Abstract
We designed and synthesized two novel blue pyrrole derivatives, 2-(3-cyano-4-(4-(dibutylamino)phenyl)-5-oxo-1,5-dihydro-2H-pyrrol-2-ylidene)malononitrile (BAPCP) and 2-(3-cyano-4-(4-(dihexylamino)phenyl)-5-oxo-1,5-dihydro-2H-pyrrol-2-ylidene)malononitrile (HAPCP), as potential candidates for use in image sensor color filters. The properties of these new compounds were evaluated, focusing on their optical and thermal characteristics in solution and color filter film forms. The molar extinction coefficient values of BAPCP and HAPCP in solution were 6.03 × 104 and 6.91 × 104 L/mol·cm. The molar extinction coefficient of HAPCP was 4.5 times higher than that of the commercially used Disperse Blue 359. The synthesized compounds exhibited transmittance values that meet commercial requirements, with 88.6% at 450 nm and 0.73% at 530 nm. Both newly synthesized compounds met the decomposition temperature requirement of over 230 °C, which is necessary for the manufacturing process of image sensor color filters. The decomposition temperatures of both compounds were approximately 19 °C higher than that of Disperse Blue 359. When the thermal stability of color filter films for image sensors was evaluated, BAPCP demonstrated excellent optical properties before and after thermal stability testing, maintaining its characteristics in an optimized molecular form. Accordingly, BAPCP appears to have favorable potential as a blue colorant for image sensors, attributed to its superior optical and thermal stability characteristics.
1. Introduction
Semiconductor technologies that rely on visual information, including 3D printing, artificial intelligence, big data, cloud computing, and the Internet of Things (IoT), have been progressing rapidly [1]. These technologies are evolving through advancements in visual information, leading to an increased demand for improved performance in cameras and display devices. In particular, enhancing the performance of image sensors plays a critical role in delivering high-quality visuals, making advancements in color filter technology, which directly affects image quality, essential [2,3,4]. The color filter in an image sensor selectively transmits light of specific wavelengths from the full spectrum, converting it into electrical signals. As the demand for high resolution, high definition, and high sensitivity in devices like smartphones and digital cameras increases, the pixel size of image sensors continues to decrease [5,6]. With decreasing pixel size, the quantity of colorant applied per pixel is reduced, underscoring the importance of optimizing the absorption and transmission properties of colorant materials to produce high-quality images in compact pixel structures [7,8]. Specifically, blue colorants for image sensors must maintain high transmittance in the blue region at 450 nm while ensuring low transmittance in the red region at 650 nm [2,3]. To achieve this, the development of new colorant materials with high molar extinction coefficients is required, along with thermal stability that can withstand high-temperature manufacturing processes [9,10,11]. High-temperature conditions can negatively affect the stability and performance of materials, so developing materials that meet these requirements is a crucial area of research for high-performance image sensors. Examples of colorants used in blue color filters include xanthene, cyanine, azo, anthraquinone, dioxazine, triarylmethine, and pyrrole [12,13,14]. These compounds are suitable as color filter materials for displays due to their excellent optical and thermal properties and ease of synthesis. However, there are still issues related to thermal stability that need to be addressed before they can be applied to color filters for image sensors [3,15]. J.Y. Jaung’s group reported improved thermal and chemical stability by producing a dense thin film using an azo blue colorant with cross-linkable acrylate additives [16]. Y.I. Park’s group reported a blue material based on dimerized triarylmethine derivatives [17]. This approach resulted in superior optical and thermal properties by incorporating two chromophore moieties within a single molecule through dimerization. In particular, pyrrole colorants can be considered superior candidate materials for blue color filters due to their high transmittance and strong color intensity in the 400–500 nm wavelength range [18]. J. Park’s group combined a dimeric triarylmethine derivative, ABD, with an anthraquinone derivative, PAQ, to enhance the optical properties and stability of blue colorants [19]. The study reported that by mixing these two different colorants, the thermal and chemical stability was improved while the optical properties of the material were maintained. In this study, two new pyrrole derivatives, 2-(3-cyano-4-(4-(dibutylamino)phenyl)-5-oxo-1,5-dihydro-2H-pyrrol-2-ylidene)malononitrile (BAPCP) and 2-(3-cyano-4-(4-(dihexylamino)phenyl)-5-oxo-1,5-dihydro-2H-pyrrol-2-ylidene)malononitrile (HAPCP), were designed and synthesized as blue colorants, and their optical and thermal properties were analyzed. J.C. Kim’s group previously reported a study on the dispersibility of Disperse Blue 359, a representative blue material, using a polymer dispersant, and they developed a method for predicting dispersibility [20]. Because of this, Disperse Blue 359 was selected as a reference material for comparative evaluation in this study.
2. Materials and Methods
2.1. Materials and Instrumentation
Disodium 3-cyano-2-(dicyanomethylene)-2H-pyrrole-4,5-bis(olate) with a minimum purity of 98% was obtained from CK Chem and used without further processing. Other reagents, also of at least 98% purity, were sourced from suppliers such as Sigma-Aldrich, Tokyo Chemical Industry (TCI), and Alfa Aesar and were used directly. Proton and carbon nuclear magnetic resonance (1H and 13C NMR) spectra were recorded on a Jeol JNM-ECZ400S/L1 spectrometer (Tokyo, Japan). Fourier-transform infrared spectroscopy (FT-IR) was performed using a JASCO FT-IR 4100 (Tokyo, Japan) to identify the characteristic peaks of the synthesized compounds, and qualitative chemical analysis was carried out. The fast atom bombardment mass spectra (FAB-MS) were recorded on a Jeol JMS-700 (Tokyo, Japan), Agilent 6890 Series (Santa Clara, CA, USA). UV-Visible absorption spectra were acquired using a Shimadzu UV-1900i UV/Vis/NIR spectrophotometer (Kyoto, Japan). Thermal decomposition temperatures (Td) were evaluated by thermogravimetric analysis (TGA) with an SDT Q600 instrument from TA Instruments (Lukens Dr, New Castle, DE, USA), with samples heated to 700 °C at 10 °C/min under nitrogen. Density functional theory (DFT) calculations, including geometry optimization and electronic structure analysis, were performed using ORCA software (version 5.0.4), utilizing the B3LYP-D3 hybrid functional with a def2-TZVPP basis set [21] (see Supporting Information). Cyclic voltammetry experiments were carried out on a WizEQCM-1000 system (Wizmac, Daejeon, Republic of Korea), employing a platinum wire as the counter electrode, a glassy carbon as the working electrode, and an Ag/AgCl electrode as the reference electrode. The voltammograms were obtained over a potential range of −0.2 to 1.4 V, with an electrolyte solution of 0.1 M tetrabutylammonium hexafluorophosphate in acetonitrile.
2.2. Synthesis
The synthesis was conducted according to the literature [22].
2.2.1. Synthesis of 2-(3-Cyano-4-(4-(dibutylamino)phenyl)-5-oxo-1,5-dihydro-2H-pyrrol-2-ylidene)malononitrile, BAPCP
A solution of disodium 3-cyano-2-(dicyanomethylene)-2H-pyrrole-4,5-bis(olate) (4.5 g, 0.02 mol) and N,N-dibutylaniline (5.1 g, 0.02 mol) in 20 mL of dimethylformamide (DMF) was prepared. Methane sulfonyl chloride (4.5 g, 0.04 mol) was then added gradually over 30 min, maintaining the temperature at room temperature. Following the addition, the reaction mixture was heated to 40 °C and stirred continuously for 3 h. Once the reaction was complete, the mixture was cooled to 5 °C, and 40 mL of methanol was added slowly to promote precipitation, with additional stirring for 1 h. The precipitate was filtered from the cooled mixture, and the resulting solid was dried, yielding 4.5 g of a blue solid (yield: 49%). 1H NMR (400 MHz, DMSO-d6) δ 8.30 (d, J = 9.1 Hz, 2H), 6.94 (d, J = 9.3 Hz, 2H), 3.46 (t, J = 7.7 Hz, 4H), 1.53 (p, J = 7.9 Hz, 4H), 1.32 (p, J = 7.4 Hz, 4H), 0.89 (t, J = 7.3 Hz, 6H). 13C NMR (100 MHz, DMSO-d6) δ 168.95, 159.35, 153.50, 144.46, 133.52, 115.73, 114.68, 113.69, 113.51, 112.70, 57.37, 50.87, 29.81, 20.04, 14.30. HRMS (FAB-MS, m/z): calcd. for C22H23N5O, 373.1903; found: 374.1983 [M+H]+.
2.2.2. Synthesis of 2-(3-Cyano-4-(4-(dihexylamino)phenyl)-5-oxo-1,5-dihydro-2H-pyrrol-2-ylidene)malononitrile, HAPCP
Disodium 3-cyano-2-(dicyanomethylene)-2H-pyrrole-4,5-bis(olate) (3.4 g, 0.015 mol) and N,N-dihexylaniline (3.9 g, 0.015 mol) were dissolved in 20 mL of DMF. Methane sulfonyl chloride (3.4 g, 0.03 mol) was then slowly added dropwise over 30 min while maintaining the temperature at room temperature. After the addition was complete, the temperature of the reaction vessel was increased to 40 °C, and the mixture was stirred for 3 h. Upon completion of the reaction, the temperature of the reaction vessel was reduced to 5 °C, and 40 mL of methanol was slowly added dropwise to induce precipitation, with stirring continued for 1 h. The precipitate was then filtered from the cooled mixture, and the collected solid was dried, yielding 4.1 g of a blue solid (yield: 53%). 1H NMR (400 MHz, Chloroform-d) δ 8.56 (d, J = 7.5 Hz, 2H), 8.28 (s, 1H), 6.75 (d, J = 7.5 Hz, 2H), 3.46 (t, J = 7.1 Hz, 4H), 1.68 (p, J = 7.0 Hz, 4H), 1.40–1.26 (m, 12H), 0.95–0.88 (t, J = 8.1 Hz, 6H). 13C NMR (100 MHz, DMSO-d6) δ 167.91, 158.26, 152.49, 143.40, 132.63, 115.64, 114.64, 113.79, 112.36, 50.65, 34.01, 29.82, 25.55, 20.08, 14.25. HRMS (FAB-MS), m/z): calcd. For C26H31N5O, 429.2529; found: 430.2530 [M+H]+.
2.3. Fabrication of Film and Color Filters
Glass substrates measuring 2.5 cm × 2.5 cm were first ultrasonically cleaned in isopropyl alcohol for 10 min and subsequently dried at 80 °C. A thin film containing the blue colorant was prepared by applying a 1 × 10−3 M solution of the colorant in propylene glycol monomethyl ether acetate (PGMEA) onto the substrate through a drop-casting method. This was followed by curing on a hot plate at 100 °C for 10 min to complete the film formation. To assess the thermal stability of the color filters used in image sensors, colorimetric analyses were performed under controlled conditions.
3. Results and Discussion
Xanthene, a moiety used in colorants, is capable of easily extending π-conjugation, which makes it generally appropriate for red or red-to-near-infrared dyes but unsuitable as a backbone for blue dyes [23]. On the other hand, triarylmethane is well-suited for blue dyes but suffers from poor photostability, requiring the introduction of various derivatives to improve its performance [24]. Conversely, pyrrole-based colorants exhibit remarkable optical, thermal, and electrochemical stability, offering vivid colors and enhanced functionality through adjustable wavelength absorption. Consequently, they are being investigated as sustainable, robust materials for applications in optoelectronic devices and high-performance coatings [25,26]. A new blue colorant with excellent optical and thermal properties was designed for applications in color filters for image sensors. Pyrrole was selected as the core structure, and a cyano group was introduced to achieve an appropriate conjugation length. The pyrrole group exhibits strong light absorption characteristics, making it suitable for colorant materials in image sensors [18,27]. To prevent molecular packing and improve solubility, alkyl groups in the form of butyl and hexyl were introduced. The absence of commercially available pyrrole-based blue materials poses challenges for direct comparison. Nevertheless, Disperse Blue 359, widely recognized as a blue dye, was chosen as a reference material because it allows for identifying commonalities in similar structures within the chemical formulas. Disperse Blue 359 is widely utilized in image sensor and color filter applications because of its remarkable optical performance, solvent compatibility, and thermal stability. On the basis of these strengths, this research focused on developing a new colorant with optimized absorption wavelengths and enhanced thermal stability characteristics. The final compounds, designated as BAPCP and HAPCP, were synthesized through dimerization, heterocyclization, and coupling reactions. The structures and synthetic routes of these compounds are detailed in Scheme 1 and Scheme 2. The two synthesized compounds showed no significant difference to the naked eye and exhibited a blue color (Figure S1). The structures of the synthesized compounds were confirmed using 1H and 13C NMR spectroscopy (Figures S2–S5). FT-IR analysis was performed to examine the characteristic functional groups of the synthesized compounds, with the measurement results illustrated in Figure S6. The synthesized novel compounds displayed similar FT-IR spectra, suggesting the presence of identical functional group characteristics. Analysis of the IR spectra indicated that the broad absorption band in the 3300–3500 cm−1 region corresponds to N-H stretching vibrations. In the 2740–3000 cm−1 region, sp2 C-H stretching from the benzene ring and sp3 C-H stretching from alkyl chains were detected. The strong absorption observed in the 2200–2260 cm−1 region was attributed to C≡N triple bond stretching vibrations, and a pronounced absorption peak near 1710 cm−1 was attributed to C=O stretching vibrations. In addition, sharp absorption peaks in the 1400–1600 cm−1 range were associated with C=C stretching vibrations of the aromatic benzene ring, while CH₂ bending vibrations of alkyl chains appeared in the 800–1000 cm−1 range. These findings confirm that the synthesized novel compounds contain specific functional groups consistent with the predicted molecular structure.
Scheme 1.
Molecular structures of Disperse Blue 359 and synthesized blue materials.
Scheme 2.
Synthetic routes of the synthesized compounds.
The optical properties of the synthesized blue colorants, BAPCP and HAPCP, in solution are shown in Figure 1 and Table 1. The absorbance and transmittance of the synthesized pyrrole derivatives were measured in a 1.0 × 10−4 M solution in PGMEA, which is suitable for image sensor applications. For blue colorants used in color filters for image sensors, the molar extinction coefficient is required to be greater than 1.0 × 104 L/mol·cm, with transmittance standards of over 85% at 430 nm and below 12.5% at 650 nm. The molar extinction coefficient was calculated using the Beer–Lambert law, and the optical absorbance properties of the blue colorants were evaluated accordingly.
A = εcl
A: absorbance, ε: molar extinction coefficient, c: molar concentration, l: optical path length
The synthesized pyrrole derivatives and Disperse Blue 359 showed absorption in the ranges of 300–450 nm and 500–700 nm. The maximum absorption wavelengths (UVmax) of BAPCP and HAPCP were 615 nm and 616 nm, respectively, while the commercial blue colorant Disperse Blue 359 exhibited UVmax at 612 nm and 651 nm. The synthesized compounds, along with Disperse Blue 359, exhibited very high molar extinction coefficient (εmax) values. Unlike Disperse Blue 359, the two synthesized compounds displayed absorbance intensities exceeding 1. The εmax values at the maximum absorption wavelengths for BAPCP and HAPCP were 6.03 × 104 and 6.91 × 104 L/mol·cm, respectively. Compared to Disperse Blue 359, BAPCP and HAPCP exhibited molar extinction coefficients that were more than four times higher. While the molar extinction coefficients of BAPCP and HAPCP were similar, HAPCP showed a slight increase. This increase may be due to the relatively longer alkyl groups in HAPCP, which could lead to greater molecular spacing. A closer molecular distance may result in energy transfer between molecules, potentially reducing absorption efficiency. Therefore, the increased molar extinction coefficient of HAPCP compared to BAPCP can be attributed to this factor. At 615 nm, the molar absorption coefficients of BAPCP and HAPCP were 6.03 × 104 and 6.91 × 104 L/mol·cm, respectively, demonstrating a difference of over 14% (Figure S7). This variation may have a direct impact on optical efficiency and color fidelity. In conclusion, both synthesized compounds demonstrated molar extinction coefficients exceeding 1.0 × 104 L/mol·cm in PGMEA solvent, indicating their excellent potential as candidates for blue colorants.
Figure 1.
(a) UV–Visible absorption spectra and (b) normalized UV–Visible absorption spectra of Disperse Blue 359 and pyrrole derivatives in PGMEA solution (1.0 × 10−4 M). Note: Figure 1b was normalized based on the maximum absorption wavelength of each graph in Figure 1a, allowing for a more detailed examination of the maximum absorption wavelengths.
Figure 1.
(a) UV–Visible absorption spectra and (b) normalized UV–Visible absorption spectra of Disperse Blue 359 and pyrrole derivatives in PGMEA solution (1.0 × 10−4 M). Note: Figure 1b was normalized based on the maximum absorption wavelength of each graph in Figure 1a, allowing for a more detailed examination of the maximum absorption wavelengths.

Table 1.
Optical properties of the synthesized materials in 1.0 × 10−4 M PGMEA solution.
Table 1.
Optical properties of the synthesized materials in 1.0 × 10−4 M PGMEA solution.
| UVmax [nm] | FWHM a [nm] | εmax b [L/mol·cm] | |
|---|---|---|---|
| Disperse Blue 359 | 612, 651 | 115 | 1.53 × 104 |
| BAPCP | 615 | 105 | 6.03 × 104 |
| HAPCP | 616 | 106 | 6.91 × 104 |
a The full width at half maximum; b Molar extinction coefficient at 615 nm.
The transmittance properties of the synthesized materials in solution were evaluated, with the resulting data exhibited in Figure 2 and Table 2. The transmittance spectra were measured under identical conditions using a 1 × 10−4 M concentration in PGMEA. For commercial blue colorants used in image sensors, the required transmittance values must be above 85% at 430 nm and below 12.5% at 650 nm. HAPCP showed transmittance values of 99.6% at 430 nm and 0.36% at 650 nm, while BAPCP exhibited transmittance values of 88.6% at 430 nm and 0.73% at 650 nm, meeting all commercial standards. In comparing the transmittance values of the synthesized compounds to those of the commercial blue colorant, Disperse Blue 359, the synthesized compounds demonstrated higher transmittance at 650 nm. This suggests that the synthesized materials have optical properties favorable for commercialization and are likely to offer high color purity when used as blue colorants in image sensor applications.
Figure 2.
Transmittance spectra of Disperse Blue 359 and synthesized materials in PGMEA solution at a concentration of 1 × 10−4 M. Note: The UV–Vis absorption spectra data in solution state were converted according to the Beer–Lambert Law.
Table 2.
Transmittance of Disperse Blue 359 and synthesized materials in PGMEA solution at a concentration of 1 × 10−4 M.
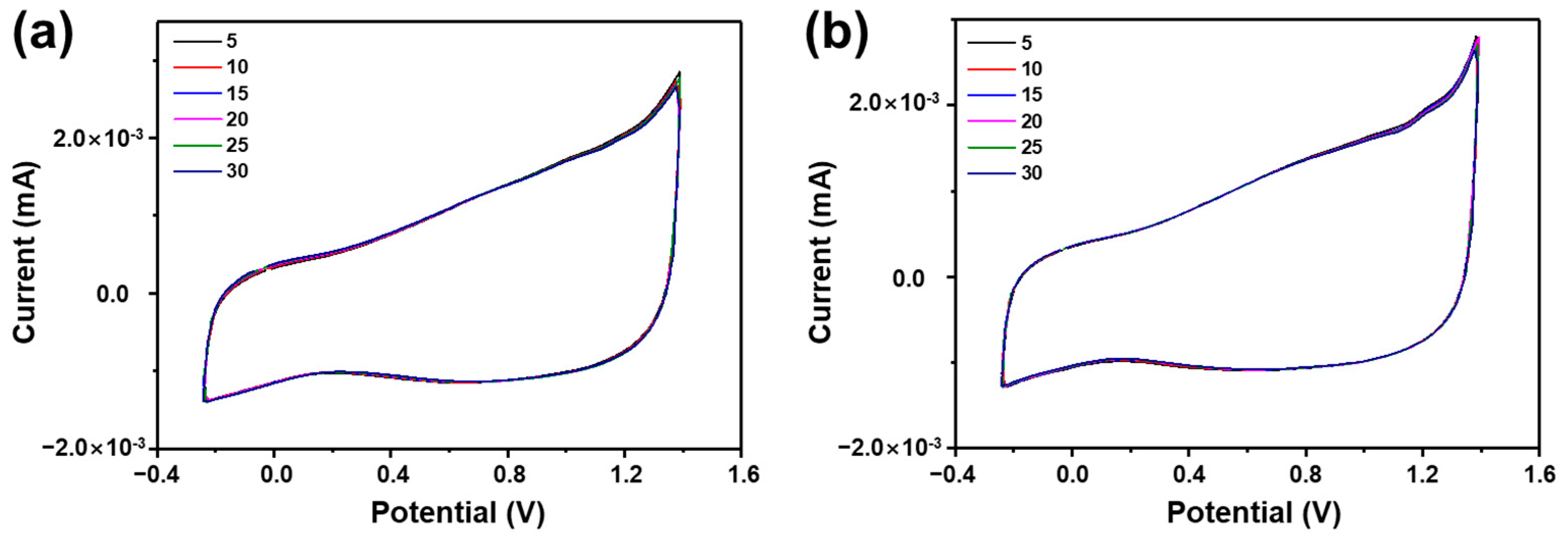
The optimized molecular structures and electronic properties of the synthesized blue materials were analyzed using molecular calculations, with the findings summarized in Figure 3 and Figure 4 as well as Table S1. The B3LYP-D3 method was selected for molecular calculations due to its high accuracy and efficiency in energy and molecular orbital (MO) calculations. For the basis set, the def2-TZVPP was chosen, considering its balance of computational efficiency and accuracy. The inclusion of polarization functions further optimized it for flexible molecular structures [28]. Disperse Blue 359 exhibited a dihedral angle of 0.1° between anthracene-9,10-dione and the alkylamine, indicating a nearly planar structure. By contrast, the structures of BAPCP and HAPCP showed a slight twist, with a dihedral angle of approximately 13° between the pyrrole and phenyl groups, and a highly twisted configuration with a dihedral angle of about 87° between the phenyl and dialkylamine groups. While Disperse Blue 359 has a planar structure, the synthesized materials exhibit highly twisted structures, which are advantageous for interactions with solvents. As a result, the twisted configuration effectively prevents molecular stacking during film formation, inhibiting molecular packing and reducing aggregation in the solid state. By minimizing the negative effects of light scattering due to molecular aggregation, it is expected that the optical properties related to the color quality of the colorant will be enhanced. The electron density of the highest occupied molecular orbital (HOMO) in the synthesized materials is distributed across the pyrrole and the electron-donating dialkyl amine groups. By contrast, the electron density distribution of the lowest unoccupied molecular orbital (LUMO) is less localized on the dialkyl amine compared to the HOMO. The dialkyl amine exhibits an electron-donating effect, resulting in electron cloud presence in the HOMO; however, in the LUMO, the electron cloud is less pronounced than in the HOMO. DFT calculations yielded LUMO values of −3.64 eV and −3.62 eV for BAPCP and HAPCP, respectively, while the HOMO values were −6.04 eV and −6.02 eV, with corresponding band gaps of 2.39 eV and 2.40 eV. The experimental HOMO and LUMO values of the synthesized compounds were measured and calculated using cyclic voltammetry and absorption spectra. Figure 5 and Figure 6 present the cyclic voltammograms of the synthesized materials recorded at a scan rate of 100 mV/s to assess their electrochemical properties. The HOMO values, derived from the onset of oxidation, were −4.66 eV for BAPCP and −4.63 eV for HAPCP. The optical band gaps, calculated from the absorption edge, yielded experimental values of 1.79 eV for BAPCP and 1.80 eV for HAPCP. The LUMO values were calculated using the optical band gap and HOMO values, resulting in −2.87 eV for BAPCP and −2.83 eV for HAPCP. These values show a consistent trend with the DFT calculations. To further investigate the electrochemical properties of the synthesized materials, cyclic voltammograms were measured at scan rates ranging from 30 to 150 mV/s. As the scan rate increased, both the oxidation and reduction current values increased, while the onset values remained consistent, confirming that the current response is proportional to the scan rate. To assess the electrochemical stability of the synthesized materials, cyclic voltammograms were repeated 30 times at a scan rate of 100 mV/s, showing consistent curves and confirming the electrochemical stability of the materials. During both the manufacturing process and operational use, color filters for image sensors can be exposed to light, potentially generating radical cation and radical anion states. Thus, assessing stability under electrochemical conditions provides useful insights into material durability. In this study, consecutive CV scans conducted up to 30 cycles demonstrated stable cycling behavior. This finding indirectly suggests that the synthesized compound is stable when reverting from radical cation or radical anion states to its neutral state after photochemical decomposition.
Figure 3.
Optimized molecular structures of Disperse Blue 359 and the synthesized blue materials, calculated using B3LYP-D3/def2-TZVPP.
Figure 4.
Depiction of the frontier orbitals along with a plot of the HOMO and LUMO energy levels for BAPCP and HAPCP, calculated using the B3LYP-D3/def2-TZVPP level of theory.
Figure 5.
Cyclic voltammograms at scan rates of 30, 50, 100, and 150 mV/s for (a) BAPCP and (b) HAPCP.
Figure 6.
Cyclic voltammetry stability of (a) BAPCP and (b) HAPCP (scan rate: 100 mV/s).
The solubility of the colorants in PGMEA, a solvent widely used in the display and image sensor industries, was analyzed to determine their suitability as color filter materials for image sensors [29]. The solubility of BAPCP and HAPCP in PGMEA was measured to be 1.3 wt% and 1.4 wt%, respectively, as summarized in Table 3. Compared to BAPCP, HAPCP showed a slightly higher solubility, which is attributed to the introduction of a longer hexyl group in HAPCP, improving its solubility. The incorporation of butyl and hexyl alkyl groups helps suppress molecular stacking during film formation, thereby reducing aggregation. In particular, hexyl exhibits higher solubility compared to butyl due to its longer alkyl chain, which enhances interactions with solvents. The solubility of the synthesized blue colorants was comparable to that of the commercial blue colorant, Disperse Blue 359.
Table 3.
Optical properties of the synthesized materials in 1.0 × 10−5 M PGMEA solution.
The thermal properties of the synthesized blue colorant materials were evaluated using thermogravimetric analysis (TGA) to determine Td at 5% weight loss, as summarized in Figure 7 and Table 4. The Td values of the synthesized compounds, BAPCP and HAPCP, were 279 °C and 282 °C, respectively. Compared to the Td value of 260 °C for the commercial Disperse Blue 359, both compounds exhibited over 19 °C higher thermal stability. This high thermal stability is important, as it meets the requirements for color filter manufacturing processes for image sensors, which typically need to withstand temperatures above 230 °C [30,31]. The slightly higher Td value for HAPCP compared to BAPCP is attributed to the increased molecular weight. In conclusion, the thermal properties of the synthesized compounds suggest their potential suitability for application in image sensor fabrication processes.
Figure 7.
Thermogravimetric analysis (TGA) curves of the synthesized materials at a scan rate of 10 °C/min under a nitrogen atmosphere.
Table 4.
Thermal properties of the synthesized materials.
To assess the suitability of the synthesized pyrrole derivatives for color filters in image sensors, a solution containing an acrylic binder, the newly developed colorant, and a photo-initiator in PGMEA was prepared and applied onto a glass substrate via drop-casting to create a film. The coated color filter samples underwent a pre-bake at 100 °C, followed by exposure to UV light at a wavelength of 365 nm. To assess the thermal stability of the fabricated color filters, the samples were subjected to a 3 min heat treatment at 220 °C, and their transmittance was measured both before and after this process. The results are presented in Figure 8 and Table 5. In recent image sensors with smaller pixel sizes, the following key characteristics are required to minimize color interference between pixels and achieve high color purity. For blue color filters in image sensors, the transmittance should be above 85% in the blue region at 450 nm and below 12.5% in the red region at 650 nm. Before the thermal stability test, the transmittance of the BAPCP and HAPCP films was 86.5% and 78.7% at 450 nm and 5.85% and 0.97% at 650 nm, respectively. After the thermal stability test, the transmittance of BAPCP and HAPCP was 85.5% and 81.2% at 450 nm and 6.46% and 1.86% at 650 nm, respectively. These results indicate that the optical properties remained consistent before and after the thermal stability test. Consequently, the synthesized blue colorant BAPCP successfully meets the requirements for blue color filter materials in image sensors. This material is regarded as having potential for future applications in commercial image sensor technology.
Figure 8.
Transmittance spectra of films after the thermal stability test: (a) Disperse Blue 359, (b) BAPCP, and (c) HAPCP (inset: a picture of each fabricated film).
Table 5.
Transmittance of Disperse Blue 359 and synthesized materials in film state.
4. Conclusions
New blue colorant compounds, BAPCP and HAPCP, were successfully synthesized as color filter materials for image sensors. The material developed in this study was assessed for its applicability to color filters by focusing on a comparison of its optical and thermal stability characteristics with those of the commercially available Disperse Blue 359. Furthermore, CV measurements were conducted to indirectly evaluate its photochemical stability. Future work will address photostability and chemical stability in detail, with plans to report the results in forthcoming studies. These molecules were designed to control molecular aggregation by incorporating a pyrrole group into the core structure and introducing cyano groups and amino alkyl groups, which enhanced optical properties during film formation. BAPCP exhibited a solubility of 1.3 wt% in PGMEA, and its optical properties, such as maximum absorption wavelength and transmittance in solution, were found to be comparable to or superior to those of the commercial blue material, Disperse Blue 359. In particular, the molar extinction coefficient of BAPCP in solution was 4.5 times higher than that of Disperse Blue 359. In thermal stability evaluations, BAPCP exhibited excellent thermal stability, with almost no change before and after heat treatment. The compounds demonstrated high inherent thermal stability, with a Td exceeding 279 °C. Because of its superior absorption, transmittance, and thermal stability, BAPCP is expected to have potential for future applications. These results suggest that BAPCP holds promise as a next-generation material candidate not only for image sensors but also for a variety of organic displays and semiconductor fields.
Supplementary Materials
The following supporting information can be downloaded at: https://www.mdpi.com/article/10.3390/app15020799/s1, Figure S1: Pictures of synthesized compounds (a) BAPCP and (b) HAPCP; Figure S2: 1H NMR spectrum of BAPCP; Figure S3: 13C NMR spectrum of BAPCP; Figure S4: 1H NMR spectrum of HAPCP; Figure S5: 13C NMR spectrum of HAPCP; Figure S6: FTIR spectra of (a) BAPCP and (b) HAPCP; Figure S7: Absorbance at 615 nm as a function of concentration for determining the molar extinction coefficient of the synthesized materials, measured with a 0.5 cm path length cell: (a) BAPCP and (b) HAPCP; Figure S8: Mass spectrum of BAPCP; Figure S9: Mass spectrum of HAPCP; Table S1: Geometry optimizations in Cartesian coordinates of (a) Disperse Blue 359, (b) BAPCP, and (c) HAPCP.
Author Contributions
Conceptualization, S.P. (Sunwoo Park), H.K., C.Y. and J.P.; methodology, H.K. and C.Y.; validation, C.Y., H.L. and J.P.; formal analysis, S.P. (Sunwoo Park), S.P. (Sangwook Park) and K.L.; investigation, S.P. (Sangwook Park) and S.O.; resources, J.P.; writing—original draft preparation, S.P. (Sunwoo Park), H.L. and J.P.; writing—review and editing, S.P. (Sunwoo Park), H.L. and J.P.; visualization, S.P. (Sunwoo Park), S.P. (Sangwook Park) and S.O.; supervision, J.P.; project administration, J.P.; funding acquisition, J.P. All authors have read and agreed to the published version of the manuscript.
Funding
This research was supported by the Basic Science Research Program through the National Research Foundation of Korea (NRF) funded by the Ministry of Education (2020R1A6A1A03048004). This work was partly supported by the GRRC program of Gyeonggi province (GRRCKYUNGHEE2023-B01, Development of ultra-fine process materials based on the sub-nanometer class for the next-generation semiconductors).
Institutional Review Board Statement
Not applicable.
Informed Consent Statement
Not applicable.
Data Availability Statement
The data are contained within the article and Supplementary Materials.
Conflicts of Interest
The authors declare no conflicts of interest.
References
- Gupta, R.K. Handbook of Semiconductors: Fundamentals to Emerging Applications, 1st ed.; CRC Press: Boca Raton, FL, USA, 2024; pp. 359–360. [Google Scholar]
- Tsuda, K. Colour filters for LCDs. Displays 1993, 14, 115–124. [Google Scholar] [CrossRef]
- Ashida, T. Development of color resists containing novel dyes for liquid crystal displays. Sumitomo Kagaku 2013, 1, 521–523. [Google Scholar]
- Taguchi, H.; Enokido, M. Technology of color filter materials for image sensor. Red 2017, 10502, 3216. [Google Scholar]
- Li, S.; Gao, C.; Xue, J.; Xin, H.; Li, H.; Zhang, J. Red phenanthrenequinone dyes with high thermal and photo-stability for LCD color filters. Dye. Pigment. 2024, 224, 112023. [Google Scholar] [CrossRef]
- Kim, C.; Hong, J.; Jang, J.; Lee, G.-Y.; Kim, Y.; Jeong, Y.; Lee, B. Freeform metasurface color router for deep submicron pixel image sensors. Sci. Adv. 2024, 10, eadn9000. [Google Scholar] [CrossRef]
- Kim, T.-H.; Lee, B.-J.; An, S.-O.; Lee, J.-H.; Choi, J.-H. The synthesis of red dyes based on diketo-pyrrolo-pyrrole chromophore to improve heat stability and solubility for colour filter fabrication. Dye. Pigment. 2020, 174, 108053. [Google Scholar] [CrossRef]
- Fontaine, R. The state-of-the-art of mainstream CMOS image sensors. In Proceedings of the International Image Sensors Workshop, IISW, Vaals, The Netherlands, 8–11 June 2015; pp. 6–12. [Google Scholar]
- Jang, S.H.; Lee, G.; Lee, S.Y.; Kim, S.H.; Lee, W.; Jung, J.W.; Kim, J.P.; Choi, J. Synthesis and characterisation of triphenylmethine dyes for colour conversion layer of the virtual and augmented reality display. Dye. Pigment. 2022, 204, 110419. [Google Scholar] [CrossRef]
- Namgoong, J.W.; Kim, H.M.; Kim, S.H.; Yuk, S.B.; Choi, J.; Kim, J.P. Synthesis and characterization of metal phthalocyanine bearing carboxylic acid anchoring groups for nanoparticle dispersion and their application to color filters. Dye. Pigment. 2021, 184, 108737. [Google Scholar] [CrossRef]
- Lee, H.K.; Kim, H.M.; Kim, S.; Kim, W.; Kim, M.S.; Yoon, J.H.; Choi, W.J.; Jeong, D.H.; Kim, J.P. Development of thermally-stable NIR absorbing films based on heptamethine cyanine dyes with bistriflimide anion. Prog. Org. Coat. 2023, 178, 107473. [Google Scholar] [CrossRef]
- Kwon, H.S.; Yoo, J.S.; Lee, H.Y.; Choi, J.H. Synthesis of Innovative Colorants Based on Cyanine Dye and Their FRET Efficiency to Reduce the Emission of Fluorescence for LCD Color Filter. Bull. Korean Chem. Soc. 2015, 36, 2545–2548. [Google Scholar] [CrossRef]
- Gorner, H. Oxygen uptake induced by electron transfer from donors to the triplet state of methylene blue and xanthene dyes in air-saturated aqueous solution. Photochem. Photobiol. Sci. 2008, 7, 371–376. [Google Scholar] [CrossRef] [PubMed]
- Hunger, K. Industrial Dyes: Chemistry, Properties, Applications; John Wiley & Sons: Hoboken, NJ, USA, 2007. [Google Scholar]
- Nakagawa, S.; Sakakibara, K.; Gotoh, H. Novel degradation mechanism for triarylmethane dyes: Acceleration of degradation speed by the attack of active oxygen to halogen groups. Dye. Pigment. 2016, 124, 130–132. [Google Scholar] [CrossRef]
- Synthesis and characterization of novel blue azo-dye derivatives containing acrylate group for dye-based color filters. J. Soc. Inf. Disp. 2012, 18, 994–1009.
- Kong, N.S.; Jung, H.; Kim, B.; Lee, C.K.; Kong, H.; Jun, K.; Kim, J.C.; Noh, S.M.; Cheong, I.W.; Park, J.; et al. Development of dimeric triarylmethine derivatives with improved thermal and photo stability for color filters. Dye. Pigment. 2017, 144, 242–248. [Google Scholar] [CrossRef]
- Cho, M.J.; Lim, J.H.; Hong, C.S.; Kim, J.H.; Lee, H.S.; Choi, D.H. A tricyanopyrroline-based nonlinear optical chromophore bearing a lateral moiety: A novel steric technique for enhancing the electro-optic effect. Dye. Pigment. 2008, 79, 193–199. [Google Scholar] [CrossRef]
- Park, S.; Jung, H.; Kim, B.; Park, J. New blended blue colorants based on triarylmethine dye and anthraquinone pigment for image sensors. Mol. Cryst. Liq. Cryst. 2021, 735, 23–28. [Google Scholar] [CrossRef]
- Kim, G.Y.; Perumal, S.; Kim, S.C.; Lee, S.-H.; Noh, S.M.; Park, Y.I.; Cheong, I.W.; Kim, J.C. Design and prediction of dye dispersibility stabilized by polymeric dispersants using a Dye–Monomer interaction force measurement. Dye. Pigment. 2020, 172, 107791. [Google Scholar] [CrossRef]
- Neese, F.; Wennmohs, F.; Becker, U.; Riplinger, C. The ORCA quantum chemistry program package. J. Chem. Phys. 2020, 152, 224108. [Google Scholar] [CrossRef]
- Yoon, C.; Choi, J.-H. Synthesis of tricyanopyrrolidone derivatives as synergists for improving contrast ratio of liquid crystal displays. Dye. Pigment. 2014, 101, 344–350. [Google Scholar] [CrossRef]
- Yamagami, A.; Kiyotaki, K.; Wakabayashi, S.; Egami, N.; Kawano, K.; Futaki, S.; Imayoshi, A.; Tsubaki, K. Synthesis and Properties of V-Shaped Xanthene Dyes with Tunable and Predictable Absorption and Emission Wavelengths. J. Org. Chem. 2022, 87, 2336–2344. [Google Scholar] [CrossRef]
- Clark, M. Handbook of Textile and Industrial Dyeing Volume 2: Applications of Dyes, 1st ed.; Woodhead Publishing: Sawston, UK, 2011; p. 265. [Google Scholar]
- Ansari, R. Polypyrrole Conducting Electroactive Polymers: Synthesis and Stability Studies. J. Chem. 2006, 3, 186–201. [Google Scholar] [CrossRef]
- Lee, H.-Y.; Kim, J.-H.; Yoo, J.-S.; Bae, J.-H.; Yoon, C.; Choi, J.-H. Synthesis and Thermal Stability of Solvent Soluble Dyes Based on Dimerized Diketo-pyrrolo-pyrrole Pigment. Bull. Korean Chem. Soc. 2014, 35, 659–662. [Google Scholar] [CrossRef]
- Stas, S.; Balandier, J.-Y.; Lemaur, V.; Fenwick, O.; Tregnago, G.; Quist, F.; Cacialli, F.; Cornil, J.; Geerts, Y.H. Straightforward access to diketopyrrolopyrrole (DPP) dimers. Dye. Pigment. 2013, 97, 198–208. [Google Scholar] [CrossRef]
- Bursch, M.; Mewes, J.-M.; Hansen, A.; Grimme, S. Best-Practice DFT Protocols for Basic Molecular Computational Chemistry. Angew. Chem. Int. Ed. 2022, 61, e202205735. [Google Scholar] [CrossRef]
- Kumar, R.S.; Min, K.S.; Son, Y.-A. Synthesis of Blue-green Naphthoxy, Chloro Derivative Zinc-phthalocyanines with LCD Requirements. Text. Color. Finish. 2018, 30, 159–167. [Google Scholar]
- Mutyala, A.K.; Hong, S.-M.; Namgoong, J.W.; Kim, J.P.; Park, J.S. Low bandgap poly (fluorinated metallophthalocyanine-alt-diketopyrrolopyrrole) s with outstanding thermal stability. Dye. Pigment. 2017, 142, 237–242. [Google Scholar] [CrossRef]
- Park, J.M.; Jung, C.Y.; Yao, W.; Song, C.J.; Jaung, J.Y. Synthesis of yellow pyridonylazo colorants and their application in dye–pigment hybrid colour filters for liquid crystal display. Color. Technol. 2016, 133, 158–164. [Google Scholar] [CrossRef]
Disclaimer/Publisher’s Note: The statements, opinions and data contained in all publications are solely those of the individual author(s) and contributor(s) and not of MDPI and/or the editor(s). MDPI and/or the editor(s) disclaim responsibility for any injury to people or property resulting from any ideas, methods, instructions or products referred to in the content. |
© 2025 by the authors. Licensee MDPI, Basel, Switzerland. This article is an open access article distributed under the terms and conditions of the Creative Commons Attribution (CC BY) license (https://creativecommons.org/licenses/by/4.0/).








