Testing Consistency: Analyzing the Reliability of Two Lower Limb Isometric Force Measurements in Strength-Trained Athletes
Abstract
1. Introduction
2. Materials and Methods
2.1. Experimental Approach to the Problem
2.2. Subjects
2.3. Procedure
2.4. Isometric Mid-Thigh Pull
2.5. Isometric Belt Squat Test
2.6. Force-Time Curve Data Analysis
2.7. Statistical Analysis
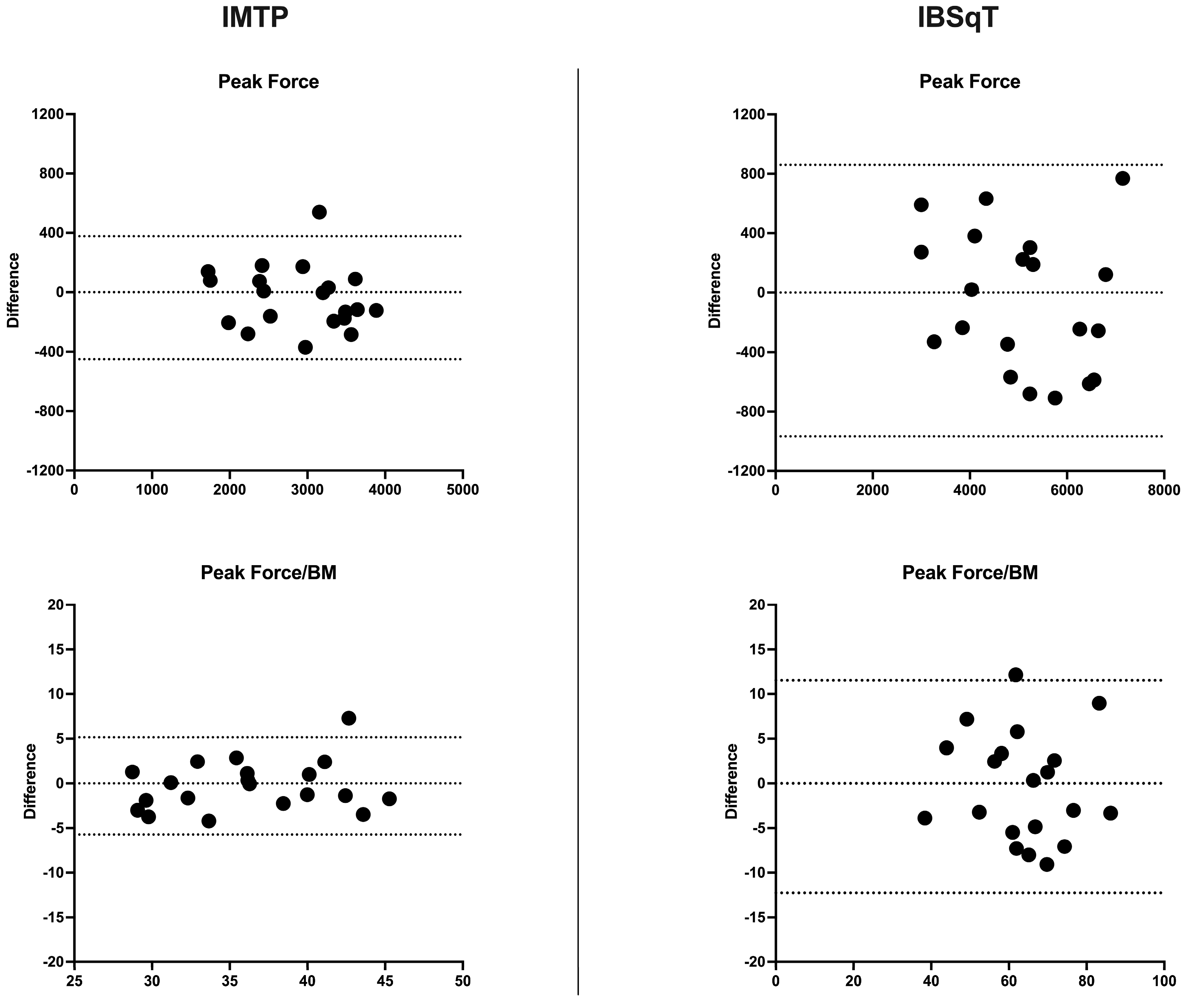
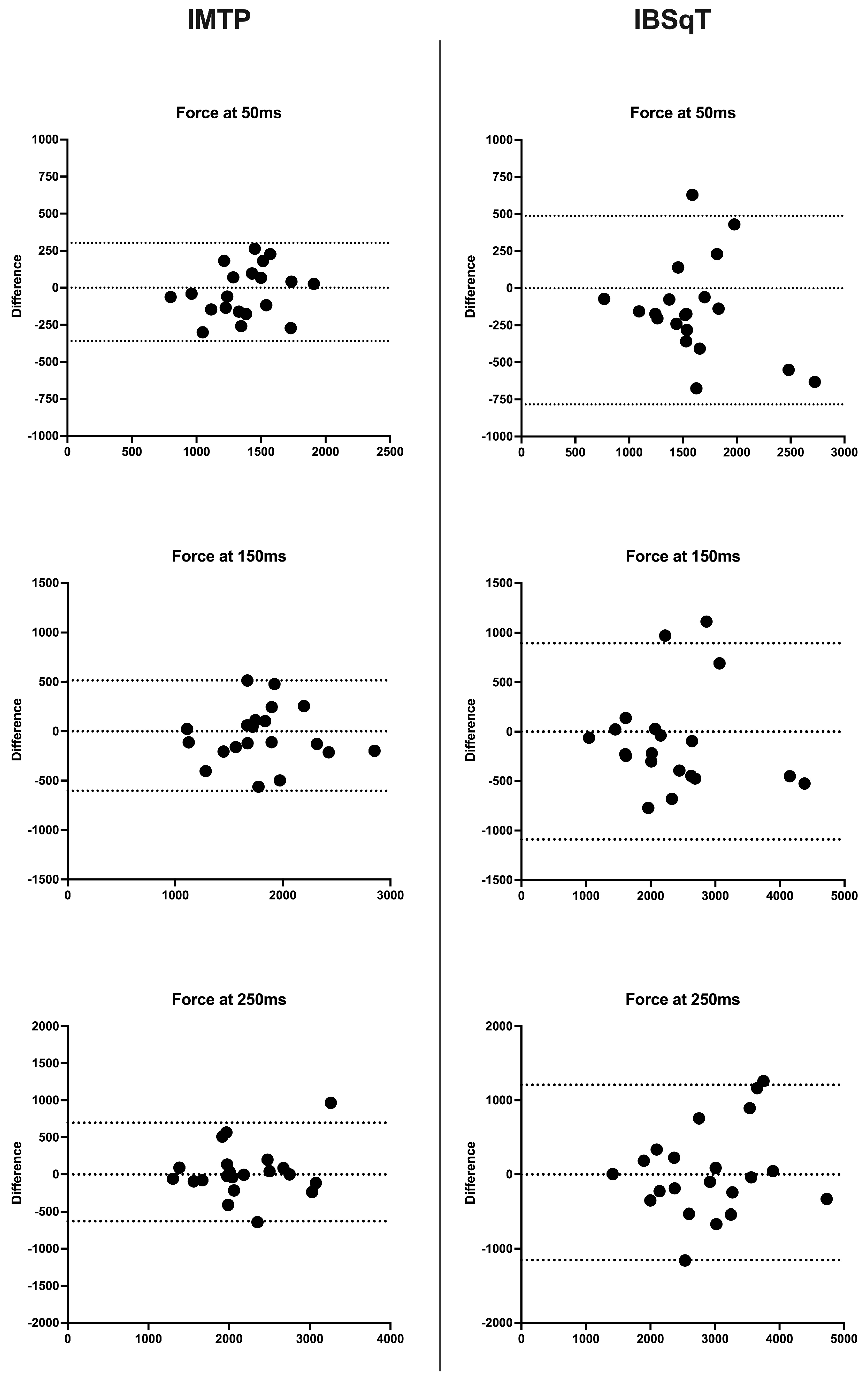
3. Results
3.1. Intra-Session Reliability in IMTP
3.2. Intra-Session Reliability in Isometric Belt Squat Test
3.3. Between-Session Reliability in IMTP
3.4. Between-Session Reliability in Isometric Belt Squat Test
4. Discussion
Author Contributions
Funding
Institutional Review Board Statement
Informed Consent Statement
Data Availability Statement
Conflicts of Interest
References
- Suchomel, T.J.; Nimphius, S.; Stone, M.H. The Importance of Muscular Strength in Althletic Performance. Sports Med. 2016, 46, 1419–1449. [Google Scholar] [CrossRef] [PubMed]
- Suchomel, T.J.; Nimphius, S.; Bellon, C.R.; Hornsby, W.G.; Stone, M.H. Training for Muscular Strength: Methods for Monitoring and Adjusting Training Intensity. Sports Med. 2021, 51, 2051–2066. [Google Scholar] [CrossRef]
- Weakley, J.; Black, G.; McLaren, S.; Scantlebury, S.; Suchomel, T.J.; McMahon, E.; Watts, D.; Read, D.B. Testing and Profiling Athletes: Recommendations for Test Selection, Implementation, and Maximizing Information. Strength Cond. J. 2024, 46, 159–179. [Google Scholar] [CrossRef]
- Bishop, C.; Jordan, M.J.; Torres-Ronda, L.; Loturco, I.; Harry, J.; Virgile, A.; Mundy, P.; Turner, A.N.; Comfort, P. Selecting Metrics That Matter: Comparing the Use of the Countermovement Jump for Performance Profiling, Neuromuscular Fatigue Monitoring and Injury Rehabilitation Testing. Strength Cond. J. 2022, 45, 545–553. [Google Scholar] [CrossRef]
- Harry, J.R.; Hurwitz, J.; Agnew, C.; Bishop, C. Statistical Tests for Sports Science Practitioners: Identifying Performance Gains in Individual Athletes. J. Strength Cond. Res. 2024, 38, E264–E272. [Google Scholar] [CrossRef] [PubMed]
- Hopkins, W.G.; Hawley, J.A.; Burke, L.M. Design and Analysis of Research on Sport Performance Enhancement. Med. Sci. Sports Exerc. 1999, 31, 472–485. [Google Scholar] [CrossRef]
- McMaster, D.T.; Gill, N.; Cronin, J.; McGuigan, M. A Brief Review of Strength and Ballistic Assessment Methodologies in Sport. Sports Med. 2014, 44, 603–623. [Google Scholar] [CrossRef] [PubMed]
- Grgic, J.; Scapec, B.; Mikulic, P.; Pedisic, Z. Test-Retest Reliability of Isometric Mid-Thigh Pull Maximum Strength Assessment: A Systematic Review. Biol. Sport 2021, 39, 407–414. [Google Scholar] [CrossRef] [PubMed]
- Macht, J.W.; Abel, M.G.; Mullineaux, D.R.; Yates, J.W. Development of 1rm Prediction Equations for Bench Press in Moderately Trained Men. J. Strength Cond. Res. 2016, 30, 2901–2906. [Google Scholar] [CrossRef] [PubMed]
- Soriano, M.A.; Jiménez, E.; Jiménez-Ormeñ, J.; Amaro-Gahete, F.J.; Haff, G.G.; Comfort, P. How Does Lower-Body and Upper-Body Strength Relate to Maximum Split Jerk Performance? J. Strength Cond. Res. 2022, 36, 2102–2107. [Google Scholar] [CrossRef] [PubMed]
- Comfort, P.; Dos’Santos, T.; Beckham, G.K.; Stone, M.H.; Guppy, S.N.; Haff, G.G. Standardization and Methodological Considerations for the Isometric Midthigh Pull. Strength Cond. J. 2019, 41, 57–79. [Google Scholar] [CrossRef]
- Merrigan, J.J.; Stone, J.D.; Hornsby, W.G.; Hagen, J.A. Identifying Reliable and Relatable Force-Time Metrics in Athletes-Considerations for the Isometric Mid-Thigh Pull and Countermovement Jump. Sports 2020, 9, 4. [Google Scholar] [CrossRef] [PubMed]
- Dos’santos, T.; Thomas, C.; Comfort, P.; McMahon, J.J.; Jones, P.A. Relationships between Isometric Force-Time Characteristics and Dynamic Performance. Sports 2017, 5, 68. [Google Scholar] [CrossRef]
- Stone, M.; O’Bryant, H.; Hornsby, G.; Cunanan, A.; Mizuguchi, S.; Suarez, D.; South, M.; Marsh, D.; Haff, G.; Ramsey, M.; et al. Using the Isometric Mid-Thigh Pull in the Monitoring of Weightlifters: 25+ Years of Experience. Prof. Strength Cond. 2019, 54, 19–26. [Google Scholar]
- Beckham, G.; Mizuguchi, S.; Carter, C.; Sato, K.; Ramsey, M.; Lamont, H.; Hornsby, G.; Haff, G.; Stone, M. Relationships of Isometric Mid-Thigh Pull Variables to Weightlifting Performance. J. Sports Med. Phys. Fit. 2013, 53, 573–581. [Google Scholar]
- Haff, G.G.; Carlock, J.M.; Hartman, M.J.; Kilgore, J.L.; Kawamori, N.; Jackson, J.R.; Morris, R.T.; Sands, W.A.; Stone, M.H. Force-Time Curve Characteristics of Dynamic and Isometric Muscle Actions of Elite Women Olympic Weightlifters. J. Strength Cond. Res. 2005, 19, 741–748. [Google Scholar] [CrossRef]
- Brady, C.J.; Harrison, A.J.; Comyns, T.M. A Review of the Reliability of Biomechanical Variables Produced during the Isometric Mid-Thigh Pull and Isometric Squat and the Reporting of Normative Data. Sports Biomech. 2020, 19, 1–25. [Google Scholar] [CrossRef]
- Lum, D.; Haff, G.G.; Barbosa, T.M. The Relationship between Isometric Force-Time Characteristics and Dynamic Performance: A Systematic Review. Sports 2020, 8, 63. [Google Scholar] [CrossRef] [PubMed]
- Giles, G.; Lutton, G.; Martin, J. Scoping Review of the Isometric Mid-Thigh Pull Performance Relationship to Dynamic Sport Performance Assessments. J. Funct. Morphol. Kinesiol. 2022, 7, 114. [Google Scholar] [CrossRef]
- McGuigan, M.R.; Winchester, J.B. The Relationship Between Isometric and Dynamic Strength in College Football Players. J. Sports Sci. Med. 2008, 7, 101. [Google Scholar] [CrossRef] [PubMed]
- de Witt, J.K.; English, K.L.; Crowell, J.B.; Kalogera, K.L.; Guilliams, M.E.; Nieschwitz, B.E.; Hanson, A.M.; Ploutz-Snyder, L.L. Isometric Midthigh Pull Reliability and Relationship to Deadlift One Repetition Maximum. J. Strength Cond. Res. 2018, 32, 528–533. [Google Scholar] [CrossRef] [PubMed]
- Thomas, C.; Comfort, P.; Chiang, C.-Y.; Jones, P.A. Relationship between Isometric Mid-Thigh Pull Variables and Sprint and Change of Direction Performance in Collegiate Athletes. J. Trainology 2015, 4, 6–10. [Google Scholar] [CrossRef] [PubMed]
- Townsend, J.R.; Bender, D.; Vantrease, W.C.; Hudy, J.; Huet, K.; Williamson, C.; Bechke, E.; Serafini, P.R.; Mangine, G.T. Isometric Midthigh Pull Performance Is Associated With Athletic Performance and Sprinting Kinetics in Division I Men and Women’s Basketball Players. J. Strength Cond. Res. 2019, 33, 2665–2673. [Google Scholar] [CrossRef] [PubMed]
- Nuzzo, J.L.; Mcbride, J.M.; Cormie, P.; Mccaulley, G.O. Relationship between Countermovement Jump Performance and Multijoint Isometric and Dynamic Tests of Strength. J. Strength Cond. Res. 2008, 22, 699–707. [Google Scholar] [CrossRef] [PubMed]
- Drake, D.; Kennedy, R.; Wallace, E. Familiarization, Validity and Smallest Detectable Difference of the Isometric Squat Test in Evaluating Maximal Strength. J. Sports Sci. 2018, 36, 2087–2095. [Google Scholar] [CrossRef] [PubMed]
- Bazyler, C.D.; Beckham, G.K.; Sato, K. The Use of the Isometric Squat as a Measure of Strength and Explosiveness. J. Strength Cond. Res. 2015, 29, 1386–1392. [Google Scholar] [CrossRef] [PubMed]
- Brady, C.J.; Harrison, A.J.; Flanagan, E.P.; Gregory Haff, G.; Comyns, T.M. A Comparison of the Isometric Midthigh Pull and Isometric Squat: Intraday Reliability, Usefulness, and the Magnitude of Difference Between Tests. Int. J. Sports Physiol. Perform. 2018, 13, 844–852. [Google Scholar] [CrossRef] [PubMed]
- Layer, J.S.; Grenz, C.; Hinshaw, T.J.; Smith, D.T.; Barrett, S.F.; Dai, B. Kinetic Analysis of Isometric Back Squats and Isometric Belt Squats. J. Strength Cond. Res. 2018, 32, 3301–3309. [Google Scholar] [CrossRef] [PubMed]
- Varela-Olalla, D.; Balsalobre-Fernández, C.; Romero-Moraleda, B.; Jiménez-Sáiz, S.L. Reliability and Validity of the Strain Gauge “GSTRENGTH” for Measuring Peak Force in the Isometric Belt Squat at Different Joint Angles. Sensors 2024, 24, 3256. [Google Scholar] [CrossRef]
- Teo, W.; McGuigan, M.R.; Newton, M.J. The Effects of Circadian Rhythmicity of Salivary Cortisol and Testosterone on Maximal Isometric Force, Maximal Dynamic Force, and Power Output. J. Strength Cond. Res. 2011, 25, 1538–1545. [Google Scholar] [CrossRef] [PubMed]
- Guppy, S.N.; Kotani, Y.; Brady, C.J.; Connolly, S.; Comfort, P.; Haff, G.G. The Reliability and Magnitude of Time-Dependent Force-Time Characteristics During the Isometric Midthigh Pull Are Affected by Both Testing Protocol and Analysis Choices. J. Strength Cond. Res. 2022, 36, 1191–1199. [Google Scholar] [CrossRef] [PubMed]
- Halperin, I.; Williams, K.J.; Martin, D.T.; Chapman, D.W. The Effects of Attentional Focusing Instructions on Force Production during the Isometric Midthigh Pull. J. Strength Cond. Res. 2016, 30, 919–923. [Google Scholar] [CrossRef] [PubMed]
- Badby, A.J.; Mundy, P.D.; Comfort, P.; Lake, J.P.; Mcmahon, J.J.; Badby, A.J.; Mundy, P.D.; Comfort, P.; Lake, J.P.; Mcmahon, J.J. The Validity of Hawkin Dynamics Wireless Dual Force Plates for Measuring Countermovement Jump and Drop Jump Variables. Sensors 2023, 23, 4820. [Google Scholar] [CrossRef] [PubMed]
- Merrigan, J.J.; Stone, J.D.; Galster, S.M.; Hagen, J.A. Analyzing Force-Time Curves: Comparison of Commercially Available Automated Software and Custom MATLAB Analyses. J. Strength Cond. Res. 2022, 36, 2387–2402. [Google Scholar] [CrossRef] [PubMed]
- Hopkins, W.G. Spreadsheets for Analysis of Validity and Reliability. Sportscience 2015, 19, 36–45. [Google Scholar]
- Koo, T.K.; Li, M.Y. A Guideline of Selecting and Reporting Intraclass Correlation Coefficients for Reliability Research. J. Chiropr. Med. 2016, 15, 155. [Google Scholar] [CrossRef]
- Atkinson, G.; Nevill, A.M. Statistical Methods for Assessing Measurement Error (Reliability) in Variables Relevant to Sports Medicine. Sports Med. 1998, 26, 217–238. [Google Scholar] [CrossRef]
- Cohen, J. Statistical Power Analysis for the Behavioral Sciences; Routledge: New York, NY, USA, 2013. [Google Scholar] [CrossRef]
- Weir, J.P. Quantifying Test-Retest Reliability Using the Intraclass Correlation Coefficient and the SEM. J. Strength Cond. Res. 2005, 19, 231–240. [Google Scholar] [CrossRef] [PubMed]
- Turner, A.N.; Parmar, N.; Jovanovski, A.; Hearne, G. Assessing Group-Based Changes in High-Performance Sport. Part 2: Effect Sizes and Embracing Uncertainty Through Confidence Intervals. Strength Cond. J. 2021, 43, 68–77. [Google Scholar] [CrossRef]
- How to Interpret Changes in an Athletic Performance Test. Available online: https://www.sportsci.org/jour/04/wghtests.htm (accessed on 4 June 2023).
- Dos’Santos, T.; Thomas, C.; Comfort, P.; McMahon, J.J.; Jones, P.A.; Oakley, N.P.; Young, A.L. Between-Session Reliability of Isometric Midthigh Pull Kinetics and Maximal Power Clean Performance in Male Youth Soccer Players. J. Strength Cond. Res. 2018, 32, 3364–3372. [Google Scholar] [CrossRef]
- Suarez, D.G.; Carroll, K.M.; Slaton, J.A.; Rochau, K.G.; Davis, M.W.; Stone, M.H. Utility of a Shortened Isometric Midthigh Pull Protocol for Assessing Rapid Force Production in Athletes. J. Strength Cond. Res. 2022, 36, 1819–1825. [Google Scholar] [CrossRef] [PubMed]
- Ishida, A.; Suarez, D.G.; Travis, S.K.; Slaton, J.A.; White, J.B.; Bazyler, C.D.; Stone, M.H. Intrasession and Intersession Reliability of Isometric Squat, Midthigh Pull, and Squat Jump in Resistance-Trained Individuals. J. Strength Cond. Res. 2023, 37, 18–26. [Google Scholar] [CrossRef] [PubMed]
- Maffiuletti, N.A.; Aagaard, P.; Blazevich, A.J.; Folland, J.; Tillin, N.; Duchateau, J. Rate of Force Development: Physiological and Methodological Considerations. Eur. J. Appl. Physiol. 2016, 116, 1091–1116. [Google Scholar] [CrossRef] [PubMed]
- Turner, A.N. But Did My Athlete Improve!? Assessing Performance Changes When N = 1. Prof. Strength Cond. 2022, 63, 27–31. [Google Scholar]






| Mean | SD | CV% (95%CI) | ICC (95%CI) | SEM (95%CI) | SWC 0.2 (95%CI) | |
|---|---|---|---|---|---|---|
| Peak force (N) | 2964.7 | 756.5 | 4.2 (3.4–5.7) | 0.98 (0.95–0.99) | 126.0 (101.3–168.0) | 149.2 (85.1–190.9) |
| Relative peak force (N/kg) | 37.6 | 11.3 | 4.3 (3.4–5.7) | 0.98 (0.96–0.99) | 1.6 (1.3–2.1) | 2.2 (1.3–2.9) |
| Force at 50 ms (N) | 1391.8 | 376.0 | 13.4 (10.7–17.8) | 0.77 (0.58–0.89) | 186.0 (149.6–248.0) | 65.4 (42.1–88.0) |
| RFD 0–50 ms (N·s) | 5756.5 | 4808.5 | 32.6 (26.2–43.5) | 0.86 (0.72–0.93) | 1878.3 (1510.7–2505.1) | 885.3 (539.8–1164.0) |
| Impulse 0–50 ms (N·s) | 61,724.9 | 13,861.7 | 11.8 (9.5–15.7) | 0.74 (0.53–0.87) | 7261.7 (5840.4–9685.3) | 2361.5 (1549.5–3206.6) |
| Force at 100 ms (N) | 1669.3 | 535.4 | 15.8 (12.7–21.1) | 0.77 (0.58–0.89) | 264.5 (212.7–352.8) | 93.1 (59.9–125.3) |
| RFD 0–100 ms (N·s) | 5786.0 | 3933.9 | 26.5 (21.3–35.3) | 0.86 (0.73–0.93) | 1533.5 (1233.4–2045.3) | 724.5 (441.6–952.5) |
| Impulse 0–100 ms (N·s) | 138,663 | 35,875 | 13.0 (10.5–17.4) | 0.76 (0.56–0.88) | 18,070.9 (14,534.2–24,102.3) | 6198.1 (4013.8–8366.2) |
| Force at 150 ms (N) | 1858.9 | 614.0 | 18.1 (14.5–24.1) | 0.72 (0.49–0.86) | 335.9 (270.2–448.0) | 102.8 (68.6–140.6) |
| RFD 0–150 ms (N·s) | 4668.7 | 2471.8 | 33.0 (26.5–44.0) | 0.63 (0.37–0.81) | 1540.9 (1239.3–2055.2) | 386.5 (274.6–545.1) |
| Impulse 0–150 ms (N·s) | 225,651 | 63,879 | 14.3 (11.5–19.1) | 0.76 (0.56–0.88) | 32,348.5 (26,017.4–43,145.2) | 11,016.5 (7146.2–14,881.3) |
| Force at 200 ms (N) | 2074.3 | 672.4 | 18.9 (15.2–25.2) | 0.68 (0.44–0.84) | 391.2 (314.6–521.8) | 109.4 (74.9–151.5) |
| RFD 0–200 ms (N·s) | 5253.1 | 2523.1 | 27.3 (21.9–36.4) | 0.70 (0.46–0.85) | 1433.4 (1152.9–1911.8) | 415.3 (281.4–572.4) |
| Impulse 0–200 ms (N·s) | 323,426 | 95,099 | 15.5 (12.5–20.7) | 0.74 (0.52–0.87) | 50,281.7 (40,440.9–67,063.8) | 16,143.8 (10,628.0–21,954.7) |
| Force at 250 ms (N) | 2214.8 | 661.1 | 16.5 (13.3–22.1) | 0.71 (0.48–0.85) | 366.2 (294.5–488.4) | 110.1 (73.8–151.0) |
| RFD 0–250 ms (N·s) | 4636.4 | 1970.8 | 16.6 (13.3–22.1) | 0.86 (0.73–0.93) | 767.4 (617.2–1023.5) | 363.1 (221.2–477.2) |
| Impulse 0–250 ms (N·s) | 431,115.5 | 127,627.6 | 15.9 (12.8–21.2) | 0.73 (0.51–0.86) | 68,588.7 (55,164.9–91,480.9) | 21,526.2 (14,257.1–29,355.9) |
| Mean | SD | CV% (95%CI) | ICC (95%CI) | SEM (95%CI) | SWC 0.2 (95%CI) | |
|---|---|---|---|---|---|---|
| Peak force (N) | 5148.9 | 1332.8 | 6.1 (4.9–8.2) | 0.95 (0.89–0.98) | 316.4 (254.5–422.0) | 258.9 (149.9–333.3) |
| Relative peak force (N/kg) | 65.8 | 21.9 | 6.0 (4.8–8.0) | 0.97 (0.94–0.99) | 3.9 (3.2–5.3) | 4.3 (2.5–5.5) |
| Force at 50 ms (N) | 1539.1 | 432.3 | 9.6 (7.7–12.8) | 0.89 (0.78–0.95) | 148.0 (119.0–197.4) | 81.2 (48.6–105.9) |
| RFD 0–50 ms (N·s) | 6698.3 | 5888.1 | 26.3 (21.2–35.1) | 0.90 (0.80–1.00) | 1763.0 (1418.0–2351.4) | 1123.6 (661.8–1456.3) |
| Impulse 0–50 ms (N·s) | 66,154.6 | 14,580.7 | 9.3 (7.5–12.4) | 0.84 (0.68–0.92) | 6128.0 (4928.6–8173.2) | 2646.1 (1635.7–3499.4) |
| Force at 100 ms (N) | 2003.8 | 800.6 | 11.4 (9.1–15.1) | 0.93 (0.85–0.97) | 227.5 (182.9–303.4) | 153.5 (90.0–198.6) |
| RFD 0–100 ms (N·s) | 8406.5 | 6606.1 | 26.2 (21.0–34.9) | 0.90 (0.80–0.95) | 2199.7 (1769.2–2933.9) | 1245.8 (742.2–1622.3) |
| Impulse 0–100 ms (N·s) | 156,359 | 48,200 | 8.6 (6.9–11.4) | 0.93 (0.86–0.97) | 13,417.9 (10,791.8–17,896.3) | 9258.9 (5418.3–11,969.5) |
| Force at 150 ms (N) | 2301.6 | 871.0 | 19.3 (15.5–25.7) | 0.76 (0.55–0.88) | 443.1 (356.4–591.0) | 150.0 (97.4–202.7) |
| RFD 0–150 ms (N·s) | 7290.9 | 4866.3 | 22.2 (17.9–29.7) | 0.90 (0.80–0.95) | 1621.1 (1303.8–2162.1) | 917.7 (546.8–1195.0) |
| Impulse 0–150 ms (N·s) | 257,938 | 78,587 | 14.5 (11.6–19.3) | 0.79 (0.60–0.90) | 37,358.5 (30,046.9–49,827.3) | 13,827.9 (8802.2–18,522.0) |
| Force at 200 ms (N) | 2634.4 | 959.3 | 12.6 (10.1–16.8) | 0.89 (0.78–0.95) | 331.9 (267.0–442.7) | 180.0 (107.8–234.9) |
| RFD 0–200 ms (N·s) | 7491.9 | 3930.4 | 16.5 (13.3–22.0) | 0.91 (0.82–0.96) | 1237.8 (995.5–1650.9) | 746.1 (441.7–969.0) |
| Impulse 0–200 ms (N·s) | 391,072 | 138,111 | 9.7 (7.8–13.0) | 0.93 (0.86–0.97) | 38,024.7 (30,582.7–50,715.9) | 26,554.6 (15,525.9–34,316.2) |
| Force at 250 ms (N) | 2908.3 | 969.7 | 13.0 (10.4–17.3) | 0.86 (0.73–0.93) | 376.7 (303.0–502.5) | 178.7 (108.9–234.9) |
| RFD 0–250 ms (N·s) | 6980.6 | 3336.7 | 19.9 (16.0–26.5) | 0.84 (0.69–0.92) | 1387.2 (1115.7–1850.2) | 606.9 (374.4–801.9) |
| Impulse 0–250 ms (N·s) | 540,461.9 | 173,484.7 | 8.7 (7.0–11.6) | 0.93 (0.86–0.97) | 47,029.1 (37,824.8–62,725.5) | 33,397.7 (19,503.1–43,138.4) |
| CV% (95%CI) | ICC (95%CI) | SEM (95%CI) | SWC 0.2 (95%CI) | p Value | ES (g) (95%CI) | |
|---|---|---|---|---|---|---|
| Peak force (N) | 5.3 (4.1–7.7) | 0.96 (0.90–0.98) | 158.8 (121.5–229.3) | 148.4 (113.6–214.4) | 0.737 | −0.02 (−0.65 to 0.60) |
| Relative peak force (N/kg) | 6.0 (4.8–8.0) | 0.97 (0.94–0.99) | 3.9 (3.2–5.3) | 4.3 (2.5–5.5) | 0.849 | −0.01 (−0.63 to 0.62) |
| Force at 50 ms (N) | 9.6 (7.7–12.8) | 0.89 (0.78–0.95) | 148.0 (119.0–197.4) | 81.2 (48.6–105.9) | 0.995 | 0.00 (−0.62 to 0.62) |
| RFD 0–50 ms (N·s) | 26.3 (21.2–35.1) | 0.90 (0.80–1.00) | 1763.0 (1418.0–2351.4) | 1123.6 (661.8–1456.3) | 0.159 | 0.25 (−0.37 to 0.88) |
| Impulse 0–50 ms (N·s) | 9.3 (7.5–12.4) | 0.84 (0.68–0.92) | 6128.0 (4928.6–8173.2) | 2646.1 (1635.7–3499.4) | 0.440 | −0.11 (−0.74 to 0.51) |
| Force at 100 ms (N) | 11.4 (9.1–15.1) | 0.93 (0.85–0.97) | 227.5 (182.9–303.4) | 153.5 (90.0–198.6) | 0.747 | −0.05 (−0.67 to 0.58) |
| RFD 0–100 ms (N·s) | 26.2 (21.0–34.9) | 0.90 (0.80–0.95) | 2199.7 (1769.2–2933.9) | 1245.8 (742.2–1622.3) | 0.868 | 0.02 (−0.61 to 0.64) |
| Impulse 0–100 ms (N·s) | 8.6 (6.9–11.4) | 0.93 (0.86–0.97) | 13,417.9 (10,791.8–17,896.3) | 9258.9 (5418.3–11,969.5) | 0.565 | −0.09 (−0.71 to 0.54) |
| Force at 150 ms (N) | 19.3 (15.5–25.7) | 0.76 (0.55–0.88) | 443.1 (356.4–591.0) | 150.0 (97.4–202.7) | 0.948 | 0.01 (−0.61 to 0.63) |
| RFD 0–150 ms (N·s) | 22.2 (17.9–29.7) | 0.90 (0.80–0.95) | 1621.1 (1303.8–2162.1) | 917.7 (546.8–1195.0) | 0.304 | −0.26 (−0.89 to 0.36) |
| Impulse 0–150 ms (N·s) | 14.5 (11.6–19.3) | 0.79 (0.60–0.90) | 37,358.5 (30,046.9–49,827.3) | 13,827.9 (8802.2–18,522.0) | 0.925 | −0.01 (−0.64 to 0.61) |
| Force at 200 ms (N) | 12.6 (10.1–16.8) | 0.89 (0.78–0.95) | 331.9 (267.0–442.7) | 180.0 (107.8–234.9) | 0.805 | 0.04 (−0.59 to 0.66) |
| RFD 0–200 ms (N·s) | 16.5 (13.3–22.0) | 0.91 (0.82–0.96) | 1237.8 (995.5–1650.9) | 746.1 (441.7–969.0) | 0.273 | 0.12 (−0.50 to 0.75) |
| Impulse 0–200 ms (N·s) | 9.7 (7.8–13.0) | 0.93 (0.86–0.97) | 38,024.7 (30,582.7–50,715.9) | 26,554.6 (15,525.9–34,316.2) | 0.936 | −0.01 (−0.64 to 0.61) |
| Force at 250 ms (N) | 13.0 (10.4–17.3) | 0.86 (0.73–0.93) | 376.7 (303.0–502.5) | 178.7 (108.9–234.9) | 0.654 | 0.06 (−0.57 to 0.68) |
| RFD 0–250 ms (N·s) | 19.9 (16.0–26.5) | 0.84 (0.69–0.92) | 1387.2 (1115.7–1850.2) | 606.9 (374.4–801.9) | 0.113 | 0.12 (−0.50 to 0.75) |
| Impulse 0–250 ms (N·s) | 8.7 (7.0–11.6) | 0.93 (0.86–0.97) | 47,029.1 (37,824.8–62,725.5) | 33,397.7 (19,503.1–43,138.4) | 0.700 | 0.01 (−0.62 to 0.63) |
| CV% (95%CI) | ICC (95%CI) | SEM (95%CI) | SWC 0.2 (95%CI) | p value | ES (g) (95%CI) | |
|---|---|---|---|---|---|---|
| Peak force (N) | 6.8 (5.2–9.8) | 0.94 (0.85–0.97) | 351.3 (268.7–507.2) | 265.4 (203.0–383.2) | 0.932 | −0.01 (−0.63 to 0.62) |
| Relative peak force (N/kg) | 6.9 (5.3–10.0) | 0.97 (0.92–0.99) | 4.6 (3.5–6.6) | 4.7 (3.6–6.7) | 0.627 | −0.03 (−0.65 to 0.59) |
| Force at 50 ms (N) | 14.9 (11.4–21.5) | 0.75 (0.48–0.89) | 238.1 (182.2–343.9) | 91.6 (70.1–132.3) | 0.111 | −0.26 (−0.89 to 0.36) |
| RFD 0–50 ms (N·s) | 48.6 (37.1–70.1) | 0.74 (0.47–0.89) | 3243.4 (2481.4–4683.7) | 1234.5 (944.4–1782.7) | 0.972 | 0.01 (−0.62 to 0.63) |
| Impulse 0–50 ms (N·s) | 13.2 (10.1–19.1) | 0.67 (0.35–0.85) | 9212.4 (7048.0–13,303.3) | 3127.3 (2392.5–4516.0) | 0.020 | −0.05 (−1.08 to 0.18) |
| Force at 100 ms (N) | 21.4 (16.4–30.9) | 0.65 (0.31–0.84) | 424.3 (324.6–612.7) | 138.8 (106.2–200.5) | 0.753 | 0.06 (−0.56 to 0.68) |
| RFD 0–100 ms (N·s) | 27.1 (20.7–39.1) | 0.89 (0.75–0.95) | 2117.6 (1620.1–3058.0) | 1222.9 (935.6–1765.9) | 0.682 | 0.04 (−0.58 to 0.67) |
| Impulse 0–100 ms (N·s) | 15.2 (11.6–22.0) | 0.72 (0.43–0.88) | 24,267.6 (18,566.2–35,044.1) | 8909.6 (6816.4–12,866.1) | 0.397 | −0.14 (−0.77 to 0.48) |
| Force at 150 ms (N) | 17.8 (13.6–25.6) | 0.78 (0.54–0.91) | 419.4 (320.9–605.6) | 172.8 (132.2–249.5) | 0.842 | −0.03 (−0.65 to 0.59) |
| RFD 0–150 ms (N·s) | 34.2 (26.2–49.4) | 0.72 (0.43–0.88) | 2637.3 (2017.7–3808.4) | 964.5 (737.9–1392.7) | 0.609 | 0.09 (−0.54 to 0.71) |
| Impulse 0–150 ms (N·s) | 17.7 (13.6–25.6) | 0.68 (0.36–0.86) | 47,313.1 (36,197.3–68,323.4) | 16,140.0 (12,348.0–23,307.3) | 0.241 | −0.21 (−0.84 to 0.41) |
| Force at 200 ms (N) | 15.1 (11.6–21.9) | 0.81 (0.58–0.92) | 403.1 (308.4–582.2) | 176.0 (134.6–254.1) | 0.650 | −0.06 (−0.69 to 0.56) |
| RFD 0–200 ms (N·s) | 22.3 (17.0–32.1) | 0.81 (0.59–0.92) | 1624.3 (1242.7–2345.6) | 719.7 (550.6–1039.3) | 0.447 | 0.11 (−0.52 to 0.73) |
| Impulse 0–200 ms (N·s) | 16.8 (12.9–24.3) | 0.75 (0.47–0.89) | 66,919.3 (51,197.2–96,636.1) | 25,649.7 (19,623.5–37,039.9) | 0.549 | −0.10 (−0.72 to 0.53) |
| Force at 250 ms (N) | 14.7 (11.3–21.2) | 0.77 (0.52–0.90) | 425.8 (325.8–614.9) | 171.1 (130.9–247.1) | 0.836 | 0.03 (−0.59 to 0.66) |
| RFD 0–250 ms (N·s) | 21.3 (16.3–30.8) | 0.76 (0.50–0.90) | 1435.2 (1098.0–2072.5) | 564.5 (431.9–815.2) | 0.269 | 0.17 (−0.45 to 0.80) |
| Impulse 0–250 ms (N·s) | 15.3 (11.7–22.1) | 0.77 (0.51–0.90) | 83,347.7 (63,765.9–120,359.8) | 33,422.8 (25,570.4–48,264.9) | 0.736 | −0.05 (−0.68 to 0.57) |
Disclaimer/Publisher’s Note: The statements, opinions and data contained in all publications are solely those of the individual author(s) and contributor(s) and not of MDPI and/or the editor(s). MDPI and/or the editor(s) disclaim responsibility for any injury to people or property resulting from any ideas, methods, instructions or products referred to in the content. |
© 2024 by the authors. Licensee MDPI, Basel, Switzerland. This article is an open access article distributed under the terms and conditions of the Creative Commons Attribution (CC BY) license (https://creativecommons.org/licenses/by/4.0/).
Share and Cite
Giuliano, F.; Soriano, M.A.; Pino-Mulero, V.; González-García, J. Testing Consistency: Analyzing the Reliability of Two Lower Limb Isometric Force Measurements in Strength-Trained Athletes. Appl. Sci. 2025, 15, 303. https://doi.org/10.3390/app15010303
Giuliano F, Soriano MA, Pino-Mulero V, González-García J. Testing Consistency: Analyzing the Reliability of Two Lower Limb Isometric Force Measurements in Strength-Trained Athletes. Applied Sciences. 2025; 15(1):303. https://doi.org/10.3390/app15010303
Chicago/Turabian StyleGiuliano, Francisco, Marcos A. Soriano, Victor Pino-Mulero, and Jaime González-García. 2025. "Testing Consistency: Analyzing the Reliability of Two Lower Limb Isometric Force Measurements in Strength-Trained Athletes" Applied Sciences 15, no. 1: 303. https://doi.org/10.3390/app15010303
APA StyleGiuliano, F., Soriano, M. A., Pino-Mulero, V., & González-García, J. (2025). Testing Consistency: Analyzing the Reliability of Two Lower Limb Isometric Force Measurements in Strength-Trained Athletes. Applied Sciences, 15(1), 303. https://doi.org/10.3390/app15010303

