Abstract
Lithium mica slag is a byproduct acquired via the sulfate method of lithium extraction, and it contains a certain quantity of soluble sulfates. The improper storage of lithium mica slag not only takes up a large amount of land resources, but also poses a threat in terms of environmental pollution. Therefore, this study aimed to investigate the mechanism by which SO42− dissolves in lithium mica slag, along with the impacts of internal sulfate attacks on mortar specimens with 10%, 20%, and 30% lithium mica slag contents. Testing was carried out in terms of the expansion, mass change, flexural and compressive strengths, porosity, composition, and contents of the products. It was determined that a significant quantity of SO42− was generated in mortar specimens with lithium mica slag. The mortar specimens mixed with lithium mica slag produced more ettringite (AFt: 3CaO·Al2O3·3CaSO4·32H2O), which is the product of internal sulfate attacks. This demonstrates that there was an internal sulfate reaction in the mortar specimens mixed with lithium mica slag. The internal sulfate reaction in mortar samples with lithium mica slag was finished in the later stages. It is noteworthy that the reaction did not lead to any cracking or damage; instead, it later allowed for a retention of strength that was equivalent to the strength of mortar specimens without lithium mica slag. In addition, the partial replacement of cement with lithium mica slag not only reduced the environmental pollution caused by soluble sulfates in lithium mica slag, but also reduced the use of cement and, thus, lowered costs.
1. Introduction
With rapid development in the field of new energy vehicles, the requirement for lithium-ion-powered batteries, which serve as their primary power source, has significantly risen, resulting in a surge in demand for lithium and its compounds in the markets [1]. Traditional lithium resources, such as lithium pyroxene and low-magnesium brines, can no longer meet the markets’ demands. The lithium mica mineral associated with the Yichun tantalum–niobium minerals is the world’s largest lithium mica mineral resource, and is an important lithium resource production base in China [2,3,4]. Lithium mica slag is a byproduct of the extraction of lithium and its compounds from lithium mica minerals. Wang et al. [5] pointed out that the contents of SiO2 and Al2O3 in lithium mica slag reach 70%, and a certain amount of alkali and sulfur residues is also present in lithium mica slag, which, in open piles and landfills, will threaten the safety of the surrounding environment and groundwater resources. Therefore, the thorough and effective utilization of lithium mica slag has emerged as a topic of extensive research. Wu et al. [6] conducted a study indicating that lithium mica slag contains considerable quantities of reactive SiO2 and Al2O3, which can serve as useful auxiliary cementitious materials. Li et al. [7] concluded that lithium mica slag has high contents of SiO2 and Al2O3, which can be used as a cement admixture, with a high activity index observed when using a 30% lithium mica slag admixture. He et al. [8] concluded that lithium mica slag bears a resemblance to clay, both in terms of its composition and as a high-quality aluminosilicate mineral material. Tan et al. [9] investigated the impact of varying quantities of lithium mica slag on cement composite qualities and concluded that it is possible to replace fly ash with lithium mica slag in cementitious composite formulations. Dong Peng [10] determined that lithium mica slag, when used as a cement admixture, can undergo a secondary hydration reaction with Ca(OH)2, a cement hydration product. This process generates substantial C-S-H, thereby enhancing the mechanical properties of the cement. Zhou Mengya [11] found that, compared to cement without lithium mica slag, a 10% addition of lithium mica slag to cement exhibited the highest compressive strength of 48.2 MPa following a maintenance period of 28 days. Tan et al. [12] found that wet-milled micron-sized lithium mica slag can increase the early strength of silicate cement by almost three times compared to traditional methods. Wang et al. [13] ascertained that incorporating lithium mica slag in cement paste led to a substantial increase in its mechanical strength, durability, and fluidity compared to other admixtures, similarly to fly ash and steel slag. The prominent crystalline phase in lithium mica slag is square zeolite [14,15]. Square zeolite can form a new cement paste through a secondary hydration reaction with the cement hydration product Ca(OH)2 during cement hydration. This process can enhance the structure and durability performance of cement materials. The use of lithium mica slag as an admixture for the partial replacement of cement is the primary method for the widespread application of lithium mica slag.
The main extraction methods for lithium mica slag from lithium mica minerals, depending on the extraction medium, include acid leaching, alkali leaching, salt roasting, high-temperature chlorination, etc. [5,16,17,18,19,20]. Among them, the sulfate method is one of the frequently utilized methods for extracting lithium from lithium mica minerals. The principle is to add a specific amount of sulfate to lithium mica minerals; then, they are mixed and sintered at a specific temperature, which will cause an ion exchange reaction where the metal ions in the sulfate take the place of the original lithium-ion structure, resulting in the detachment of lithium ions from the insoluble aluminosilicate and the formation of a soluble sulfate. The improper disposal of sulfates in lithium mica slag can have a significant impact on the environment. Sulfates can cause soil acidification and water pollution, which can adversely affect plant growth, aquatic organisms, and the ecosystem. Sulfates may also participate in chemical reactions in the atmosphere, resulting in the formation of acid rain and detrimental effects on the atmospheric environment. Based on previous studies, using lithium mica slag as an admixture to partially replace cement is feasible, but whether sulfates from lithium mica slag will result in internal sulfate attacks remains a topic of ongoing investigation.
The impacts of sulfates present in lithium mica slag on the internal sulfate attack of cement materials have yet to be investigated. In this study, we investigated the impacts of mixing different contents of lithium mica slag instead of cement on the internal sulfate attack in mortar specimens. Our focus was the dissolution mechanism of SO42− in lithium mica slag, and we suggested an optimal content of lithium mica slag in cementitious materials. It is essential to find out the potential benefits of this alternative material, which not only fulfills solid waste utilization but also reduces the amount of cement used, thus reducing carbon dioxide emissions and resource waste.
2. Experimental Section
2.1. Raw Materials
2.1.1. Lithium Mica Slag
Lithium mica slag was provided by Wuhan Sanyuan Special Building Materials Co., Ltd., Wuhan, China, with a specific surface area of 400–450 m2/kg. The mineral composition of the lithium mica slag is displayed in Figure 1, and its chemical composition is demonstrated in Table 1. The analysis of the mineral and chemical composition indicates that the sulfates in the lithium mica slag are primarily present in the gypsum phase, and there are almost no fluoride ions (F−) leaching out.
Figure 1.
XRD patterns of lithium mica slag.
Table 1.
Chemical compositions of lithium mica slag/wt%.
2.1.2. Cement
The cement utilized in the experiment was P·II52.5 Portland cement supplied by Nanjing Jiangnan Onoda Cement Co., Ltd., Nanjing, China. It possesses a specific surface area of 365 m2/kg, and the chemical compositions are shown in Table 2.
Table 2.
Chemical compositions of P·II 52.5 Portland cement.
2.1.3. Sand
The sand utilized in the study is standard sand with a silica content of over 96%, a loss on ignition (LOI) of no more than 0.2%, and a silt content of no more than 0.4%. Its primary technical parameters are shown in Table 3.
Table 3.
Technical index of standard sand.
2.1.4. Mixing Water
Deionized water was used for mixing during the experiment and the curing of mortar specimens.
2.1.5. Calcium Hydroxide
Calcium hydroxide was used to prepare an alkaline solution with pH values of 12.5, 10, 11, and 9 to simulate concrete pore solutions in the experiment. Analytically pure calcium hydroxide was manufactured by Yonghua Chemical Co., Ltd., Shanghai, China, and its specification is 500 g/bottle.
2.2. Methods
2.2.1. Specimen Molding
Referring to the GB/T 749-2008 “Test Method for Cement Resistance to Sulfate Attack” [21], this study molded mortar specimens with P·II52.5 Portland cement manufactured by Nanjing Jiangnan Onoda Cement Factory Co. The mortar specimens were molded for testing their compressive and flexural strength, expansion, and mass loss, and the mixing proportions are shown in Table 4. The dimensions of the mortar specimens used for measuring strength had dimensions of 40 mm × 40 mm × 160 mm, while the mortar specimens for measuring length and mass change had dimensions of 25 mm × 25 mm × 280 mm. The water–cement ratio (W/C) used was 0.50, and the binder–sand ratio was 1:2.7. After molding, the mortar specimens were placed in a standard curing box (20 °C, R.H. ≥ 97%) for 24 h. After demolding, they were submerged in water for curing at room temperature for 14 and 28 days (d). The water was replaced every 7 days. Subsequently, the specimens were soaked in 60 °C water for high-temperature curing, which lasted 210 days, and the water was replaced every 28 days.
Table 4.
Mix design of mortar samples.
2.2.2. SO42− Dissolution Mechanism
Deionized water (neutral) and simulated concrete pore solutions (pH 9, 10, 11, and 12.5) served as the dissolution medium for immersing lithium mica slag and performing ion chromatography [22] (product number: JtY5BTWh; model number: rgP7PxaH; manufacturer: DIONEX, Shanghai, China) analysis to explore the SO42− dissolution mechanism.
The pH value of the solution was tested using a pH meter (brand: METTLER TOLEDO; model number: FE28; manufacturer: BELL, Dalian, China). A calcium hydroxide solution was prepared using pure calcium hydroxide, reaching saturation at a pH value of 12.5. Then, the saturated solution was diluted with deionized water to achieve pH values of 11, 10, and 9. Lithium mica slags of 5.00 g (accurate to 0.01 g) were weighed and placed into 500 mL conical bottles, and 300 mL of deionized water and simulated concrete pore (pH = 9, 10, 11, and 12.5) solution was added. After stirring each solution for 1, 2, and 3 h, the concentration of SO42− in the solution was measured using an ion chromatography instrument.
2.2.3. Mass Change
After demolding, the mortar specimens were immersed in water for 24 h. Referring to the JGJ/T 70-2009 “Standard for test method of basic properties of construction mortar” [23], the initial mass M0 was measured, followed by measuring mass Mt at the ages of 14, 28, 60, 150, 180, and 210 days. Each mortar specimen from the water was extracted individually, and the water on the surface of the mortar specimens was removed. Water and dirt were also wiped off the tops of the nail heads at both ends of the mortar specimen with a towel before carrying out measurements. For each test, the mass of a mortar specimen at a certain age was determined on the basis of the average of the measurements with 0.01% precision. The calculation is shown in Equation (1). In the formula, M0, Nt, and Mt represent the initial mass, rate of mass change, and testing mass at different ages, respectively.
2.2.4. Expansion Test on Mortar Specimens
An expansion test [24] was conducted using three mortar specimens per mix. In this experiment, the nail heads were pre-buried at the axial ends of the specimens. The length of the mortar specimens was measured at different ages during exposure to internal sulfate attack utilizing the BC-II specific length meter. According to Equation (2), the expansion of a mortar specimen at a certain age was calculated via the average of the measurements. In the formula, Pt, L0, L, and Lt represent the expansion, initial length, effective length of 280 mm, and testing length at different ages, respectively.
2.2.5. Flexural and Compressive Strengths
The flexural and compressive strengths of the mortar specimens were examined at the ages of 7, 28, 60, 150, 180, and 210 days according to the GB∕T17671-2021 “Testing Method for Cement Mortar Strength” [25]. For each test, the average flexural and compressive strengths of the three mortar specimens were used.
2.2.6. X-ray Diffraction (XRD) Analysis on Mortar Specimens
To obtain the compositions of the hydration products, mortar specimens were subjected to XRD (manufacturer: RIGAKU, Beijing, China; model number: SMART LAB). The mortars cut from the mortar specimens were immersed in absolute ethyl alcohol for 48 h to terminate hydration before being vacuum dried at 45 °C for 24 h and then ground into powder. The test powders were passed through a 0.08 mm sieve. XRD data were collected within the range of 5–80°, 2θ at a counting time of 15 s/step, and a divergence slit of 1°.
2.2.7. Thermogravimetry–Differential Scanning Calorimetry (TG–DSC) Analysis on Mortar Specimens
To obtain the content of AFt and Ca(OH)2, mortar specimens were subjected to TG–DSC (manufacturer: Netzsch, Shanghai, China; model number: STA449C) testing. The preparation of samples for TG–DSC testing was in accordance with XRD. The TG–DSC data were obtained from 30 to 900 °C at a temperature increase rate of 10 °C/min in an N2 atmosphere. The temperatures of 80–120 and 390–470 °C correspond to the decompositions of AFt and Ca(OH)2, respectively. The contents of AFt and Ca(OH)2 were calculated using Equations (3) and (4). In the formula, WAFt and WP correspond to the mass loss in percentage attributable to AFt and Portlandite dehydration, respectively; MAFt, WP, and MH are the molecular weights of AFt, Portlandite, and H2O, respectively.
2.2.8. Mercury Intrusion Porosimetry (MIP) Analysis on Mortar Specimens
In order to maintain the pore structure of the mortar specimens, the terminated hydrated mortar specimens were cut into pieces that were 3–5 mm in size and left for MIP (manufacturer: Quantachrome, Shanghai, China; model number: PoreMaster 60). The total porosity was calculated using PoreMaster-v8.01, a software tool used to calculate the total porosity of a material or substance.
2.2.9. Scanning Electron Microscope (SEM) Analysis on Mortar Specimens
To examine the microstructure and properties of AFt, an S-4800 SEM (manufacturer: Science, Suzhou, China) was utilized to observe its microforms. Additionally, the S-4800 SEM was used to evaluate the surface morphology and microcracks of mortar specimens to assess their integrity and structure. This is crucial in determining the mechanical properties and durability of mortar specimens. The method used to prepare the sample for observing the morphology of AFt is consistent with XRD analysis. The terminated hydrated mortar specimens were cut into pieces that were 10 mm in size, and then the dried sample was embedded in a low-modulus epoxy, polished using progressively smaller grids, and coated with a gold–palladium coating to observe surface morphology and microcracks.
3. Results and Discussion
3.1. Dissolution of SO42− from Lithium Mica Slag
In order to study the effect of SO42− in lithium mica slag on the properties of cementitious materials, the concentrations of SO42− at different pH value solutions and stirring immersion times were tested using an ion chromatography instrument. The results for the test from Figure 2 show that (1) the concentration of SO42− in the solution remains relatively stable after stirring for 1, 2, and 3 h at the same pH value. When the pH value is 9, the concentrations of SO42− in the solution after stirring for 1, 2, and 3 h are 0.00819 mol/L, 0.00808 mol/L, and 0.00803 mol/L, respectively. Within 1 h of stirring, the majority of SO42− in lithium mica slag dissolved. (2) As the pH value increased, the concentration of SO42− in the solution decreased, indicating that a lower pH value facilitates the solubility of SO42− in lithium mica slag. As the dissolution medium used in this test was a solution comprising calcium hydroxide, at higher pH levels, the increased concentration of Ca2+ caused the formation of microsoluble calcium sulfate (CaSO4) when combined with dissolved SO42−, resulting in the lower measured concentration of SO42−. Additionally, the slurry contained a certain amount of Ca2+, rendering calcium hydroxide an appropriate choice for simulating the mixing pore solution.
Figure 2.
The concentrations of SO42− dissolved in solution at different pH values and immersion times (mol/L).
3.2. Mass Change
Figure 3 shows the mass change results of cement mortar specimens with different lithium mica slag contents at specific ages. The results show that the mortar specimens with a 10% addition of lithium mica slag at 14 days have the highest rate of mass change. The rates of mass change of all mortar specimens containing lithium mica slag were almost equal before 28 days. As the age increased, the masses of mortar specimens slightly increased after 150 days. The mortar specimens with 20% and 30% lithium mica slag developed a greater degree of densification in the later stages than the mortar specimens without lithium mica slag, thus increasing the mass in the later stages. The increase in mass, in addition to the changes in the product, may also be related to the degree of water absorption during the preservation process.
Figure 3.
The mass changes of mortar specimens with different lithium mica slag contents at different ages.
3.3. Flexural and Compressive Strengths of Mortar Specimens
Figure 4a,b show the flexural and compressive strength developments for mortar specimens with various amounts of lithium mica slag. The results show that as the content of lithium mica slag increases, the flexural and compressive strengths of mortar specimens decrease before the 28-day point. However, after 60 days, as the content of lithium mica slag increases, the flexural and compressive strengths of mortar specimens gradually increase. After 150 days, the strength of the mortar specimens with lithium mica slag is equivalent to, or even slightly higher than, the strength of the mortar specimens without lithium mica slag. The microscopic particles in the lithium mica slag may have gradually filled the microscopic voids in the mortar specimens, increasing their compactness and solidity, which could facilitate the hardening process and enhance their strength over time. Therefore, while lithium mica slag may cause a reduction in strength during the initial stages, its ability to fill and harden over time may be the primary factor contributing to the increase in mortar strength.
Figure 4.
The flexural and compressive strengths of mortar specimens with different lithium mica slag contents at different ages.
3.4. Expansion Measurement
Figure 5 presents expansion data for mortar specimens with different lithium mica slag contents. The results of the test show that mortar specimens without lithium mica slag presented slight shrinkage with increased age. There was significant expansion when the lithium mica slag content was above 10%. As the content of lithium mica slag increased, the expansion of the specimens increased rapidly before 150 days. The expansion of the mortar specimens remained stable after 60 days. When the lithium mica slag content was 10%, the expansion of mortar specimens with 20% and 30% lithium mica slag increased at a slower rate from 28 days to 180 days compared to before 28 days, and the expansion of the mortar specimens remained relatively stable from 180 days to 240 days. When combined with the information reported in Section 3.6, it was observed that mixing lithium mica slag with mortar specimens during early production resulted in an increase in AFt. In a humid environment, the surface of AFt becomes negatively charged. This results in the adsorption of H2O by AFt, resulting in the swelling of concrete due to electrostatic attraction. The amount of early AFt also increases with the addition of lithium mica slag. Therefore, when mixed with 30% lithium mica slag, mortar specimens experience the most significant expansion. During the later stages of the hydration reaction, the lithium mica slag particles gradually fill the pore space, resulting in the weakening of the expansion process and gradual stabilization.
Figure 5.
The expansions for mortar specimens with different lithium mica slag contents at different ages.
3.5. XRD Examination
In order to analyze the hydration products of the mortar specimens, mortar specimens were subjected to XRD analysis at different ages. Figure 6 presents the results. In addition to calcium hydroxide (Ca(OH)2) and quartz (SiO2), ettringite (AFt) is also present, which is the product of internal sulfate attack. This provides evidence that SO42− from lithium mica slag reacted with the hydration products. The types of corrosion byproducts generated during the erosion process of sulfates depend on the concentration of SO42−. According to the dissolution of SO42− from lithium mica slag, the concentration of SO42− was below 1000 mg/L, which demonstrates that the corrosion byproduct is AFt rather than gypsum. During this process, Ca2+ in the mortar specimen reacted with SO42− and Al3+ to form AFt. The chemical reaction equation is as follows:
Figure 6.
XRD analyses of mortar specimens with different lithium mica slag contents at different ages.
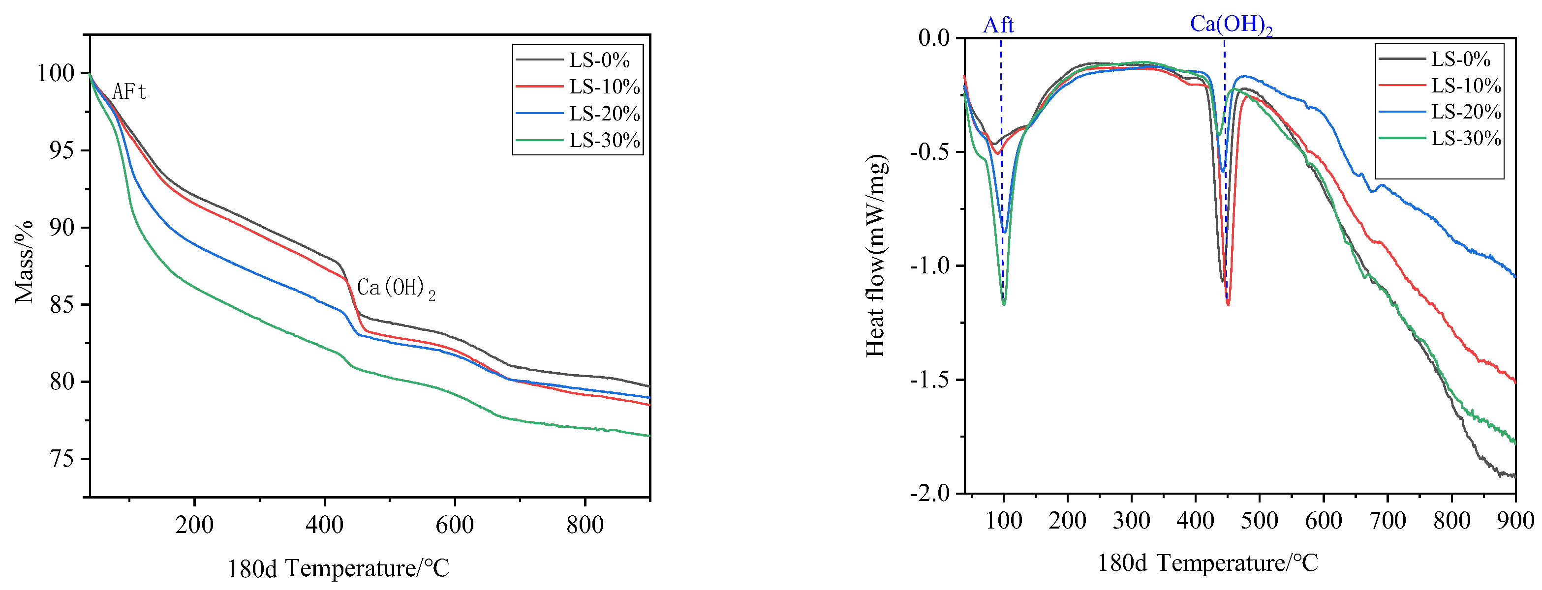
3.6. TG–DSC Examination
Figure 7 shows the TG–DSC curves of the mortar specimens with different lithium mica slag contents at an age of 180 days. The temperatures of 80–120 °C and 390–470 °C correspond to the decompositions of AFt (3CaO·Al2O3·3CaSO4·32H2O) and calcium hydroxide (Ca(OH)2), respectively. As shown in Figure 7, AFt and Ca(OH)2 are present, which is consistent with the results of XRD analysis.
Figure 7.
TG–DSC analyses of the mortar specimens with different lithium mica slag contents at 180 days.
Figure 8 shows the quantities of AFt and Ca(OH)2 of the mortar specimens with different lithium mica slag contents at 28, 150, 180, and 240 days. The results show that the amount of AFt increased with an increase in lithium mica slag content before 150 days. The content of AFt decreased in nearly all of the mortar specimens after 150 days, but the content of AFt was the highest in the mortar specimen with 30% lithium mica slag. This demonstrates that the addition of lithium mica slag promoted the formation of AFt. The content of Ca(OH)2 was almost the same in all mortar specimens at 28 days. Additionally, mortar specimens with a lithium mica slag dosage exceeding 20% exhibited a significantly lower content of Ca(OH)2 compared to those with a dosage of no more than 10% in the later stages. The presence of SO42− in the mortar specimens doped with lithium mica slag resulted in the production of more AFt. This production, however, requires the consumption of Ca(OH)2, resulting in a decrease in the amount of Ca(OH)2 present in the mortar specimens. This trend was especially evident in mortar specimens doped with lithium mica at a content of 20% or higher.
Figure 8.
Estimated quantities of AFt and Ca(OH)2 of the mortar specimens with different lithium mica slag contents at different ages.
3.7. MIP Examination
In order to calculate the porosity of mortar specimens, testing was carried out on the mortar specimens via MIP. Figure 9 presents the results. The results indicate that the pore size of all of the mortar specimens was concentrated within the range of 0.01–0.1 μm. Very few pore sizes exceeded 10 μm, which is more significant in the early ages compared to the later ages. The total porosity with 10% lithium mica slag content was at the maximum, with values of 15.28% and 11.08% at ages of 28 and 210 days after calculations, respectively. In addition, as the age increased, mortar specimens with 20% and 30% lithium mica slag contents gradually replaced large pores with small pores. Moreover, the total porosity decreased at later ages. This means that the density of the mortar specimens gradually increases during the later ages because mortar specimens mixed with lithium mica slag become hydrated successively in the later stage. Lithium mica slag is finer than cement, allowing it to fill pores effectively and enhance the strength of mortar specimens in the later stage.
Figure 9.
MIP analyses of mortar specimens with different lithium mica slag contents at different ages.
3.8. SEM Examination
SEM was applied to observe the microstructures of the mortar specimens. Figure 10a shows the microstructure of AFt in mortar specimens with 30% lithium mica slag contents at the age of 150 days. Needle-like and rod-like structures were observed and confirmed via energy-dispersive X-ray spectroscopy (EDS) analysis. Figure 10b shows that no cracks or damage were detected either externally or internally in the mortar specimens, which indicates that, although more AFt was produced in the mortar specimens, the needle-like and rod-like AFt did not damage them. Instead, fine particles of the lithium mica slag refined the pore structure, allowing the specimens to remain structurally intact.
Figure 10.
Microstructure of AFt and the overall morphology of mortar specimens with 30% lithium mica slag at the age of 150 days.
4. Conclusions
The impacts of the internal sulfate attack on mortar specimens with different lithium mica slag contents were investigated. Based on the above studies, it was proven that using lithium mica slag as an admixture to partially replace cement is feasible, and the internal sulfate erosion reaction will not cause damage in the mortar specimens, and also improves the pore structure of the mortar specimens. The main conclusions are as follows:
- (1)
- Since the pH value is 12.5 in the pore solution of concrete, the mortar specimens with lithium mica slag produce a large amount of sulfate ions (SO42−).
- (2)
- It was observed that the mortar specimens with lithium mica slag initially formed new ettringite, according to the results from microscopic analyses. In addition, with an increase in the content of lithium mica slag, the mass, expansion rate, and strength of the mortar specimens increased as testing progressed, which indicates that internal sulfate reactions occurred within the mortar specimens.
- (3)
- When the content of lithium mica slag is below 30%, the content of AFt decreases in the later stages. Furthermore, the occurrence of internal sulfate attacks did not inflict cracking damage to the mortar specimens; instead, the strength of the mortar specimens was enhanced in the later stages.
- (4)
- This research study has proven that sulfates in lithium mica slag do not damage mortar specimens; thus, lithium mica slag is a good alternative material, as it not only reduces land resource waste, but also conserves resources and promotes economic recycling.
Author Contributions
N.L.: Conceptualization, methodology, validation, and writing—original draft preparation. B.H.: Conceptualization, methodology, and data curation. Z.D.: Writing—review and editing. All authors have read and agreed to the published version of the manuscript.
Funding
We are grateful for the financial support provided by the National Key Research and Development Program of China (2021YFB3802002).
Institutional Review Board Statement
Not applicable.
Informed Consent Statement
Not applicable.
Data Availability Statement
The original contributions presented in the study are included in the article, further inquiries can be directed to the corresponding author/s.
Acknowledgments
We are grateful for the financial support provided by the National Key Research and Development Program of China (2021YFB3802002). We are grateful for the College of Materials Science and Engineering, Nanjing Tech University, Nanjing, China.
Conflicts of Interest
The authors declare no conflicts of interest.
References
- Poetschke, L.L.; Miller, J.P. Assessing future lithium demand for electric vehicle batteries. J. Ind. Ecol. 2019, 23, 808–819. [Google Scholar]
- Bide, T.; Smidt, E.; Ulseth, R. Environmental and social impacts of tantalum mining. J. Clean. Prod. 2019, 226, 708–719. [Google Scholar]
- Selvaraj, M.; Ramesha, K.; Watanabe, Y.; Honma, I. Li-extraction from lithium mica by sulfuric acid and its electrochemical behavior in lithium cells. Chem. Eng. J. 2017, 319, 47–52. [Google Scholar]
- Sun, S.; Jiang, M.; Zou, P.; Yang, H. Recovery of lithium from Yichun spodumene ore by bioleaching. Minerals 2018, 8, 247–259. [Google Scholar]
- Wang, Y.; Wang, D.; Cui, Y.; Zheng, D.; Liu, Z. Micro-morphology and phase composition of lithium slag from lithiumcarbonate production by sulphuric acid process. Constr. Build. Mater. 2019, 203, 304–313. [Google Scholar]
- Wu, F.F.; Shi, K.B.; Dong, S.K. Influence of concrete with lithium-slag and steel slag by early curing conditions. Key Eng. Mater. 2014, 599, 52–55. [Google Scholar] [CrossRef]
- Li, B.; Cao, R.; You, N.; Chen, C.; Zhang, Y. Products and properties of steam cured cement mortar containing lithium slag under partial immersion in sulfate solution. Constr. Build. Mater. 2019, 220, 596–606. [Google Scholar] [CrossRef]
- He, Z.H.; Du, S.G.; Chen, D. Microstructure of ultra high performance concretecontaining lithium slag. J. Hazard. Mater. 2018, 353, 35–43. [Google Scholar] [CrossRef] [PubMed]
- Tan, H.; Li, X.; He, C.; Ma, B.; Bai, Y.; Luo, Z. Utilization of lithium slag as an admixture in blended cements: Physico-mechanical and hydration characteristics. J. Wuhan Univ. Technol. Mater. Sci. Ed. 2015, 30, 129–133. [Google Scholar] [CrossRef]
- Dong, P.; Ahmad, M.R.; Chen, B.; Kazmi, S.; Munir, M. Preparation and study of magnesium ammonium phosphate cement from waste lithium slag. J. Clean. Prod. 2021, 316, 128371. [Google Scholar] [CrossRef]
- Zhou, M.; Yan, J.; Fan, J.; Xu, Y.; Lu, Y.; Duan, P.; Zhu, Y.; Zhang, Z.; Lu, Z. Insight to workability, compressive strength and microstructure of lithium slag-steel slag based cement under standard condition. J. Build. Eng. 2023, 75, 107076. [Google Scholar] [CrossRef]
- Tan, H.B.; Li, M.G.; He, X.Y.; Su, Y.; Zhang, J.; Pan, H.; Yang, J.; Wang, Y. Preparation for micro-ithium slag via wet grinding and its application as accelerator in Portland cement. J. Clean. Prod. 2019, 250, 119528. [Google Scholar] [CrossRef]
- Wang, X.; Hu, H.; Liu, M.; Li, Y.; Tang, Y.; Zhuang, L.; Tian, B. Comprehensive utilization of waste residue from lithium extraction process of spodumene. Miner. Eng. 2021, 170, 106986. [Google Scholar] [CrossRef]
- Chen, D.; Hu, X.; Shi, L.; Cui, Q.; Wang, H.; Yao, H. Synthesis and characterization ofzeolite X from lithium slag. Appl. Clay Sci. 2012, 59–60, 148–151. [Google Scholar] [CrossRef]
- Javed, U.; Shaikh FU, A.; Sarker, P.K. Microstructural investigation of thermo-mechanically processed lithium slag for geopolymer precursor using various characterization techniques. Constr. Build. Mater. 2022, 342, 127952. [Google Scholar] [CrossRef]
- Yang, H.; He, Y.; Li, Z.; Wu, L. Lithium extraction from β-spodumene using sodium salts and Na2SO4 molten salt roasting. J. Electrochem. Soc. 2019, 166, D568–D573. [Google Scholar]
- Li, Z.; Luo, T.; Yuan, L.; Song, B.; Guan, H.; Yuan, J.; Tang, A.; Tao, S. Lithium extraction from β-spodumene using sodium carbonate and sodium chloride roasting followed by water leaching. Minerals 2017, 7, 239. [Google Scholar]
- Moriguchi, I.; Tsuruta, T.; Sasaki, K.; Kunii, D.; Ohtani, K.; Tamaura, Y. Efficient lithium recovery from lithium-rich mica using sulphuric acid leaching. Miner. Eng. 2018, 116, 135–140. [Google Scholar]
- Pausch, M.; Weiß, R.; Ditze, A.; Bertau, M.; Friedrich, B. A new process to upgrade lithium from spodumene using thermal treatment. Miner. Eng. 2019, 143, 106087. [Google Scholar]
- Zhang, J.; Li, G.; Li, C.; Zhu, Z.; Mei, G.; Sun, Z. Study on the lithium extraction from β-spodumene through chlorination roasting followed by water leaching. Miner. Eng. 2017, 100, 67–71. [Google Scholar]
- GB/T 749-2008; Test Method for Cement Resistance to Sulfate Attack. National Standard of the People’s Republic of China: Beijing, China, 2008.
- GB/T 34672-2017; Chemical Reagent-General Rules for the Ion Chromatography. National Standard of the People’s Republic of China: Beijing, China, 2017.
- JGJ/T 70-2009; Standard for Test Method of Basic Properties of Construction Mortar. National Standard of the People’s Republic of China: Beijing, China, 2009.
- GB/T 29417-2012; Standard Test Methods for Drying Shrinkage Stress and Cracking Possibility of Cement Mortar and Concrete. National Standard of the People’s Republic of China: Beijing, China, 2012.
- GB∕T17671-2021; Testing Method for Cement Mortar Strength. National Standard of the People’s Republic of China: Beijing, China, 2021.
Disclaimer/Publisher’s Note: The statements, opinions and data contained in all publications are solely those of the individual author(s) and contributor(s) and not of MDPI and/or the editor(s). MDPI and/or the editor(s) disclaim responsibility for any injury to people or property resulting from any ideas, methods, instructions or products referred to in the content. |
© 2024 by the authors. Licensee MDPI, Basel, Switzerland. This article is an open access article distributed under the terms and conditions of the Creative Commons Attribution (CC BY) license (https://creativecommons.org/licenses/by/4.0/).









