerber, A.; Nimphius, S.; Shim, J.K.; Doan, B.K.; Robertson, M.; Pearson, D.R.; Craig, B.W.; Häkkinen, K.; Kraemer, W.J. Determination of Functional Strength Imbalance of the Lower Extremities. J. Strength Cond. Res. 2006, 20, 971–977. [Google Scholar] [CrossRef] [PubMed]
- Banyard, H.G.; Nosaka, K.; Haff, G.G. Reliability and Validity of the Load-Velocity Relationship to Predict the 1RM Back Squat. J. Strength Cond. Res. 2017, 31, 1897–1904. [Google Scholar] [CrossRef]
- Chaabene, H.; Prieske, O.; Negra, Y.; Granacher, U. Change of Direction Speed: Toward a Strength Training Approach with Accentuated Eccentric Muscle Actions. Sports Med. 2018, 48, 1773–1779. [Google Scholar] [CrossRef] [PubMed]
- Papla, M.; Krzysztofik, M.; Wojdala, G.; Roczniok, R.; Oslizlo, M.; Golas, A. Relationships between Linear Sprint, Lower-Body Power Output and Change of Direction Performance in Elite Soccer Players. Int. J. Environ. Res. Public Health 2020, 17, 6119. [Google Scholar] [CrossRef]
- Hertzog, M.; Rumpf, M.C.; Hader, K. Resistance Training Status and Effectiveness of Low-Frequency Resistance Training on Upper-Body Strength and Power in Highly Trained Soccer Players. J. Strength Cond. Res. 2020, 34, 1032–1039. [Google Scholar] [CrossRef]
- Lockie, R.G.; Callaghan, S.J.; Berry, S.P.; Cooke, E.R.A.; Jordan, C.A.; Luczo, T.M.; Jeffriess, M.D. Relationship between Unilateral Jumping Ability and Asymmetry on Multidirectional Speed in Team-Sport Athletes. J. Strength Cond. Res. 2014, 28, 3557–3566. [Google Scholar] [CrossRef]
- Bogdanis, G.; Tsoukos, A.; Kaloheri, O.; Terzis, G.; Veligekas, P.; Brown, L. Comparison Between Unilateral and Bilateral Plyometric Training on Single- and Double-Leg Jumping Performance and Strength. J. Strength Cond. Res. 2019, 33, 633–640. [Google Scholar] [CrossRef]
- Krosta, R.; Drozd, M.; Goralczyk, R.; Kostrzewa, M.; Fischerova, P.; Ignatieva, A. Models of Speed Development in Soccer. BJHPA 2020, 12, 27–34. [Google Scholar] [CrossRef]
- Bortnik, L.; Burger, J.; Rhodes, D. The Mean and Peak Physical Demands during Transitional Play and High Pressure Activities in Elite Football. Biol. Sport 2022, 39, 1055–1064. [Google Scholar] [CrossRef]
- Clemente, F.M.; Praça, G.M.; Bredt, S.d.G.T.; van der Linden, C.M.I.; Serra-Olivares, J. External Load Variations Between Medium- and Large-Sided Soccer Games: Ball Possession Games Vs Regular Games with Small Goals. J. Hum. Kinet. 2019, 70, 191–198. [Google Scholar] [CrossRef]
- Modric, T.; Versic, S.; Stojanovic, M.; Chmura, P.; Andrzejewski, M.; Konefał, M.; Sekulic, D. Factors Affecting Match Running Performance in Elite Soccer: Analysis of UEFA Champions League Matches. Biol. Sport 2023, 40, 409–416. [Google Scholar] [CrossRef]
- Pillitteri, G.; Giustino, V.; Petrucci, M.; Rossi, A.; Bellafiore, M.; Thomas, E.; Iovane, A.; Bianco, A.; Palma, A.; Battaglia, G. External Load Profile during Different Sport-Specific Activities in Semi-Professional Soccer Players. BMC Sports Sci. Med. Rehabil. 2023, 15, 22. [Google Scholar] [CrossRef]
- Dupont, G.; Nedelec, M.; Mccall, A.; McCormack, D.; Berthoin, S.; Wisloff, U. Effect of 2 Soccer Matches in a Week on Physical Performance and Injury Rate. Am. J. Sports Med. 2010, 38, 1752–1758. [Google Scholar] [CrossRef]
- Young, W.B. Transfer of Strength and Power Training to Sports Performance. Int. J. Sports Physiol. Perform. 2006, 1, 74–83. [Google Scholar] [CrossRef] [PubMed]
- Bosch: Strength Training and Coordination: An Integrative…—Google Scholar. Available online: https://scholar.google.com/scholar_lookup?title=Strength+Training+and+Coordination:+An+Integrative+Approach&publication_year=2016& (accessed on 27 December 2023).
- HUMAC NORM TESTING & REHABILITATION SYSTEM—PDF Free Download. Available online: https://docplayer.net/37846364-Humac-norm-testing-rehabilitation-system.html (accessed on 24 March 2023).
- Almosnino, S.; Stevenson, J.M.; Bardana, D.D.; Diaconescu, E.D.; Dvir, Z. Reproducibility of Isokinetic Knee Eccentric and Concentric Strength Indices in Asymptomatic Young Adults. Phys. Ther. Sport 2012, 13, 156–162. [Google Scholar] [CrossRef] [PubMed]
- Tomasevicz, C.L.; Hasenkamp, R.M.; Ridenour, D.T.; Bach, C.W. Validity and Reliability Assessment of 3-D Camera-Based Capture Barbell Velocity Tracking Device. J. Sci. Med. Sport 2020, 23, 7–14. [Google Scholar] [CrossRef] [PubMed]
- Pérez-Castilla, A.; Piepoli, A.; Delgado-García, G.; Garrido-Blanca, G.; García-Ramos, A. Reliability and Concurrent Validity of Seven Commercially Available Devices for the Assessment of Movement Velocity at Different Intensities During the Bench Press. J. Strength Cond. Res. 2019, 33, 1258–1265. [Google Scholar] [CrossRef]
- Ebben, W.P.; Blackard, D.O. Strength and Conditioning Practices of National Football League Strength and Conditioning Coaches. J. Strength Cond. Res. 2001, 15, 48–58. [Google Scholar]
- Folland, J.P.; Williams, A.G. The Adaptations to Strength Training: Morphological and Neurological Contributions to Increased Strength. Sports Med. 2007, 37, 145–168. [Google Scholar] [CrossRef]
- Emery, C.A.; Roy, T.-O.; Whittaker, J.L.; Nettel-Aguirre, A.; van Mechelen, W. Neuromuscular Training Injury Prevention Strategies in Youth Sport: A Systematic Review and Meta-Analysis. Br. J. Sports Med. 2015, 49, 865–870. [Google Scholar] [CrossRef]
- Ebert, J.R.; Edwards, P.K.; Fick, D.P.; Janes, G.C. A Systematic Review of Rehabilitation Exercises to Progressively Load the Gluteus Medius. J. Sport Rehabil. 2017, 26, 418–436. [Google Scholar] [CrossRef] [PubMed]
- Lorenz, D.; Morrison, S. CURRENT CONCEPTS IN PERIODIZATION OF STRENGTH AND CONDITIONING FOR THE SPORTS PHYSICAL THERAPIST. Int. J. Sports Phys. Ther. 2015, 10, 734–747. [Google Scholar] [PubMed]
- Weakley, J.; Mann, B.; Banyard, H.; McLaren, S.; Scott, T.; Garcia-Ramos, A. Velocity-Based Training: From Theory to Application. Strength Cond. J. 2021, 43, 31. [Google Scholar] [CrossRef]
- Peterson, M.D.; Rhea, M.R.; Alvar, B.A. Applications of the Dose-Response for Muscular Strength Development: A Review of Meta-Analytic Efficacy and Reliability for Designing Training Prescription. J. Strength Cond. Res. 2005, 19, 950–958. [Google Scholar] [CrossRef] [PubMed]
- Loturco, I.; Ugrinowitsch, C.; Tricoli, V.; Pivetti, B.; Roschel, H. Different Loading Schemes in Power Training during the Preseason Promote Similar Performance Improvements in Brazilian Elite Soccer Players. J. Strength Cond. Res. 2013, 27, 1791–1797. [Google Scholar] [CrossRef] [PubMed]
- López-Segovia, M.; Palao Andrés, J.M.; González-Badillo, J.J. Effect of 4 Months of Training on Aerobic Power, Strength, and Acceleration in Two Under-19 Soccer Teams. J. Strength Cond. Res. 2010, 24, 2705. [Google Scholar] [CrossRef]
- Hughes, D.C.; Ellefsen, S.; Baar, K. Adaptations to Endurance and Strength Training. Cold Spring Harb. Perspect. Med. 2018, 8, a029769. [Google Scholar] [CrossRef]
- Damas, F.; Phillips, S.M.; Lixandrão, M.E.; Vechin, F.C.; Libardi, C.A.; Roschel, H.; Tricoli, V.; Ugrinowitsch, C. Early Resistance Training-Induced Increases in Muscle Cross-Sectional Area Are Concomitant with Edema-Induced Muscle Swelling. Eur. J. Appl. Physiol. 2016, 116, 49–56. [Google Scholar] [CrossRef]
- Harris-Love, M.O.; Seamon, B.A.; Gonzales, T.I.; Hernandez, H.J.; Pennington, D.; Hoover, B.M. Eccentric Exercise Program Design: A Periodization Model for Rehabilitation Applications. Front. Physiol. 2017, 8, 112. [Google Scholar] [CrossRef]
- Gepfert, M.; Krzysztofik, M.; Kostrzewa, M.; Jarosz, J.; Trybulski, R.; Zajac, A.; Wilk, M. The Acute Impact of External Compression on Back Squat Performance in Competitive Athletes. Int. J. Environ. Res. Public Health 2020, 17, 4674. [Google Scholar] [CrossRef]
- Wilk, M.; Jarosz, J.; Krzysztofik, M.; Filip-Stachnik, A.; Bialas, M.; Rzeszutko-Belzowska, A.; Zajac, A.; Stastny, P. Contrast Tempo of Movement and Its Effect on Power Output and Bar Velocity During Resistance Exercise. Front. Physiol. 2021, 11, 629199. [Google Scholar] [CrossRef]
- Roig, M.; O’Brien, K.; Kirk, G.; Murray, R.; McKinnon, P.; Shadgan, B.; Reid, W.D. The Effects of Eccentric versus Concentric Resistance Training on Muscle Strength and Mass in Healthy Adults: A Systematic Review with Meta-Analysis. Br. J. Sports Med. 2009, 43, 556–568. [Google Scholar] [CrossRef]
- Kidgell, D.J.; Frazer, A.K.; Rantalainen, T.; Ruotsalainen, I.; Ahtiainen, J.; Avela, J.; Howatson, G. Increased Cross-Education of Muscle Strength and Reduced Corticospinal Inhibition Following Eccentric Strength Training. Neuroscience 2015, 300, 566–575. [Google Scholar] [CrossRef] [PubMed]
- Latella, C.; Kidgell, D.J.; Pearce, A.J. Reduction in Corticospinal Inhibition in the Trained and Untrained Limb Following Unilateral Leg Strength Training. Eur. J. Appl. Physiol. 2012, 112, 3097–3107. [Google Scholar] [CrossRef] [PubMed]
- Plotkin, D.L.; Roberts, M.D.; Haun, C.T.; Schoenfeld, B.J. Muscle Fiber Type Transitions with Exercise Training: Shifting Perspectives. Sports 2021, 9, 127. [Google Scholar] [CrossRef] [PubMed]
- Wilk, M.; Golas, A.; Zmijewski, P.; Krzysztofik, M.; Filip, A.; Coso, J.D.; Tufano, J.J. The Effects of the Movement Tempo on the One-Repetition Maximum Bench Press Results. J. Hum. Kinet. 2020, 72, 151–159. [Google Scholar] [CrossRef] [PubMed]
- Trybulski, R.; Jarosz, J.; Krzysztofik, M.; Filip-Stachnik, A.; Matykiewicz, P.; Zmijewski, P.; Bichowska, M.; Wilk, M. Impact of Movement Tempo Distribution on Bar Velocity During a Multi-Set Bench Press Exercise. J. Hum. Kinet. 2021, 80, 277–285. [Google Scholar] [CrossRef] [PubMed]
- Vieira, A.F.; Umpierre, D.; Teodoro, J.L.; Lisboa, S.C.; Baroni, B.M.; Izquierdo, M.; Cadore, E.L. Effects of Resistance Training Performed to Failure or Not to Failure on Muscle Strength, Hypertrophy, and Power Output: A Systematic Review with Meta-Analysis. J. Strength Cond. Res. 2021, 35, 1165. [Google Scholar] [CrossRef]
- Lu, W.; Du, Z.; Zhou, A. Fast and Medium Tempo Resistance Training with a Low Number of Repetitions in Trained Men: Effects on Maximal Strength and Power Output. J. Hum. Kinet. 2023, 87, 157–165. [Google Scholar] [CrossRef]
- Bompa, T.O.; Buzzichelli, C. Periodization-6th Edition: Theory and Methodology of Training; Human Kinetics: Champaign, IL, USA, 2019; ISBN 978-1-4925-4480-7. [Google Scholar]
- Turner, A. The Science and Practice of Periodization: A Brief Review. Strength Cond. J. 2011, 33, 34–46. [Google Scholar] [CrossRef]
- Tyler, T.F.; Nicholas, S.J.; Campbell, R.J.; McHugh, M.P. The Association of Hip Strength and Flexibility with the Incidence of Adductor Muscle Strains in Professional Ice Hockey Players. Am. J. Sports Med. 2001, 29, 124–128. [Google Scholar] [CrossRef] [PubMed]
- Cools, A.M.; Declercq, G.A.; Cambier, D.C.; Mahieu, N.N.; Witvrouw, E.E. Trapezius Activity and Intramuscular Balance during Isokinetic Exercise in Overhead Athletes with Impingement Symptoms. Scand. J. Med. Sci. Sports 2007, 17, 25–33. [Google Scholar] [CrossRef] [PubMed]
- Yeung, S.S.; Suen, A.M.Y.; Yeung, E.W. A Prospective Cohort Study of Hamstring Injuries in Competitive Sprinters: Preseason Muscle Imbalance as a Possible Risk Factor. Br. J. Sports Med. 2009, 43, 589–594. [Google Scholar] [CrossRef] [PubMed]
- Carvalho, A.; Brown, S.; Abade, E. Evaluating Injury Risk in First and Second League Professional Portuguese Soccer: Muscular Strength and Asymmetry. J. Hum. Kinet. 2016, 51, 19–26. [Google Scholar] [CrossRef]
- Heidarian, S.; Amiri, A.; Ashraf Jamshidi, A. The Effects of Muscular Flexibility and Strength Imbalance on Lower Limb Injuries in Female Martial Arts Athletes. Funct. Disabil. J. 2018, 1, 37–46. [Google Scholar] [CrossRef]
- Mullican, K.; Nijem, R. Are Unilateral Exercises More Effective Than Bilateral Exercises? Strength Cond. J. 2016, 38, 68–70. [Google Scholar] [CrossRef]
- Bračič, M.; Supej, M.; Peharec, S.; Bačič, P.; Čoh, M. An Investigation of the Influence of Bilateral Deficit on the Counter-Movement Jump Performance in Elite Sprinters. Kinesiology 2010, 42, 73–81. [Google Scholar]
- Whitcomb, E.; Ortiz, O.; Toner, J.; Kuruganti, U. The Bilateral Limb Deficit (BLD) Phenomenon during Leg Press: A Preliminary Investigation into Central and Peripheral Factors. BMC Sports Sci. Med. Rehabil. 2021, 13, 89. [Google Scholar] [CrossRef] [PubMed]
- Gryzlo, S.M.; Patek, R.M.; Pink, M.; Perry, J. Electromyographic Analysis of Knee Rehabilitation Exercises. J. Orthop. Sports Phys. Ther. 1994, 20, 36–43. [Google Scholar] [CrossRef] [PubMed]
- Akima, H.; Kuno, S.; Takahashi, H.; Fukunaga, T.; Katsuta, S. The Use of Magnetic Resonance Images to Investigate the Influence of Recruitment on the Relationship between Torque and Cross-Sectional Area in Human Muscle. Eur. J. Appl. Physiol. 2000, 83, 475–480. [Google Scholar] [CrossRef]
- Chapman, A.R.; Vicenzino, B.; Blanch, P.; Hodges, P.W. Patterns of Leg Muscle Recruitment Vary between Novice and Highly Trained Cyclists. J. Electromyogr. Kinesiol. 2008, 18, 359–371. [Google Scholar] [CrossRef] [PubMed]
- McCurdy, K.; O’Kelley, E.; Kutz, M.; Langford, G.; Ernest, J.; Torres, M. Comparison of Lower Extremity EMG between the 2-Leg Squat and Modified Single-Leg Squat in Female Athletes. J. Sport Rehabil. 2010, 19, 57–70. [Google Scholar] [CrossRef] [PubMed]
- Kuruganti, U.; Parker, P.; Rickards, J.; Tingley, M.; Sexsmith, J. Bilateral Isokinetic Training Reduces the Bilateral Leg Strength Deficit for Both Old and Young Adults. Eur. J. Appl. Physiol. 2005, 94, 175–179. [Google Scholar] [CrossRef] [PubMed]
- Kuruganti, U.; Murphy, T.; Pardy, T. Bilateral Deficit Phenomenon and the Role of Antagonist Muscle Activity during Maximal Isometric Knee Extensions in Young, Athletic Men. Eur. J. Appl. Physiol. 2011, 111, 1533–1539. [Google Scholar] [CrossRef] [PubMed]
- Jones, P.A.; Bampouras, T.M. A Comparison of Isokinetic and Functional Methods of Assessing Bilateral Strength Imbalance. J. Strength Cond. Res. 2010, 24, 1553–1558. [Google Scholar] [CrossRef]
- Kalata, M.; Maly, T.; Hank, M.; Michalek, J.; Bujnovsky, D.; Kunzmann, E.; Zahalka, F. Unilateral and Bilateral Strength Asymmetry among Young Elite Athletes of Various Sports. Medicina 2020, 56, 683. [Google Scholar] [CrossRef]
- Diamant, W.; Geisler, S.; Havers, T.; Knicker, A. Comparison of EMG Activity between Single-Leg Deadlift and Conventional Bilateral Deadlift in Trained Amateur Athletes—An Empirical Analysis. Int. J. Exerc. Sci. 2021, 14, 187–201. [Google Scholar]
- Fisher, J. Unilateral versus Bilateral Lower-Body Resistance and Plyometric Training for Change of Direction Speed. J. Athl. Enhanc. 2014, 3, 6. [Google Scholar] [CrossRef]
- Cejudo, A.; Robles-Palazón, F.J.; Ayala, F.; De Ste Croix, M.; Ortega-Toro, E.; Santonja-Medina, F.; Sainz de Baranda, P. Age-Related Differences in Flexibility in Soccer Players 8–19 Years Old. PeerJ 2019, 7, e6236. [Google Scholar] [CrossRef] [PubMed]
- Bompa, T.O.; Buzzichelli, C. Periodization Training for Sports, 3rd ed.; Human Kinetics: Champaign, IL, USA, 2015; ISBN 978-1-4504-6943-2. [Google Scholar]
- Cunanan, A.J.; DeWeese, B.H.; Wagle, J.P.; Carroll, K.M.; Sausaman, R.; Hornsby, W.G.; Haff, G.G.; Triplett, N.T.; Pierce, K.C.; Stone, M.H. The General Adaptation Syndrome: A Foundation for the Concept of Periodization. Sports Med. 2018, 48, 787–797. [Google Scholar] [CrossRef] [PubMed]
Disclaimer/Publisher’s Note: The statements, opinions and data contained in all publications are solely those of the individual author(s) and contributor(s) and not of MDPI and/or the editor(s). MDPI and/or the editor(s) disclaim responsibility for any injury to people or property resulting from any ideas, methods, instructions or products referred to in the content. |
© 2024 by the authors. Licensee MDPI, Basel, Switzerland. This article is an open access article distributed under the terms and conditions of the Creative Commons Attribution (CC BY) license (https://creativecommons.org/licenses/by/4.0/).