A Lightweight Small Target Detection Algorithm for UAV Platforms
Abstract
1. Introduction
2. Preliminary Work
2.1. The YOLOv8 Network
2.2. Attention Mechanisms
3. The Proposed RSG-YOLO Algorithms
3.1. RFCAConvs
3.2. CAMSPD
3.3. C2GELAN Module
3.4. Neck Improvements
4. Experiments and Results
4.1. Experimental Preparation
4.2. Datasets and Evaluation Indicators
4.3. Ablation Experiments
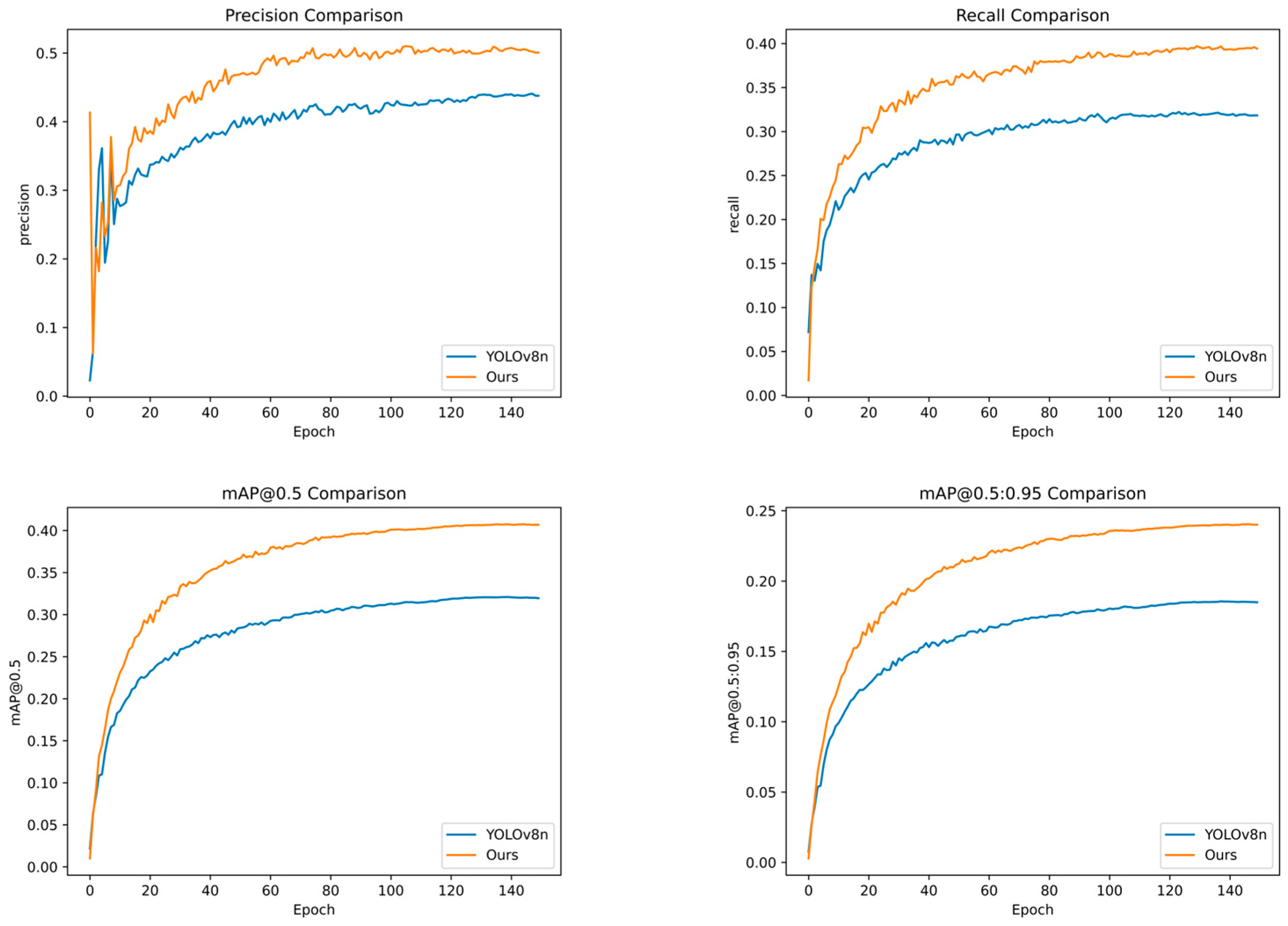
4.4. Comparison Experiments with Advanced Models
5. Conclusions
Author Contributions
Funding
Institutional Review Board Statement
Informed Consent Statement
Data Availability Statement
Conflicts of Interest
References
- Yuan, Y.B.; Wu, Y.Q.; Zhao, L.Y. Research progress of UAV aerial video multi-object detection and tracking based on deep learning. Acta Aeronaut. Astronaut. Sin. 2023, 44, 6–36. [Google Scholar]
 - Viola, P.; Jones, M. Rapid object detection using a boosted cascade of simple features. In Proceedings of the 2001 IEEE Computer Society Conference on Computer Vision and Pattern Recognition, Kauai, HI, USA, 8–14 December 2001; p. I-I. [Google Scholar]
 - Dalal, N.; Triggs, B. Histograms of oriented gradients for human detection. In Proceedings of the 2005 IEEE Computer Society Conference on Computer Vision and Pattern Recognition, San Diego, CA, USA, 20–25 June 2005; pp. 886–893. [Google Scholar]
 - Girshick, R.; Donahue, J.; Darrell, T.; Malik, J. Rich feature hierarchies for accurate object detection and semantic segmen tation. In Proceedings of the IEEE Conference on Computer Vision and Pattern Recognition, Columbus, OH, USA, 23–28 June 2014; pp. 580–587. [Google Scholar]
 - Girshick, R. Fast R-CNN. In Proceedings of the IEEE International Conference on Computer Vision, Boston, MA, USA, 7–12 June 2015; pp. 1440–1448. [Google Scholar]
 - Ren, S.; He, K.; Girshick, R.; Sun, J. Faster R-CNN: Towards real-time object detection with region proposal networks. IEEE Trans. Pattern Anal. Mach. Intell. 2016, 39, 1137–1149. [Google Scholar] [CrossRef] [PubMed]
 - Hoshino, W.; Seo, J.; Yamazaki, Y. A study for detecting disaster victims using multi-copter drone with a thermographic camera and image object recognition by SSD. In Proceedings of the 2021 IEEE/ASME International Conference on Advanced Intelligent Mechatronics, Delft, The Netherlands, 12–16 July 2021; pp. 162–167. [Google Scholar]
 - Redmon, J. You only look once: Unified, real-time object detection. In Proceedings of the IEEE Conference on Computer Vision and Pattern Recognition, Las Vegas, NV, USA, 27–30 June 2016; pp. 779–788. [Google Scholar]
 - Wang, C.Y.; Bochkovskiy, A.; Liao, H.Y.M. YOLOv7: Trainable bag-of-freebies sets new state-of-the-art for real-time object detectors. In Proceedings of the IEEE/CVF Conference on Computer Vision and Pattern Recognition, Vancouver, BC, Canada, 18–22 June 2023; pp. 7464–7475. [Google Scholar]
 - Wang, C.Y.; Yeh, I.H.; Liao, H.Y.M. YOLOv9: Learning what you want to learn using programmable gradient information. arXiv 2024, arXiv:2402.13616. [Google Scholar]
 - Wang, S.M.; Xu, H.Y.; Zhu, X.Z.; Huang, X.; Song, J.; Li, Y. Lightweight small object detection algorithm based on improved YOLOv8n aerial photography: PECS-YOLO. Comput. Eng. 2024, 1–16. [Google Scholar] [CrossRef]
 - Shen, X.L.; Wang, L.C. UAV aerial photography target detection based on YOLOv8n. Comput. Syst. Appl. 2024, 33, 139–148. [Google Scholar]
 - Hu, J.F.; Li, B.C.; Zhu, H.; Huang, X. Improved YOLOv8 lightweight UAV target detection algorithm. Comput. Eng. Appl. 2024, 60, 182–191. [Google Scholar] [CrossRef]
 - Zhao, X.F.; Zhang, W.W.; Zhang, H.; Zheng, C.; Ma, J.; Zhang, Z. ITD-YOLOv8: An infrared target detection model based on YOLOv8 for unmanned aerial vehicles. Drones 2024, 8, 161. [Google Scholar] [CrossRef]
 - Wang, L.N.; Wang, G.P.; Yang, S.; Liu, Y.; Yang, X.; Feng, B.; Sun, W.; Li, H. Research on improved YOLOv8n based potato seedling detection in UAV remote sensing images. Front. Plant Sci. 2024, 15, 1387350. [Google Scholar] [CrossRef] [PubMed]
 - Terven, J.; Córdova-Esparza, D.M.; Romero-González, J.A. A comprehensive review of yolo architectures in computer vision: From yolov1 to yolov8 and yolo-nas. Mach. Learn. Knowl. Extr. 2023, 5, 1680–1716. [Google Scholar] [CrossRef]
 - Vaswani, A. Attentionis all you need. In Proceedings of the 31st Annual Conference on Neural Information Processing Systems, Long Beach, CA, USA, 4–9 December 2017; pp. 5999–6009. [Google Scholar]
 - Zhang, X.; Liu, C.; Yang, D.G.; Song, T.; Ye, Y.; Li, K.; Song, Y. RFAConv: Innovating spatial attention and standard convolutional operation. arXiv 2023, arXiv:2304.03198. [Google Scholar]
 - Hou, Q.B.; Zhou, D.Q.; Feng, J.S. Coordinate attention for efficient mobile network design. In Proceedings of the IEEE/CVF Conference on Computer Vision and Pattern Recognition, Delft, The Netherlands, 12–16 July 2021; pp. 13713–13722. [Google Scholar]
 - Sunkara, R.; Luo, T. No more strided convolutions or pooling: A new CNN building block for low-resolution images and small objects. In Proceedings of the Joint European Conference on Machine Learning and Knowledge Discovery in Databases, Grenoble, French, 19–23 September 2022; pp. 443–459. [Google Scholar]
 - Wang, C.Y.; Liao, H.Y.M.; Yeh, I.H. Designing network design strategies through gradient path analysis. arXiv 2022, arXiv:2211.04800. [Google Scholar]
 - Wang, C.Y.; Liao, H.Y.M.; Wu, Y.H.; Chen, P.Y.; Hsieh, J.W.; Yeh, I.H. CSPNet: A new backbone that can enhance learning capability of CNN. In Proceedings of the IEEE/CVF Conference on Computer Vision and Pattern Recognition, Seattle, WA, USA, 13–19 June 2020; pp. 390–391. [Google Scholar]
 - Zhang, Z.; Yi, H.H.; Zheng, J. Focusing on small objects detector in aerial images. Acta Electron. Sin. 2023, 51, 944–955. [Google Scholar]
 - Du, D.W.; Zhu, P.F.; Wen, L.Y.; Bian, X.; Lin, H.; Hu, Q.; Peng, T.; Zheng, J.; Wang, X.; Zhang, Y.; et al. VisDrone-DET2019: The vision meets drone object detection in image challenge results. In Proceedings of the IEEE/CVF International Conference on Computer Vision (ICCV) Workshops, Seoul, Republic of Korea, 27 October–2 November 2019. [Google Scholar]
 - Yu, X.H.; Gong, Y.Q.; Jiang, N.; Ye, Q.; Han, Z. Scale match for tiny person detection. In Proceedings of the IEEE/CVF Winter Conference on Applications of Computer Vision, Snowmass, CO, USA, 1–5 March 2020; pp. 1257–1265. [Google Scholar]
 - Li, C.Y.; Li, L.L.; Jiang, H.L.; Weng, K.; Geng, Y.; Li, L.; Ke, Z.; Li, Q.; Cheng, M.; Nie, W.; et al. YOLOv6: A single-stage object detection framework for industrial applications. arXiv 2022, arXiv:2209.02976. [Google Scholar]
 - Zhang, Y.; Ye, M.; Zhu, G.Y.; Liu, Y.; Guo, P.; Yan, J. FFCA-YOLO for small object detection in remote sensing images. IEEE Gesosci. Remote Sens. Lett. 2024, 62, 5611215. [Google Scholar] [CrossRef]
 













| Module | Dataset | Parameters (M) | GFLOPs | mAP@0.5 (%) | mAP@0.5:0.95 (%) | 
|---|---|---|---|---|---|
| Baseline | VisDrone2019 | 3.0 | 8.1 | 32.1 | 18.6 | 
| Lightweight | 2.0 | 11.5 | 34.9 | 20.7 | |
| Baseline | TinyPerson | 3.0 | 8.1 | 14.0 | 5.5 | 
| Lightweight | 2.0 | 11.5 | 18.9 | 7.3 | 
| Method | P (%) | R (%) | mAP@0.5 (%) | mAP@0.5:0.95 (%) | 
|---|---|---|---|---|
| Baseline | 44.0 | 32.0 | 32.1 | 18.6 | 
| SPD | 44.2 | 33.1 | 32.8 | 19.1 | 
| SPD + Avg Pooling | 44.6 | 33.5 | 33.2 | 19.7 | 
| SPD + Max Pooling | 44.9 | 34.2 | 33.9 | 20.1 | 
| SPD + Avg Pooling + Max Pooling | 45.6 | 34.6 | 34.4 | 20.4 | 
| Method | P (%) | R (%) | mAP@0.5 (%) | mAP@0.5:0.95 (%) | Parameters (M) | GFLOPs | FPS | ||
|---|---|---|---|---|---|---|---|---|---|
| RFCAConv | CAMSPD | C2GELAN | |||||||
| 44.0 | 32.0 | 32.1 | 18.6 | 3.0 | 8.1 | 103.1 | |||
| ✓ | 45.8 | 35.6 | 35.9 | 21.0 | 2.1 | 11.9 | 102.7 | ||
| ✓ | 45.6 | 34.6 | 34.4 | 20.4 | 2.5 | 16.5 | 97.6 | ||
| ✓ | 46.6 | 34.3 | 35.2 | 21.4 | 2.1 | 15.2 | 100.6 | ||
| ✓ | ✓ | 47.5 | 36.9 | 37.6 | 21.8 | 2.6 | 17.5 | 96.2 | |
| ✓ | ✓ | 49.4 | 37.2 | 38.6 | 23.5 | 2.2 | 16.7 | 99.5 | |
| ✓ | ✓ | 50.2 | 38.1 | 39.5 | 23.7 | 2.2 | 18.1 | 95.8 | |
| ✓ | ✓ | ✓ | 50.9 | 39.2 | 40.6 | 24.4 | 2.3 | 19.0 | 95.1 | 
| Method | P (%) | R (%) | mAP@0.5 (%) | mAP@0.5:0.95 (%) | Parameters (M) | GFLOPs | FPS | ||
|---|---|---|---|---|---|---|---|---|---|
| RFCAConv | CAMSPD | C2GELAN | |||||||
| 30.4 | 16.8 | 14.0 | 5.5 | 3.0 | 8.1 | 106.6 | |||
| ✓ | 31.6 | 19.6 | 16.6 | 6.3 | 2.1 | 11.9 | 104.6 | ||
| ✓ | 31.8 | 20.5 | 17.5 | 6.7 | 2.5 | 16.5 | 100.4 | ||
| ✓ | 33.1 | 21.1 | 18.1 | 6.8 | 2.1 | 15.2 | 104.1 | ||
| ✓ | ✓ | 33.8 | 23.8 | 20.4 | 7.9 | 2.6 | 17.5 | 99.5 | |
| ✓ | ✓ | 34.5 | 23.7 | 20.7 | 8.1 | 2.2 | 16.7 | 103.1 | |
| ✓ | ✓ | 35.3 | 24.1 | 21.8 | 8.3 | 2.2 | 18.1 | 98.8 | |
| ✓ | ✓ | ✓ | 36.1 | 25.8 | 23.3 | 9.1 | 2.3 | 19.0 | 98.3 | 
| Module | Parameters (M) | GFLOPs | P (%) | R (%) | mAP@0.5 (%) | mAP@0.5:0.95 (%) | FPS | 
|---|---|---|---|---|---|---|---|
| YOLOv5s | 2.5 | 7.1 | 44.2 | 31.3 | 30.7 | 17.4 | 105.3 | 
| YOLOv6s | 4.2 | 11.8 | 37.9 | 29.9 | 28.6 | 16.6 | 118.5 | 
| YOLOv8n | 3.0 | 8.1 | 44.0 | 32.0 | 32.1 | 18.6 | 103.1 | 
| YOLOv8s | 11.1 | 25.8 | 49.4 | 38.1 | 38.4 | 22.8 | 97.1 | 
| YOLOv9c | 25.3 | 102.4 | 53.8 | 41.1 | 43.1 | 26.2 | 83.3 | 
| FFCA-YOLO [27] | 5.1 | 37.3 | 50.1 | 40.2 | 40.3 | 23.1 | 108.6 | 
| Ours | 2.3 | 19.0 | 50.9 | 39.2 | 40.6 | 24.4 | 95.1 | 
| Module | Parameters (M) | GFLOPs | P (%) | R (%) | mAP@0.5 (%) | mAP@0.5:0.95 (%) | FPS | 
|---|---|---|---|---|---|---|---|
| YOLOv5s | 2.5 | 7.1 | 30.5 | 16.2 | 11.1 | 4.1 | 108.6 | 
| YOLOv6s | 4.2 | 11.8 | 24.6 | 14.6 | 10.2 | 3.7 | 120.9 | 
| YOLOv8n | 3.0 | 8.1 | 30.4 | 16.8 | 14.0 | 5.5 | 106.6 | 
| YOLOv8s | 11.1 | 25.8 | 35.9 | 20.5 | 20.1 | 8.7 | 100.1 | 
| YOLOv9c | 25.3 | 102.4 | 38.2 | 26.3 | 24.6 | 10.4 | 86.2 | 
| FFCA-YOLO | 5.1 | 37.3 | 35..5 | 26.0 | 23.2 | 8.8 | 111.7 | 
| Ours | 2.3 | 19.0 | 36.1 | 25.8 | 23.3 | 9.1 | 98.3 | 
Disclaimer/Publisher’s Note: The statements, opinions and data contained in all publications are solely those of the individual author(s) and contributor(s) and not of MDPI and/or the editor(s). MDPI and/or the editor(s) disclaim responsibility for any injury to people or property resulting from any ideas, methods, instructions or products referred to in the content.  | 
© 2024 by the authors. Licensee MDPI, Basel, Switzerland. This article is an open access article distributed under the terms and conditions of the Creative Commons Attribution (CC BY) license (https://creativecommons.org/licenses/by/4.0/).
Share and Cite
Lv, Y.; Tian, B.; Guo, Q.; Zhang, D. A Lightweight Small Target Detection Algorithm for UAV Platforms. Appl. Sci. 2025, 15, 12. https://doi.org/10.3390/app15010012
Lv Y, Tian B, Guo Q, Zhang D. A Lightweight Small Target Detection Algorithm for UAV Platforms. Applied Sciences. 2025; 15(1):12. https://doi.org/10.3390/app15010012
Chicago/Turabian StyleLv, Yanhui, Bo Tian, Qichao Guo, and Deyu Zhang. 2025. "A Lightweight Small Target Detection Algorithm for UAV Platforms" Applied Sciences 15, no. 1: 12. https://doi.org/10.3390/app15010012
APA StyleLv, Y., Tian, B., Guo, Q., & Zhang, D. (2025). A Lightweight Small Target Detection Algorithm for UAV Platforms. Applied Sciences, 15(1), 12. https://doi.org/10.3390/app15010012
        