Duration of Rainfall Fades in GeoSurf Satellite Constellations
Abstract
1. GeoSurf Satellite Constellations at Millimeter Wavelengths
2. Fade Duration Processes A and B
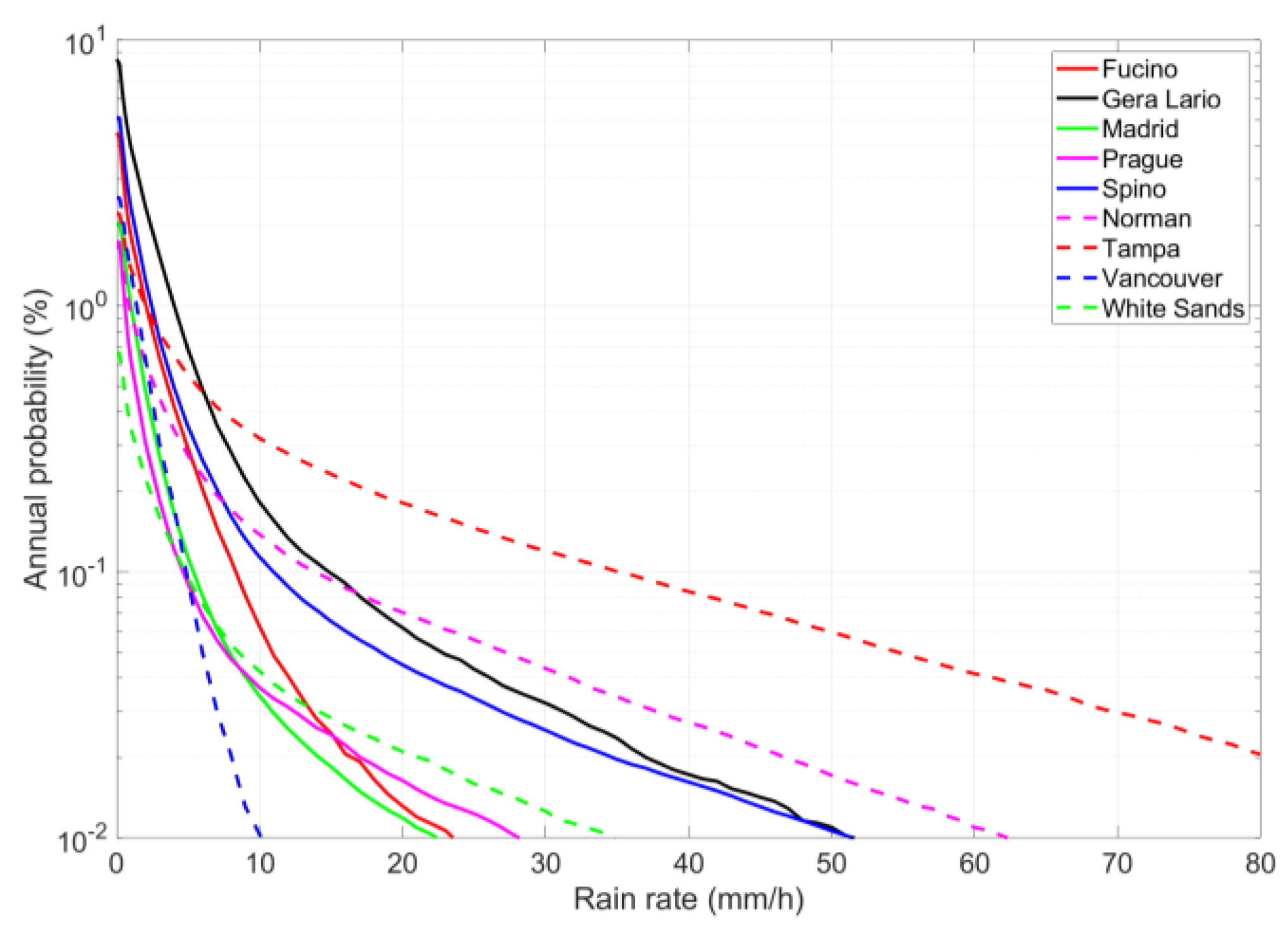
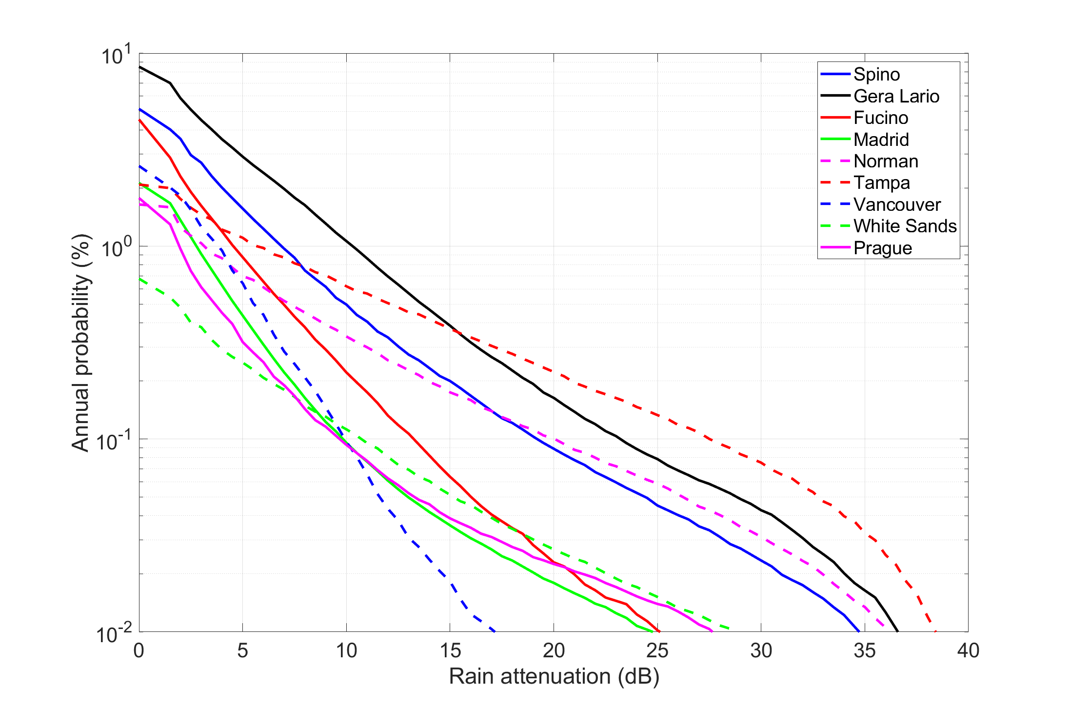
3. Worldwide Sites Investigated with the Synthetic Storm Technique
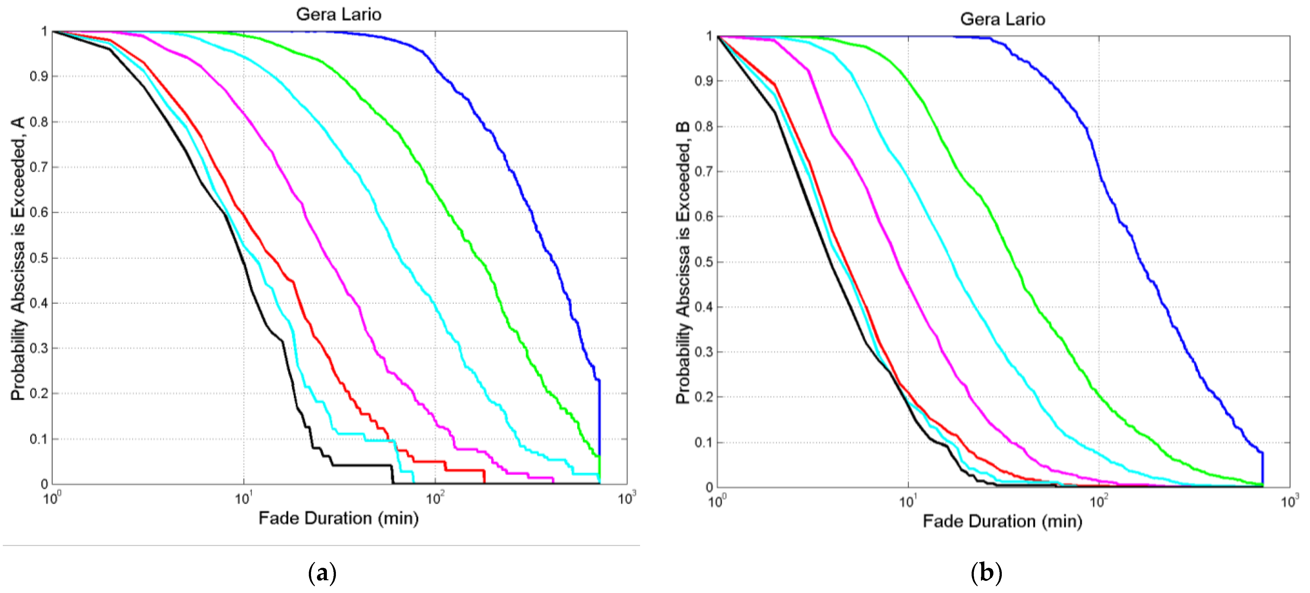
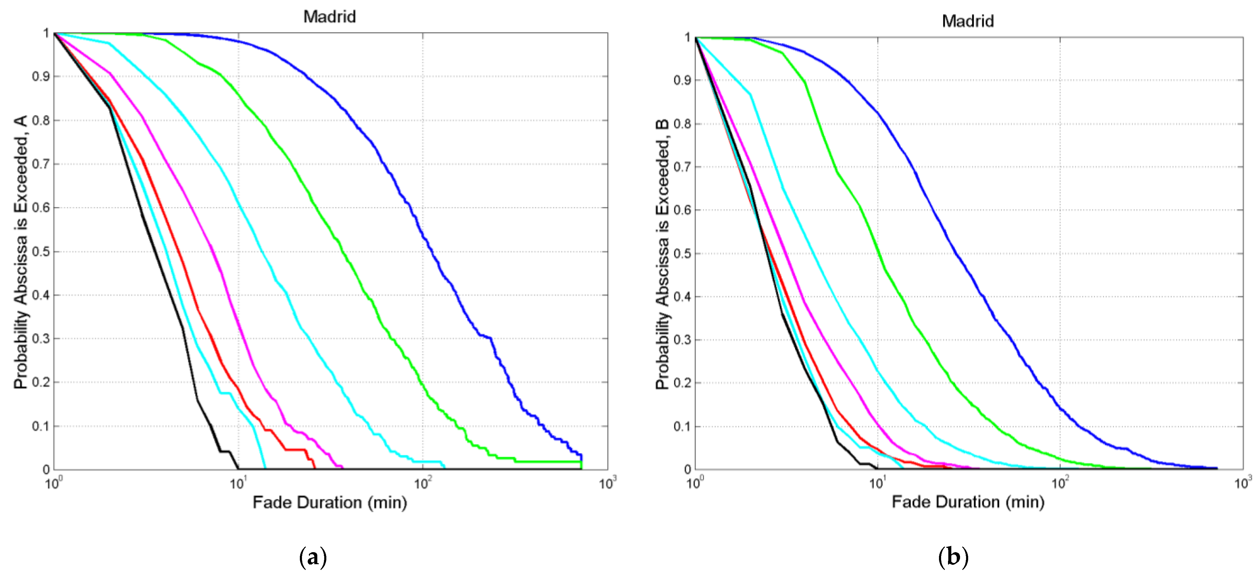
4. Fade Duration Experimental Results
- a.
- As threshold increases, fade duration largely decreases, as physically expected.
- b.
- A fade duration is exceeded with very different probability at the different sites; or, at the same probability, is diverse.
- c.
- The probability distributions tend to overlap at the largest thresholds. In other words, the same fade duration is also substantially found at higher thresholds, as shown in Figure 1.
- (a)
- As threshold increases, the occurrences largely decrease for any as physically expected.
- (b)
- As fade duration increases, sharp peaks are clearly evident in many sites.
- (c)
- Peaks tend to occur at lower thresholds.
- (d)
- As fade duration increases, curves tend to collapse, in agreement with the probability distributions shown in Figure 4a,b. For example, the curves regarding min tend to coincide.
5. Processes A and B Interdependence
6. Uniformity Index
- (a)
- for all sites.
- (b)
- For dB, ranges from to . Since this value refers to the single rain events (i.e., the time series of each rain event), then the duration of rain events does change in a large range. In fact, if all rain events were of equal duration , they would give , . This case would be represented by the point (1,1) in Figure 9, with probability , a Dirac impulse of unit area.
- (c)
- Some sites show marked dips at low thresholds. In other words, at these thresholds the two processes are the furthest away from the uniformity model (Spino d’Adda, Gera Lario, Madrid, Vancouver).
- (d)
- As the threshold increases, increases; therefore, the two processes tend to be closer to the uniformity model at larger rain attenuation. This is a sound physical result because fades tend to be more similar in duration at large rain attenuation (see, for example, Figure 1). approaches 1 at very large thresholds (Madrid, Vancouver).
- (e)
- The red line, Equation (3), gives (a line in Figure 10) practically the mid–range value at dB: .
7. Conclusions
Author Contributions
Funding
Institutional Review Board Statement
Data Availability Statement
Conflicts of Interest
Appendix A







Appendix B




Appendix C




References
- Matricciani, E. Geocentric Spherical Surfaces Emulating the Geostationary Orbit at Any Latitude with Zenith Links. Future Internet 2020, 12, 16. [Google Scholar] [CrossRef]
- Matricciani, E.; Riva, C.; Luini, L. Tropospheric Attenuation in GeoSurf Satellite Constellations. Remote Sens. 2021, 13, 5180. [Google Scholar] [CrossRef]
- Matricciani, E.; Riva, C. Outage Probability versus Carrier Frequency in GeoSurf Satellite Constellations with Radio–Links Faded by Rain. Telecom 2022, 3, 504–513. [Google Scholar] [CrossRef]
- Matricciani, E. Physical–mathematical model of the dynamics of rain attenuation based on rain rate time series and a two–layer vertical structure of precipitation. Radio Sci. 1996, 31, 281–295. [Google Scholar] [CrossRef]
- Matricciani, E.; Riva, C. Transfer–functions and Linear Distortions in Ultra–Wideband Channels Faded by Rain in GeoSurf Satellite Constellations. Future Internet 2023, 15, 27. [Google Scholar] [CrossRef]
- Turin, G.L. Introduction to spread spectrum antimultipath techniques and their application to urban digital radio. Proc. IEEE 1980, 68, 328–353. [Google Scholar] [CrossRef]
- Pickholtz, R.; Schilling, D.; Milstein, L. Theory of spread–spectrum communications—A tutorial. IEEE Trans. Commun. 1982, 30, 855–884. [Google Scholar] [CrossRef]
- Viterbi, A.J. CDMA Principles of Spread Spectrum Communications; Addinson–Wesly: Reading, MA, USA, 1995. [Google Scholar]
- Dinan, E.H.; Jabbari, B. Spreading codes for direct sequence CDMA and wideband CDMA celluar networks. IEEE Commun. Mag. 1998, 36, 48–54. [Google Scholar] [CrossRef]
- Veeravalli, V.V.; Mantravadi, A. The coding–spreading trade–off in CDMA systems. IEEE Trans. Sel. Areas Commun. 2002, 20, 396–408. [Google Scholar] [CrossRef]
- Matricciani, E.; Magarini, M.; Riva, C. Feasibility of Ultra–Wideband Channels at Millimeter Wavelengths Faded by Rain in GeoSurf Satellite Constellations. Telecom 2023, 4, 732–745. [Google Scholar] [CrossRef]
- Kelmendi, A.; Hrovat, A.; Mohorčič, M.; Vilhar, A. Prediction Model of Fade Duration Statistics for Satellite Communications at Ka and Q bands. IEEE Trans. Antennas Propag. 2019, 67, 5519–5531. [Google Scholar] [CrossRef]
- Pimienta-del-Valle, D.; Riera, J.M.; Garcia-del-Pino, P.; Siles, G.A. Alphasat Experiment in Madrid: Modeling Considerations on Fade and Inter–Fade Durations. In Proceedings of the 12th European Conference on Antennas and Propagation (EuCAP 2018), London, UK, 9–13 April 2018. [Google Scholar] [CrossRef]
- Badron, K.; Ismail, A.F.; Din, J.; Tharek, A.R. Rain induced attenuation studies for V–band satellite communication in tropical region. J. Atmos. Sol.-Terr. Phys. 2011, 73, 601–610. [Google Scholar] [CrossRef]
- Chakraborty, S.; Verma, P.; Paudel, B.; Shukla, A.; Das, S. Validation of Synthetic Storm Technique for Rain Attenuation Prediction Over High–Rainfall Tropical Region. IEEE Geosci. Remote Sens. Lett. 2021, 19, 1–4. [Google Scholar] [CrossRef]
- Mandeep, J.S. Fade duration statistics for Ku–band satellite links. Adv. Space Res. 2013, 52, 445–450. [Google Scholar] [CrossRef]
- Dao, H.; Al-Khateeb, K.; Al-Khateeb, K.; Ismail, A.F. Analysis of rain fade duration over satellite–earth path at Ku–Band in tropics. In Proceedings of the 2012 International Conference on Computer and Communication Engineering (ICCCE), Kuala Lumpur, Malaysia, 3–5 July 2012. [Google Scholar] [CrossRef]
- García-del-Pino, P.; Riera, J.-M.; Benarroch, A. Fade and interfade duration statistics on an Earth–space link at 50 GHz. IET Microw. Antennas Propag. 2011, 5, 790–794. [Google Scholar] [CrossRef]
- Cheffena, M.; Tjelta, T.; Breivik, T.O. Fade duration statistics of millimetre wavelength terrestrial line–of–sight links. In Proceedings of the Fourth European Conference on Antennas and Propagation, Barcelona, Spain, 12–16 April 2010; pp. 1–5. [Google Scholar]
- Boulanger, X.; Gabard, B.; Casadebaig, L.; Castanet, L. Four Years of Total Attenuation Statistics of Earth–Space Propagation Experiments at Ka–Band in Toulouse. IEEE Trans. Antennas Propag. 2015, 63, 2203–2214. [Google Scholar] [CrossRef]
- Nandi, D.; Pérez-Fontán, F.; Pastoriza–Santos, V.; Machado, M. Analysis of rain fade characteristics from experimental satellite measurements at Ka/Q bands for a temperate location Vigo, Spain. Adv. Space Res. 2021, 68, 1754–1760. [Google Scholar] [CrossRef]
- Jong, S.L.; Riva, C.; D’Amico, M.; Lam, H.Y.; Yunus, M.M.; Din, J. Performance of synthetic storm technique in estimating fade dynamics in equatorial Malaysia. Int. J. Satell. Commun. Netw. 2018, 36, 416–426. [Google Scholar] [CrossRef]
- Garcia-Rubia, J.M.; Riera, J.M.; Garcia-del-Pino, P.; Pimienta-del-Valle, D.; Siles, G.A. Fade and Interfade Duration Characteristics in a Slant–Path Ka–Band Link. IEEE Trans. Antennas Propag. 2017, 65, 7198–7206. [Google Scholar] [CrossRef]
- Chakraborty, S.; Chakraborty, M.; Das, S. Second order experimental statistics of rain attenuation at Ka band in a tropical location. Adv. Space Res. 2012, 67, 4043–4053. [Google Scholar] [CrossRef]
- Nandi, A. Prediction of Rain Attenuation Statistics from Measured Rain Rate Statistics using Synthetic Storm Technique for Micro and Millimeter Wave Communication Systems. In Proceedings of the 2018 IEEE MTT—S International Microwave and RF Conference (IMaRC), Kolkata, India, 28—30 November 2018. [Google Scholar]
- Papafragkakis, A.Z.; Kourogiorgas, C.I.; Panagopoulos, A.D.; Ventouras, S. Second Order Excess Attenuation Statistics in Athens, Greece at 19.701 GHz using ALPHASAT. In Proceedings of the 12th International Symposium on Communication Systems, Networks and Digital Signal Processing (CSNDSP), Porto, Portugal, 20–22 July 2020. [Google Scholar] [CrossRef]
- Kelmendi, A.; Hrovat, A.; Mohorčič, M.; Švigelj, A. Alphasat Propagation Measurements at Ka and Q-Bands in Ljubljana: Three Years’ Statistical Analysis. IEEE Antennas Wirel. Propag. Lett. 2021, 20, 174–178. [Google Scholar] [CrossRef]
- Recommendation ITU‒R P. 618‒14. Propagation Data and Prediction Methods Required for the Design of Earth–Space Telecommunication Systems; ITU: Geneva, Switzerland, 2023; Volume 8. [Google Scholar]
- Matricciani, E. Prediction of fade duration due to rain in satellite communication systems. Radio Sci. 1997, 22, 935–941. [Google Scholar] [CrossRef]
- Matricciani, E. Duration of rain–induced fades of signal from SIRIO at 11.6 GHz. Electron. Lett. 1981, 17, 29–30. [Google Scholar] [CrossRef]










| Site | Latitude N (°) | Longitude E (°) | (m) | Rain Rate Observation Time (Years) | 
|---|---|---|---|---|
| Spino d’Adda (Italy) | 45.4 | 9.5 | 84 | 8 | 
| Gera Lario (Italy) | 46.2 | 9.4 | 210 | 5 | 
| Fucino (Italy) | 42.0 | 13.6 | 680 | 5 | 
| Madrid (Spain) | 40.4 | 356.3 | 630 | 8 | 
| Prague (Czech Republic) | 50.0 | 14.5 | 250 | 5 | 
| Tampa (Florida) | 28.1 | 277.6 | 50 | 4 | 
| Norman (Oklahoma) | 35.2 | 262.6 | 420 | 4 | 
| White Sands (New Mexico) | 32.5 | 253.4 | 1463 | 5 | 
| Vancouver (British Columbia) | 49.2 | 236.8 | 80 | 3 | 
| Disclaimer/Publisher’s Note: The statements, opinions and data contained in all publications are solely those of the individual author(s) and contributor(s) and not of MDPI and/or the editor(s). MDPI and/or the editor(s) disclaim responsibility for any injury to people or property resulting from any ideas, methods, instructions or products referred to in the content. | 
© 2024 by the authors. Licensee MDPI, Basel, Switzerland. This article is an open access article distributed under the terms and conditions of the Creative Commons Attribution (CC BY) license (https://creativecommons.org/licenses/by/4.0/).
Share and Cite
Matricciani, E.; Riva, C. Duration of Rainfall Fades in GeoSurf Satellite Constellations. Appl. Sci. 2024, 14, 1865. https://doi.org/10.3390/app14051865
Matricciani E, Riva C. Duration of Rainfall Fades in GeoSurf Satellite Constellations. Applied Sciences. 2024; 14(5):1865. https://doi.org/10.3390/app14051865
Chicago/Turabian StyleMatricciani, Emilio, and Carlo Riva. 2024. "Duration of Rainfall Fades in GeoSurf Satellite Constellations" Applied Sciences 14, no. 5: 1865. https://doi.org/10.3390/app14051865
APA StyleMatricciani, E., & Riva, C. (2024). Duration of Rainfall Fades in GeoSurf Satellite Constellations. Applied Sciences, 14(5), 1865. https://doi.org/10.3390/app14051865
 
        


 
       