Abstract
Many studies have found that tea has an antioxidant, anti-inflammatory, anti-cancer, anti-obesogenic and anti-diabetic effect, mostly associated with the content of anti-oxidant compounds. Polyphenols, being the main secondary metabolites in tea, are often considered the physiological markers determining a tea’s quality. Apart from the tea production process and tea components, brewing conditions can also influence the levels of antioxidants in tea. This study aimed to verify whether the brewing time of various tea types (5, 10 and 15 min) affects the level of extraction of antioxidant compounds into infusions and their antioxidant activity. We examined 11 types of tea: green leaf tea, green tea bags, white tea bags, black tea bags, red tea bags, black leaf tea, yerba mate, raspberry tea bags, butterfly pea flower (Clitoria ternatea) tea, white lychee plum tea and hibiscus flower tea. Total polyphenol (TPC), flavonoids and anthocyanins content, as well as determination of antiradical and antioxidant capacity with DPPH radical and ABTS radical cation, were determined using spectrophotometric assays. Due to the antioxidant activity of tea infusions, the optimum brewing time for green tea (leaf and bags), black tea (leaf and bags), butterfly pea flower tea, white tea, white lychee plum tea, raspberry tea and yerba mate is 15 min. Red tea brewing time should be ten minutes, and for hibiscus flower tea it should be five minutes. The results refer to the brewing temperature recommended by tea manufacturers.
1. Introduction
Tea, next to water, is the world’s most popular beverage []. It is primarily prepared from young shoots of the tea plant Camellia sinensis (L.) O. Kuntze []. Fresh tea leaves contain a lot of water and a mixture of compounds that impart an astringent and bitter taste. Tea acquires its characteristic taste and flavour from processing raw leaves by fermentation which transforms original chemical compounds under the influence of temperature, humidity, and enzymatic and non-enzymatic oxidation []. Based on the degree of fermentation, tea can be categorised into green, white, yellow, oolong, black and dark tea [,]. Many researchers have demonstrated that tea has an anti-oxidant, anti-inflammatory, anti-cancer, anti-obesogenic and anti-diabetic effect, mostly associated with the content of anti-oxidant compounds [,,]. Phenolic compounds in tea (primarily epigallocatechin gallate EGCG, quercetin, theaflavin, thearubignin and flavonoids) show anti-oxidant activity thanks to: (1) their ability to capture reactive oxygen species (ROS); (2) ROS synthesis suppression due to inhibited activity of oxidative enzymes and chelation of trace elements; (3) increased activity of endogenous antioxidants; and (4) ability to donate electrons or hydrogen atoms, which makes it possible to neutralise singleton oxygen [,,]. Green tea and white tea feature the highest antioxidant capacity due to the highest content of total polyphenols [,] However, the most popular consumer choice is black tea and green tea, whereas black tea accounts for 75% of the global tea market [,]. Tests involving laboratory animals also showed that polyphenols contained in tea reduce the rate of absorption and toxicity of toxic metals due to their capacity to chelate these metals and increase the antioxidant potential of the exposed organism [,,,]. Polyphenols, being the main secondary metabolites in tea, are often considered the physiological markers determining tea quality [].
In addition to the manufacturing process, several factors, including the addition of fruits, spices and herbs also containing active antioxidants, have an influence on the content of antioxidants in tea [,,]. The market offers beverages that do not contain tea leaves but, since they are brewed before drinking, are referred to as teas as well []. They contain, for instance, dried fruits, flower petals and pieces of herbs []. Such beverages are very popular on account of their taste and functional effects, which are also largely due to the polyphenol content [].
Apart from the tea production process and tea components, brewing conditions can also influence the levels of anti-oxidants in tea. Some studies show that phenolic compounds are relatively thermally stable; the rate of their degradation at 60 °C, 80 °C and 100 °C is 15–30% after four hours of exposure []. However, black tea infusions brewed at 70 °C contained less tannins than those brewed at 90 °C []. By contrast, Vinci et al. [] demonstrated that brewing time and temperature affect the polyphenols content of black and green teas. Studies described in the available literature refer to the most often consumed teas—green tea and black tea. However, there is little information on the effect of brewing time on the antioxidant content of other types of tea, including herbal tea and fruit tea. Examining the effect of brewing time on the anti-oxidant activity of tea is justified since consumers should be aware of the optimum infusion brewing time to promote the healthy effects of tea. The study aimed to verify whether the brewing time of various tea types (5, 10 and 15 min) affects the level of extraction of antioxidant compounds into infusions and their anti-oxidant activity. This study was carried out in conditions recommended by tea manufacturers (temperature and water volume).
2. Materials and Methods
2.1. Study Material
We examined 11 types of tea: green leaf tea (n = 7), green tea bags (n = 10), white tea bags (n = 10), black tea bags (n = 11), red tea bags (n = 7), black leaf tea (n = 10), yerba mate ((n = 12), raspberry tea bags (n = 7), butterfly pea flower tea (n = 7), white lychee plum tea (n = 7) and hibiscus flower tea (n = 10). The teas were purchased from groceries in Lublin (south-eastern Poland) within their shelf-life. The selection of teas was random.
2.2. Preparation of Tea Infusions
Immediately after the purchase, we prepare tea infusion with drinking water in conditions recommended by tea manufacturers (Table 1).

Table 1.
Characteristics of the teas and steeping temperature.
For all teas, the brewing time was 5, 10 and 15 min. To ensure that brewing conditions were as close as possible to those observed in households, we poured the tea into beakers with 200 mL of water at the proper temperature. Next, we covered the beakers with a Petri dish and left them at room temperature for 5, 10 or 15 min. Before taking samples, the infusion was mixed manually.
2.3. Reagents
The following chemical reagents were used for analyses: 6-hydroxy-2,5,7,8-tetramethylchroman-2-carboxylic acid (Trolox), 1,1-diphenyl-2-picrylhydrazyl radical (DPPH), 2,2-azino-bis(3-ethylbenzothiazoline-6-sulfonic acid), diammonium salt (ABTS), Folin–Ciocalteu reagent (F-C) (TPC), ethanol, methanol, aluminium nitrate, potassium acetate, potassium chloride and sodium acetate. All chemical reagents p.a. were purchased from Sigma-Aldrich (Darmstadt, Germany). Double de-ionised water (DDI) was prepared in our laboratory (Milli-Q system, 18.2 MOhm) (Merck, Darmstadt, Germany).
2.4. Chemical Analyses
Total polyphenols content (TPC) was determined by a spectrophotometric assay using the Folin–Ciocalteu reagent and 20% sodium carbonate solution, as described elsewhere []. The calibration curve was prepared using 4 mg of gallic acid dissolved in 0.5 mL of DDI and 0.5 mL of acetonitrile and 11 dilutions in the range of 0–23.5 mmol/L. Absorbance was measured at 760 nm versus a blind sample containing DDI instead of a sample.
The flavonoid content was assayed spectrophotometically using a microplate reader, as described in detail elsewhere []. The total flavonoid content was expressed as quercetin equivalents using 12 standard quercetin solutions (0.25 mg of quercetin in 0.25 mL of DDI and 0.25 mL of acetonitrile) (0–3.31 mmol/L). Absorbance was measured at 415 nm versus a blind sample containing DDI instead of a sample.
The anthocyanin content was assayed in a spectrophotometer. Absorbance was measured at wavelengths of 520 nm and 700 nm. The total anthocyanin content was calculated using the molar extinction coefficient of cyanidin 3-glucoside. Assay methods were described in detail elsewhere [].
2.5. Antioxidant Content
The total antioxidant capacity measured with ABTS has been described elsewhere []. Absorbance was read at 515 nm wavelength with a blind sample. The results were calculated using a calibration curve prepared from 12 dilutions of stock Trolox solution (92–920 µmol/L).
The DPPH assay was conducted as described in Jośko et al. []. Absorbance was measured at 734 nm wavelength with a blind sample. The results were expressed as TE using a calibration curve prepared from Trolox solutions.
All results are presented in Supplementary Materials (Table S1).
2.6. Calculations and Statistical Analysis
We conducted a statistical analysis of results (means and standard deviations) and determined statistical differences (using HSD Tukey test) with significance identified at p < 0.05 with Statistica 13.1 (StatSoft, Kraków, Poland).
3. Results
3.1. TPC
The TPC in the infusions of green tea (leaf and bags), white tea, yerba mate, raspberry tea and white lychee plum tea increased linearly (p < 0.05) with longer brewing time (Figure 1a). In the infusions of black leaf tea, black tea bags, red tea and hibiscus flower tea (p < 0.05), the TPC increased after ten minutes of brewing compared with five minutes, but the values after fifteen minutes were not significantly different from those measured after ten minutes. No statistically significant effect of butterfly pea flower tea brewing time on the TPC in the infusion was observed.


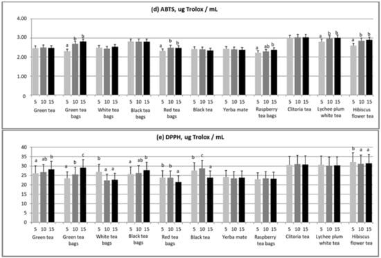
Figure 1.
Total polyphenols (TPC), flavonoids, anthocyanins content, antioxidant properties measured with ABTS and DPPH in tea infusions; a, b, c—values with different superscripts differ at p < 0.05 using Duncan’s test.
3.2. Flavonoids
The flavonoid content in green tea bags, white tea bags, black leaf tea, butterfly pea flower tea and white lychee plum tea infusions increased linearly as the brewing time was extended (Figure 1b). In the black tea bags and raspberry tea infusions, the content of flavonoids increased (p < 0.05) after 15 min of brewing. In the green leaf tea infusion, a linear decrease (p < 0.05) in the flavonoid content was observed as the brewing time was extended. In the hibiscus flower tea infusion, the flavonoid content was found to decrease (p < 0.05) after 10 and 15 min of brewing, but no statistically significant differences were observed between these parameters. No effect (p < 0.05) of the brewing time was reported on the flavonoid content of red tea and yerba mate infusions.
3.3. Anthocyanins
Anthocyanin levels decreased (p < 0.05) in green tea infusions after ten minutes of brewing compared with five minutes; brewing time extended to fifteen minutes did not contribute to further reductions in anthocyanin content (Figure 1c). A linear increase (p < 0.05) of the anthocyanin content with brewing time was found in green bags, white, red and black leaf tea infusions. Anthocyanins levels increased (p < 0.05) in black tea bags, raspberry tea and butterfly pea tea infusions after ten minutes of brewing compared with five minutes; brewing time extended to fifteen minutes did not contribute to increasing the anthocyanin content of tea infusions compared to levels reported for ten-minute brewing. In yerba mate infusion, more (p < 0.05) anthocyanins were not measured earlier than after 15 min of brewing. The hibiscus flower infusion showed a linear decrease of anthocyanin content with brewing time. No effect of brewing time on the anthocyanin content of white lychee plum tea infusion was recorded.
3.4. ABTS
The increased (p < 0.05) anti-oxidant activity against ABTS free radical cations was observed in green tea bags, red tea bags, white lychee plum tea and hibiscus flower tea infusions after 10 and 15 min of brewing, but there was no statistically significant difference between 10 and 15 min of brewing (Figure 1d). In the raspberry tea infusion, a statistically significant increase of ABTS capacity to free radicals away was noted down after 15 min of brewing compared to 5 min, but no difference (p < 0.05) was found between 10 and 15 min of brewing. For other tea types, brewing time had no significant effect on the capacity of ABTS to free radicals away in infusions.
3.5. DPPH
A linear growth (p < 0.05) of the capacity of DPPH to free radicals away with the extended brewing time was only found in green tea bags infusions (Figure 1e). In green leaf tea and black tea bag infusions, a significant increase in DPPH capacity to free radicals away was only recorded after 15 min of brewing. In the black leaf tea infusion, DPPH activity after ten minutes of brewing increased (p < 0.05) more than after five minutes of brewing; however, after fifteen minutes, the capacity of DPPH to free radicals away significantly decreased compared to the level reported after five and ten minutes of brewing. In the red tea bags infusion, the DPPH capacity to free radicals away was significantly lower after fifteen minutes of brewing compared with that after five and ten minutes, but ten minute brewing time had no significant effect on DPPH capacity to free radicals away compared to five minutes. In the white tea bags and hibiscus flower tea infusions, the capacity of DPPH to free radicals away was significantly lower after 10 and 15 min of brewing compared with that after 5 min, but no difference (p < 0.05) was identified between 10 and 15 min. No significant effect of brewing time on DPPH capacity to free radicals away was found in yerba mate, raspberry tea, butterfly pea flower tea and white lychee plum tea infusions.
3.6. The Effect of Brewing Time of Particular Types of Tea on Changes in the Anti-oxidant Content of Tea Infusions
Table 2 illustrates changes in the values of TPC, anthocyanins and flavonoids content and the capacity of ABTS and DPPH to free radicals away after ten minutes of brewing compared with five minutes, and after fifteen minutes of brewing compared with ten minutes.

Table 2.
Change in TPC, flavonoids and anthocyanins content, and ABTS and DPPH capacity to free radicals away after 10 and 15 min of brewing compared to 5 and 10 min of brewing, %.
It should be noted that a positive effect of extended brewing time on the anti-oxidant activity (TPC, flavonoids and anthocyanins content, and capacity of ABTS and DPPH to free radicals away) of infusions was observed for green tea bags only. The best effects were noted down after 15 min of brewing. Also, the raspberry tea infusion showed the best effects after 15 min of brewing for TPC and anthocyanins content, and capacity of ABTS to free radicals away. Only for DPPH and anthocyanins, no effect of brewing time was reported. In the white lychee plum tea infusion, the TPC and the flavonoid content were the highest after 15 min of brewing, while the total antioxidant capacity of these teas (capacity of ABTS to free radicals away) and the anthocyanins content did not change after 15 min. Therefore, it should be assumed that 15 min is the best brewing time for white lychee plum tea. Similarly, results for yerba mate and white tea bags were the best after 15 min of brewing. The best brewing time for butterfly pea flower tea is 15 min because, after such an amount of time, the flavonoid content of the infusion increased and the content of other examined antioxidants did not change with longer brewing time. After 15 min of brewing black tea bags, the flavonoid content and the capacity of DPPH to free radicals away in the infusion were the highest, whereas the content of other examined components did not change compared with the 10 min brewing time. Black leaf tea brewing time should also be 15 min, as this interval alters the flavonoid and anthocyanins levels of the infusion, although the capacity of DPPH to free radicals away simultaneously declines (by 21%) compared with the a 10 min brewing time. Green leaf tea infusion after 15 min of brewing revealed an increase in TPC and the capacity to sweep DPPH away, but also a decrease in the flavonoid content (by 113%) compared with the results after 10 min of brewing. Thus, ten minutes should be considered the optimum brewing time. For red tea, 10 min is the optimum brewing time, because 15 min brewing time did increase the anthocyanins content of the infusion, but simultaneously decreased the capacity of capturing DPPH (by 11%); TPC, flavonoids content and antioxidant activity to ABTS in the infusions did not change with longer brewing time. In the hibiscus flower tea infusion, the flavonoid content decreased after ten minutes of brewing as many as three times, and the anthocyanins level declined by 33% compared with tea brewed for five minutes. Therefore, five minutes should be considered the optimum brewing time for hibiscus flower tea. The more that after ten minutes of brewing, other analysed parameters did not increase by more than 10% compared with those recorded after five minutes.
4. Discussion
Infusion preparation conditions determine the health-promoting values of tea as they affect the content of active ingredients. Tea brewing time has a decisive influence on the TPC of the infusion []. The presented results of our research have shown that extending the brewing time from 5 to 10 or 15 min increased the TPC of infusions from green, white, yerba mate, raspberry and white lychee plum tea infusions. Over 50% of polyphenols infuse into the brew within the first five minutes of brewing [,]. Theoretically, health benefits associated with drinking tea stem from polyphenols present in the infusion, so longer tea brewing time is beneficial to consumers. However, the content of polyphenols, and in particular tannins, affects the taste of tea infusions, and, if excessive, can make tea too astringent [,]. Therefore, the maximum recommended infusion time for commercial teas is five minutes. Studies by Zargar et al. [] demonstrated that TPC in non-fermented, semi-fermented and fermented tea infusions increased to 15 min of brewing, but afterwards decreased. The increase of TPC within 15 min can be attributed to the release of polyphenols into hot water, but following this interval TPC may decrease because polyphenols are destroyed due to prolonged thermal processing or because phenolic compounds in tea have different solubility []. McAlpine and Ward [] found that TPC in tea infusions increased with longer brewing time. Simultaneously, these authors observed that most polyphenols present in infusions after ten minutes of brewing were extracted during the initial five minutes, irrespective of tea type (black, green, white, yellow, oolong or Pu-erh). Shannon et al. [] did not find any significant increase in the polyphenols content of infusions after five and ten minutes of brewing for black, green, white, chamomile and mixed berry/hibiscus teas. In contrast, Kowalska et al. [] observed the highest TPC in green tea infusions brewed for ten minutes at 100 °C. Similarly, according to Pal et al. [], ten minutes of brewing time is necessary to achieve the maximum polyphenols content and antioxidant activity of the infusion.
Flavonoids leach into the tea infusion also largely depends on tea brewing time but also the content and structure of flavonoids in the plant raw material [], as demonstrated by our own research. For instance, myricetin levels are higher in green tea than in black tea. Its content likely decreases with an increase in fermentation, but also with longer brewing time []. Zargar et al. [] recorded the maximum flavonoid content of non-fermented, semi-fermented and fermented tea infusions after 15 min of brewing. The increase and decrease in the flavonoid content of infusions after 10 and/or 15 min of brewing can be both due to their different release rates and different solubility. Excessive flavonoids content of the infusion can adversely affect taste, as some flavonoids (e.g., naringin and neohesperidin) are very bitter, while others (e.g., hesperidin) have no distinct taste []. The taste of flavonoids depends on the glycosidic chain structure.
Anthocyanins are natural dyes categorised as flavonoids responsible for the blue, purple or red colour of fruits and flowers []. These compounds have low stability due to their sensitivity to many environmental factors []. Brewing time, but also water temperature, determines the content of anthocyanins in tea infusions, as demonstrated by Yildirim et al. []. Their study revealed a linear increase in the anthocyanins content of fruit teas (blackberry, rose hip and bilberry) when the brewing time was extended to 12 min. We found that, generally, after ten minutes of brewing, the level of anthocyanins in tea infusions increased insignificantly or remained unchanged. It could be an effect of anthocyanins degradation under the influence of high temperature and oxidation processes, which could also explain why the anthocyanins content decreased in green leaf tea and hibiscus flower tea infusions in our study. When the temperature increases, the anthocyanin structure shifts towards the colourless methanol pseudo-base and chalcone forms []. If the temperature is reduced to room temperature (or lower), the methanol pseudo-base form can be converted back into red cationic form (the desirable colour of anthocyanin foods), but the chalcone form is difficult to convert into the cationic ones, so this type of heat degradation of anthocyanins is irreversible []. Elevated temperatures can also cause monomeric anthocyanins to polymerise, resulting in products browning []. The structure of anthocyanins changes due to temperature rise as sugar particles attached to anthocyanins are released and converted into aglycone (anthocyanidin) []. The release of sugar is followed by the separation of A, B and C rings, which induces the formation of two new compounds: phloroglucinol aldehyde and 4-Hydroxybenzoic acid, which, in turn, contributes to colour change []. In our study, the anthocyanins content of hibiscus flower infusion decreased by 33% after 10 minof brewing, and by 50% after 15 min. Hibiscus contains mostly anthocyanins such as delphinidin-3-sambubioside, cyanidin-3-sambubioside, cyanidin-3-glucoside and delphinidin-3-glucoside []. Studies showed that the rate at which delphinidin-3-sambubioside degrades is higher than that of cyanidin-3-sambubioside, and depends on temperature rise []. The degradation of these anthocyanins produces gallic acid and protocatechuic acid, which is accompanied by colour change. Abdel-Aal et al. [] indicates that some anthocyanin compounds are also lost and/or oxidised in processes associated with tea manufacturing.
Studies by McAlpine and Ward [] demonstrated that the capacity of inhibiting DPPH was not determined by brewing time (five and ten minutes) for black, green, white, yellow, oolong and Pu-erh teas. Vinci et al. [] observed the highest activity of DPPH in black tea and green tea after three minutes of brewing. The study by Kowalska et al. [] showed that oolong tea brewed for five minutes at 100 °C revealed the highest anti-oxidant activity to DPPH. However, Zargar et al. [] demonstrated that teas brewed for over 15 min contain less DPPH and ABTS. Similarly, Aboagye et al. [] noted the highest anti-oxidant activity to DPPH and ABTS free radicals after 5 min of brewing green tea and black tea, and the lowest after 30 min of brewing. Braud et al. [] found that a five minute brewing time was sufficient to obtain tea infusions (green + oolong + Pu-erh) with the highest antioxidant activity, reduced for longer brewing times. We discovered that, for most infusions, brewing time extended to 15 min reduced the capacity of DPPH to free radicals away in infusions, whereas antioxidant activity to ABTS did not depend on brewing time. Although both indicators describe the free radical capturing capacity, the results are not identical. This is due to the fact that DPPH is a stable nitrogen-centred radical that bears no similarity to the highly reactive superoxide radicals involved in lipid peroxidation, while ABTS reacts with hydrophilic and lipophilic compounds []. Polyphenols strongly tend to polymerise, but when the degree of polymerisation exceeds the critical value, the availability of hydroxyl groups in reactions with radicals decreases, which reduces the antioxidant activity of tea infusions []. Therefore, the significant decline in antioxidant activity to DPPH with time and at higher temperatures can be associated with the loss of polyphenolic components in infusions. It is also possible that the structure and solubility of phenolic compounds in water, leaf or flower size, and the porosity of tea bags, do have an effect []. As demonstrated, next to tea variety, growing environment and manufacturing conditions, tea brewing time and its form (loose or bags) are important determinants of the antioxidant activity of polyphenols in black tea infusions []. The above study showed that about ten minutes of brewing leaf tea and two minutes of brewing tea bags were sufficient for extracting approximately half of water-soluble phenolic compounds.
5. Conclusions
Due to the antioxidant activity of tea infusions, the optimum brewing time for green tea (leaf and bags), black tea (bags), butterfly pea flower tea, white tea, white lychee plum tea, raspberry tea and yerba mate is 15 min. Black tea (leaf) is best brewing for 15 min, although capacity of DPPH to free radicals away was highest after 10 min. Red tea brewing time should be ten minutes, and for hibiscus flower tea it should be five minutes. The results refer to the brewing temperature recommended by tea manufacturers. For full results, future studies should also take into account various tea brewing temperatures to allow consumers to enjoy the optimum benefits of drinking tea.
Supplementary Materials
The following supporting information can be downloaded at: https://www.mdpi.com/article/10.3390/app14052014/s1; Table S1: TPC, flavonoids and anthocyanins content and antioxidant activity determined by ABTS and DPPH methods after 5, 10 and 15 min of brewing.
Author Contributions
A.W.-M.—conceptualization, methodology, validation, investigation, resources, writing—original draft; E.B.-W.—conceptualization, methodology, validation, investigation, resources, writing—original draft. All authors have read and agreed to the published version of the manuscript.
Funding
This research received no external funding.
Institutional Review Board Statement
Not applicable.
Informed Consent Statement
Not applicable.
Data Availability Statement
The data presented in this study are available in the article.
Conflicts of Interest
The authors declare no conflicts of interest.
References
- Cai, W.; Xie, L.; Chen, Y.; Zhang, H. Purification, characterization and anticoagulant activity of the polysaccharides from green tea. Carbohydr. Polym. 2013, 2013, 1086–1090. [Google Scholar] [CrossRef]
- Sun, M.F.; Jiang, C.L.; Kong, Y.S.; Luo, J.L.; Yin, P.; Guo, G.Y. Recent Advances in Analytical Methods for Determination of Polyphenols in Tea: A Comprehensive Review. Foods 2022, 11, 1425. [Google Scholar] [CrossRef]
- Truong, V.L.; Jeong, W.S. Cellular Defensive Mechanisms of Tea Polyphenols: Structure-Activity Relationship. Int. J. Mol. Sci. 2021, 22, 9109. [Google Scholar] [CrossRef] [PubMed]
- Sun, X.; Shokri, S.; Gao, B.; Xu, Z.; Li, B.; Zhu, T.; Wang, Y.; Zhu, J. Improving effects of three selected co-pigments on fermentation, color stability, and anthocyanins content of blueberry wine. LWT 2022, 156, 113070. [Google Scholar] [CrossRef]
- Rha, C.S.; Jeong, H.W.; Park, S.; Lee, S.; Jung, Y.S.; Kim, D.O. Antioxidative, Anti-Inflammatory, and Anticancer Effects of Purified Flavonol Glycosides and Aglycones in Green Tea. Antioxidants 2019, 8, 278. [Google Scholar] [CrossRef] [PubMed]
- Winiarska-Mieczan, A.; Tomaszewska, E.; Jachimowicz, K. Antioxidant, anti-inflammatory, and immunomodulatory properties of tea—The positive impact of tea consumption on patients with autoimmune diabetes. Nutrients 2021, 13, 3972. [Google Scholar] [CrossRef] [PubMed]
- Fu, Q.Y.; Li, Q.S.; Lin, X.M.; Qiao, R.Y.; Yang, R.; Li, X.M.; Dong, Z.B.; Xiang, L.P.; Zheng, X.Q.; Lu, J.L.; et al. Antidiabetic Effects of Tea. Molecules 2017, 22, 849. [Google Scholar] [CrossRef] [PubMed]
- Winiarska-Mieczan, A. Protective effect of tea against lead and cadmium-induced oxidative stress—A review. Biometals 2018, 31, 909–926. [Google Scholar] [CrossRef] [PubMed]
- Li, X.X.; Liu, C.; Dong, S.L.; Ou, C.S.; Lu, J.L.; Ye, J.H.; Liang, Y.R.; Zheng, X.Q. Anticarcinogenic potentials of tea catechins. Front. Nutr. 2022, 5, 1060783. [Google Scholar] [CrossRef] [PubMed]
- Simos, Y.V.; Verginadis, I.; Toliopoulos, I.K.; Velalopoulou, A.P.; Karagounis, I.V.; Karkabounas, S.C.; Evangelou, A.M. Effects of catechin and epicatechin on superoxide dismutase and glutathione peroxidase activity, in vivo. Redox. Rep. 2012, 17, 181–186. [Google Scholar] [CrossRef]
- Shannon, E.; Jaiswal, A.K.; Abu-Ghannam, N. Polyphenolic content and antioxidant capacity of white, green, black, and herbal teas: A kinetic study. Food. Res. 2018, 2, 1–11. [Google Scholar] [CrossRef] [PubMed]
- Winiarska-Mieczan, A. The potential protective effect of green, black, red and white tea in fusions against adverse effect of cadmium and lead during chronic exposure—A rat model study. Regul. Toxicol. Pharm. 2015, 73, 521–529. [Google Scholar] [CrossRef]
- Hilal, Y.; Engelhardt, U. Characterisation of white tea—Comparison to green and black tea. J. Verbrauch Lebensm. 2007, 2, 414–421. [Google Scholar] [CrossRef]
- Wachira, F.N.; Areba, G.O.; Ngure, R.M.; Khalid, R.; Maloba, F.; Nyaga, N.; Moseti, K.O.; Ngotho, M.; Wanyoko, J.K.; Karori, S.M. Neuroprotective Effects of Tea Against Cadmium Toxicity. Bioact. Compd. Health Dis. 2019, 2, 230–246. [Google Scholar] [CrossRef]
- Khalaf, A.A.; Moselhy, W.A.; Abdel-Hamed, M.I. The protective effect of green tea extract on lead induced oxidative and DNA damage on rat brain. Neurotoxicology 2012, 33, 280–289. [Google Scholar] [CrossRef] [PubMed]
- Mehana, E.; Meki, A.R.; Fazili, K.M. Ameliorated effects of green tea extract on lead induced liver toxicity in rats. Exp. Toxicol. Pathol. 2012, 64, 291–295. [Google Scholar] [CrossRef]
- Sivakumaran, K.; Amarakoon, S. Bioactivity of fruit teas and tisanes—A review. J. Pharmacogn. Phytochem. 2018, 7, 323–327. [Google Scholar]
- Pękal, A.; Dróżdż, P.; Biesaga, M.; Pyrzynska, K. Evaluation of the antioxidant properties of fruit and flavoured black teas. Eur. J. Nutr. 2011, 50, 681–688. [Google Scholar] [CrossRef]
- Pękal, A.; Dróżdż, P.; Biesaga, M.; Pyrzynska, K. Screening of the antioxidant properties and polyphenol composition of aromatised green tea infusions. J. Sci. Food. Agric. 2012, 92, 2244–2249. [Google Scholar] [CrossRef]
- Zujko, M.E.; Witkowska, A.; Mirończuk-Chodakowska, I. Antioxidant potential of fruit teas. Bromat. Chem. Toksykol. 2011, 3, 615–619. [Google Scholar]
- Volf, I.; Ignat, I.; Neamtu, M.; Popa, V.I. Thermal stability, antioxidant activity, and photo-oxidation of natural polyphenols. Chem. Pap. 2014, 68, 121–129. [Google Scholar] [CrossRef]
- Dmowski, P.; Śmiechowska, M.; Deja, B. Influence of the tea brewing conditions on the content of tannins and choosen parameters of colour. Sci. J. Gdyn. Marit. Univ. 2011, 68, 5–12. [Google Scholar]
- Vinci, G.; D’Ascenzo, F.; Maddaloni, L.; Prencipe, S.A.; Tiradritti, M. The Influence of Green and Black Tea Infusion Parameters on Total Polyphenol Content and ntioxidant Activity by ABTS and DPPH Assays. Beverages 2022, 8, 18. [Google Scholar] [CrossRef]
- Szwajgier, D.; Baranowska-Wójcik, E.; Kukuła-Koch, W.; Kowalik, K.; Polak-Berecka, M.; Waśko, A. Evolution of the anticholinesterase, antioxidant, and anti-inflammatory activity of Epilobium angustifolium L. infusion during in vitro digestion. J. Funct. Foods 2021, 85, 104645. [Google Scholar] [CrossRef]
- Jośko, I.; Kusiak, M.; Różyło, K.; Baranowska-Wójcik, E.; Sierocka, M.; Sheteiwy, M.; Szwajgier, D.; Świeca, M. The life cycle study revealed distinct impact of foliar-applied nano-Cu on antioxidant traits of barley grain comparing with conventional agents. Food Res. Int. 2023, 164, 112303. [Google Scholar] [CrossRef]
- Teixeira, A.M.; Sousa, C.A. Review on the Biological Activity of Camellia Species. Molecules 2021, 26, 2178. [Google Scholar] [CrossRef]
- Kowalska, J.; Marzec, A.; Domian, E. Influence of Tea Brewing Parameters on the Antioxidant Potential of Infusions and Extracts Depending on the Degree of Processing of the Leaves of Camellia sinensis. Molecules 2021, 26, 4773. [Google Scholar] [CrossRef] [PubMed]
- Soares, S.; Brandão, E.; Guerreiro, C.; Soares, S.; Mateus, N.; de Freitas, V. Tannins in Food: Insights into the Molecular Perception of Astringency and Bitter Taste. Molecules 2020, 25, 2590. [Google Scholar] [CrossRef]
- Zargar, B.; Majeed, D.; Ganai, S.A.; Mir, S.A.; Dar, B.N. Effect of different processing parameters on antioxidant activity of tea. J. Food Meas. Charact. 2018, 12, 527–534. [Google Scholar] [CrossRef]
- Fernando, C.D.; Soysa, P. Extraction kinetics of phytochemicals and antioxidant activity during black tea (Camellia sinensis L.) brewing. Nutr. J. 2015, 14, 74–80. [Google Scholar] [CrossRef]
- McAlpine, M.D.; Ward, W.E. Influence of Steep Time on Polyphenol Content and Antioxidant Capacity of Black, Green, Rooibos, and Herbal Teas. Beverages 2016, 2, 17. [Google Scholar] [CrossRef]
- Pal, S.; Ghosh, D.; Dey, S.K.; Saha, C. Effect of infusion time and consecutive brewing on antioxidant status of black tea infusion. Int. J. Tea Sci. 2013, 9, 65–68. [Google Scholar]
- Alappat, B.; Alappat, J. Anthocyanin pigments: Beyond aesthetics. Molecules 2020, 25, 5500. [Google Scholar] [CrossRef]
- Aishah, B.; Nursabrina, M.; Noriham, A.; Norizzah, A.R.; Mohamad, S.H. Anthocyanins from Hibiscus sabdariffa, Melastoma malabathricum and Ipomoea batatas and its color properties. Int. Food Res. J. 2013, 20, 827–834. [Google Scholar]
- Yildirim, R.M.; Ozulku, G.; Toker, O.S.; Baslar, M.; Durak, M.Z.; Sagdic, O. Modeling of bioactive compound content of different tea bags: Effect of steeping temperature and time. J. Food Process. Preserv. 2016, 41, e12773. [Google Scholar] [CrossRef]
- Nie, M.; Wang, L.; Lu, S.; Wang, Y.; Zheng, M.; Fang, Z. Protective effect of amino acids on the stability of bayberry anthocyanins and the interaction mechanism between l-methionine and cyanidin-3-O-glycoside. Food Chem. 2022, 396, 133689. [Google Scholar] [CrossRef]
- Sinela, A.; Rawat, N.; Mertz, C.; Achir, N.; Fulcrand, H.; Dornier, M. Anthocyanins degradation during storage of Hibiscus sabdariffa extract and evolution of its degradation products. Food Chem. 2017, 214, 234–241. [Google Scholar] [CrossRef] [PubMed]
- Suzery, M.; Nudin, B.; Nurwahyu, B.D.; Cahyono, B. Effects of Temperature and Heating Time on Degradation and Antioxidant Activity of Anthocyanin from Roselle Petals (Hibiscus sabdariffa L.). Int. J. Sci. Technol. Manag. 2020, 1, 238–288. [Google Scholar] [CrossRef]
- Abdel-Aal, E.M.; Rabalski, I.; Mats, L.; Rai, I. Identification and Quantification of Anthocyanin and Catechin Compounds in Purple Tea Leaves and Flakes. Molecules 2022, 27, 6676. [Google Scholar] [CrossRef] [PubMed]
- Aboagye, G.; Tuah, B.; Bansah, E.; Tettey, C.; Hunkpe, G. Comparative evaluation of antioxidant properties of lemongrass and other tea brands. Sci. Afr. 2021, 11, e00718. [Google Scholar] [CrossRef]
- Braud, L.; Peyre, L.; de Sousa, G.; Armand, M.; Rahmani, R.; Maixent, J.M. Effect of Brewing Duration on the Antioxidant and Hepatoprotective Abilities of Tea Phenolic and Alkaloid Compounds in a t-BHP Oxidative Stress-Induced Rat Hepatocyte Model. Molecules 2015, 20, 14985–15002. [Google Scholar] [CrossRef] [PubMed]
- Pinelo, M.; Manzocco, L.; Nunez, M.J.; Nicoli, M.C. Interaction among phenols in food fortification: Negative synergism on antioxidant capacity. J. Agric. Food Chem. 2004, 52, 1177–1180. [Google Scholar] [CrossRef] [PubMed]
- Nikniaz, Z.; Mahdavi, R.; Ghaemmaghami, S.J.; Lotfi, Y.N.; Nikniaz, L. Effect of different brewing times on antioxidant activity and polyphenol content of loosely packed and bagged black teas (Camellia sinensis L.). Avicenna J. Phytomed 2016, 6, 313–321. [Google Scholar] [PubMed]
Disclaimer/Publisher’s Note: The statements, opinions and data contained in all publications are solely those of the individual author(s) and contributor(s) and not of MDPI and/or the editor(s). MDPI and/or the editor(s) disclaim responsibility for any injury to people or property resulting from any ideas, methods, instructions or products referred to in the content. |
© 2024 by the authors. Licensee MDPI, Basel, Switzerland. This article is an open access article distributed under the terms and conditions of the Creative Commons Attribution (CC BY) license (https://creativecommons.org/licenses/by/4.0/).