Abstract
As the density of electronic packaging continues to rise, traditional soldering techniques encounter significant challenges, leading to copper–copper direct bonding as a new high-density connection method. The high melting point of copper presents difficulties for direct diffusion bonding under standard conditions, thus making low-temperature copper–copper bonding a focal point of research. In this study, we examine the sintering process at various temperatures by constructing models with multiple nanoparticles and sintering them under different conditions. Our findings indicate that 600 K is a crucial temperature for direct copper–copper sintering. Below this threshold, sintering predominantly depends on structural adjustments driven by residual stresses and particle contact. Conversely, at temperatures of 600 K and above, the activation of rapid surface atomic motion enables further structural adjustments between nanoparticles, leading to a marked decrease in porosity. Mechanical testing of the sintered samples corroborated the structural changes at different temperatures, demonstrating that the surface dynamic motion of atoms inherent in low-temperature sintering mechanisms significantly affects the mechanical properties of nanomaterials. These findings have important implications for developing high-performance materials that align with the evolving requirements of modern electronic devices.
1. Introduction
With chips evolving towards extremely small manufacturing processes, the electronic packaging density has surged dramatically [1,2]. The rise in the number of connector contacts has pushed traditional soldering methods for high-density connections to their limits [3,4,5,6]. Solder not only lacks sufficient structural strength but also falls short in thermal dissipation and electromigration resistance [7,8]. Consequently, copper–copper direct bonding is emerging as a popular technique in advanced packaging [9,10,11,12,13]. However, copper’s high melting point makes direct diffusion bonding challenging under conventional conditions, making low-temperature copper–copper bonding a research focus [14,15]. Currently, techniques to achieve low-temperature Cu-Cu bonding include thermocompression bonding [13,16], hybrid bonding [17], and nanomaterial sintering processes [18,19]. These new methods and processes are expected to effectively overcome the shortcomings of traditional solder, providing possibilities for high-quality, ultra-high-density packaging. However, these techniques are still facing challenges, as the contradiction between bonding quality and sintering quality persists. At a low temperature, sintering often results in porosity, and the porosity rate of the sintered material is difficult to control precisely [19,20]. This has become a critical factor limiting the development of low-temperature Cu-Cu bonding technology.
In all these methods, the primary achievement for direct bonding at low temperatures is controlling the surface to enhance the diffusion rate of Cu atoms and applying pressure to facilitate the deformation and contact bonding of copper at low temperatures [15,21,22,23,24,25]. From this perspective, there is a uniformity among the three in the mechanism of low-temperature welding, which has been well investigated. Simulation methods, particularly molecular dynamics simulations, have recently been employed to investigate relevant mechanisms, yielding some effective results [26,27]. In our preliminary research, we also identified the rapid surface dynamic state of nanoparticles and proposed a low-temperature sintering mechanism for these particles. It demonstrated the low-temperature sintering process under various temperature and pressure coupling conditions and further demonstrated the positive role of the rapid surface dynamic state of nanoparticles in promoting sintering [28,29].
Obviously, the current research appears to be quite comprehensive from the perspective of bonding driving forces, which are inherently determined by temperature and pressure. However, the actual copper-to-copper bonding process involves the coupling of multiple mechanisms, such as dislocation, slip, surface diffusion, and plastic flow processes, which are challenging to emerge in a simple bonding model with only two interfaces or two grains in most research [30,31]. These mechanisms may exert their effects on the sintering process in a specific order or act collectively at lower temperatures. Clarifying the bonding mechanisms within complex interfaces or systems is crucial for the extrapolation of microscopic mechanisms to macroscopic scales, thereby facilitating a comprehensive understanding of macroscopic phenomena.
In this work, a multi-particle periodic system is utilized with different sintering temperatures, simulating the actual low-temperature sintering process to further consider the coupling of various atomic-level mechanisms during low-temperature sintering. A substantial random particle database is employed as the particle sample used during the sintering process, and through random drift and rotation during the initial arrangement of the particles, the distribution is made to closely resemble a random state to reflect the real sintering process. Through this method, the changes in porosity and mechanical properties during the sintering process are monitored carefully. The low-temperature sintering mechanism under the coupling of multiple mechanisms is discussed in detail, including surface diffusion, dislocation, slip, and plastic flow. This study aims to provide a comprehensive understanding of how these factors interact and influence the overall material performance, which is crucial for optimizing sintering conditions in various applications.
2. Methods
In this work, a Large-scale Atomic/Molecular Massively Parallel Simulator (LAMMPS) [32] is used to conduct all simulations. The interactions between Cu atoms are described with embedded atom model potential, which is widely used in Cu systems [33,34], with numerous studies applying it to the Cu-Cu bonding process [35,36]. OVITO is used for subsequent analysis and visualization [37].
To obtain relatively random particle samples, several bulk copper structures are constructed, each with a lattice constant of 3.615 Å at 300 K [38]. Gaussian distribution is applied to assign initial atomic velocities, with velocities distributed based on the average atomic velocity at 300 K. A predetermined random number seed is used to generate the velocity with consistent macroscopic properties yet slightly varied atomic structures. A total of 20 distinct random number seeds from a true random number generator were utilized in this assignment process, producing 20 unique bulk copper structures. These structures are subsequently heated to 1500 K at a rate of 1 K/ps, surpassing their melting point, and then held for a 10 ps isothermal relaxation period. The molten bulk copper is subsequently divided into spherical nanoparticles with a diameter of 5 nm. These nanoparticles are cooled to 300 K at a rate of 1 K/ps and subjected to an additional 10 ps isothermal relaxation to achieve an equilibrium state. This process yielded 20 nanoparticles with varied shapes and internal structures, which were compiled into a random nanoparticle library for simulations. It should be noted that the particle size will change the intrinsic atomic mobility on the surface, but it does not significantly alter the overall trend of the conclusions based on single particle simulation [28]. Therefore, in this study, a diameter of 5 nm is selected for comprehensive analysis, considering the balance between model size and our computing ability.
To correspond with the temperature range of the low-temperature process for nano-solders, seven discrete sintering temperatures are selected, ranging from 300 K to 1000 K in intervals of 100 K. During the modeling process, eight nanoparticles are randomly selected from a predefined nanoparticle library and positioned at the four corners of an 80 Å × 80 Å × 80 Å cubic box. These nanoparticles are then displaced randomly around their center of mass along the three principal axes, with displacement values ranging from 0 Å to a maximum of 10 Å. Following displacement, each nanoparticle was rotated around its center of mass using the three axes as rotation axes, with angles determined by random values between 0° and 360°. This configuration produced a structural file with eight randomly distributed nanoparticles. To expand the simulation system, the configuration is duplicated along the z-axis, resulting in a final model for low-temperature sintering simulation containing 16 nanoparticles with randomized orientations and spatial positions, avoiding the influence of particle shape and distribution.
At the initiation of the sintering simulation, the system underwent a 10 ps isothermal relaxation at 300 K within the NVT ensemble. Subsequently, the temperature is raised to predetermined levels (300 K, 400 K, …, 1000 K) at a rate of 1 K/ps [39,40], with the NVT ensemble still in use, followed by a 10 ps relaxation at each target temperature to ensure equilibrium. Following this stage, the ensemble is switched to NPT, maintaining a vacuum pressure of 10 ps to facilitate particle contact. Upon establishing contact, a 2 ns sintering process was carried out under the NPT ensemble, also at vacuum pressure. Post-sintering, the system was cooled to 300 K at a rate of 1 K/ps, concluding with a 10 ps relaxation to generate the post-sintering sample file for subsequent mechanical property evaluation. This sintering simulation protocol is repeated five times for each sintering temperature, obtaining a total of 35 distinct sintering samples.
The sintered sample undergoes an evaluation of its elastic constants and uniaxial tensile properties to assess mechanical performance. To determine the elastic constants, the simulation framework is incrementally deformed along one of six principal orientations at absolute zero, with the resulting variations in the stress tensor recorded during deformation. The derivatives of these stress variations are used to estimate the system’s bulk and shear moduli, which are central parameters in this investigation. In simulating uniaxial tension, the sintered specimens are first relaxed at 300 K for 10 ps. Subsequently, the system is extended along the z-axis at a strain rate of 108/s, with a total tensile strain of 20%. This methodology enabled the collection of stress–strain data throughout the tensile process, providing insights into the strength characteristics of the sintered specimens. All the simulation timesteps are set to be 1 fs [41]. The modeling techniques and simulation procedures described are illustrated in Figure 1.
Figure 1.
Schematic diagram of the system modeling process and the sintering simulation process.
3. Results and Discussion
3.1. Sintering of Multiple Copper Nanoparticles
Unlike the typical sintering process of a small number of particles, multi-particle sintering more accurately reflects the material behavior and properties under an experimental environment, ultimately leading to more reliable results and meaningful discussion. As the sintering temperature rises, the surfaces between nanoparticles gradually reduce until they vanish. Throughout this process, the significant surface energy present initially is either transferred to an external thermal reservoir or serves as the impetus for the internal structural transformation of the particles. Here, the energy and structural modifications during the sintering process are monitored carefully to elucidate the influence of low-temperature sintering mechanisms on nanoscale Cu bonding. The subsequent sections will delve into the nano-solder sintering process governed by low-temperature sintering mechanisms, examining it from the viewpoints of energy and structural evolution.
3.1.1. Energy Changing During Sintering
The energy changes during the sintering process provide insights into the structural quality of the system. A structure that closely approximates a perfect face-centered cubic (FCC) phase will exhibit lower potential energy at a given temperature, while deviations from this ideal structure will result in higher potential energy. In a sintering system, a lower number of pores and a morphology closer to a spherical shape are also associated with reduced potential energy.
As shown in Figure 2, both the average atomic potential and kinetic energy throughout the simulation are monitored. For clarity, the figure displays only the changes in kinetic and potential energy at a sintering temperature of 600 K. It is clear that the average kinetic energy of the atoms varies with temperature, and the entire simulation system experienced a four-stage process: isothermal heating, heating, isothermal cooling, and cooling. Throughout the heating and cooling phases, the rate of temperature change remained stable, with no notable instances of overheating or overcooling.
Figure 2.
The variations in average atomic kinetic energy and atomic potential energy throughout the entire sintering process at 600 K.
Regarding the potential energy curve, it similarly experiences the four-stage process of isothermal heating, heating, isothermal cooling, and cooling. At the beginning of the simulation, the potential energy is relatively high due to the redistribution of atomic velocities according to a Gaussian distribution at the corresponding temperature during initialization, resulting in an unstable initial state. However, as the system undergoes isothermal relaxation at room temperature, the excess potential energy present dissipates quickly, leading to a state of equilibrium. Subsequently, during the gradual heating process, the structure of the system does not undergo significant adjustments, and the potential energy remains relatively stable. Once the temperature exceeds a certain threshold, the potential energy begins to rise slightly with the increase in temperature, indicating that some structural adjustments occur within the system. After reaching 600 K, the potential energy begins to decrease slowly, signifying the progression of the sintering process. During this phase, the pores within the system are gradually eliminated, and the migration and merging of slip and dislocations occur, further stabilizing the system.
By approximately 2.25 ns, the energy of the system stabilizes, indicating that the sintering process is nearly complete. Following this, the temperature of the system begins to decrease linearly, and the potential energy also exhibits a linear decline. This linear trend in potential energy relates to the thermal expansion coefficient of copper. Since the temperature is far below the melting point, the thermal expansion coefficient of copper exhibits minimal variation. The rate of change in the system’s volume with temperature remains nearly constant, while the equilibrium distance between atoms gradually decreases with the lowering temperature, demonstrating the trend of linear decline in potential energy.
From the analysis above, it can be concluded that the potential energy of the system significantly decreases after sintering. Furthermore, the difference in potential energy varies with different sintering temperatures. Figure 3 extracts the differences in potential energy for the sintering process at various temperatures. It is noteworthy that when the temperatures of the systems are equal, the average atomic kinetic energy within them remains consistent. The extracted differences in potential energy represent the overall energy change. This energy variation can significantly reflect the sintering conditions at different temperatures.
Figure 3.
(a) The difference in total energy of the system before and after sintering at different sintering temperatures. (b) The morphology and crystal phase distribution of the sintered samples were obtained at sintering temperatures of 300 K, 600 K, and 900 K. The green represents the FCC phase, the red indicates the slipped FCC phase, and the white denotes the amorphous phase.
As shown in Figure 3a, when the sintering temperature is below 500 K, the energy difference before and after sintering does not change significantly. However, once the sintering temperature reaches 600 K or higher, the energy difference before and after sintering increases to approximately three times that observed at temperatures below 500 K, and this value stabilizes. The sintering process is characterized by a reduction in surface energy, where particles come into contact with each other, and through structural evolution, the surface area is minimized to lower the surface energy. At lower sintering temperatures, the energy of the atoms within the nanoparticles is insufficient to allow the sintering system to adjust further after initial contact. When the sintering temperature reaches 600 K, rapid dynamic motion of atoms occurs on the surfaces of the nanoparticles in the nanofiller, enabling the system to adjust further. This allows the sintering system at 600 K to achieve effects comparable to those at 900–1000 K, with nearly identical levels of energy reduction before and after sintering.
Figure 3b is the morphology and crystal phase distribution of the sintered samples obtained at sintering temperatures of 300 K, 600 K, and 900 K. At 300 K, the nanoparticles in the system retain their initial contact morphology even after sintering is complete. The pores between these particles have not closed or evolved, and the system is filled with numerous dislocations and slip planes. However, when the temperature reaches 600 K, most of the voids in the system are closed, leaving only a few small pores. This corresponds to the energy difference at a sintering temperature of 600 K, shown in Figure 3a, where the surfaces in the system have nearly been eliminated, resulting in a significant decrease in surface area and surface energy before and after sintering. By the time the sintering temperature reaches 900 K, there are almost no voids left in the system, with only a few slip planes and dislocations remaining.
From an energy perspective, samples sintered at 600 K should exhibit a comparable quality level to those sintered at 900–1000 K. However, as illustrated in Figure 3b, the structures corresponding to sintering temperatures of 600 K and 900 K reveal differing quality levels. The system at 600 K also contains a small number of defects or pores. This paper will subsequently investigate the structural evolution during the sintering process from a structural standpoint. Through the analysis of structural evolution, we will gain clearer insights into the sintering process of nano solder under the control of low-temperature sintering mechanisms and further explore the role of rapid dynamic surface states during the sintering process.
3.1.2. The Structural Evolution During Sintering
As mentioned above, the defects or pores are unavoidable when the temperature is relatively low. Understanding the evolution of the pore or defect is meaningful to predict the properties of sintered samples. We applied the surface extraction algorithm provided by OVITO software (Version 3.10.6) to extract the inner surfaces of nanoparticles and investigate the relationship between structural evolution during low-temperature sintering processes at different temperatures.
Figure 4 illustrates the sizes of the pore regions and their corresponding internal surface areas in the simulated system during sintering. The black line graph depicts the decreasing volume of the pore sections in the sintered samples as the sintering temperature increases. The red line graph illustrates the reduction in the internal surface area of the pores in the sintered samples with rising sintering temperatures. The trends in surface area and pore volume changes are fundamentally similar, with both values approaching a relatively low level when the temperatures are larger than 600 K, which aligns closely with experimental observations. The same phenomenon can also be observed in the potential energy difference images before and after sintering presented earlier, as shown in Figure 3a.
Figure 4.
The pore volume and internal surface area of sintered samples are obtained at different sintering temperatures. The illustration depicts the method of extracting the internal surface of the sample sintered at a temperature of 500 K.
However, the trend of the internal surface area and pore volume does not completely align before 600 K; they only begin to converge closely after reaching 600 K. It is reasonable that the surface of a space is dependent on the topology of that space. Among these, a spherical space possesses the smallest surface area. In a microgravity environment, water droplets assume a spherical shape due to the influence of surface tension, which is consistent with the spherical surfaces observed in the molten nanoparticles after the temperature reaches 600 K. Essentially, this phenomenon aims to reduce surface area to lower surface energy. When the temperature is lower than 600 K, the rapid dynamic state of the internal surface of the system has not been activated, and the atoms at the internal surface cannot easily adjust their positions; they primarily vibrate around their respective lattice equilibrium positions. Consequently, the morphology of the pore regions in the nanoparticles at this stage resembles polygons rather than spheres, as they struggle to minimize the internal surface area to a spherical shape. As outlined in the multi-stage low-temperature sintering mechanism presented in our previous work [29], the sintering process at this point relies heavily on the significant internal stresses generated by adsorption between particles, leading to twisting and sliding.
3.1.3. Surface-Driven Atomic Migration
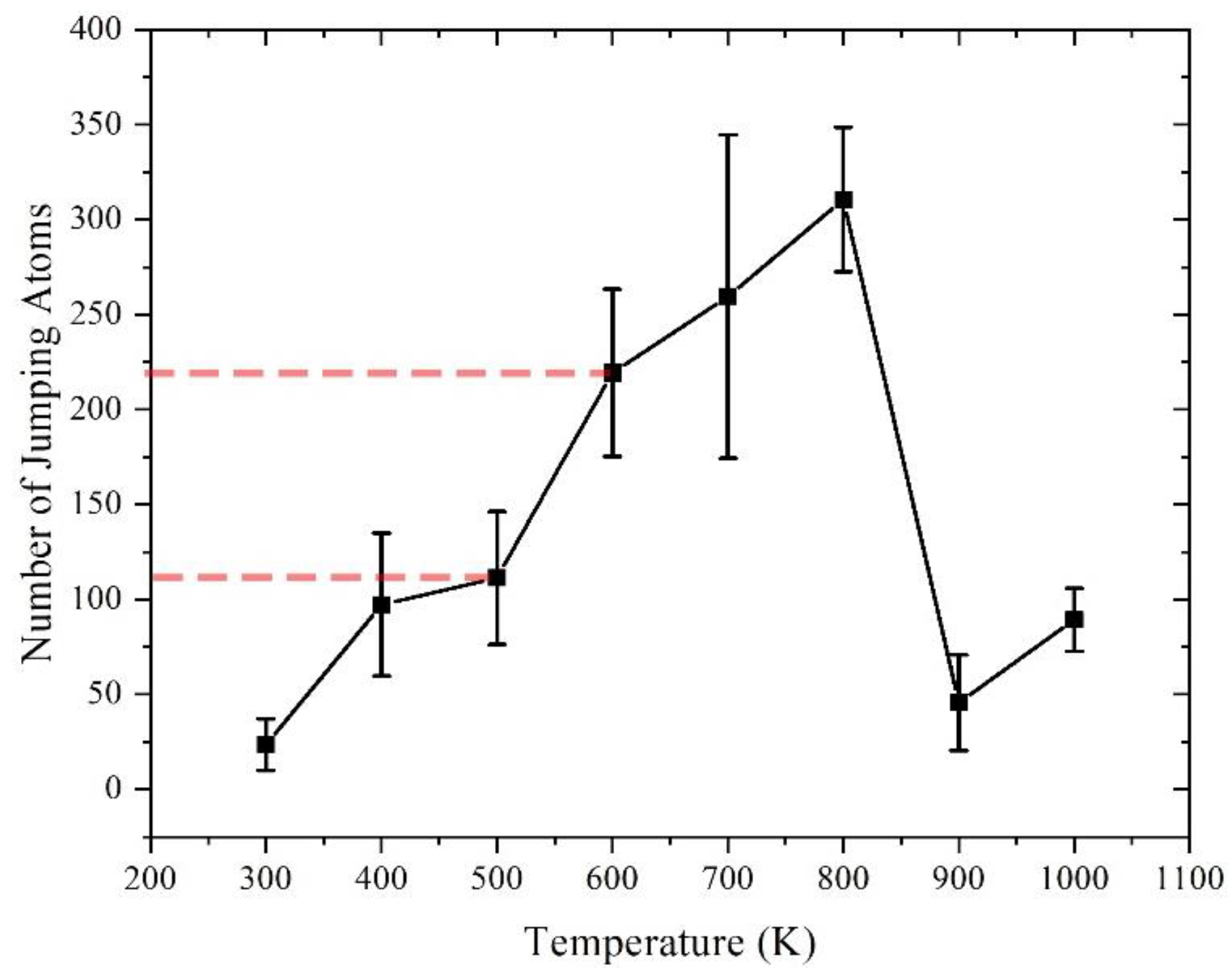
For individual atoms, spontaneous local position migration is not feasible; they can only rely on overall deformation. Once the sintering temperature exceeds 600 K, the rapid dynamic state of the internal surface of the nanoparticles is activated, allowing the atoms at the internal surface to begin jumping and wandering. This rapid dynamic state facilitates the quick smoothing of sharp features (high-curvature regions) on the internal surface, gradually transforming the original polyhedral morphology of the pores into a shape that approximates a sphere. Consequently, the evolutionary trend of the internal surface area corresponding to the pores begins to align with that of the pore volume. To quantitatively describe this process, displacement data of atoms within the system relative to their positions 50 ps prior is extracted after the nanoparticles were in complete contact. Atoms with displacements greater than 2.5 Å (they are set as “Jumping Atoms”) are selected for statistical analysis, and all data within a duration of 1 ns were averaged. As shown in Figure 5, a significant step change occurs in the line graph during the 500–600 K phase, with the number of jumping atoms at a sintering temperature of 600 K being nearly double that at 500 K. This indicates that at 600 K, the kinetic constraints on the internal surface atoms are significantly weakened, allowing them to freely wander across the surface of the internal pores in search of local energy minima. Through the migration and embedding of atoms between lattice sites, the pores during the sintering process will gradually shrink and smooth out, leading to a notable increase in the overall mechanical strength of the sintered system. When the temperature exceeds 600 K, the surface atomic motion continues to intensify between 600 K and 800 K, but the increase in the number of “Jumping Atoms” slows down. It is evident that with the temperature increasing, the surface area (specifically the pore surface) is rapidly decreasing (as illustrated in Figure 4), even though the temperature rise enhances the kinetic energy of the atoms, providing them with greater mobility. In this region, the sintered system becomes more compact, with reduced voids. This also provides us with a unique insight into the durability and reliability. During service, when the temperature exceeds 600 K, this mechanism can inversely exacerbate the expansion of voids under stress, significantly affecting the lifespan of the joints. Therefore, the service conditions need to be controlled at 600 K, according to our simulation results.
Figure 5.
The graph illustrating the relationship between the number of atomic jumps and the sintering temperature highlights the step occurring between 500 and 600 K with a red dashed line.
It is worth mentioning that the data between 900 K and 1000 K in Figure 5 is conspicuously low. This phenomenon is due to the surface melting of nanoparticles occurring during the sintering process at 900 K and 1000 K. Surface melting significantly accelerates the sintering process, resulting in the simulation system completing sintering even before sampling the jumping atoms. Atoms with displacements greater than 2.5 Å are predominantly found in the liquid region of the system, where they can move relatively freely due to the loss of lattice constraints. The sintering process at such high temperatures is primarily controlled by the surface melting and plastic flow processes, which are outside the purview of this article.
To visually observe the distribution of jumping atoms within the sintering system, the coordinate information of sintering atoms from the simulation system at a sintering temperature of 600 K is extracted in Figure 6. Figure 6a–f are arranged in chronological order according to the sintering process, with the leftmost figure displaying an enlarged view of Figure 6b. The areas where pore bridging occurs are marked to clearly illustrate the distribution of jumping atoms near the bridging regions. Figure 6g,h are the pore volume and internal surface area during the sintering.
Figure 6.
(a–f) The distribution of jumping atoms within the sintering system from 0.1 ns to 2.0 ns. (g) The pore volume and (h) the internal surface area changes with time during the sintering.
From Figure 6a–f, it is evident that as the sintering process progresses, the initially larger pore regions gradually diminish. In the early stages of nanoparticle contact, there exists a significant number of interconnected voids, where the connecting regions are densely populated with jumping atoms. These jumping atoms facilitate the further evolution of the voids and assist in establishing connections between voids that have yet to interconnect. As illustrated in Figure 6g–h, this rapid fusion process occurs within the initial 50 ns, followed by a stabilization phase. During the rapid fusion process, variations in particle positioning lead to fluctuations in the initial void volume and surface area. However, once the system transitions into the stabilization phase, the increased temperature persistently induces smaller values in void volume and surface area.
The enlarged view of Figure 6b highlights two void connection regions that are on the verge of merging. In the vicinity of these two interconnected regions, there is a substantial presence of jumping atoms, with the atomic jumping directions concentrated around the narrowest areas of the connection, as illustrated in Figure 7a. These atoms undergo a gradual centripetal circular displacement around the connecting region, facilitating the exchange and structural rearrangement of atoms in the vicinity of that area. Concurrently, a distinct collective motion pattern emerges among these atoms, characterized by a head-to-tail connection, suggesting that the rapid dynamic state of surface atoms significantly enhances the low-temperature sintering process.
Figure 7.
(a) The circular atomic motion occurring around the connected regions that are about to merge. (b) The percentage of FCC structure and the post-slip structure relative to the total number of atoms in samples formed at the same sintering temperature.
Figure 7b shows the distribution of crystal structures, providing additional insights into the effects of different sintering temperatures on the low-temperature sintering process. The percentage of atoms identified as FCC structure and their post-slip configurations within the final sintered samples formed at different sintering temperatures. The black (FCC) curve suggests that the proportion of FCC components in the simulated system significantly increases at 600 K, compared to the range of 300–500 K. Additionally, higher sintering temperatures contribute to a greater presence of FCC components in the final samples. The red curve, corresponding to the structure after slips, reveals intriguing information, particularly a noticeable decline after 700 K. The slip planes in the simulated system revert to a perfect FCC structure through further sliding and twisting, suggesting a marked reduction in defects within the system at elevated sintering temperatures. Generally, fewer defects can enhance the mechanical strength of the sintered samples, although it is also possible that samples with a higher number of slip defects may develop stronger structures during tensile and compressive processes due to the continued sliding of the slip planes.
Overall, as illustrated in Figure 7b, once the sintering temperature exceeds 600 K, the system undergoes substantial adjustments, transforming the originally amorphous components into crystalline phases. Through sliding and twisting, the initially imperfect FCC crystalline components are converted into perfect crystals, further enhancing the strength of the sintered samples. In the following section, the mechanical strength of different samples is measured, and related elastic constants of the sintered samples are used to further elucidate the mechanisms by which sintering temperature influences the low-temperature sintering process.
3.2. Mechanical Properties of Sintered Samples
The porosity or surface area of a sample could provide a preliminary prediction for the mechanical properties. In the following, the elastic constants of the sintered samples are measured, and tensile tests are conducted to observe the stress–strain behavior of the samples post-sintering directly.
3.2.1. The Bulk Modulus and Shear Modulus
The bulk modulus and shear modulus of sintered samples obtained at various sintering temperatures are illustrated in Figure 8a. The relevant measurement methods and techniques have been preliminarily described in the Method section. Figure 8b provides a schematic representation of the methods employed in this study to determine the elastic constants. The elastic constants characterize the stiffness of the material, defined by the linear relationship maintained between the stress and strain tensors under the limit of infinitesimal deformation. The approach used to measure the elastic constants has been reported in several articles and is known for its high accuracy. This method involves deforming one of the six directions of the proposed system at absolute zero and measuring the changes in the stress tensor during this process to estimate the derivative values of these linear relationships. It is important to note that the elastic tensor here is measured at absolute zero; however, this does not imply that the measured properties represent the material’s attributes at absolute zero, as absolute zero is unattainable in practice. The samples used in this study were cooled to 300 K after sintering. The setting of absolute zero is employed solely to disregard the thermal vibrations of atoms in the simulation system, thereby minimizing stress fluctuations caused by thermal vibrations, reducing computational difficulty, enhancing convergence speed, and avoiding potential systematic and statistical errors.
Figure 8.
(a) The bulk modulus and shear modulus of samples obtained at different sintering temperatures. (b) Schematic diagram illustrating the morphological changes in the system during the determination of bulk modulus and shear modulus.
As shown in Figure 8a, the bulk modulus of the sintered samples monotonically increases from 300 K to 600 K, reaching approximately 130 GPa at a sintering temperature of 600 K. When the temperature is from 600 K to 1000 K, the bulk modulus of the sintered samples exhibits a gradual increase. The bulk modulus of copper is around 140 GPa, and the samples obtained in this study have already approached the bulk modulus level of bulk copper at 600 K. In terms of the shear modulus, it continues to rise from 300 K to 600 K. At a sintering temperature of 600 K, the shear modulus of the sintered samples exhibits a step change, reaching a level nearly comparable to that of the samples at sintering temperatures of 600–1000 K. The shear modulus of copper is approximately 48 GPa, and the samples obtained in this study have reached around 43 GPa at 600 K, closely approaching the shear modulus level of bulk copper.
The findings in the preceding section show that at a sintering temperature of 600 K, there is a significant reduction in the pore volume within the system, accompanied by a notable decrease in the energy levels before and after sintering. Both the bulk modulus and shear modulus indicate that at a sintering temperature of 600 K, the system can achieve mechanical properties that are close to those of bulk materials. At this temperature, the low-temperature sintering mechanism, dominated by rapid surface dynamics, plays a crucial controlling role. The atoms on the inner surfaces of the pores engage in rapid hopping movements within the interconnected regions of the pores, migrating from high-energy sites to low-energy sites. During this swift atomic transport process, the atoms that enter new sites act as nucleation points for local reconstruction, transforming originally high-energy heterogeneous regions (such as grain boundaries and slip planes) into low-energy homogeneous regions (FCC phase).
At a lower temperature, the sintering process between 300 and 600 K primarily relies on the residual stresses generated from the contact between nanoparticles since the rapid surface dynamic state does not exist before 600 K. Under the influence of these residual stresses, the nanoparticles undergo dislocation and rotation, and once the slip planes between certain particles align, the system experiences further dislocation and slip, leading to an optimization of the crystal structure. Therefore, even when the sintering temperature is below 600 K, there is still a measurable increase in the bulk modulus and shear modulus of the sintered samples.
When the temperature exceeds 900 K, surface melting on the nanoparticles begins. At this point, the sintering process of the nanoparticles transitions from being dominated by low-temperature sintering mechanisms to being governed by plastic flow processes. The liquid regions covering the surfaces of the nanoparticles rapidly bridge the pore areas through surface tension, infiltrating all defect regions and significantly enhancing the quality of sintering. It is noteworthy that at a sintering temperature of 300 K, the system already exhibits a shear modulus of 30 GPa and a bulk modulus of 80 GPa, surpassing the strength achieved in actual processes. This is attributed to the uniform particle size of the nanoparticles in this study, with diameters around 5 nm. In the experiment, the particle size exceeded 5 nm, leading to the formation of larger pores, which resulted in lower experimental values.
3.2.2. Young’s Modulus and Tensile Strength
Then, the uniaxial tensile tests are conducted on samples sintered at various temperatures. The stress–strain data throughout the tensile process is carefully monitored. As illustrated in Figure 9a, all sintered samples exhibit an elastic deformation range during the tensile testing, regardless of the sintering temperature. For samples sintered at temperatures below 700 K, the duration of the elastic deformation range is relatively short, quickly transitioning into the plastic deformation stage due to crack propagation caused by internal defects. In contrast, samples sintered at temperatures above 700 K demonstrate a significantly longer elastic deformation range, with sudden failure occurring at approximately 9% strain. However, these samples do not completely fracture, continuing to undergo plastic deformation in the subsequent range. The data indicate that as the sintering temperature increases, the tensile properties of the sintered samples improve markedly, with the onset of plastic deformation being notably delayed. Failure occurs only when the strain reaches around 9%, with tensile strength approaching 10 GPa. In practical scenarios, copper rods typically fracture at around 5% strain during uniaxial tensile tests, with tensile strength averaging around 380 MPa. This discrepancy arises from the smaller simulated system used, which lacks the numerous grain boundaries present in macroscopic bulk copper, preventing the failure process from initiating at these weak points. The sintered samples in the simulation are nearly perfect single crystals, resulting in significantly higher strength compared to the materials used in experiments.
Figure 9.
(a) The stress–strain relationship of sintered samples obtained at different sintering temperatures during uniaxial tensile testing. (b) The Young’s modulus measured from the slope of the stress–strain curve in the strain phase of less than 1%.
By observing the stage where the strain is less than 1%, it can be noted that as the sintering temperature increases, the slope of the stress–strain curve also rises, corresponding to the material’s Young’s modulus. Figure 9b illustrates the variation in Young’s modulus of the samples obtained from the slope of the stress–strain curve during the phase of strain less than 1% at different sintering temperatures. It is evident that with the increase in temperature, the Young’s modulus of the material gradually increases and stabilizes after 900 K. It is also noteworthy that the Young’s modulus measured in samples sintered at temperatures above 500 K exceeds the actual Young’s modulus value of bulk copper materials (127.1 GPa). This discrepancy arises because the system used in the simulation is relatively small, lacking the numerous grain boundaries present in macroscopic bulk copper; thus, the modulus measured here is nearly that of pure single-crystal copper. Nevertheless, this still reflects the relationship between sintering temperature and sintering quality, indicating that higher sintering temperatures yield samples with greater strength.
To provide a more intuitive observation of the deformation process during tensile testing, atomic strain cloud diagrams are plotted during the stretching process, as shown in Figure 10. The lower table of each image represents the simulation step length corresponding to the tensile process at the respective temperature; for instance, 600,000 corresponds to a strain of 0.06. Three representative temperatures are selected: 300 K, 600 K, and 900 K, which correspond to three distinct states of the sintered samples: one with a granular morphology, one with no granular morphology and nearly closed porosity, and one with completely closed porosity. From Figure 10, it can be observed that for the sample sintered at 300 K, there are numerous pores, and the granular morphology remains largely intact. During the stretching process, its load-bearing capacity is weak, and material failure quickly initiates at the interfaces of the particles. As the strain increases, the material enters the plastic deformation stage without exhibiting a significant sudden fracture. As the stretching process continues, the neck region becomes increasingly thinner and longer until it ultimately fractures due to excessive thinning.
Figure 10.
The atomic shear strain during the stretching processes at 300 K, 600 K, and 900 K is presented. The corresponding simulation steps are indicated beneath each strain cloud diagram. The red arrows in the figure highlight the initial locations of structural failure.
At 600 K, the porosity of the sample has largely closed, and no distinct granular appearance can be observed. As mentioned earlier, at 600 K, due to the rapid surface dynamics of the nanoparticles, numerous atoms are undergoing rapid dynamic motion on the inner surfaces of the pores within the sintering system. These atoms facilitate the rapid closure of the pores and promote structural adjustments and reconstruction within the sintering system, resulting in a significant improvement in the morphology of the sintered sample compared to that at 300 K. However, the strain cloud diagram indicates that since small pores still exist within the sintering system, material failure will initiate from these pores during the stretching process. Consequently, the sample sintered at 600 K enters the plastic deformation stage at a strain of 5% without experiencing brittle fracture. Its tensile strength shows a significant increase compared to samples sintered at 300 K, 400 K, and 500 K, approximately 1.5 to 3 times higher.
For the sample sintered at 900 K, the porosity has completely closed. Only a small number of dislocations and slip planes remain that have not had time to adjust. At this point, the sintered sample exhibits extremely high tensile strength, maintaining an elastic state until a strain of 9% is reached, at which point it undergoes brittle fracture, leading to a substantial reduction in strength and entering the plastic deformation stage. In fact, samples at temperatures of 700 K, 800 K, 900 K, and 1000 K have all demonstrated characteristics of brittle materials, contrasting with the weak ductility observed in samples below 600 K. For pure copper materials, they are classified as brittle rather than ductile, and the results obtained here are fundamentally similar to those found in experiments. As shown in Figure 9b, the tensile strength at 700 K has significantly increased—nearly 2 to 3 times that of the tensile strength at 300 K to 500 K. The characteristic changes in the material during uniaxial tensile testing occur between the sintering temperatures of 600 K and 700 K, marking the transition from brittle material characteristics to those of weak ductility. This transformation in material properties is closely linked to the rapid surface dynamic state that emerges at 600 K. Before the temperature reaches 600 K, the material is filled with pores and defects, which quickly lead to failure and subsequent plastic deformation when subjected to unidirectional tensile forces. Once the rapid surface dynamic state appears, the pores within the material begin to close, forming a system with higher strength. The emergence of this dynamic state significantly enhances the mechanical strength of the sintered nanomaterials, allowing them to achieve tensile strengths comparable to those of samples sintered at temperatures close to their melting points, even at lower temperatures.
4. Conclusions
The atomic mechanisms and mechanical properties of the nanoscale copper low-sintering process at various temperatures are investigated via molecular dynamic simulation. It reveals the behavioral characteristics of nanoparticles at different temperatures and identifies the significant role of low-temperature sintering mechanisms dominated by surface and the rapid surface dynamics of atoms.
By using copper nanoparticles with different structures, we construct multiple models containing 16 distinct nanoparticles and sinter them under different conditions. The porosity changes and crystal structure transformations during the sintering process show the low-temperature sintering mechanism of copper nanoparticles. At a temperature lower than 600 K, the sintering process primarily relied on structural adjustments induced by residual stresses and the contact between nanoparticles. The nanoparticles within the system retain their initial contact morphology even after the sintering process is completed. After the temperature reaches 600 K, the surface-driven atomic fast motion is activated. The emergence of rapid surface dynamics facilitated further structural adjustments between and within the nanoparticles, ultimately leading to a significant reduction in porosity, indicating 600 K is a critical temperature for the low-temperature sintering of nanoscale copper.
It is generally considered that the sintering process of nano-solder could occur at lower temperatures due to the effect of surface melting. Our previous work shows that the surface melting process does not commence at sintering temperatures of 800 K or below, where the surface remains solid. In this work, Young’s modulus and tensile strength align perfectly with the points of strength enhancement and the onset of rapid surface dynamic states at 600 K. These results are closely related to the rapid surface dynamic state in the low-temperature sintering mechanism, providing an important reference for the enhancement mechanism of mechanical properties in the nanoparticle sintering process.
Author Contributions
Conceptualization, X.X. and Y.Z.; methodology, Z.S.; software, J.L.; validation, J.L., Z.S., Z.L. and P.G.; investigation, J.L.; resources, Z.S.; writing—original draft preparation, J.L.; writing—review and editing, Z.S.; supervision, Y.Z. All authors have read and agreed to the published version of the manuscript.
Funding
This research was funded by the Open Fund Project of the State Key Laboratory of Intelligent Vehicle Safety Technology (IVSTSKL-202308) and the National Natural Science Foundation of China (No. 92373204).
Institutional Review Board Statement
Not applicable.
Informed Consent Statement
Not applicable.
Data Availability Statement
Data will be made available on request.
Conflicts of Interest
The authors declare that they have no known competing financial interests or personal relationships that could have appeared to influence the work reported in this paper.
References
- Theis, T.N.; Wong, H.-S.P. The end of moore’s law: A new beginning for information technology. Comput. Sci. Eng. 2017, 19, 41–50. [Google Scholar] [CrossRef]
- Shalf, J. The future of computing beyond Moore’s Law. Philos. Trans. R. Soc. A 2020, 378, 20190061. [Google Scholar] [CrossRef] [PubMed]
- Pal, M.K.; Bajaj, V. Nucleation and Location of Kirkendall Voids at the Tin-Based Solder/Copper Joint: A Review. Adv. Eng. Mater. 2023, 25, 2300671. [Google Scholar] [CrossRef]
- Wang, J.; Chen, J.; Zhang, L.; Zhang, Z.; Han, Y.; Hu, X.; Lu, H.; Zhang, S. Forming mechanism and growth of Kirkendall voids of Sn/Cu joints for electronic packaging: A recent review. J. Adv. Join. Process. 2022, 6, 100125. [Google Scholar] [CrossRef]
- Wu, C.-D.; Liu, K.-W.; Cheng, P.-C. Atomistic simulation of mechanical behavior of Cu/Cu3Sn solder interface with Kirkendall void under shear and tensile deformation. Appl. Phys. A 2023, 129, 255. [Google Scholar] [CrossRef]
- Delhaise, A.M.; Bagheri, Z.; Meschter, S.; Snugovsky, P.; Kennedy, J. Tin whisker growth on electronic assemblies soldered with Bi-containing, Pb-free alloys. J. Electron. Mater. 2021, 50, 842–854. [Google Scholar] [CrossRef]
- Illés, B.; Medgyes, B.; Dušek, K.; Bušek, D.; Skwarek, A.; Géczy, A. Numerical simulation of electrochemical migration of Cu based on the Nernst-Plank equation. Int. J. Heat. Mass. Tran. 2022, 184, 122268. [Google Scholar] [CrossRef]
- Lee, E.L.; Goh, Y.S.; Haseeb, A.; Wong, Y.H.; Sabri, M.F.M.; Low, B.Y. Electrochemical migration in electronic materials: Factors affecting the mechanism and recent strategies for inhibition. J. Electrochem. Soc. 2023, 170, 021505. [Google Scholar] [CrossRef]
- Liu, W.; Wang, H.; Huang, K.-S.; Wang, C.-M.; Wu, A.T. Low temperature and pressureless Cu-to-Cu direct bonding by green synthesized Cu nanoparticles. J. Taiwan Inst. Chem. Eng. 2021, 125, 394–401. [Google Scholar] [CrossRef]
- Mittal, J.; Lin, K.-L. Exothermic low temperature sintering of Cu nanoparticles. Mater. Charact. 2015, 109, 19–24. [Google Scholar] [CrossRef]
- Li, J.; Shi, T.; Feng, C.; Liang, Q.; Yu, X.; Fan, J.; Cheng, S.; Liao, G.; Tang, Z. The novel Cu nanoaggregates formed by 5 nm Cu nanoparticles with high sintering performance at low temperature. Mater. Lett. 2018, 216, 20–23. [Google Scholar] [CrossRef]
- Zhang, M.; Gao, L.-Y.; Li, J.-J.; Sun, R.; Liu, Z.-Q. Characterization of Cu-Cu direct bonding in ambient atmosphere enabled using (111)-oriented nanotwinned-copper. Mater. Chem. Phys. 2023, 306, 128089. [Google Scholar] [CrossRef]
- Shie, K.-C.; Gusak, A.; Tu, K.-N.; Chen, C. A kinetic model of copper-to-copper direct bonding under thermal compression. J. Mater. Res. Technol. 2021, 15, 2332–2344. [Google Scholar] [CrossRef]
- Seo, H.; Park, H.S.; Kim, S.E. Two-step plasma treatment on sputtered and electroplated Cu surfaces for Cu-to-Cu bonding application. Appl. Sci. 2019, 9, 3535. [Google Scholar] [CrossRef]
- Kim, Y.; Park, S.; Kim, S.E. The effect of an Ag nanofilm on low-temperature Cu/Ag-Ag/Cu chip bonding in air. Appl. Sci. 2021, 11, 9444. [Google Scholar] [CrossRef]
- Huang, Y.-C.; Lin, Y.-X.; Hsiung, C.-K.; Hung, T.-H.; Chen, K.-N. Cu-Based Thermocompression Bonding and Cu/Dielectric Hybrid Bonding for Three-Dimensional Integrated Circuits (3D ICs) Application. Nanomaterials 2023, 13, 2490. [Google Scholar] [CrossRef]
- Kuo, Y.-H.; Tran, D.-P.; Ong, J.-J.; Tu, K.-N.; Chen, C. Hybrid Cu-to-Cu bonding with nano-twinned Cu and non-conductive paste. J. Mater. Res. Technol. 2022, 18, 859–871. [Google Scholar] [CrossRef]
- Zhang, S.; Zhang, S.; Zhou, H.; Paik, K.-W.; Ding, T.; Long, W.; Zhong, S.; He, P. Preparation and characterization of Sn-3.0 Ag-0.5 Cu nano-solder paste and assessment of the reliability of joints fabricated by microwave hybrid heating. Mater. Charact. 2024, 207, 113512. [Google Scholar] [CrossRef]
- Xiao, Y.-b.; Gao, Y.; Liu, Z.-Q.; Sun, R.; Liu, Y. Cu–Cu bonding using bimodal submicron–nano Cu paste and its application in die attachment for power device. J. Mater. Sci. Mater. Electron. 2022, 33, 12604–12614. [Google Scholar] [CrossRef]
- Lv, W.; Hu, J.; Liu, J.; Xiong, C.; Zhu, F. Porosity effect on the mechanical properties of nano-silver solder. Nanotechnology 2023, 34, 165701. [Google Scholar] [CrossRef]
- Wakai, F.; Guillon, O.; Okuma, G.; Nishiyama, N. Sintering forces acting among particles during sintering by grain-boundary/surface diffusion. J. Am. Ceram. Soc. 2019, 102, 538–547. [Google Scholar] [CrossRef]
- Matsuda, T. Development of a DEM taking account of neck increments caused by surface diffusion for sintering and application to analysis of the initial stage of sintering. Comput. Mater. Sci. 2021, 196, 110525. [Google Scholar] [CrossRef]
- Kim, J.; Chung, H. Atomistic investigation of pressure effects on sintering of bimetallic core–shell nanoparticles. J. Mater. Sci. Technol. 2024, 184, 64–74. [Google Scholar] [CrossRef]
- Castro, R.H.R.; Gouvêa, D. Sintering and Nanostability: The Thermodynamic Perspective. J. Am. Ceram. Soc. 2016, 99, 1105–1121. [Google Scholar] [CrossRef]
- She, C.; Gao, J.; Wang, Z.; Jin, S.; Chen, M.; Song, L.; Chen, K. Coalescence of Al2O3/Al, MgO/Mg, and MgO/Al two nanoparticles during combustion. Appl. Surf. Sci. 2024, 649, 159157. [Google Scholar] [CrossRef]
- Zhang, L.; Shibuta, Y.; Lu, C.; Huang, X. Interaction between nano-voids and migrating grain boundary by molecular dynamics simulation. Acta Mater. 2019, 173, 206–224. [Google Scholar] [CrossRef]
- Zheng, D.W.; Zhou, M.B.; Liu, S.; Ke, C.B.; Zhang, X.P. An Intensive Study of Effects of Orientations of Cu Bumps on Cu-Cu Direct Bonding for 3D Integration by Molecular Dynamics Simulation. In Proceedings of the 2023 IEEE 73rd Electronic Components and Technology Conference (ECTC), Orlando, FL, USA, 30 May–2 June 2023; pp. 1760–1766. [Google Scholar]
- Song, Z.; Luo, W.; Fan, X.; Zhu, Y. Atomic fast dynamic motion on the Cu nanoparticle’s surface before melting: A molecular dynamics study. Appl. Surf. Sci. 2022, 606, 154901. [Google Scholar] [CrossRef]
- Wang, Z.; Song, Z.; Luo, W.; Shang, T.; Liu, Z.; Yuan, J.; Fan, X.; Zhu, Y. The effect of temperature on the mechanisms of Cu nanoparticle sintering: A molecular dynamic study. Powder Technol. 2024, 440, 119802. [Google Scholar] [CrossRef]
- Li, Q.; Wang, M.; Liang, Y.; Lin, L.; Fu, T.; Wei, P.; Peng, T. Molecular dynamics simulations of aggregation of copper nanoparticles with different heating rates. Phys. E Low-Dimens. Syst. Nanostructures 2017, 90, 137–142. [Google Scholar] [CrossRef]
- Hu, D.; Cui, Z.; Fan, J.; Fan, X.; Zhang, G. Thermal kinetic and mechanical behaviors of pressure-assisted Cu nanoparticles sintering: A molecular dynamics study. Results Phys. 2020, 19, 103486. [Google Scholar] [CrossRef]
- Thompson, A.P.; Aktulga, H.M.; Berger, R.; Bolintineanu, D.S.; Brown, W.M.; Crozier, P.S.; in ’t Veld, P.J.; Kohlmeyer, A.; Moore, S.G.; Nguyen, T.D.; et al. LAMMPS—A flexible simulation tool for particle-based materials modeling at the atomic, meso, and continuum scales. Comput. Phys. Commun. 2022, 271, 108171. [Google Scholar] [CrossRef]
- Daw, M.S.; Baskes, M.I. Embedded-atom method: Derivation and application to impurities, surfaces, and other defects in metals. Phys. Rev. B 1984, 29, 6443–6453. [Google Scholar] [CrossRef]
- Mosavi, A.; Hekmatifar, M.; Alizadeh, A.A.; Toghraie, D.; Sabetvand, R.; Karimipour, A. The molecular dynamics simulation of thermal manner of Ar/Cu nanofluid flow: The effects of spherical barriers size. J. Mol. Liq. 2020, 319, 114183. [Google Scholar] [CrossRef]
- Wu, C.-D.; Liao, C.-F. Molecular dynamics simulation of the direct bonding of (111)-oriented nanotwinned Cu and its related mechanical behavior. J. Phys. Chem. Solids 2024, 187, 111872. [Google Scholar] [CrossRef]
- Long, Y.; He, B.; Cui, W.; Ji, Y.; Zhuang, X.; Twiefel, J. Investigations on the mechanism of microweld changes during ultrasonic wire bonding by molecular dynamics simulation. Mater. Des. 2020, 192, 108718. [Google Scholar] [CrossRef]
- Stukowski, A. Visualization and analysis of atomistic simulation data with OVITO–the Open Visualization Tool. Model. Simul. Mater. Sc. 2009, 18, 015012. [Google Scholar] [CrossRef]
- Templeton, D.H.; Dauben, C.H. Lattice Parameters of Some Rare Earth Compounds and a Set of Crystal Radii. J. Am. Chem. Soc. 1954, 76, 5237–5239. [Google Scholar] [CrossRef]
- Malti, A.; Kardani, A.; Montazeri, A. An insight into the temperature-dependent sintering mechanisms of metal nanoparticles through MD-based microstructural analysis. Powder Technol. 2021, 386, 30–39. [Google Scholar] [CrossRef]
- Wang, F.; Tang, Z.; He, H. Stress-dislocation interaction mechanism in low-temperature thermo-compression sintering of Ag NPs. AIP Adv. 2018, 8, 045012. [Google Scholar] [CrossRef]
- Zeng, Z.; Zhao, J.; Zhou, X.; Li, J.; Liang, B. Thermal stability of Al-Cu-Fe-Cr-Ni high entropy alloy bulk and nanoparticle structure: A molecular dynamics perspective. Chem. Phys. 2019, 517, 126–130. [Google Scholar] [CrossRef]
Disclaimer/Publisher’s Note: The statements, opinions and data contained in all publications are solely those of the individual author(s) and contributor(s) and not of MDPI and/or the editor(s). MDPI and/or the editor(s) disclaim responsibility for any injury to people or property resulting from any ideas, methods, instructions or products referred to in the content. |
© 2025 by the authors. Licensee MDPI, Basel, Switzerland. This article is an open access article distributed under the terms and conditions of the Creative Commons Attribution (CC BY) license (https://creativecommons.org/licenses/by/4.0/).









