Abstract
Iodine deficiency remains a significant nutritional problem, which stimulates the search for sustainable approaches to biofortification of vegetable crops. The aim of the work was to develop a “smart” bio-iodine fertilizer based on the organoiodide complex 1-carboxy-2-phenylethan-1-aminium iodide 2-azaniumyl-3-phenylpropanoate (PPI) and highly porous biochar from agro-waste, assessing its efficiency on the parsley model. PPI was synthesized and characterized (IR/UV spectroscopy, thermal analysis), and biochar was obtained by KOH activation and studied by low-temperature nitrogen adsorption (S_BET) methods, as well as standard physico-chemical characterization. The granulated composition PPI + biochar (BIOF) was tested in pot experiments in comparison with KI and control. The biomass of leaves and roots, iodine and organic nitrogen content, and antioxidant indices (ascorbic acid, total polyphenols, antioxidant activity) were assessed. BIOF provided a significant increase in yield and nutrition: leaf mass reached 86.55 g/plant versus 77.72 g/plant with KI and 65.04 g/plant in the control; root mass—up to 8.25 g/plant (p < 0.05). Iodine content in leaves and roots increased to 11.86 and 13.23 mg/kg (d.w.), respectively, while organic nitrogen levels increased simultaneously (57.37 and 36.63 mg/kg). A significant increase in the antioxidant status was noted (ascorbic acid 36.46 mg/100 g dry weight; antioxidant activity 44.48 mg GA/g; polyphenols 23.79 mg GA/g). The presented data show that the combination of PPI with activated biochar forms an effective platform for controlled supply of iodine to plants, increasing the yield and functional qualities of products; the prospects for implementation are associated with field trials and dosage optimization.
1. Introduction
The soil is the main source of iodine for plants. The concentration of this essential element in different soil types depends on several factors, such as the direction and intensity of soil formation, climate, the biological cycle of elements with migration, and the variety of plant species. Most soils lack iodine, and its intake into crops has been decreasing, raising concerns about its availability for human consumption and animal feed.
One of the most effective and environmentally friendly methods to improve iodine levels in the population is the use of micro-fertilizers containing iodine. Iodine plays an important role in many physiological and biochemical processes in plants, influencing their elemental composition and productivity. It is found in proteins and amino acids as free ions, determining the pathways of their metabolism. The presence of iodine enhances carbohydrate, nitrogen, and water metabolism in plants, leading to increased growth and photosynthetic activity.
Iodine has a positive effect on the quantity and quality of amino acids in plants, as well as the balance between protein and non-protein nitrogen. This, in turn, improves the resistance of crops to unfavorable environmental conditions.
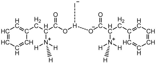
Previously our group under the supervision of Professor Alexander Ilyin obtained crystals of 1-carboxy-2-phenylethan-1-adminium iodide 2-azaniumyl-3-phenylpropanoate from the amino acid phenylalanine and alkali metal triiodide (KI3 or LiI3) and determined the parameters of the crystal cell [1,2]. This structure is also called phenylalaninium phenylalanine iodide (PPI), and further in this article, for simplicity, we will use this abbreviation. It has been established that the obtained crystals have rhombic syngony and belong to the P212121 spatial group. The independent part of the unit cell contains two molecules of phenylalanine (C9H11NO2), and one anion I- (Figure 1).
Figure 1.
Crystal structure of PPI [1].
In the above-mentioned article [2], the authors studied the method of synthesizing a new substance and its crystal structure without studying its physico-chemical and biological properties or methods of application. Based on the presence of iodine and amino acids in the new compound, we predicted its biological activity towards microbial compounds and as an iodine source for agricultural plants. Considering the importance of nitrogen-containing compounds, including amino acids, for plant growth and yield, and the contribution of iodine to soil and plant nitrogen fixation [3,4,5], we decided to study the physico-chemistry of PPI and its potential use as a fertilizer containing iodine.
2. Materials and Methods
2.1. Synthesis and Study of the Physico-Chemical and Technological Properties of PPI
The synthesis of PPI according to [2] is carried out in three stages. At the first stage, 15 mL acetone (Sigma, Saint Louis, MO, USA) and 2.54 g (0.01 mol) fine crystals of iodine (Reachim, Moscow, Russia) were mixed at a temperature of 60–65 °C to produce hydrogen iodide (pH ≤ 7.0):
H3CCOCH3 + I2 → CH2ICOCH3 + HI
An amount of 1.65 g (0.01 mol) of Phenylalanine was dissolved in 15 mL of acetone and stirred with a glass stick until the amino acid was completely dissolved at room temperature. Then phenylalanine solution was added to the iodine/acetone solution. The reaction mixture was hermetically sealed and stirred at room temperature for 30 min, after which it was kept in the dark at room temperature for 48 h to achieve equilibrium.
The mixture was then heated in a water bath at 50 ° C for 10 min and filtered under vacuum through a Schott filter into a mold. The crystallizer was placed in a dark glass desiccator with anhydrous calcium chloride as a desiccant to remove the bulk of the water. The resulting crystals were collected under vacuum using a Schott filter, rinsed twice with ethanol cooled to 0 °C, and additionally dried on an ash-free black filter belt.
The crystals were weighed, transferred to a bottle with a sealed stopper and stored in the refrigerator. The final yield was 3.14 g (75%) of individual crystals. The formation reaction:
2C9H11NO2 + HI → [H(C9H11NO2)2I]
The IR spectra of the test sample were measured using a Thermo Scientific NICOLET 6700 Fourier Transform Infrared Spectrometer on a SmartPerformer instrument, equipped with a ZnSe internal reflection crystal. The UV spectra of the samples in aqueous solution were recorded using a PerkinElmer Lambda 35 two-beam ultraviolet spectrophotometer in the wavelength range between 190 and 1100 nm, employing quartz cuvettes with varying thicknesses between 1 and 10 mm.
Thermal analysis was performed using differential scanning calorimetry (DSC), utilizing a Netzsch STA 449F1 synchronous thermal analyzer. Samples weighing between 1 and 5 mg were heated from room temperature to 300 °C in corundum crucibles with a volume of 85 µL, at a heating rate of 10 degrees per minute, under a dry nitrogen atmosphere with a flow rate of 40 cm3 per minute. The heat capacity changes of the samples were recorded as differential curves in thermograms, and melting points were determined using Netzsch’s Proteus software (version 7.1.0).
The bulk density of the samples was determined by weighing a measuring cylinder containing the material, using the method described by [6]. The bulk density was then calculated using the formula:
where
ρb = m/V
- ρb is the bulk density of the sample, kg/m3;
- m is the mass of the sample, kg;
- V is the volume of sample in the cylinder after pre–sealing, m3.
The solubility of the studied substance was determined according to [7]. Water, DMSO, ethanol, acetone, and cyclohexane were used as solvents.
2.2. Obtaining Biochar from Walnut Shell
In this work, the characteristics of biochar obtained from the pyrolysis of biomass from the walnut shell, which belongs to the species Juglans regia L., also known as the common walnut, were studied.
The preparation of activated biochar samples from walnut shell (WS) is carried out in two stages [8]. 5 g of pre-cleaned and selected plant waste is mixed with KOH powder in a ratio of 1:4 (by weight). Next, it is heated to 80 °C for 3 h to ensure access of KOH to the biomass. Then, a weighed amount of the material is placed in an electric oven with an air supply. In the second stage, pyrolysis is carried out on the samples at 850 °C with a heating rate of 5 °C/min. After reaching the maximum temperature, samples are kept at 3 °C and then cooled to room temperature. The cooled material is washed thoroughly with a 0.1 M hydrochloric acid solution and distilled water to remove alkaline residues. At the same time, pH value of the solution is monitored. Optimal pH is 6–7. After washing, biochar samples are dried at 100–105 °C. WS biochar is obtained by the same process but without adding KOH.
2.3. Study of the Physico-Chemical and Technological Properties of WS Biochar
After obtaining samples of biochar, the chemical composition, bulk density, particle size distribution, and porosity were determined. To determine the chemical composition of the samples, a QUANTA 3D 200i device (FEI, Hillsboro, OR, USA), together with an EDAX energy-dispersive X-ray spectrometer and a semiconductor-based detector with an energy tolerance of 128 eV (polymer material, sensitive area d = 0.3 mm), was used. The porosity of the biochar was determined by BET sorptometry. Nitrogen adsorption–desorption was carried out at −196 °C using a specific surface analyzer, “Sorbtometer-M”. Surface areas were determined using the BET calculation method applied to the adsorption branch of the isotherm [9].
The features of the topography (surface) and morphology (microgeometry) of the biochar fragments were analyzed using scanning electron microscopy (JXA-8230, JEOL, Tokyo, Japan).
The Raman spectra of Raman scattering samples were determined using the NTegra Spectra (NT-MDT, Zelenograd, Russia) spectrometer at Al-Farabi Kazakh National University. Raman spectroscopy was performed using unpolarized radiation from a semiconductor diode laser with a wavelength of 473 nm. X-ray diffraction (XRD) was performed by S3-MICRO (Hecus, Austria) using a 50-watt X-ray system with low divergence (<1 mrad) and a multilayer optical system for single reflection. The flux density was 5.3 × 107 photons per second, the beam divergence was up to 0.5 mrad, and the resolution limit was 0.003 Å−1 (CuKa). A multi-layer focusing mirror was made of graduated W-Si and provided sagittal and meridian focus with a single reflection.
2.4. Study of the Sorption Capacity of WS Biochar to Iodine
The iodine number is a widely used method for determining the adsorption capacity due to its simplicity and rapid assessment of the quality of activated carbon sorbents. The method is based on a three-point isotherm study. Biochar is impregnated with iodine solution at room temperature and the resulting mixture is filtered. The iodine content in the filtrate is determined by titration and expressed in milligrams per gram of biochar or as a percentage (weight fraction) at an iodine concentration of 0.02 M. Standard iodine solutions should be monitored at a concentration of (0.100 ± 0.001) M for all analyses [10].
2.5. Production of WS Biochar-Based Fertilizer Under Laboratory Conditions
The closest in technical terms to a fertilizer we are developing is a method for producing granular fertilizer based on biochar containing potassium iodide (KI) [11]. We have modified this method by using the studied PPI as the organic iodine source.
In 100 mL of distilled water, we dissolved 25–75 mg of PPI and 0.1 g of polyvinyl alcohol. We then added biochar to the resulting solution at a 1:1 weight ratio, mixed it thoroughly, and dried it with hot air until we obtained a crumbly mass with a moisture content between 17% and 20%.
2.6. Plants Planting
In laboratory conditions (average daytime temperature 22–24 °C, humidity 60–65%), cultivation was carried out in plastic pots with a volume of 0.2 L (diameter 7.5 cm) that had drainage holes at the bottom. The soil used for planting parsley seeds had the following characteristics: humus content—11–13%; humidity—no more than 35%; pH—6.0–6.3; mineral nitrogen—120–130 mg/kg; phosphorous compounds—55–60 mg/kg; available potassium ions—150–180 mg/kg.
For additional lighting, ULI-P20-18W/SPSB IP40 (Uniel, China) white fluorescent lamps with a maximum total power of 35 watts were installed at a height of 30 cm from the upper sashes.
As part of the experiment, the bio-enrichment of parsley with iodine was studied in the following variants:
- Control without processing.
- Pure biochar.
- KI at a concentration of 15 mg/kg of soil.
- Biochar with a total iodine content of 1.5% in the sample (15 mg/kg of iodine or 51 mg of PPI).
2.7. Sample Preparation of Plant Specimens
After harvesting, the plants were washed with distilled water to remove any soil residues. Then, the leaves, roots, and petioles were separated, weighed, and homogenized to create fresh homogenates which were used to determine the content of ascorbic acid and photosynthetic pigments. The remaining material was then dried at 50 °C to a constant weight in order to further determine concentrations of nitrates, water-soluble compounds, antioxidant activity, and polyphenols. To determine dry matter content, samples were dried until they reached constant mass using the gravimetric method [12].
2.8. Determination of Ascorbic Acid Concentration, Polyphenols in Plants
The concentration of ascorbic acid was determined by a titrimetric method using Tilmans reagent (2,6-sodium dichlorophenolindophenolate) [13].
The polyphenol concentration in the plant samples was determined using a spectrophotometer and the Folin-Ciocalteau reagent [14]. One gram of dried parsley was extracted with 20 mL of 70% ethanol for one hour at 70 °C. The extract was cooled to 22 to 25 °C and then quantitatively transferred to a 50 mL volumetric flask. The flask was then brought up to volume with 70% alcohol.
The final solution was prepared by mixing and filtering it through a folded filter. An amount of 1 mL of the final extract was added to a 25 mL volumetric flask, along with 2.5 mL of saturated sodium carbonate solution and 0.25 mL Folin–Ciocalteu reagent diluted 1:1 with distilled water. The mixture was stirred and then brought up to the mark with distilled water. After one hour, the absorbance was measured at 730 nm on a SF-56 spectrophotometer.
To determine the polyphenol content, a standard curve was generated using six standard solutions of gallic acid with concentrations ranging from 0 to 90 mcg/mL. Gallic acid equivalents were calculated based on the standard curve and expressed as milligrams per gram dry weight.
2.9. Determination of the Antioxidant Activity of Samples (AOA)
To determine the antioxidant capacity (AOA) of the samples, a colorimetric method was used based on the titration of 0.01 N potassium permanganate in an acid medium with ethanol extract of parsley before discoloration, which indicates a complete reduction of Mn+7 to Mn+2. Gallic acid was used as a standard for comparison. The results were expressed in terms of milligrams of gallic acid per gram of dry weight (mg GA/g d.w.).
2.10. Determination of the Total Iodine Content
Total iodine was determined using an Ecotest voltammetric analyzer (Econix, Moscow, Russia), equipped with a three-electrode electrochemical cell. The auxiliary and reference electrodes were made of silver chlorides in 1 M KCl, and a silver electrode was used as well.
An amount of 2 mL of a 10% potassium hydroxide solution was added to 0.1 g of the homogenized dried sample. The resulting mixture was then mineralized at 550 °C. After cooling, 1 mL of a 10% zinc sulfate solution was added.
The sample was then dissolved in 10 mL of distilled water and the iodine concentration was determined. Formic acid was used as a background electrolyte, and standard solutions of potassium iodide with concentrations of 0.1 mg/L, 1 mg/L, and 10 mg/L were used [15].
2.11. Determination of the Organic Nitrogen
For the determination of the concentration of organic nitrogen, a sample of 0.1 g of dry weight was digested using sulfuric acid and hydrogen peroxide. After being diluted in deionized water, 1 mL of the digest was added to a reaction medium containing a buffer solution 5% potassium sodium tartrate, 100 mM sodium phosphate, and 5.4% sodium hydroxide, as well as 15% sodium silicate and 0.03% sodium nitroprusside, as well as 5.35% sodium hypochlorite. The samples were then incubated at 37 °C for 15 min, after which the organic nitrogen concentration was measured using spectrophotometry.
2.12. Statistical Analysis
Statistical differences between measurements were determined by analysis of variance (ANOVA) using OriginPro 2024 (data analysis software). Average values were compared using the least significant difference (LSD) test at p < 0.05.
3. Results and Discussion
3.1. Determination of Physico-Chemical Parameters of PPI
Synthesized crystals of PPI have a rhombic syngony and are stable at a temperature of 25 °C. The chemical formula of this compound can be represented as 2C9H11NO2·HI. In order to study the properties of the synthesized crystalline compound PPI, its IR and UV spectra were determined.
Figure 2 and Table 1 present the IR spectral characteristics of the PPI crystals in comparison with the spectra of their components—phenylalanine and acetone—allowing assignment of the principal functional groups and elucidation of intermolecular interactions within the crystalline phase [16,17,18].
Figure 2.
IR spectrum of PPI (a) and D-phenylalanine (b).
Table 1.
Spectral characteristics of PPI crystals and its components (IR spectra).
First, the overall envelope confirms that all three key regions are well resolved: (i) high-frequency X–H stretching (3600–2500 cm−1); (ii) the carbonyl/amide window (ca. 1730–1530 cm−1); and (iii) the fingerprint zone (≈1500–650 cm−1). In the PPI spectrum, the narrow ν(OH) feature at 3585.6 cm−1 (Table 1, #1), together with the broad composite band spanning 3300–2500 cm−1 (Table 1, #9–12), indicates extensive hydrogen bonding and the presence of protonated nitrogen species (ν –OH/–NH+/–NH2+/–NH3+). Aromatic C–H stretching is retained near 3060 cm−1 (Table 1, #5), and the overtone/combination region of the aromatic ring remains evident at 2000–1650 cm−1 (Table 1, #15–17), consistent with preservation of the phenyl framework in the product. The phenylalanine component exists predominantly in its zwitterionic form in the composite system. Diagnostic signatures for –NH3+ and –COO− are present: the ammonium stretching/combination feature at 3100–3070 cm−1 appears in PPI at 3084.1 cm−1 (Table 1, #4), while the scissoring/deformation of –NH3+ coupled with carboxylate vibrations is observed at 1520–1490 cm−1 (1493.8 cm−1 for phenylalanine; 1494.0 cm−1 in PPI; Table 1, #23). The ionic carboxyl “fingerprint” at 1335–1300 cm−1 is present for both phenylalanine and PPI at 1305.3 cm−1 (Table 1, #31), supporting a zwitterionic carboxylate. Additional carboxylate-related structure appears at 1408.6 cm−1 in phenylalanine, as signed to ν –COO−…HOOC– in hydrogen-bonded dimers (Table 1, #27). Taken together with the strong composite band within 3300–2500 cm−1 (Table 1, #9–12), these data are fully consistent with phenylalanine existing as a protonated ammonium cation paired with a deprotonated carboxylate (i.e., zwitterion) embedded in an H-bonding network. Evidence for phenylalanine dimerization (or higher H-bonded aggregation) is also found in the fingerprint region. The phenylalanine band at 1161.9 cm−1 (Table 1, #35), retained and slightly shifted/intensified in PPI at 1186.0 cm−1, is characteristic of ν(C–N) in an environment strengthened by hydrogen bonding. Concomitantly, the δ–OH deformation domain at 955–890 cm−1 is present in PPI (927.1 cm−1; Table 1, #42), and the high-frequency ν(OH) at 3585.6 cm−1 (Table 1, #1) points to localized, relatively strong (intramolecular or tightly intrachain) H-bond motifs. These features collectively support a model in which phenylalanine zwitterions are bridged through carboxyl/“hydroxyl” contacts, producing dimeric or oligomeric H-bond assemblies within the crystal. The amine functionality of phenylalanine appears not to participate in specific coordination in PPI. The N–H stretching domain assigned to ν(NH2) at 3470–3410 cm−1 is observed in PPI at 3467.6 cm−1 (Table 1, #2) without a substantial shift that would indicate strong coordination or chelation; likewise, the δs(NH3+) feature near 1490–1520 cm−1 re-mains essentially unperturbed (1494.0 cm−1; Table 1, #23). The persistence of ν(C–N–) features at 1200–1100 cm−1 (1186.0 and 1127.1 cm−1 in PPI; Table 1, #35–36) with only modest repositioning further argues for protonation/H-bonding as the dominant interaction, rather than formation of a new coordination bond at nitrogen.
Additional PPI-specific features reinforce this picture of an ionically organized, H-bond-rich lattice that preserves the aromatic core. The aromatic CH stretches and ring overtone/combination bands remain in their expected domains (3060–3030 and 2000–1650 cm−1; Table 1, #5, 15–17), while multiple δ(CH) and δ(NH) modes populate 1000–650 cm−1 (e.g., 955.0, 868.0, 845.4, 774.1, 746.8, 696.3 cm−1; Table 1, #41, 44–48), confirming that the phenyl ring and aliphatic fragments are retained without disruptive chemical rearrangement. The cluster of bands unique to PPI in the 2700–2500 cm−1 window (2687.8, 2573.9, 2516.7 cm−1; Table 1, #10–12) is characteristic of overtone/combination transitions involving protonated amines and hydrogen-bonded OH/NH groups in ionic crystals, again consistent with a proton-rich environment.
Mechanistically, the IR data support the following working model for the PPI crystals: phenylalanine is present as zwitterionic [H3N+–CH(R)–COO−] units that form H-bonded dimers (3585.6, 1305.3, 1494.0, 1408.6, 927.1 cm−1), embedded in an acidic/protic microenvironment likely generated in situ in the presence of iodine.
Within the scope of the present spectra, the combination of (i) preserved aromatic signatures, (ii) zwitterionic/ammonium markers, (iii) H-bond-stabilized dimeric motifs provides a coherent, self-consistent description of the PPI crystal structure and intermolecular organization.
Figure 3 schematically shows the chemical formula of PPI.
Figure 3.
Formula of PPI crystals.
The UV spectra of a 0.1% aqueous solution of phenylalanine (control) and a 0.1% aqueous solution of the resulting iodine organocomplex were measured. The UV spectrum of phenylalanine showed one high peak at 205.95 nm and smaller peak at wavelengths between 251 and 263 nm (Figure 4b). The UV spectrum for PPI showed a main absorption peak at 223.98 nm, as well as smaller absorption peak at 289 nm (Figure 4a).
Figure 4.
UV spectrum of PPI (a) and phenylalanine solution in water (b).
The shift in the main absorption peak to a longer wavelength region is associated with the coordination of two phenylalanine molecules with iodine, which is a characteristic of charge transfer systems. This shift in UV absorption peaks for solutions of nitrogen-containing aromatic compounds has been observed in Tong’s work, when studying the spectrum of aqueous solutions of beta-phenylethylamine under the influence of chloride ions [19], and in Gogoi’s work, when investigating the effect of iodine compounds on the UV spectrum of 2-chloropyridine [20].
To investigate the thermal stability of the newly synthesized compound, we recorded differential curves of heat capacity changes in the sample. Differential scanning calorimetry (DSC) curves for phenylalanine indicate that the melting point is 277.81 °C (see Figure 5b). The initial melting temperature is 271 °C, while the reference data from the literature for the melting temperature of D-phenylalanine range from 271 to 275 °C and depend on the purity of the compound [21].
Figure 5.
TGA (green line) thermograms and DSC (blue line) thermograms of the of PPI (a) and phenylalanine (b).
DSC curves for PPI show that up to a temperature of 100 °C, the new studied complex behaves stably and no changes are observed on the thermogram (Figure 5a). Above 127 °C, there is a sharp decrease in the residual mass of the sample by more than 45%, which indicates the decomposition of the complex during the melting of the compound into separate components—phenylalanine and hydroiodic acid. The melting peak of the new complex is observed at 147 °C. When the temperature rises to 275.7 °C, a peak characteristic of the melting peak of pure D-phenylalanine is observed.
Some physical–chemical parameters of the PPI complex are presented in Table 2.
Table 2.
Physical–chemical parameters of the PPI complex.
Solubility studies have shown that the complex is well soluble in solvents with a polarity index of 7.2 and 10.2, and slightly soluble in solvents with a polarity index of 5.1, 4.3 and 0.04. The process of dissolution in organic solvents is accompanied by the formation of an intense brown color.
Thus, the studied organic iodide crystalline compound is highly soluble in polar liquids, stable up to 127 °C, has distinctive IR and UV spectra from the initial amino acid, phenylalanine, and can be easily detected as a separate compound.
3.2. Investigation of the Characteristics of Biochar from Walnut Shells
Earlier in [15], a fertilizer was prepared based on activated carbon from apricot kernels containing the organic iodide complex di-(2S)-2-amino-3-(1H-indole-3-yl)propionate))-dihydro-tetraiodide and Curly Parsley (Petroselinum crispum) was used as a test plant. In this work, we decided to use activated carbon from walnut shells as a carrier of the studied PPI. Parsley was also chosen as a test plant.
Figure 6 shows SEM images of biochar before and after KOH chemical activation. The biochar (a) exhibits a generally smooth, slightly perforated surface without developed open pores. It shows “surface deposits”, probably of a resinous-coke nature, remaining after thermal degradation of the feedstock. The presence of such aggregates and the absence of pronounced porosity indicate that carbonation alone does not create a sufficient accessible microstructure for effective mass transfer.
Figure 6.
SEM images of biochar before and after KOH chemical activation: (a) Carbonized sample (550 °C, N2): smooth surface with surface deposits, without developed open pores (scale 50 µm); (b–d) After KOH activation (850 °C, Ar) a pronounced hierarchical porosity is formed: macropores with perforated walls containing smaller pores; (c) an example of a macropore of ~10 µm is shown; (d) “pore-within-pore” in the wall of the macropore (arrows). Scale: (b) 50 µm; (c) 20 µm; (d) 5 µm.
After KOH activation, the morphology changes radically (b–d): a network of open cavities and pronounced hierarchical porosity are formed. The overview image (b) shows numerous large channels corresponding to the macropores of the inherited biostructure. Magnification (c) shows a typical macropore of the order of 10 µm, while detail (d) reveals perforation of its walls with many smaller pores (“pore-within-pore”, marked with arrows). Given the resolution of the SEM, these holes can be correctly attributed primarily to mesopores.; Micropores (<2 nm) are not resolved by SEM and their presence is confirmed by adsorption/RA methods. The observed transformation is consistent with the mechanism of alkaline-oxidative etching [22] during KOH activation (formation/decarbonization of K2CO3, release of H2/CO/CO2, temporary intercalation of K), leading to expansion of channels, thinning of walls and their perforation, as well as removal of surface organic residues, visible in Figure 6a. As a result, a macro–meso- (and probably micro-) hierarchy of pores appears, combining transport channels with a high area of active walls, which is a prerequisite for increasing the adsorption and electrochemical characteristics of the material.
Figure 7 shows the Raman spectra of biochar samples before and after chemical activation: the black curve corresponds to carbonation at 550 °C in an atmosphere of N2 (before activation), and the red curve corresponds to KOH activation at 850 °C in an atmosphere of Ar (after activation). The main D band (~1350 cm−1), G band (~1580 cm−1) and 2D band (~2700 cm−1) are clearly highlighted in both cases. A decrease in the intensity ratio ID/IGI_D/I_GID/IG from 0.83 to 0.58 after activation indicates a decrease in the concentration of defective zones in the carbon matrix and an increase in the size of ordered sp2 domains. At the same time, there is an increase in the ratio of IG/I2DI_G/I2D from 1.81 to 1.98, which indicates an increase in the contribution of multilayer graphene-like fragments. Such a redistribution of the characteristics of the Raman spectrum indicates an improvement in the crystallinity and electronic conductivity of the material due to the aggressive action of alkali, which promotes the “opening” of pores and the ordering of fragments of the graphite-like lattice [23].
Figure 7.
Raman spectra of WS biochar before and after KOH activation at 850 °C.
The XRD diffractograms of both samples clearly show a wide amorphous hill in the region of 2θ ≈ 20–25°, corresponding to the reflection (002) of graphite-like planes (Figure 8). In the sample, before activation, the maximum intensity of this hill reaches ~185 au at 2θ ≈ 22.5°, which corresponds to the interlayer distance d002 ≈ 0.39 nm (according to Braga’s law for CuKa). After KOH activation, there is a slight shift in the hill center to a region of smaller angles (2θ ≈ 22.0°) and a decrease in its maximum intensity to ~170 au, indicating an increase in d002 to ≈0.40 nm. The widening of the hill width (an increase in FWHM) indicates a decrease in the height of the crystallites along the c axis and an increase in the disorientation of graphite layers.
Figure 8.
XRD patterns of WS biochar before (black curve) and after (red curve) KOH activation at 850 °C.
Despite the data from Raman analysis indicating an improvement in the ordering of sp2 domains in the plane of the layer, XRD demonstrates the opposite trend in the direction of the c axis: KOH activation leads to partial destruction of the stack of sheets and expansion of the interlayer space. This phenomenon is characteristic of alkaline activation, when aggressive KOH interaction tears out individual sheets and forms micropores between them, reducing the coherent length of the crystallites vertically. Thus, the combination of observations of the two methods indicates that activation contributes to the exfoliation of graphite bundles—the internal ordering of individual planes (Raman) increases, but their multilayer stacking (XRD) collapses.
Figure 9 shows the FTIR spectra of biochar before (blue) and after (red) KOH activation at 850 °C.
Figure 9.
FTIR spectra WS biochar before (a) and after (b) KOH activation at 850 °C.
Before activation, a wide absorption band in the range of 3600–3000 cm−1 is observed in the spectrum, corresponding to ν(O–H) hydroxyl groups and water-bound molecules, as well as distinct bands at ~2920 and ~2850 cm−1 corresponding to ν (C–H) aliphatic fragments. The band at ~1715 cm−1 indicates the presence of carbonyl (C=O) groups, while the peak at ~1610 cm−1 is responsible for the ν (C=C) aromatic skeleton. The C–O–C and C–O groups of various essential and phenolic structures are recorded in the region of 1200–1000 cm–1. After KOH activation, the intensity of all these bands is significantly reduced: the decrease in the amplitude of ν (O–H) and ν (C=O) is especially noticeable, which indicates the removal or degradation of oxygen-containing functional groups under the action of alkali and high temperatures.
It is important to note that a sharp decrease in absorption fields in the range of 3600–1000 cm−1 is indicates not only the dehydration of the surface, but also the elimination of carbonyl and hydroxyl active sites. This leads to an increase in specific surface hydrophobicity and can improve the adsorption of nonpolar molecules, but potentially reduces the ability to electrochemically interact with polar ligands. The simultaneous preservation of a weak band ν (C=C) at ~1610 cm−1 indicates that the basic aromatic carbon skeleton retains its order despite the annealing of the surface groups.
Figure 10 shows the N2 isotherms of adsorption at −196 °C for activated carbon before (a) and after (b) KOH activation at 850 °C. In the region of low relative pressures (p/p0 < 0.1), both isotherms exhibit a sharp increase in adsorption, characteristic of type I according to the IUPAC classification, which indicates the predominance of micropores. Before activation, the volume of absorbed nitrogen in this region reaches about 180 cm3/g, whereas after activation it increases to about 235 cm3/g. Such a significant increase in microporous volume is due to aggressive KOH etching, which leads to the formation of new micropores and the expansion of existing ones.
Figure 10.
N2 adsorption isotherms at −196 °C for activated carbon before (a) and after (b) KOH activation at 850 °C.
In the range of average relative pressures (0.1 < p/p0 < 0.9), isotherms grow smoothly without a pronounced hysteresis loop, which indicates the formation of mesopores of moderate size. At p/p0 ≈ 0.5, the adsorption volume increases from ≈650 to ≈760 cm3/g, and at the end of the isotherm (p/p0 → 1) the total volume increases from ≈780 to ≈840 cm3/g. The presence of a small hysteresis indicates a narrow size distribution of meso and macropores and may slow down the rate of desorption during fast cycles [24].
One of the ultimate goals of this study is the development of a fertilizer, which is planned to be obtained in the form of a granular powder. The basis of the granular powder will be biochar obtained from WS, which should be characterized by developed porosity, large specific surface area, and high sorption activity in relation to the sorbed substances. The iodine number is a widely used method for determining the sorption capacity because of its simplicity and rapid assessment of the quality of biochar. The results of the sorption capacity of the biochar samples studied with respect to iodine are shown in Table 3.
Table 3.
Sorption capacities of WS biochar samples with respect to iodine.
Biochar samples from walnut shell after activation by KOH characterized by a developed specific surface area and in this indicator exceed not activated WS biochar samples by at least 3 times. The porous structure of WS biochar after activation mainly represented by micropores, which account for 71.2% of the total volume of pores.
Iodine number of biochar after activation is 712.3 mg/g that also exceed the level of the not activated biochar samples iodine number for 2.5 times. Increasing of iodine number is a due to increasing of specific surface and the appearance of «new pores in pores» as it was shown in SEM images (Figure 6).
The adsorption of PPI onto activated carbon derived from walnut shells involves several key processes:
- Electrostatic Interactions: The negatively charged surface of the carbon interacts with positively charged amino-groups of phenylalanine from PPI via electrostatic forces in aqueous solutions. This process plays a significant role in determining the charge distribution on the carbon surface during adsorption.
- Hydrogen Bonding/Van der Waals connections: Numerous hydrogen bond reactions take place between hydroxyl (OH) and carboxyl (COOH) groups on activated by KOH carbon and PPI molecules during the adsorption process. These interactions create additional binding sites and enhance adsorption capacity.
- Pore Filling: The hierarchical porous structure of activated carbon, comprising both micropores and mesopores, allows for the diffusion and trapping of PPI molecules. Micropores can adsorb small molecules, while mesopores offer additional surface area for adsorption, resulting in high adsorption efficiency.
Thus activated by KOH biochar obtained from walnut shell is It is suitable for use as a carrier for an organic iodine complex PPI.
3.3. Study of the Effect of Fertilizers on the Physiological Properties of Plants
In distilled water, we dissolved the PPI and polyvinyl alcohol. Then we adsorbed this solution by adding biochar, mixed it thoroughly, and dried it with hot air until we obtained a crumbly mass. This mass was mixed with soil for growing plants seeds.
As a result of laboratory experiments on plants grown in pots and under controlled conditions, we found that the use of organic iodine fertilizer based on biochar, known as BIOF, increases the biomass of plants compared to the control. This is shown in Table 4.
Table 4.
Effect of iodine, and BIOF on the biometric parameters of parsley and dry matter content.
It is worth noting that the mass of fresh parsley leaves treated with BIOF was approximately 1.11 times greater (+11.4%) than in plants treated with potassium iodide. While plants grown with potassium iodide also produced a higher leaf mass than the control, the difference was between 14.6% and 19.3%, depending on the specific conditions.
The iodine in both the organic iodide compound and potassium iodide exists in the form of iodide ions. The increase in leaf mass appears to be due to the interaction between the organic component, an amino acid, and the inorganic iodide. These data are in good agreement with the studies [25,26,27,28] that investigated the differences between the use of fertilizer with organic iodine compounds and inorganic compounds like potassium iodide and iodate, as well as the effect of phenylalanine on plant physiology.
The experiment on treating plants with BIOF showed an increase in root mass by 13,6%, indicating that iodine has a positive impact on the growth of plant roots, stimulating the development of their root systems. This is because iodine activates metabolic processes in plants, making them stronger. As a result, roots become more developed and better able to withstand adverse conditions like drought or waterlogging [29,30]. The difference between the plants dry residue of the control group and the other two groups ranges from 21.6% for the group with BIOF and 30.7% for the group with potassium iodide, respectively. These results correlate with an increase in leaf mass in groups of plants treated with BIOF containing PPI. The high value of the dry residue when using potassium iodide compared to BIOF is directly related to potassium ions. An increase in potassium concentration in plant cells leads to an influx of water through osmosis, which is used by guard cells to open stomata for nutrient exchange. This is a crucial process for plant nutrition, as water moves from an area with a higher water potential (the environment) to the cell, where the water potential is lower due to the increased solute (potassium) concentration inside the cell [31].
It should also be noted that, according to [32,33,34], biochar also has the ability to increase plant productivity. Biochar is a carbon-containing material that increases the amount of humus in soil and is used to solve problems related to soil fertility, growth, and development of plants under both normal and stressed conditions. It improves water retention [35,36], promotes nutrient absorption, and stimulates microbial activity [37,38,39], creating a favorable environment for sustainable agriculture [40,41,42,43].
3.4. The Effect of BIOF on the Content of Iodine and Organic Nitrogen in a Plant
The accumulation of iodine and nitrogen in plants is dependent on the content of these elements in the soil and the type and biological characteristics of the plant. Iodine accumulates mainly in the vegetative parts of plants, although its concentration can vary depending on various factors.
By reducing nitrogen loss and influencing nitrogen metabolism, the application of iodine can lead to an increase in nitrogen uptake by plants and improve nitrogen utilization efficiency, allowing the plant to use nitrogen more efficiently. Table 5 shows data on iodine accumulation in the leaves and roots of plants with different methods of application.
Table 5.
Effects of different iodine treatments on iodine and organic nitrogen concentration in leaves and roots.
As soon as the planting and plant growth had been carried out under laboratory conditions, no other sources of iodine could have been introduced into the plants in either the control or the biochar groups. Consequently, the levels of iodine in both the biochar group and the control group were extremely low and could not have been detected by the Ecotest voltammetric analyzer.
The analysis results showed that the treatment of plants with potassium iodide leads to the accumulation of iodine in the plant, and inorganic iodine is distributed relatively equally in both parsley leaves and roots. In the case of the use of BIOF, the iodine content in plants increases by from 40% in the roots to 66% in the leaves of plants compared with inorganic iodine.
In [44], this is explained by the fact that the iodide ion in potassium iodide, being an active reducing agent, easily enters into oxidation and halogenation reactions, and thus the transport of iodide to plant organs slows down slightly. In the composition of fertilizers, this oxidation process can be slowed down due to steric factors, as well as by sorption and desorption processes [45].
In turn, BIOF treatment allowed for obtaining the highest concentration of organic nitrogen in the leaves and roots of plants, which increased by 22.49 mg/kg of dry weight compared with the control and 17.63 mg compared with potassium iodide. Thus, the use of a biocarbon fertilizer containing 1-carboxy-2-phenylethan-1-aminium iodide 2-azaniumyl-3-phenylpropanoate (PPI) increases the absorption of mineral nitrogen from the soil and increases the content of organic nitrogen. However, in this case, it is important to conduct extensive field studies of our fertilizer for nitrogen assimilation by other plants in order to gain an understanding of the use of bio-carbon-based iodine fertilizer for the selection of effective agricultural varieties.
3.5. The Effect of BIOF on the Antioxidant Activity of Plants
Iodine, as a trace element in plants, plays an important role in maintaining antioxidant activity, affecting photosynthesis, metabolism, and stress resistance. A lack of iodine can reduce the overall antioxidant protection, while its optimal content contributes to a more efficient work of the plant’s antioxidant system [46,47,48].
The increase in plant AOA was more pronounced in the variants of plant treatment with sodium potassium iodide and in the variant with BIOF and averaged 1.3–1.5 times (Table 6).
Table 6.
The effect of potassium iodine and BIOF on the accumulation of ascorbic acid, polyphenols, and parsley AOA.
It should be noted that the level of accumulation of polyphenols, which is a more stable indicator compared to AOA, increased slightly only when using the BIOF variant.
Results from Table 5 and Table 6 show that PPI causes the significant increase in nitrogen and AOA nitrogen enhances plant growth and yield by supporting the production of proteins, chlorophyll, and enzymes, which are essential for photosynthesis and overall vigor. Antioxidants protect plants by scavenging reactive oxygen species, which are produced under stress conditions, and their activity is positively correlated with plant growth and yield. Therefore, maintaining optimal nitrogen levels is crucial for maximizing yield and maintaining a healthy antioxidant defense system [49,50].
Kiferle, C. [30] shows that iodine treatments specifically regulate the expression of several genes, mostly involved in the plant defense response, suggesting that iodine may protect against both biotic and abiotic stress. In addition, authors demonstrated iodine organification in proteins that mainly associated with the chloroplast and are functionally involved in photosynthetic processes in leaves and activation of peroxidase in roots. The findings of this research suggest that the application of BIOF with PPI may significantly enhance the antioxidant potential of parsley plants by the same pathway.
This finding has significant implications for both agricultural production and human health, as it could potentially lead to the cultivation of parsley with enhanced health-promoting properties. Moreover, the improved antioxidative profile achieved through these treatments could also contribute to the resistance of the plants against environmental stressors, thus further supporting their utilization in sustainable agricultural systems.
3.6. Economic Efficiency of BIOF
The economic viability of using BIOF for consumption of iodine through agriculture as a substitute for conventional iodized sodium chloride in food necessitates a thorough examination of the expenses associated with producing biochar (Table 7).
Table 7.
Comparison of benefits between utilizing BIOF and iodized NaCl.
The creation of biochar involves various financial considerations, including the procurement of raw materials such as plant biomass and chemicals like KOH, phenylalanine, and iodine, the energy consumption during the pyrolysis process, and the subsequent treatment procedures.
The pyrolysis process, which involves heating biochar samples at temperatures ranging from 300 to 850 °C for several hours, is a resource-intensive process that contributes to higher operational and energy costs compared to the simpler process of producing iodized NaCl. Furthermore, the production of biochar requires additional processing steps, such as washing and drying, to ensure its suitability for agricultural use.
Despite the initial investment required to produce biochar enriched with iodine through PPI, the long-term benefits make this investment worthwhile. Biochar acts as a stable and natural source of iodine for crops, while also enhancing soil health through improved carbon sequestration and nutrient retention. This not only benefits the environment, but also results in potential long-term cost savings due to increased crop yields and reduced fertilizer needs. Therefore, BIOF is a cost-effective solution for sustainable agriculture.
Although iodized sodium/potassium may be more affordable for iodine supplementation, it lacks the comprehensive agricultural and environmental benefits provided by biochar. The higher upfront costs associated with biochar production are justified by the multifaceted advantages it offers in both crop production and environmental preservation.
4. Conclusions
In this work, the organoiodide complex 1-carboxy-2-phenylethan-1-aminium iodide 2-azaniumyl-3-phenylpropanoate (PPI) was synthesized and comprehensively characterized. It showed high solubility in polar media, characteristic IR/UV spectra, and thermal stability up to ~127 °C, confirming its suitability as an iodine source for agronomic applications. At the same time, a highly porous carrier based on walnut shell biochar was developed: KOH activation formed hierarchical porosity and increased S_BET at least threefold (up to ~878 m2/g) with an increase in iodine number to ~712 mg/g, making such biochar an effective matrix for immobilization and controlled release of PPI.
Soil and pot trials on parsley showed that granulated biochar iodine-organic fertilizer (BIOF: PPI + biochar) provided consistent superiority over inorganic KI: leaf weight increased to 86.55 g/plant versus 77.72 g/plant with KI (and 65.04 g/plant in the control), and root weight increased to 8.25 g/plant (all differences were confirmed by letter indices at p < 0.05). At the nutritional level, BIOF ensured higher accumulation of iodine (leaves: 11.86 mg/kg, roots: 13.23 mg/kg d.m.) and organic nitrogen (leaves: 57.37 mg/kg, roots: 36.63 mg/kg) compared to KI, indicating improved digestibility and possible synergistic effects of the organic component of the fertilizer. Finally, BIOF significantly increased the antioxidant status of plants (ascorbic acid 36.46 mg/100 g d.v.; AOA 44.48 mg GA/g; polyphenols 23.79 mg GA/g), which complements the picture of functional biofortification.
The totality of the obtained results demonstrates that the combination of PPI with activated biochar from agrowaste forms a technologically simple and promising platform for biofortification of vegetable crops with iodine while simultaneously improving nutritional indicators and antioxidant activity. To translate the method into practice, field trials are needed on different soils and crops, with studies on optimization of PPI doses and loading and release kinetics and duration of action, as well as an assessment of economic efficiency in comparison with traditional forms of KI/KIO3. The contribution of the work is the demonstration of a viable way to create a “smart” organo-mineral iodine source based on low-cost biochar, which opens up opportunities for sustainable biofortification and increasing the nutritional value of vegetable products.
Author Contributions
Conceptualization, A.S. and M.A.; methodology, S.T. and A.K.; validation, Y.D., K.S. and D.B.; formal analysis, A.Z.; investigation, A.K.; writing—original draft preparation, A.S.; writing—review and editing, A.K.; visualization, M.A. and A.Z.; supervision, Y.D.; project administration, A.S. All authors have read and agreed to the published version of the manuscript.
Funding
This research is funded by a grant №AP19576946 to young scientists from the Ministry of Science and Higher Education of the Republic of Kazakhstan “Development of the complex of iodine-coordinated biodegradable fertilizers based on natural sorbents to increase soil fertility”.
Institutional Review Board Statement
Not applicable.
Informed Consent Statement
Not applicable.
Data Availability Statement
The data used to support the findings of this study are available from the corresponding author upon reasonable request.
Conflicts of Interest
The authors declare that they have no conflicts of interest.
Abbreviations
The following abbreviations are used in this manuscript:
| PPI | 1-carboxy-2-phenylethan-1-aminium iodide 2-azaniumyl-3-phenylpropanoate |
| BIOF | The granulated composition PPI + biochar |
| DSC | Differential scanning calorimetry |
| WS | Walnut shell |
| XRD | X-ray diffraction analysis |
| AOA | Antioxidant activity |
References
- Ilin, A.I. Experimental Crystal Structure Determination (CCDC 1036670); Cambridge Crystallographic Data Centre: Cambridge, UK, 2017. [Google Scholar] [CrossRef]
- Paretskaya, N.A.; Sabitov, A.N.; Islamov, R.A.; Tamazyan, R.A.; Tokmoldin, S.Z.; Ilin, A.I.; Martirosyan, K.S. Phenylalanine—Iodine Complex and its Structure; Physico-Mathematical Series; News of The National Academy of Sciences of The Republic of Kazakhstan: Almaty, Kazakhstan, 2017; Volume 2, pp. 5–9. Available online: https://pps.kaznu.kz/kz/Main/FileShow2/106653/114/446/8679/ (accessed on 10 February 2020).
- Grzanka, M.; Smoleń, S.; Skoczylas, Ł.; Grzanka, D. Synthesis of Organic Iodine Compounds in Sweetcorn under the Influence of Exogenous Foliar Application of Iodine and Vanadium. Molecules 2022, 27, 1822. [Google Scholar] [CrossRef]
- Medrano-Macías, J.; Leija-Martínez, P.; González-Morales, S.; Juárez-Maldonado, A.; Benavides-Mendoza, A. Use of Iodine to Biofortify and Promote Growth and Stress Tolerance in Crops. Front. Plant Sci. 2016, 7, 1146. [Google Scholar] [CrossRef] [PubMed] [PubMed Central]
- Radkowski, A.; Radkowska, I. Influence of foliar fertilization with amino acid preparations on morphological traits and seed yield of timothy. Plant Soil Environ. 2018, 64, 209–213. [Google Scholar] [CrossRef]
- GOST EN 1236-2013; Fertilizers. Method for Determining Bulk Density Without Compaction. Interstate Standard (GOST): Moscow, Russia, 2013; p. 7. Available online: https://files.stroyinf.ru/Data/563/56357.pdf (accessed on 22 April 2025).
- Wolthuis, E.; Pruiksma, A.B.; Heerema, R.P. Determination of solubility: A laboratory experiment. J. Chem. Educ. 1960, 37, 137. [Google Scholar] [CrossRef]
- Doszhanov, E.O.; Sabitov, A.N.; Mansurov, Z.A.; Doszhanov, O.M.; Zhandosov, Z.M.; Rakhymzhan, N. Method of Obtaining Sorbent from Vegetable Raw Materials. Utility Model Patent No. 8681, 1 December 2023. [Google Scholar]
- Naderi, M. Surface Area: Brunauer–Emmett–Teller (BET). In Progress in Filtration and Separation; Tarleton, S., Ed.; Academic Press: Cambridge, MA, USA, 2015; pp. 585–608. ISBN 9780123847461. [Google Scholar] [CrossRef]
- GOST 33618-2015; Activated Carbon. Standard Method for Determination of Iodine Value. Interstate Standard: Moscow, Russia, 2016; p. 8. Available online: https://files.stroyinf.ru/Data2/1/4293756/4293756365.pdf (accessed on 22 April 2025).
- Nurbolatovich, S.A.; Ospanovich, D.Y.; Seitzhan, T.; Didar, N. A Method for Obtaining Granular Fertilizer Based on Pyrocarbon. Bulletin No. 3. IPC C05G 3/00 C05D 9/02. RK Patent for Utility Model No. 8791, 19 January 2024. [Google Scholar]
- GOST 31640-2012; Feeds. Methods for Determination of Dry Matter Content. Interstate Standard: Moscow, Russia, 2012; p. 11. Available online: https://files.stroyinf.ru/Data2/1/4293787/4293787414.pdf (accessed on 22 April 2025).
- Kharchenko, V.A.; Moldovan, A.I.; Golubkina, N.A.; Gins, M.S.; Shafigullin, D.R. Comparative evaluation of several biologically active compounds content in Anthriscus sylvestris (L.) Hoffm. and Anthriscus cerefolium (L.) Hoffm. Veg. Russ. 2020, 5, 81–87. [Google Scholar] [CrossRef]
- Golubkina, N.A.; Kekina, H.G.; Molchanova, A.V.; Antoshkina, M.S.; Nadezhkin, S.M.; Soldatenko, A.V. Plant Antioxidants and Methods for Their Determination; Infra-M Academic Publishing House: Moscow, Russia, 2020; Volume 1, p. 181. [Google Scholar] [CrossRef]
- Doszhanov, Y.; Atamanov, M.; Jandosov, J.; Saurykova, K.; Bassygarayev, Z.; Orazbayev, A.; Turganbay, S.; Sabitov, A. Preparation of Granular Organic Iodine and Selenium Complex Fertilizer Based on Biochar for Biofortification of Parsley. Scientifica 2024, 2024, 6601899. [Google Scholar] [CrossRef]
- Ramachandran, E.; Natarajan, S. XRD, thermal and FTIR studies on gel grown DL-Phenylalanine crystals. Cryst. Res. Technol. 2007, 42, 617–620. [Google Scholar] [CrossRef]
- Tomar, D.; Chaudhary, S.; Jena, K.C. Self-assembly of l-phenylalanine amino acid: Electrostatic induced hindrance of fibril formation. RSC Adv. 2019, 9, 12596–12605. [Google Scholar] [CrossRef]
- Max, J.J.; Chapados, C. Infrared spectroscopy of acetone–water liquid mixtures. II. Molecular model. J. Chem. Phys. 2004, 120, 6625–6641. [Google Scholar] [CrossRef] [PubMed]
- Tong, A.; Tang, X.; Zhang, F.; Wang, B. Study on the shift of ultraviolet spectra in aqueous solution with variations of the solution concentration. Spectrochim. Acta Part A Mol. Biomol. Spectrosc. 2020, 234, 118259. [Google Scholar] [CrossRef]
- Gogoi, P.; Mohan, U.; Borpuzari, M.P.; Boruah, A.; Baruah, S.K. UV-Visible spectroscopy and density functional study of solvent effect on halogen bonded charge-transfer complex of 2-Chloropyridine and iodine monochloride. Arab. J. Chem. 2019, 12, 4522–4532. [Google Scholar] [CrossRef]
- ChemicalBook. D-Phenylalanine—Product Chemical Properties. 2025. Available online: https://www.chemicalbook.com/ProductChemicalPropertiesCB9773699_EN.htm (accessed on 20 April 2025).
- Moon, C.Y.; Kim, Y.S.; Lee, E.C.; Jin, Y.G.; Chang, K.J. Mechanism for oxidative etching in carbon nanotubes. Phys. Rev. B 2002, 65, 155401. [Google Scholar] [CrossRef]
- Zhang, K.; Teng, J.; Ding, L.; Tang, X.; Huang, J.; Liu, S.; Cao, S.; Li, H.; Li, J. Establishing structure-property relationships grounded in oxidation strategy engineering to unravel the triggering mechanism of Na+ filling in Hard Carbon closed pore. Electrochim. Acta 2025, 538, 146970. [Google Scholar] [CrossRef]
- Burgess, C.G.; Everett, D.H.; Nuttall, S. Adsorption hysteresis in porous materials. Pure Appl. Chem. 1989, 61, 1845–1852. [Google Scholar] [CrossRef]
- Halka, M.; Klimek-Chodacka, M.; Smoleń, S.; Baranski, R.; Ledwożyw-Smoleń, I.; Sady, W. Organic iodine supply affects tomato plants differently than inorganic iodine. Physiol Plant. 2018, 164, 290–306. [Google Scholar] [CrossRef]
- Zhang, Y.; Cao, H.; Wang, M.; Zou, Z.; Zhou, P.; Wang, X.; Jin, J. A review of iodine in plants with biofortification: Uptake, accumulation, transportation, function, and toxicity. Sci. Total Environ. 2023, 878, 163203. [Google Scholar] [CrossRef]
- Jiao, Y.; Chen, Y.; Ma, C.; Qin, J.; Nguyen, T.H.N.; Liu, D.; Gan, H.; Ding, S.; Luo, Z.B. Phenylalanine as a nitrogen source induces root growth and nitrogen-use efficiency in Populus× canescens. Tree Physiol. 2018, 38, 66–82. [Google Scholar] [CrossRef]
- Grey, C.B.; Cowan, D.P.; Langton, S.D.; Watkins, R.W. Systemic Application of L-Phenylalanine Increases Plant Resistance to Vertebrate Herbivory. J. Chem. Ecol. 1997, 23, 1463–1470. [Google Scholar] [CrossRef]
- Dobosy, P.; Vetési, V.; Sandil, S.; Endrédi, A.; Kröpfl, K.; Óvári, M.; Takács, T.; Rékási, M.; Záray, G. Effect of irrigation water containing iodine on plant physiological processes and elemental concentrations of cabbage (Brassica oleracea L. var. capitata L.) and tomato (Solanum lycopersicum L.) cultivated in different soils. Agronomy 2020, 10, 720. [Google Scholar] [CrossRef]
- Kiferle, C.; Martinelli, M.; Salzano, A.M.; Gonzali, S.; Beltrami, S.; Salvadori, P.A.; Hora, K.; Holwerda, H.T.; Scaloni, A.; Perata, P. Evidences for a nutritional role of iodine in plants. Front. Plant Sci. 2021, 12, 616868. [Google Scholar] [CrossRef] [PubMed] [PubMed Central]
- Bayındır, Ü.; Küçükyumuk, Z. The Effects of Potassium on Plant Nutrient Concentration, Plant Development, and Rhizoctonia Rot (Rhizoctonia solani) in Pepper. Horticulturae 2025, 11, 516. [Google Scholar] [CrossRef]
- Xu, H.; Cai, A.; Wu, D.; Liang, G.; Xiao, J.; Xu, M.; Colinet, G.; Zhang, W. Effects of biochar application on crop productivity, soil carbon sequestration, and global warming potential controlled by biochar C: N ratio and soil pH: A global meta-analysis. Soil Tillage Res. 2021, 213, 105125. [Google Scholar] [CrossRef]
- Khan, S.; Irshad, S.; Mehmood, K.; Hasnain, Z.; Nawaz, M.; Rais, A.; Gul, S.; Wahid, M.A.; Hashem, A.; Ibrar, D.; et al. Biochar production and characteristics, its impacts on soil health, crop production, and yield enhancement: A review. Plants 2024, 13, 166. [Google Scholar] [CrossRef]
- Li, X.; Wu, D.; Liu, X.; Huang, Y.; Cai, A.; Xu, H.; Ran, J.; Xiao, J.; Zhang, W. A global dataset of biochar application effects on crop yield, soil properties, and greenhouse gas emissions. Sci. Data 2024, 11, 57. [Google Scholar] [CrossRef] [PubMed]
- Ndede, E.O.; Kurebito, S.; Idowu, O.; Tokunari, T.; Jindo, K. The potential of biochar to enhance the water retention properties of sandy agricultural soils. Agronomy 2022, 12, 311. [Google Scholar] [CrossRef]
- Lustosa Carvalho, M.; Tuzzin de Moraes, M.; Cerri, C.E.P.; Cherubin, M.R. Biochar amendment enhances water retention in a tropical sandy soil. Agriculture 2020, 10, 62. [Google Scholar] [CrossRef]
- Sharma, M.; Kaushik, R.; Pandit, M.K.; Lee, Y.H. Biochar-induced microbial shifts: Advancing soil sustainability. Sustainability 2025, 17, 1748. [Google Scholar] [CrossRef]
- Kracmarova-Farren, M.; Alexova, E.; Kodatova, A.; Mercl, F.; Szakova, J.; Tlustos, P.; Demnerova, K.; Stiborova, H. Biochar-induced changes in soil microbial communities: A comparison of two feedstocks and pyrolysis temperatures. Environ. Microbiome 2024, 19, 87. [Google Scholar] [CrossRef]
- Barbosa, F.L.; Santos, J.M.; Mota, J.C.; Costa, M.C.; Araujo, A.S.; Garcia, K.G.; Almeida, M.S.; Nascimento, Í.V.; Medeiros, E.V.; Pereira, A.P.D.A.; et al. Potential of biochar to restoration of microbial biomass and enzymatic activity in a highly degraded semiarid soil. Sci. Rep. 2024, 14, 26065. [Google Scholar] [CrossRef]
- Vanapalli, K.R.; Samal, B.; Dubey, B.K.; Bhattacharya, J. Biochar for sustainable agriculture: Prospects and implications. In Advances in Chemical Pollution, Environmental Management and Protection; Elsevier: Amsterdam, The Netherlands, 2021; Volume 7, pp. 221–262. ISBN 9780128201787. [Google Scholar] [CrossRef]
- Ayaz, M.; Feizienė, D.; Tilvikienė, V.; Akhtar, K.; Stulpinaitė, U.; Iqbal, R. Biochar role in the sustainability of agriculture and environment. Sustainability 2021, 13, 1330. [Google Scholar] [CrossRef]
- Cezar, J.V.D.C.; Morais, E.G.D.; Lima, J.D.S.; Benevenute, P.A.N.; Guilherme, L.R.G. Iodine-enriched urea reduces volatilization and improves nitrogen uptake in maize plants. Nitrogen 2024, 5, 891–902. [Google Scholar] [CrossRef]
- Smolen, S.; Sady, W.; Rozek, S.; Ledwozyw-Smolen, I.; Strzetelski, P. Preliminary evaluation of the influence of iodine and nitrogen fertilization on the effectiveness of iodine biofortification and mineral composition of carrot storage roots. J. Elem. 2011, 16, 613–622. [Google Scholar] [CrossRef]
- Zhu, Y.-G.; Huang, Y.-Z.; Hu, Y.; Liu, Y.-X. Iodine uptake by spinach (Spinacia oleracea L.) plants grown in solution culture: Effects of iodine species and solution concentrations. Environ. Int. 2003, 29, 33–37. [Google Scholar] [CrossRef]
- Tiyogi Nath, T.N.; Priyankar Raha, P.R.; Amitava Rakshit, A.R. Sorption and desorption behaviour of iodine in alluvial soils of Varanasi, India. Agricultura 2010, 7, 9–14. [Google Scholar]
- Shalaby, O.A. Iodine application induces the antioxidant defense system, alleviates salt stress, reduces nitrate content, and increases the nutritional value of lettuce plants. Funct. Plant Biol. 2025, 52, FP24273. [Google Scholar] [CrossRef] [PubMed]
- Blasco, B.; Rios, J.J.; Cervilla, L.M.; Sánchez-Rodrigez, E.; Ruiz, J.M.; Romero, L. Iodine biofortification and antioxidant capacity of lettuce: Potential benefits for cultivation and human health. Ann. Appl. Biol. 2008, 152, 289–299. [Google Scholar] [CrossRef]
- Krzepiłko, A.; Święciło, A.; Zych-Wężyk, I. The antioxidant properties and biological quality of radish seedlings biofortified with iodine. Agronomy 2021, 11, 2011. [Google Scholar] [CrossRef]
- Liu, W.; Muzolf-Panek, M.; Kleiber, T. Effect of Nitrogen Nutrition and Planting Date on the Yield and Physicochemical Parameters of Flowering Chinese Cabbage. Agronomy 2022, 12, 2869. [Google Scholar] [CrossRef]
- Zhang, C.; Wang, H.; Nai, G.; Ma, L.; Lu, X.; Yan, H.; Gong, M.; Li, Y. Nitrogen application regulates antioxidant capacity and flavonoid metabolism, especially quercetin, in grape seedlings under salt stress. J. Integr. Agric. 2024, 23, 4074–4092. [Google Scholar] [CrossRef]
- Nista, F.; Bagnasco, M.; Gatto, F.; Albertelli, M.; Vera, L.; Boschetti, M.; Musso, N.; Ferone, D. The effect of sodium restriction on iodine prophylaxis: A review. J. Endocrinol. Investig. 2022, 46, 1121–1138. [Google Scholar] [CrossRef]
- Bath, S.C. The effect of iodine deficiency during pregnancy on child development. Proc. Nutr. Soc. 2019, 78, 150–160. [Google Scholar] [CrossRef] [PubMed]
- Turganbay, S.; Kenesheva, S.; Jumagaziyeva, A. Synthesis, physicochemical properties and antimicrobial activity of a di-aminopropionic acid hydrogen tri-iodide coordination compound. BMC Res. Notes 2024, 17, 384. [Google Scholar] [CrossRef] [PubMed]
Disclaimer/Publisher’s Note: The statements, opinions and data contained in all publications are solely those of the individual author(s) and contributor(s) and not of MDPI and/or the editor(s). MDPI and/or the editor(s) disclaim responsibility for any injury to people or property resulting from any ideas, methods, instructions or products referred to in the content. |
© 2025 by the authors. Licensee MDPI, Basel, Switzerland. This article is an open access article distributed under the terms and conditions of the Creative Commons Attribution (CC BY) license (https://creativecommons.org/licenses/by/4.0/).









