Abstract
A new series of pyrazolylpyridines was prepared by reaction of ethyl-3-acetyl-1,5-diphenyl-1H-pyrazole-4-carboxylate with the appropriate aldehyde, malononitrile, or ethyl acetoacetate and an excess of ammonium acetate under reflux in acetic acid. Similarly, two novel bipyridine derivatives were prepared by the above reaction using terephthaldehyde in lieu of benzaldehyde derivatives. In addition, a series of 1,2,4-triazolo[4,3-a]pyrimidines was synthesized by a reaction of 6-(pyrazol-3-yl)pyrimidine-2-thione with a number of hydrazonoyl chlorides in dioxane and in the presence of triethylamine. The structure of the produced compounds was established by elemental analyses and spectral methods, and the mechanisms of their formation was discussed. Furthermore, the pyrazolyl-pyridine derivatives were tested as anticancer agents and the results obtained showed that some of them revealed high activity against human hepatocellular carcinoma (HEPG2) cell lines.
1. Introduction
A literature survey revealed that compounds, including the pyrazole nucleus, are extensively used as a precursor for the synthesis of compounds presenting many applications, such as electrolyte additives in batteries [1], catalysis [2], photographic materials [3], agrochemicals [4], and dyes [5]. The chemical versatility of the pyrazole and its analogues has attracted interest because it allows a range of applications in the pharmaceutical industry. Many pyrazole-derived compounds are known to exhibit anticancer [6,7,8,9,10], antimicrobial [11,12], antiviral [13], antiparasitic [14], anti-inflammatory [15,16], antipyretic [17], analgesic [18], anticoagulant [19], and anti-obesity [20] biological activities. The pyridine nucleus is a key constituent, present in a range of bioactive compounds, occurring both synthetically and naturally with wide range of biological applications [21,22]. Among the successful examples as drug candidates possessing pyridine nuclei are streptonigrin, streptonigrone, and lavendamycin, which are described in the literature as anticancer drugs. Some pyridine derivatives were studied for their topoisomerase inhibitory activity and cytotoxicity against several human cancer cell lines for the development of novel anticancer agents. As a result, it has been reported that various pyridine derivatives, as bioisosteres of α-terthiophene (potent protein kinase C inhibitor) [23], have significant topoisomerase I and/or II inhibitory activity, and cytotoxicity against several human cancer cell lines [24,25,26,27,28]. Early reports on the ability of α-terpyridine to form metal complexes [29] and to bind with DNA/RNA [30] have been the base for the study on pyridine derivatives as antitumor agents. On the other hand, multicomponent reactions (MCRs) are powerful tools in modern medicinal chemistry, facilitating the lead generation by providing access to drug-like compounds, helping in drug discovery [31,32,33]. Additionally, the utility of MCR under microwave irradiation in the synthesis of heterocyclic compounds enhanced the reaction rates and improved the regioselectivity [34,35]. Over the last decade, several research groups adopted a hybridization approach for the design of pyrazole-pyridine hybrid analogs and illuminated their synthetic and medicinal importance [36,37,38,39,40,41,42].
In light of the above findings and in continuation of our efforts to synthesize new anticancer compounds [43,44,45,46,47,48,49,50,51,52], the aim of presented report is to synthesize a new series of pyrazolyl-pyridines via multicomponent reactions which are expected to be active as antitumor agents.
2. Results and Discussion
2.1. Chemistry
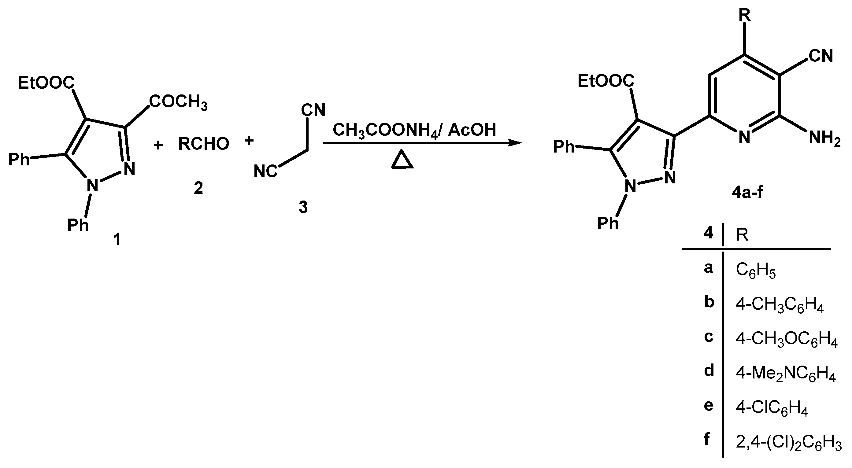
Ethyl 3-acetyl-1,5-diphenyl-1H-pyrazole-4-carboxylate (1) [53] was used as the starting compound for the preparation of a number of novel pyrazolyl-pyridine derivatives via one-pot multicomponent reactions. For example, a series of novel 2-amino-3-cyano-6-(pyrazol-3-yl)-pyridines 4a–f was prepared by a one-pot reaction of 3-acetylpyrazole derivative 1 with the appropriate aldehyde 2, malononitrile 3, and ammonium acetate under reflux in acetic acid (Scheme 1). Both elemental analyses and spectral data were used to elucidate the structures of the products 4a–f. The IR spectra of compounds 4a–f revealed in each case three absorption bands in the regions υ 3431–3211, 2218–2210, 1715–1709 cm−1 attributed to the NH2, CN and C=O groups. The 1HNMR spectrum of compound 4a taken as a typical example of the products 4, revealed two signals at δ = 6.93 (brs, 2H, NH2) and 8.11 (s, 1H, pyridine-H5), in addition to the expected signals for the aryl and ester protons. Moreover, the mass spectra of product 4 showed in each case the respective molecular ion peak which is consistent with the assigned structure.
Scheme 1.
Synthesis of pyridine derivatives 4a–f.
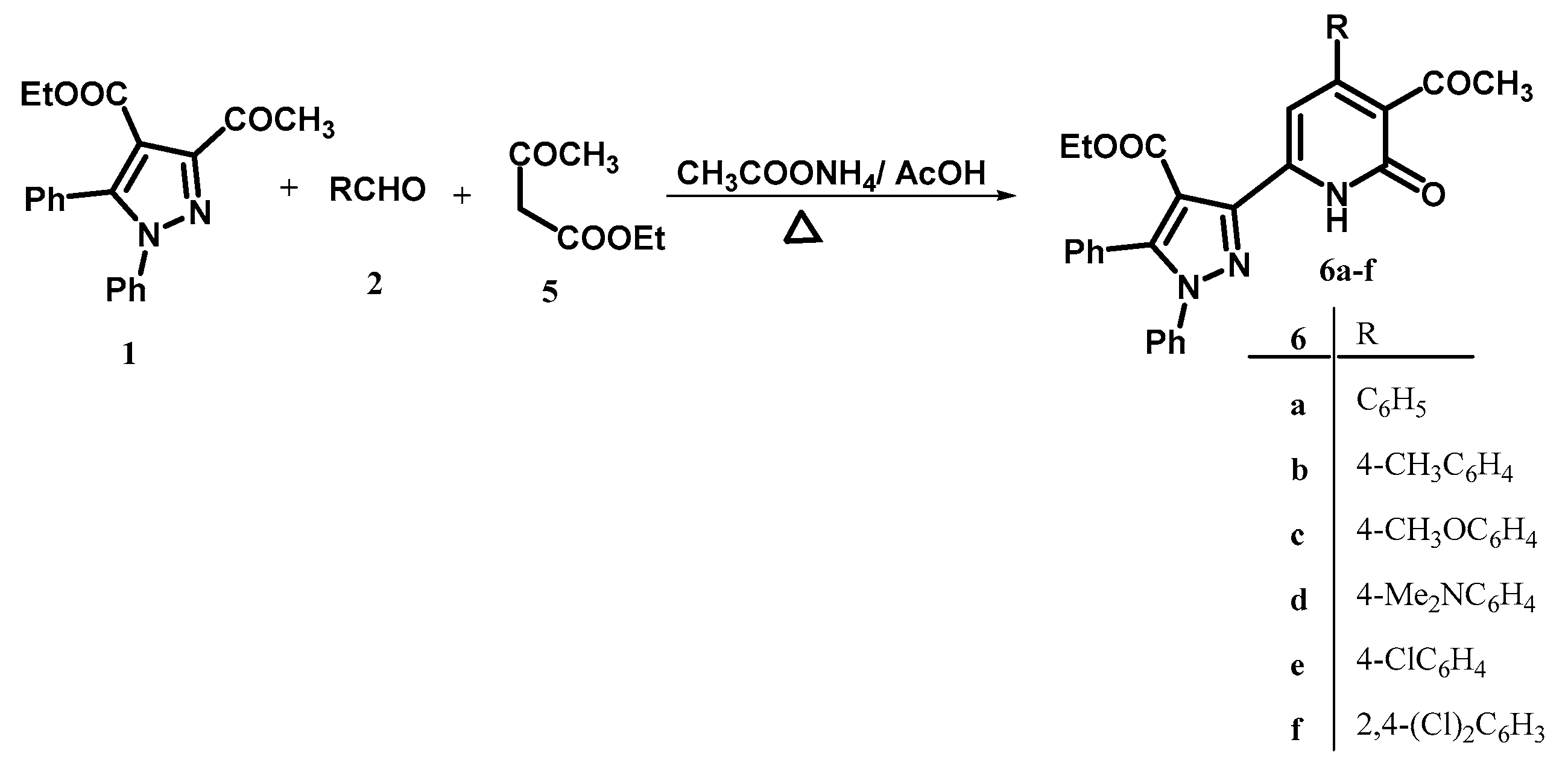
In a similar manner, another series of pyrazolylpyridines 6a–f was synthesized using ethyl acetoacetate in lieu of malononitrile. Thus, the reaction of 3-acetylpyrazole derivative 1 with the appropriate aldehyde 2, ethyl acetoacetate 5, and ammonium acetate in refluxing acetic acid afforded the corresponding products 6a–f (Scheme 2). The structure 6 assigned for the obtained products was established by elemental analyses and spectral (IR, 1HNMR, and MS) data. For example, the IR spectra of products 6a–f revealed, in each case, four absorption bands assigned for the three carbonyl groups and the -NH group of the pyridinone ring (see Section 3). The 1HNMR spectra displayed three singlet signals near δ 2.58, 9.80 and 7.79 ppm attributed to the acetyl, NH and pyridinyl-5H protons, in addition to the expected signals due to the ester and aryl protons (see Section 3).
Scheme 2.
Synthesis of pyridine derivatives 6a–f.
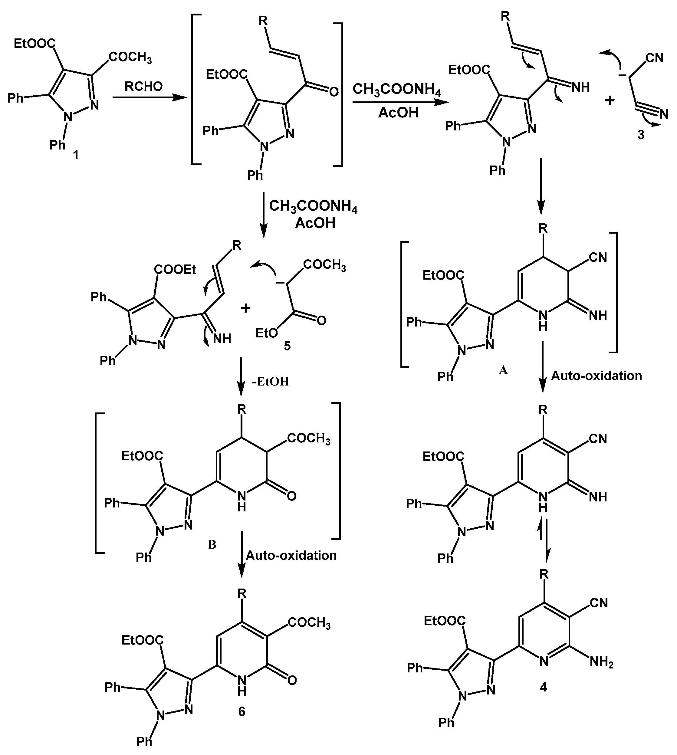
To account for the formation of products 4 and 6, it was suggested that the reaction proceeds by condensation of the acetyl group of Compound 1 with the aldehyde to give the corresponding chalcone which reacts with ammonium acetate to give the imino derivative, followed by tandem Michael addition of the active methylene group of 3 (or 5) to afford the non-isolable tetrahydropyridine intermediates A (or B). The latter undergo in situ auto-oxidation (followed by tautomerization in case of A) and formation of the final products 4 (or 6) (Scheme 3).
Scheme 3.
Mechanism of the synthesis of pyridine derivatives 4a–f and 6a–f.
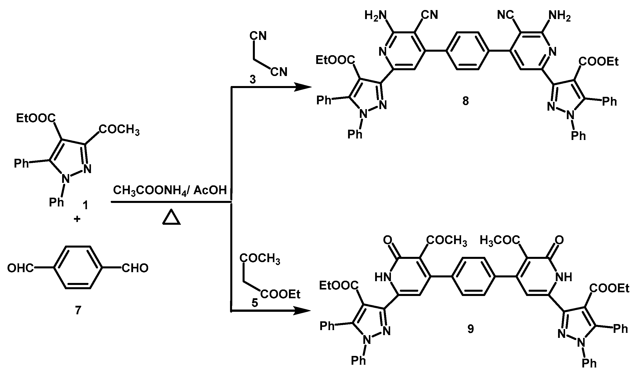
Our study was extended to prepare another new bipyridine derivatives including the pyrazole moiety via multi-component reaction. Thus, the reaction of 3-acetylpyrazole derivative 1 with terephthaldehyde 7, malononitrile 3, and ammonium acetate in acetic acid under reflux furnished the bipyridine derivative 8 (Scheme 4).
Scheme 4.
Synthesis of bipyridine derivatives 8 and 9.
Similarly, the reaction of compound 1 with terephthaldehyde, ethyl acetoacetate 5, and ammonium acetate in acetic acid under reflux gave the respective bipyridinone 9 (Scheme 4). The structure of products 8 and 9 were confirmed by elemental analyses and spectral data (IR, 1HNMR, and MS) (see Section 3).
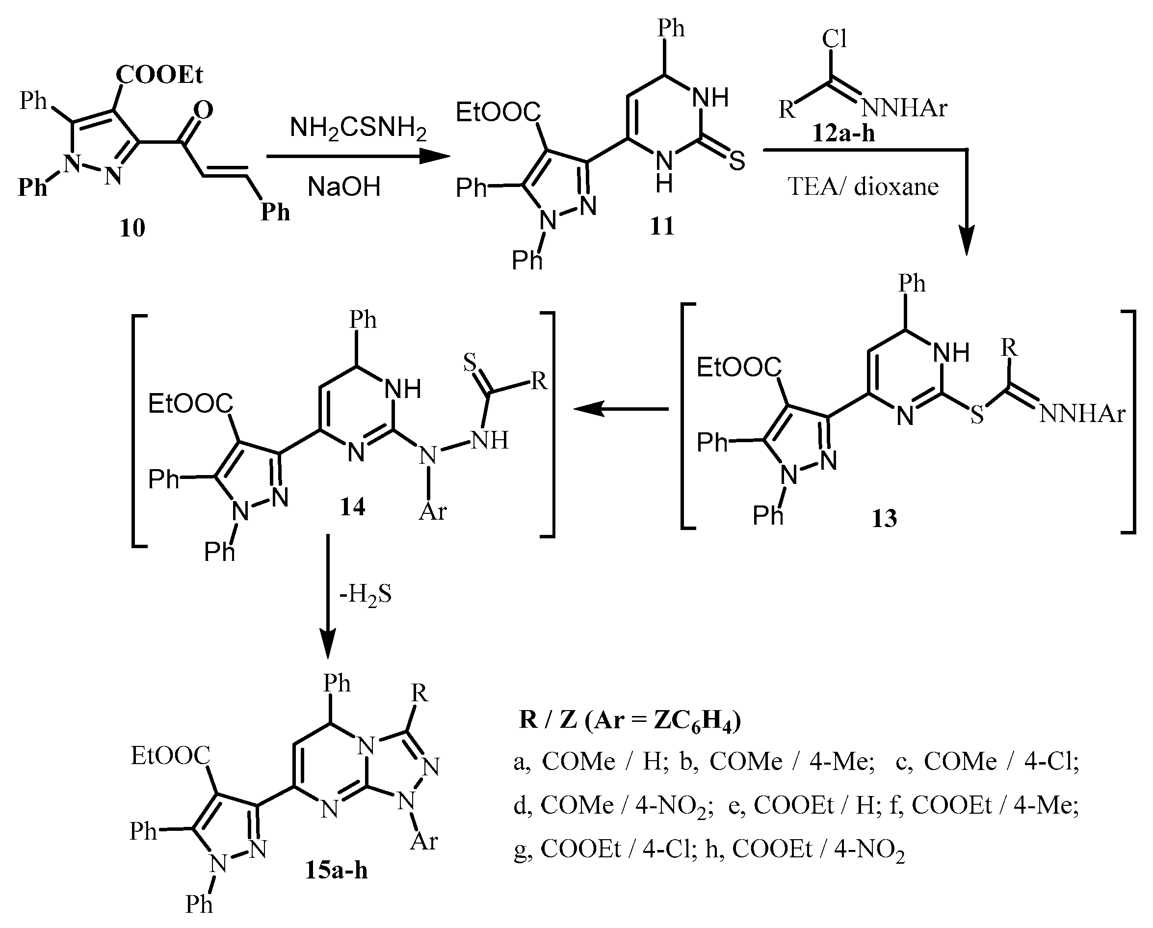
On the other hand, chalcone 10, prepared by the reaction of 1 with benzaldehyde in ethanol containing catalytic amounts of NaOH [54], was used for preparation of 6-(pyrazol-3-yl) pyrimidine-2-thione derivative 11 via its reaction with thiourea in ethanol containing a catalytic amount of sodium hydroxide [54]. Reaction of the latter compound 11 with a number of hydrazonoyl chlorides 12a–h [55] in dioxane in the presence of triethylamine afforded the respective products 15a–h through the non-isolated intermediates 13 and 14 (Scheme 5). The structure assigned for the products 15 was established via microanalytical and spectral data (see Section 3). For example, the IR spectra of product 15 revealed the absence of the pyrimidinyl-NH groups, and instead showed two absorption bands near υ 1706 and 1649 cm−1 assigned for the two carbonyl groups. Additionally, 1HNMR spectra of product 15 showed the absence of the signals attributed to the pyrimidinyl-NH protons and, instead, revealed the signals assigned for the acetyl protons (for 15a–d) or the ethoxycarbonyl protons (for 15e–h), in addition to the characteristic signals due to the ester and aromatic protons (see Section 3). The mass spectra of product 15 showed, in each case, the respective molecular ion peak, which is consistent with the assigned structure.
Scheme 5.
Synthesis of 1,2,4-triazolo[4,3-a]pyrimidines 15a–h.
2.2. Antitumor Activity
The cytotoxicity of the synthesized pyridines 4a,b,e and 6a,b,e was evaluated against the human liver carcinoma cell line (HepG2-1) using doxorubicin as a reference drug (IC50 value of doxorubicin = 0.08 ± 0.07 nM) and MTT assay. The data generated were used to plot a dose response curve of which the concentration of the tested compounds required to kill 50% of cell population (IC50) was determined. Cytotoxic activity was expressed as the mean IC50 of three independent experiments. The results are depicted in Table 1 and Figure 1.
Table 1.
IC50 values of tested compounds 4 and 6 ± standard deviation against HEPG2-1.
Figure 1.
Cytotoxic activities of tested compounds against HEPG2-1.
The results revealed that the descending order of the antitumor activity of the tested compounds against HEPG2-1cell line is as follow: 4b > 6b > 4a > 6a > 4e > 6e.
The pyridine derivatives 4b and 6b (IC50 = 1.9 ± 0.16 and 2.4 ± 0.29 nM, respectively) have promising antitumor activity against HEPG2-1. On the other hand, pyridine derivatives 4e and 6e have poor inhibitory activity (IC50 > 17 nM) compared with doxorubicin which used as reference drug.
Structural Activity Relationship SAR
Examination of the SAR led to the following conclusions:
The activity of the synthesized compounds 4 and 6 against hepatocellular carcinoma depends on the structural skeleton and electronic environment of the molecules. For example, the activity of the tested compounds 4a,b,e and 6a,b,e were found to be highly related to their structures since replacement of electron-donating groups in the two aryl groups in compounds 4b and 6b with electron-withdrawing groups in compounds 4e and 6e dramatically decreases their cytotoxicity against HEPG2-1. On the other hand, the cytotoxicity of compounds 4a and 6a whose structures contain two phenyl groups (no substituent), is intermediate between the highly-potent and the weakly-potent compounds (See Table 1).
3. Experimental
3.1. Chemistry
Melting points were measured on an Electrothermal IA 9000 series (Bibby Sci. Lim. Stone, Staffordshire, UK) digital melting point apparatus. The IR spectra were recorded in potassium bromide discs on a Pye Unicam SP 3300 (Cambridge, UK) and a Shimadzu FT IR 8101 PC infrared (Shimadzu, Tokyo, Japan) spectrophotometer. 1H-NMR spectra were recorded in deuterated dimethyl sulfoxide (DMSO-d6) using a Varian Gemini 300 NMR spectrometer (Varian, Inc., Karlsruhe, Germany). Mass spectra were recorded on a Shimadzu GCMS-QP1000 EX mass spectrometer (Tokyo, Japan) at 70 eV. Elemental analysis was carried out at the Microanalytical Centre of Cairo University, Giza, Egypt. All reactions were followed by TLC (Silica gel, Merck, Darmstadt, Germany).
3.1.1. Synthesis of Tetra-Substituted Pyridine Derivatives (4a–f and 6a–f)
General procedure: A mixture of ethyl 3-acetyl-1,5-diphenyl-1H-pyrazole-4-carboxylate (1) (0.334 g, 1 mmol), the appropriate aldehyde 2a–f (1 mmol) and malononitrile (3), or ethyl acetoacetate (5) (1 mmol) in glacial acetic acid (20 mL) containing ammonium acetate (0.616 g, 8 mmol) was refluxed for 6–8 h (monitored by TLC). After complete reaction, the mixture was cooled and the precipitated products were filtered, washed with water, dried, and crystallized from ethanol to give the pyridine derivatives 4a–f and 6a–f, respectively. Compounds 4a–f and 6a–f together with their physical and spectral data are listed below:
Ethyl 3-(6-amino-5-cyano-4-phenylpyridin-2-yl)-1,5-diphenyl-1H-pyrazole-4-carboxylate (4a). Brown solid, (70% yield), mp 169–171 °C; IR (KBr) νmax 3364, 3208 (NH2), 2218 (CN), 1715 (C=O) cm−1; 1H NMR (DMSO-d6) δ 1.02 (t, J = 7.2 Hz, 3H, CH3), 4.13 (q, J = 7.2 Hz, 2H, CH2), 6.93 (s, br, 2H, NH2), 7.18–7.90 (m, 15H, Ar-H), 8.11 (s, 1H, Pyridine-H5); MS m/z (%) 485 (M+, 14), 322 (47), 252 (29), 167 (38), 77 (52), 43 (100). Anal. Calcd. for C30H23N5O2 (485.55): C, 74.21; H, 4.77; N, 14.42. Found: C, 74.05; H, 4.52; N, 14.26%.
Ethyl 3-(6-amino-5-cyano-4-(p-tolyl)pyridin-2-yl)-1,5-diphenyl-1H-pyrazole-4-carboxylate (4b). Brown solid, (72% yield), mp 180–182 °C; IR (KBr) νmax 3379, 3211 (NH2), 2210 (CN), 1712 (C=O) cm−1; 1H NMR (DMSO-d6) δ 1.01 (t, J = 7.2 Hz, 3H, CH3), 2.36 (s, 3H, CH3), 4.12 (q, J = 7.2 Hz, 2H, CH2), 6.92 (s, br, 2H, NH2), 7.14–7.94 (m, 14H, Ar-H), 8.15 (s, 1H, Pyridine-H5); MS m/z (%) 499 (M+, 15), 468 (32), 364 (39), 209 (42), 104 (38), 78 (72), 43 (100). Anal. Calcd. for C31H25N5O2 (499.57): C, 74.53; H, 5.04; N, 14.02. Found: C, 74.37; H, 5.00; N, 13.85%.
Ethyl 3-(6-amino-5-cyano-4-(4-methoxyphenyl)pyridin-2-yl)-1,5-diphenyl-1H-pyrazole-4-carboxylate (4c). Pale green solid, (68% yield), mp 154–156 °C; IR (KBr) νmax 3367, 3219 (NH2), 2210 (CN), 1714 (C=O) cm−1; 1H NMR (DMSO-d6) δ 1.02 (t, J = 7.2 Hz, 3H, CH3), 3.78 (s, 3H, OCH3), 4.15 (q, J = 7.2 Hz, 2H, CH2), 6.93 (s, br, 2H, NH2), 7.18–7.80 (m, 14H, Ar-H), 8.12 (s, 1H, Pyridine-H5); MS m/z (%) 515 (M+, 9), 452 (42), 316 (100), 234 (51), 182 (37), 118 (50), 76 (66). Anal. Calcd. for C31H25N5O3 (515.57): C, 72.22; H, 4.89; N, 13.58. Found: C, 72.01; H, 4.77; N, 13.30%.
Ethyl 3-(6-amino-5-cyano-4-(4-(dimethylamino)phenyl)pyridin-2-yl)-1,5-diphenyl-1H-pyrazole-4-carboxylate (4d). Dark yellow solid, (73% yield), mp 150–152 °C; IR (KBr) νmax 3431, 3212 (NH2), 2210 (CN), 1709 (C=O) cm−1; 1H NMR (DMSO-d6) δ 1.01 (t, J = 7.2 Hz, 3H, CH3), 2.97 (s, 6H, 2CH3), 4.11 (q, J = 7.2 Hz, 2H, CH2), 6.82 (s, br, 2H, NH2), 7.14–7.82 (m, 14H, Ar-H), 8.10 (s, 1H, Pyridine-H5); MS m/z (%) 528 (M+, 14), 416 (80), 212 (100), 170 (27), 105 (48), 76 (63). Anal. Calcd. for C32H28N6O2 (528.62): C, 72.71; H, 5.34; N, 15.90. Found: C, 72.59; H, 5.30; N, 15.73%.
Ethyl 3-(6-amino-4-(4-chlorophenyl)-5-cyanopyridin-2-yl)-1,5-diphenyl-1H-pyrazole-4-carboxylate (4e). Dark yellow solid, (76% yield), mp 181–183 °C; IR (KBr) νmax 3362, 3218 (NH2), 2213 (CN), 1712 (C=O) cm−1; 1H NMR (DMSO-d6) δ 1.02 (t, J = 7.2 Hz, 3H, CH3), 4.14 (q, J = 7.2 Hz, 2H, CH2), 6.98 (s, br, 2H, NH2), 7.17–7.84 (m, 14H, Ar-H), 8.17 (s, 1H, Pyridine-H5); MS m/z (%) 521 (M+, 23), 519 (M+, 8), 397 (32), 316 (60), 191 (55), 127 (51), 85 (47), 57 (100). Anal. Calcd. for C30H22ClN5O2 (519.99): C, 69.30; H, 4.26; N, 13.47. Found: C, 69.16; H, 4.18; N, 13.28%.
Ethyl 3-(6-amino-5-cyano-4-(2,4-dichlorophenyl)pyridin-2-yl)-1,5-diphenyl-1H-pyrazole-4-carboxylate (4f). Yellow solid, (75% yield), mp 197–199 °C; IR (KBr) νmax 3367, 3215 (NH2), 2214 (CN), 1714 (C=O) cm−1; 1H NMR (DMSO-d6) δ 1.04 (t, J = 7.2 Hz, 3H, CH3), 4.15 (q, J = 7.2 Hz, 2H, CH2), 7.06 (s, br, 2H, NH2), 7.28–7.85 (m, 13H, Ar-H), 8.14 (s, 1H, Pyridine-H5); MS m/z (%) 554 (M+, 100), 316 (77), 281 (41), 193 (71), 105 (33), 58 (72). Anal. Calcd. for C30H21Cl2N5O2 (554.43): C, 64.99; H, 3.82; N, 12.63. Found: C, 64.80; H, 3.61; N, 12.44%.
Ethyl 3-(5-acetyl-6-oxo-4-phenyl-1,6-dihydropyridin-2-yl)-1,5-diphenyl-1H-pyrazole-4-carboxylate (6a). Brown solid, (68% yield), mp 186–188 °C; IR (KBr) νmax 3367 (NH), 1722, 1690, 1657 (3C=O) cm−1; 1H NMR (DMSO-d6) δ 1.03 (t, J = 7.2 Hz, 3H, CH3), 2.58 (s, 3H, CH3), 4.12 (q, J = 7.2 Hz, 2H, CH2), 7.24–7.49 (m, 15H, Ar-H), ), 7.77 (s, 1H, Pyridine-H5), 9.63 (s, br, 1H, NH); MS m/z (%) 503 (M+, 48), 458 (27), 334 (52), 232 (46), 99 (54), 57 (68), 43 (100). Anal. Calcd. for C31H25N3O4 (503.56): C, 73.94; H, 5.00; N, 8.34. Found: C, 73.73; H, 4.86; N, 8.17%.
Ethyl 3-(5-acetyl-6-oxo-4-(p-tolyl)-1,6-dihydropyridin-2-yl)-1,5-diphenyl-1H-pyrazole-4-carboxylate (6b). Brown solid, (66% yield), mp 134–136 °C; IR (KBr) νmax 3409 (NH), 1718, 1681, 1662 (3C=O) cm−1; 1H NMR (DMSO-d6) δ 1.02 (t, J = 7.2 Hz, 3H, CH3), 2.35 (s, 3H, CH3), 2.56 (s, 3H, CH3), 4.11 (q, J = 7.2 Hz, 2H, CH2), 7.19–7.49 (m, 14H, Ar-H), ), 7.79 (s, 1H, Pyridine-H5), 9.81 (s, br, 1H, NH); MS m/z (%) 517(M+, 23), 385 (33), 294 (38), 147 (50), 120 (100), 76 (62). Anal. Calcd. for C32H27N3O4 (517.59): C, 74.26; H, 5.26; N, 8.12. Found: C, 74.20; H, 5.14; N, 8.03%.
Ethyl 3-(5-acetyl-4-(4-methoxyphenyl)-6-oxo-1,6-dihydropyridin-2-yl)-1,5-diphenyl-1H-pyrazole-4-carboxylate (6c). Pale brown solid, (67% yield), mp 141–143 °C; IR (KBr) νmax 3423 (NH), 1715, 1687, 1660 (3C=O) cm−1; 1H NMR (DMSO-d6) δ 1.00 (t, J = 7.2 Hz, 3H, CH3), 2.57 (s, 3H, CH3), 3.77 (s, 3H, OCH3), 4.01 (q, J = 7.2 Hz, 2H, CH2), 7.16–7.54 (m, 14H, Ar-H), ), 7.74 (s, 1H, Pyridine-H5), 9.80 (s, br, 1H, NH); MS m/z (%) 533 (M+, 14), 423 (37), 313 (51), 279 (100), 105 (36), 76 (43). Anal. Calcd. for C32H27N3O5 (533.58): C, 72.03; H, 5.10; N, 7.88. Found: C, 71.85; H, 5.02; N, 7.63%.
Ethyl 3-(5-acetyl-4-(4-(dimethylamino)phenyl)-6-oxo-1,6-dihydropyridin-2-yl)-1,5-diphenyl-1H-pyrazole-4-carboxylate (6d). Brown solid, (69% yield), mp 141–143 °C; IR (KBr) νmax 3425 (NH), 1721, 1682, 1657 (3C=O) cm−1; 1H NMR (DMSO-d6) δ 1.00 (t, J = 7.2 Hz, 3H, CH3), 2.58 (s, 3H, CH3), 2.99 (s, 6H, 2CH3), 4.11 (q, J = 7.2 Hz, 2H, CH2), 6.78–7.39 (m, 14H, Ar-H), 7.72 (s, 1H, Pyridine-H5), 9.73 (s, br, 1H, NH); MS m/z (%) 546 (M+, 14), 406 (36), 349 (55), 241 (49), 121 (36), 76 (30), 43 (100). Anal. Calcd. for C33H30N4O4 (546.63): C, 72.51; H, 5.53; N, 10.25. Found: C, 72.39; H, 5.38; N, 10.02%.
Ethyl 3-(5-acetyl-4-(4-chlorophenyl)-6-oxo-1,6-dihydropyridin-2-yl)-1,5-diphenyl-1H-pyrazole-4-carboxylate (6e). Brown solid, (68% yield), mp 170–172 °C; IR (KBr) νmax 3366 (NH), 1720, 1680, 1663 (3C=O) cm−1; 1H NMR (DMSO-d6) δ 1.06 (t, J = 7.2 Hz, 3H, CH3), 2.58 (s, 3H, CH3), 4.14 (q, J = 7.2 Hz, 2H, CH2), 7.24–7.59 (m, 14H, Ar-H), 7.78 (s, 1H, Pyridine-H5), 10.06 (s, br, 1H, NH); MS m/z (%) 540 (M+ + 2, 1), 538 (M+, 3), 368 (53), 214 (100), 120 (55), 40 (79). Anal. Calcd. for C31H24ClN3O4 (538.00): C, 69.21; H, 4.50; N, 7.81. Found: C, 69.46; H, 4.35; N, 7.66%.
Ethyl 3-(5-acetyl-4-(2,4-dichlorophenyl)-6-oxo-1,6-dihydropyridin-2-yl)-1,5-diphenyl-1H-pyrazole-4-carboxylate (6f). Brown solid, (69% yield), mp 197–199 °C; IR (KBr) νmax 3414 (NH), 1720, 1683, 1659 (3C=O) cm−1; 1H NMR (DMSO-d6) δ 1.09 (t, J = 7.2 Hz, 3H, CH3), 2.61 (s, 3H, CH3), 4.15 (q, J = 7.2 Hz, 2H, CH2), 7.26–7.52 (m, 13H, Ar-H), 7.76 (s, 1H, Pyridine-H5), 10.24 (s, br, 1H, NH); MS m/z (%) 572 (M+, 12), 388 (64), 256 (44), 207 (67), 125 (50), 83 (42), 55 (100). Anal. Calcd. for C31H23Cl2N3O4 (572.44): C, 65.04; H, 4.05; N, 7.34. Found: C, 65.24; H, 4.02; N, 7.16%.
3.1.2. Synthesis of Bipyridine Derivatives 8 and 9
A mixture of 3-acetylpyrazole derivative 1 (0.668 g, 2 mmol), terephthalaldehyde 7 (0.134 g, 1 mmol), and malononitrile 3 or ethyl acetoacetate 5 (2 mmol) in acetic acid (30 mL) containing ammonium acetate (1.232 g, 16 mmol) was refluxed for 8 h. After cooling the reaction mixture it was poured into an ice-water mixture, the formed a precipitate that was collected by filtration, then crystallized from dioxane to give the bipyridine products 8 and 9, respectively.
Diethyl 3,3′-(1,4-phenylenebis(6-amino-5-cyanopyridine-4,2-diyl))bis(1,5-diphenyl-1H-pyrazole-4-carboxylate) (8). Brown solid, (68% yield), mp 187–189 °C; IR (KBr) νmax 3378, 3201 (NH2), 2211 (CN), 1709 (C=O) cm−1; 1H NMR (DMSO-d6) δ 1.03 (t, J = 7.2 Hz, 6H, 2CH3), 4.14 (q, J = 7.2 Hz, 4H, 2CH2), 6.93 (s, br, 4H, 2NH2), 7.18–7.49 (m, 20H, Ar-H), 7.85 (s, 4H, Ar-H), 8.10 (s, 2H, 2Pyridine-H3); MS m/z (%) 892 (M+, 39), 724 (48), 622 (63), 368 (39), 82 (60), 76 (57), 43 (100). Anal. Calcd. for C54H40N10O4 (892.98): C, 72.63; H, 4.52; N, 15.69. Found: C, 72.69; H, 4.36; N, 15.47%.
Diethyl 3,3′-(1,4-phenylenebis(5-acetyl-6-oxo-1,6-dihydropyridine-4,2-diyl))bis(1,5-diphenyl-1H-pyrazole-4-carboxylate) (9). Brown solid, (66% yield), mp 207–209 °C; IR (KBr) νmax 3423 (NH), 1723, 1677, 1653 (3C=O) cm−1; 1H NMR (DMSO-d6) δ 1.11 (t, J = 7.2 Hz, 6H, 2CH3), 2.58 (s, 6H, 2CH3), 4.14 (q, J = 7.2 Hz, 4H, 2CH2), 7.24–7.48 (m, 20H, Ar-H), ), 7.77 (s, 2H, 2Pyridine-H3), 7.81 (s, 4H, Ar-H), 10.06 (s, br, 2H, 2NH); MS m/z (%) 929 (M+, 17), 776 (41), 509 (37), 386 (55), 267 (40), 148 (32), 77 (100), 43 (68). Anal. Calcd. for C56H44N6O8 (929.00): C, 72.40; H, 4.77; N, 9.05. Found: C, 72.17; H, 4.62; N, 9.01%.
3.1.3. Synthesis of 1,5-Diphenyl-1,5-dihydro-[1,2,4]triazolo[4,3-a]pyrimidine derivatives 15a–h
General procedure: Triethylamine (0.14 mL, 1 mmol) was added to a mixture of equimolar amounts of thione 11 (0.480 g, 1 mmol) and the appropriate hydrazonoyl halides 12a–h (1 mmol) in dioxane (20 mL) at room temperature. The reaction mixture was then refluxed for 10–15 h until all hydrogen sulfide gas stopped evolving. The solid that formed after concentration of the reaction mixture was filtered and crystallized from the proper solvent to give the products 15a–h, respectively.
Ethyl 3-(3-acetyl-1,5-diphenyl-1,5-dihydro-[1,2,4]triazolo[4,3-a]pyrimidin-7-yl)-1,5-diphenyl-1H-pyrazole-4-carboxylate (15a). Yellow solid, (74% yield), mp 233–235 °C (DMF); IR (KBr) νmax 3026, 2956 (C-H), 1706, 1649 (2C=O), 1595 (C=N) cm−1; 1H NMR (DMSO-d6) δ 1.15 (t, J = 7.2 Hz, 3H, CH3), 2.43 (s, 3H, CH3), 4.19 (q, J = 7.2 Hz, 2H, CH2), 5.33 (d, J = 4 Hz, 1H, CH), 6.62 (d, J = 4Hz, 1H, CH), 7.03–7.80 (m, 20H, Ar-H); MS m/z (%) 606 (M+, 5),406 (36), 287 (29), 247 (75), 194 (37), 92 (71), 65 (60), 43 (100). Anal. Calcd. for C37H30N6O3 (606.69): C, 73.25; H, 4.98; N, 13.85. Found: C, 73.07; H, 4.84; N, 13.67%.
Ethyl 3-(3-acetyl-5-phenyl-1-(p-tolyl)-1,5-dihydro-[1,2,4]triazolo[4,3-a]pyrimidin-7-yl)-1,5-diphenyl-1H-pyrazole-4-carboxylate (15b). Yellow solid, (72% yield), mp 211–213 °C (DMF); IR (KBr) νmax 3030, 2951 (C-H), 1697, 1642 (2C=O), 1597 (C=N) cm−1; 1H NMR (DMSO-d6) δ 1.04 (t, J = 7.2 Hz, 3H, CH3), 2.24 (s, 3H, CH3), 2.44 (s, 3H, CH3), 4.16 (q, J = 7.2 Hz, 2H, CH2), 5.32 (d, J = 4 Hz, 1H, CH), 6.61 (d, J = 4Hz, 1H, CH), 7.05–7.73 (m, 19H, Ar-H); MS m/z (%) 620 (M+, 7), 498 (27), 390 (35), 285 (60), 105 (41), 77 (100), 43 (92). Anal. Calcd. for C38H32N6O3 (620.71): C, 73.53; H, 5.20; N, 13.54. Found: C, 73.39; H, 5.38; N, 13.36%.
Ethyl 3-(3-acetyl-1-(4-chlorophenyl)-5-phenyl-1,5-dihydro-[1,2,4]triazolo[4,3-a]pyrimidin-7-yl)-1,5-diphenyl-1H-pyrazole-4-carboxylate (15c). Yellow solid, (74% yield), mp 242–244 °C (DMF/EtOH); IR (KBr) νmax 3028, 2963 (C-H), 1707, 1641 (2C=O), 1597 (C=N) cm−1; 1H NMR (DMSO-d6) δ 1.02 (t, J = 7.2 Hz, 3H, CH3), 2.44 (s, 3H, CH3), 4.15 (q, J = 7.2 Hz, 2H, CH2), 5.36 (d, J = 4 Hz, 1H, CH), 6.69 (d, J = 4Hz, 1H, CH), 7.27–7.70 (m, 19H, Ar-H); MS m/z (%) 643 (M+ + 2, 4), 641 (M+, 13), 499 (57), 322 (39), 180 (28), 105 (35), 77 (100). Anal. Calcd. for C37H29ClN6O3 (641.13): C, 69.32; H, 4.56; N, 13.11. Found: C, 69.19; H, 4.51; N, 13.00%.
Ethyl 3-(3-acetyl-1-(4-nitrophenyl)-5-phenyl-1,5-dihydro-[1,2,4]triazolo[4,3-a]pyrimidin-7-yl)-1,5-diphenyl-1H-pyrazole-4-carboxylate (15d). Yellow solid, (75% yield), mp 204–206 °C (EtOH); IR (KBr) νmax 3031, 2950 (C-H), 1712, 1656 (2C=O), 1598 (C=N) cm−1; 1H NMR (DMSO-d6) δ 1.02 (t, J = 7.2 Hz, 3H, CH3), 2.47 (s, 3H, CH3), 4.15 (q, J = 7.2 Hz, 2H, CH2), 5.39 (d, J = 4 Hz, 1H, CH), 6.72 (d, J = 4Hz, 1H, CH), 7.24–8.52 (m, 19H, Ar-H); MS m/z (%) 651 (M+, 26), 484 (48), 400 (71), 252 (39), 179 (42), 105 (100), 57 (83). Anal. Calcd. for C37H29N7O5 (651.68): C, 68.19; H, 4.49; N, 15.05. Found: C, 68.04; H, 4.33; N, 14.92%.
Ethyl 7-(4-(ethoxycarbonyl)-1,5-diphenyl-1H-pyrazol-3-yl)-1,5-diphenyl-1,5-dihydro-[1,2,4]triazolo[4,3-a]pyrimidine-3-carboxylate (15e). Yellow solid, (72% yield), mp 180–182 °C (DMF/EtOH); IR (KBr) νmax 3056, 2973 (C-H), 1713, 1679 (2C=O), 1596 (C=N) cm−1; 1H NMR (DMSO-d6) δ 1.04 (t, J = 7.2 Hz, 3H, CH3), 1.26 (t, J = 7.6 Hz, 3H, CH3), 4.14 (q, J = 7.2 Hz, 2H, CH2), 4.26 (q, J = 7.6 Hz, 2H, CH2), 5.46 (d, J = 4 Hz, 1H, CH), 6.47 (d, J = 4Hz, 1H, CH), 6.96–7.79 (m, 20H, Ar-H); MS m/z (%) 636 (M+, 9), 394 (51), 283 (33), 235 (49), 194 (62), 83 (53), 57 (100). Anal. Calcd. for C38H32N6O4 (636.71): C, 71.68; H, 5.07; N, 13.20. Found: C, 71.62; H, 5.01; N, 13.03%.
Ethyl 7-(4-(ethoxycarbonyl)-1,5-diphenyl-1H-pyrazol-3-yl)-5-phenyl-1-(p-tolyl)-1,5-dihydro-[1,2,4]triazolo[4,3-a]pyrimidine-3-carboxylate (15f). Yellow solid, (73% yield), mp 172–174 °C (EtOH); IR (KBr) νmax 3052, 2955 (C-H), 1710, 1699 (2C=O), 1595 (C=N) cm−1; 1H NMR (DMSO-d6) δ 1.02 (t, J = 7.2 Hz, 3H, CH3), 1.23 (t, J = 7.6 Hz, 3H, CH3), 2.30 (s, 3H, CH3), 4.10 (q, J = 7.2 Hz, 2H, CH2), 4.26 (q, J = 7.6 Hz, 2H, CH2), 5.39 (d, J = 4 Hz, 1H, CH), 6.45 (d, J = 4Hz, 1H, CH), 7.12–7.76 (m, 19H, Ar-H); MS m/z (%) 650 (M+, 6), 439 (44), 361 (30), 244 (57), 104 (100), 91 (48), 43 (60). Anal. Calcd. for C39H34N6O4 (650.74): C, 71.98; H, 5.27; N, 12.91. Found: C, 71.75; H, 5.19; N, 12.74%.
Ethyl 1-(4-chlorophenyl)-7-(4-(ethoxycarbonyl)-1,5-diphenyl-1H-pyrazol-3-yl)-5-phenyl-1,5-dihydro-[1,2,4]triazolo[4,3-a]pyrimidine-3-carboxylate (15g). Yellow solid, (75% yield), mp 188–190 °C (DMF/EtOH); IR (KBr) νmax 3037, 2966 (C-H), 1713, 1667 (2C=O), 1597 (C=N) cm−1; 1H NMR (DMSO-d6) δ 1.05 (t, J = 7.2 Hz, 3H, CH3), 1.19 (t, J = 7.6 Hz, 3H, CH3), 4.13 (q, J = 7.2 Hz, 2H, CH2), 4.24 (q, J = 7.6 Hz, 2H, CH2), 5.42 (d, J = 4 Hz, 1H, CH), 6.47 (d, J = 4Hz, 1H, CH), 7.25–7.79 (m, 19H, Ar-H); MS m/z (%) 673 (M+ + 2, 11), 671 (M+, 36), 387 (100), 324 (68), 278 (50), 105 (42), 78 (83). Anal. Calcd. for C38H31ClN6O4 (671.15): C, 68.00; H, 4.66; N, 12.52. Found: C, 68.25; H, 4.40; N, 12.46%.
Ethyl 7-(4-(ethoxycarbonyl)-1,5-diphenyl-1H-pyrazol-3-yl)-1-(4-nitrophenyl)-5-phenyl-1,5-dihydro-[1,2,4]triazolo[4,3-a]pyrimidine-3-carboxylate (15h). Brown solid, (71% yield), mp 206–208 °C (EtOH); IR (KBr) νmax 3030, 2948 (C-H), 1713, 1644 (2C=O), 1593 (C=N) cm−1; 1H NMR (DMSO-d6) δ 1.07 (t, J = 7.2 Hz, 3H, CH3), 1.25 (t, J = 7.6 Hz, 3H, CH3), 4.12 (q, J = 7.2 Hz, 2H, CH2), 4.27 (q, J = 7.6 Hz, 2H, CH2), 5.46 (d, J = 4 Hz, 1H, CH), 6.49 (d, J = 4Hz, 1H, CH), 7.25–8.42 (m, 19H, Ar-H); MS m/z (%) 681 (M+, 31), 577 (73), 390 (66), 327 (95), 115 (100), 83 (52). Anal. Calcd. for C38H31N7O6 (681.71): C, 66.95; H, 4.58; N, 14.38. Found: C, 66.77; H, 4.42; N, 14.23%.
3.2. Cytotoxic Activity
The cytotoxic evaluation of the synthesized compounds was carried out at the Regional Center for Mycology and Biotechnology at Al-Azhar University, Cairo, Egypt according to the reported method [56].
4. Conclusions
Two series of functionalized pyrazolyl-pyridines were prepared by multi-component reaction of 3-acetylpyrazole derivative with the appropriate aldehyde, malononitrile (or ethyl acetoacetate) in acetic acid in the presence of excess ammonium acetate. The mechanism of formation of the novel products was also discussed. Additionally, two novel bipyridine derivatives were synthesized by the above described reaction and under the same reaction conditions using terephthaldehyde in lieu of benzaldeyde derivatives. Another series of 1,2,4-triazole[4,3-a]pyrimidines, including a pyrazole moiety, was prepared by the reaction of a pyrazolylpyrimidine-2-thione derivative with a variety of hydrazonoyl chlorides under reflux in dioxane in the presence of triethylamine. The assigned structure for the products was elucidated based on elemental analyses and spectral data (IR, 1HNMR, MS). Moreover, the novel pyrazolyl-pyridines were tested for their reactivity as antitumor agents and the results obtained revealed high potency of some of them against HEPG2-1 compared with doxorubicin used as the reference drug.
Acknowledgments
The authors extend their sincere appreciation to the Deanship of Scientific Research at the King Saud University for its funding this Prolific Research group (PRG-1437-29).
Author Contributions
Magda A. Abdallah, Sobhi M. Gomha, and Ikhlass M. Abbas designed research; Mariam S. H. Kazem, Seham S. Alterary and Yahia N. Mabkhot performed the research, analyzed the data, wrote the paper, and approved the final manuscript.
Conflicts of Interest
The authors declare no conflict of interests.
References
- Kam, D.; Kim, K.; Kim, H.-S.; Liu, H.K. Studies on film formation on cathodes using pyrazole derivatives as electrolyte additives in the Li-ion battery. Electrochem. Commun. 2009, 11, 1657–1660. [Google Scholar] [CrossRef]
- Keter, F.K.; Darkwa, J. Perspective: The potential of pyrazole-based compounds in medicine. Biometals 2012, 25, 9–21. [Google Scholar] [CrossRef] [PubMed]
- Yutilov, Y.M.; Smolyar, N.N.; Minkina, L.V. Synthesis of 3-(3′′-Aminobenzoylamido)-1-(2′,4′,6′-trichlorophenyl)pyrazol-5-one, an intermediate in the synthesis of the purple component of color photographic materials. Russ. J. Appl. Chem. 2005, 78, 278–280. [Google Scholar] [CrossRef]
- Tingle, C.C.; Rother, J.A.; Dewhurst, C.F.; Lauer, S.; King, W.J. Fipronil: Environmental fate, ecotoxicology, and human health concerns. Rev. Environ. Contam. Toxicol. 2003, 176, 1–66. [Google Scholar] [PubMed]
- Metwally, M.A.; Abdel-Galil, E.; Metwally, A.; Amer, F.A. New azodisperse dyes with thiazole, thiophene, pyridone and pyrazolone moiety for dyeing polyester fabrics. Dyes Pigment. 2012, 92, 902–908. [Google Scholar] [CrossRef]
- Aly, H.M.; El-Gazzar, M.G. Novel pyrazole derivatives as anticancer and radiosensitizing agents. Arzneimittelforschung 2012, 62, 105–112. [Google Scholar] [CrossRef] [PubMed]
- Puthiyapurayil, P.; Poojary, B.; Chikkanna, C.; Buridipad, S.K. Design, synthesis and biological evaluation of a novel series of 1,3,4-oxadiazole bearing N-methyl-4-(trifluoromethyl) phenyl pyrazole moiety as cytotoxic agents. Eur. J. Med. Chem. 2012, 53, 203–210. [Google Scholar] [CrossRef] [PubMed]
- Hassan, G.S.; Kadry, H.H.; Abou-Seri, S.M.; Ali, M.M.; Mahmoud, A.E. Synthesis and in vitro cytotoxic activity of novel pyrazolo[3,4-d]pyrimidines and related pyrazole hydrazones toward breast adenocarcinoma MCF-7 cell line. Bioorg. Med. Chem. 2011, 19, 6808–6817. [Google Scholar] [CrossRef] [PubMed]
- El-Zahar, M.I.; El-Karim, S.S.A.; Haiba, M.E.; Khedr, M.A. Synthesis, antitumor activity and molecular docking study of novel benzofuran-2-yl pyrazole pyrimidine derivatives. Acta Pol. Pharm. 2011, 68, 357–373. [Google Scholar] [PubMed]
- El-Gamal, M.I.; Sim, T.B.; Hong, J.H.; Cho, J.-H.; Yoo, K.H.; Oh, C.-H. Synthesis of 1H-pyrazole-1-carboxamide derivatives and their antiproliferative activity against melanoma cell line. Arch. Pharm. 2011, 344, 197–204. [Google Scholar] [CrossRef] [PubMed]
- Sharshira, E.M.; Hamada, N.M.M. Synthesis and antimicrobial evaluation of some pyrazole derivatives. Molecules 2012, 17, 4962–4971. [Google Scholar] [CrossRef] [PubMed]
- Ragavan, R.V.; Vijayakumar, V.; Kumari, N.S. Synthesis and antimicrobial activities of novel 1,5-diaryl pyrazoles. Eur. J. Med. Chem. 2010, 45, 1173–1180. [Google Scholar] [CrossRef] [PubMed]
- Ouyang, G.; Chen, Z.; Cai, X.-J.; Song, B.-A.; Bhadury, P.S.; Yang, S.; Jin, L.-H.; Xue, W.; Hu, D.-Y.; Zeng, S. Synthesis and antiviral activity of novel pyrazole derivatives containing oxime esters group. Bioorg. Med. Chem. 2008, 16, 9699–9707. [Google Scholar] [CrossRef] [PubMed]
- Sanchez-Moreno, M.; Gomez-Contreras, F.; Navarro, P.; Marin, C.; Ramirez-Macias, I.; Olmo, F.; Sanz, A.M.; Campayo, L.; Cano, C.; Yunta, M.J. In vitro leishmanicidal activity of imidazole- or pyrazole-based benzo[g]phthalazine derivatives against Leishmania infantum and Leishmania braziliensis species. J. Antimicrob. Chemoth. 2012, 67, 387–397. [Google Scholar] [CrossRef] [PubMed]
- El-Din, M.M.M.; Senbel, A.M.; Bistawroos, A.A.; El-Mallah, A.; El-Din, N.A.N.; Bekhit, A.A.; El Razik, H.A.A. A novel COX-2 inhibitor pyrazole derivative proven effective as an anti-inflammatory and analgesic drug. Basic Clin. Pharmacol. 2011, 108, 263–273. [Google Scholar] [CrossRef] [PubMed]
- Raffa, D.; Migliara, O.; Maggio, B.; Plescia, F.; Cascioferro, S.; Cusimano, M.G.; Tringali, G.; Cannizzaro, C.; Plescia, F. Pyrazolobenzotriazinone derivatives as COX inhibitors: Synthesis, biological activity, and molecularmodeling studies. Arch. Pharm. Chem. Life Sci. 2010, 10, 631–638. [Google Scholar] [CrossRef] [PubMed]
- Tomazetti, J.; Avila, D.S.; Ferreira, A.P.; Martins, J.S.; Souza, F.R.; Royer, C. Baker yeast-induced fever in young rats: Characterization and validation of an animal model for antipyretics screening. J. Neurosci. Methods 2005, 147, 29–35. [Google Scholar] [CrossRef] [PubMed]
- Dekhane, D.V.; Pawar, S.S.; Gupta, S.; Shingare, M.S.; Patil, C.R.; Thore, S.N. Synthesis and anti-inflammatory activity of some new 4,5-dihydro-1,5-diaryl-1H-pyrazole-3-substituted-heteroazole derivatives. Bioorg. Med. Chem. Lett. 2011, 21, 6527–6532. [Google Scholar] [CrossRef] [PubMed]
- Agrawal, R.; Jain, P.; Dikshit, S.N. Apixaban: A new player in the anticoagulant class. Curr. Drug Targets 2012, 13, 863–875. [Google Scholar] [CrossRef] [PubMed]
- Backhouse, K.; Sarac, I.; Shojaee-Moradie, F.; Stolinski, M.; Robertson, M.D.; Frost, G.S.; Bell, J.D.; Thomas, E.L.; Wright, J.; Russell-Jones, D.; et al. Fatty acid flux and oxidation are increased by rimonabant in obese women. Metabolis 2012, 61, 1220–1223. [Google Scholar] [CrossRef] [PubMed]
- Ranu, B.C.; Jana, R.; Sowmiah, S. An improved procedure for the three-component synthesis of highly substituted pyridines using ionic liquid. J. Org. Chem. 2007, 72, 3152–3154. [Google Scholar] [CrossRef] [PubMed]
- Abbas, I.M.; Gomha, S.M.; Elaasser, M.M.; Bauomi, M.A. Synthesis and biological evaluation of new pyridines containing imidazole moiety as antimicrobial and anticancer agents. Turk. J. Chem. 2015, 39, 334–346. [Google Scholar] [CrossRef]
- Xu, W.C.; Zhou, Q.; Ashendel, C.L.; Chang, C.T.; Chang, C.J. Novel protein kinase C inhibitors: Synthesis and PKC inhibition of β-substituted polythiophene derivatives. Bioorg. Med. Chem. Lett. 1999, 9, 2279–2282. [Google Scholar] [CrossRef]
- Zhao, L.X.; Moon, Y.S.; Basnet, A.; Kim, E.K.; Jahng, Y.; Park, J.G.; Jeong, T.C.; Cho, W.J.; Choi, S.U.; Lee, C.O.; et al. The discovery and synthesis of novel adenosine receptor (A2A) antagonists. Bioorg. Med. Chem. Lett. 2004, 14, 1333–1336. [Google Scholar] [CrossRef] [PubMed]
- Zhao, L.X.; Sherchan, J.; Park, J.K.; Jahng, Y.; Jeong, B.S.; Jeong, T.C.; Lee, C.S.; Lee, E.S. Synthesis, cytotoxicity and structure-activity relationship study of terpyridines. Arch. Pharm. Res. 2006, 29, 1091–1095. [Google Scholar] [CrossRef] [PubMed]
- Son, J.K.; Zhao, L.X.; Basnet, A.; Thapa, P.; Karki, R.; Na, Y.; Jahng, Y.; Jeong, T.C.; Jeong, B.S.; Lee, C.S.; et al. Synthesis of 2,6-diaryl-substituted pyridines and their antitumor activities. Eur. J. Med. Chem. 2008, 43, 675–682. [Google Scholar] [CrossRef] [PubMed]
- Thapa, P.; Karki, R.; Choi, H.Y.; Choi, J.H.; Yun, M.; Jeong, B.S.; Jung, M.J.; Nam, J.M.; Na, Y.; Cho, W.J.; et al. Synthesis of 2-(thienyl-2-yl or -3-yl)-4-furyl-6-aryl pyridine derivatives and evaluation of their topoisomerase I and II inhibitory activity, cytotoxicity, and structure–activity relationship. Bioorg. Med. Chem. 2010, 18, 2245–2254. [Google Scholar] [CrossRef] [PubMed]
- Jeong, B.S.; Choi, H.Y.; Thapa, P.; Karki, R.; Lee, E.; Nam, J.M.; Na, Y.; Ha, E.-M.; Kwon, Y.; Lee, E.S. Synthesis, Topoisomerase I and II Inhibitory activity, cytotoxicity, and structure-activity relationship study of rigid analogues of 2,4,6-trisubstituted pyridine containing 5,6-dihydrobenzo[h]quinoline moiety. Bull. Korean Chem. Soc. 2011, 32, 303–306. [Google Scholar] [CrossRef]
- Eryazici, I.; Moorefield, C.N.; Newkome, G.R. Square-Planar Pd(II), Pt(II), and Au(III) Terpyridine Complexes: Their Syntheses, Physical Properties, Supramolecular Constructs, and Biomedical Activities. Chem. Rev. 2008, 108, 1834–1895. [Google Scholar] [CrossRef] [PubMed]
- Patel, K.K.; Plummer, E.A.; Darwish, M.; Rodger, A.; Hannon, M.J. Aryl substituted ruthenium bis-terpyridine complexes: Intercalation and groove binding with DNA. J. Inorg. Biochem. 2002, 91, 220–229. [Google Scholar] [CrossRef]
- Weber, L. The application of multi-component reactions in drug discovery. Curr. Med. Chem. 2002, 9, 2085–2093. [Google Scholar] [CrossRef] [PubMed]
- Hulme, C.; Gore, V. Multi-component reactions: Emerging chemistry in drug discovery from xylocain to crixivan. Curr. Med. Chem. 2003, 10, 51–80. [Google Scholar] [CrossRef] [PubMed]
- Nair, V.; Rajesh, C.; Vinod, A.U.; Bindu, S.; Sreekanth, A.R.; Mathen, J.S.; Balagopal, L. Strategies for heterocyclic construction via novel multicomponent reactions based on isocyanides and nucleophilic carbenes. Acc. Chem. Res. 2003, 36, 899–907. [Google Scholar] [CrossRef] [PubMed]
- Andrade, C.K.Z.; Barreto, A.S.; Silva, W.A. Microwave assisted solvent-, support- and catalyst-free synthesis of enaminones. Ark. Arch. Org. Chem. 2008, xii, 226–232. [Google Scholar]
- Bortolini, O.; D’Agostino, M.; De Nino, A.; Maiuolo, L.; Nardi, M.; Sindona, G. Solvent-free, microwave assisted 1,3-cycloaddition of nitrones with vinyl nucleobases for the synthesis of N,O-nucleosides. Tetrahedron 2008, 64, 8078–8081. [Google Scholar] [CrossRef]
- Ganesan, S.; Muthuraaman, B.; Madhavan, J.; Mathew, V.; Maruthamuthu, P.; Suthanthiraraj, S.A. The use of 2,6-bis (N-pyrazolyl) pyridine as an efficient dopant in conjugation with poly(ethylene oxide) for nanocrystalline dye-sensitized solar cells. Electrochim. Acta 2008, 53, 7903–7907. [Google Scholar] [CrossRef]
- Manikandan, P.; Padmakumar, K.; Justin Thomas, K.R.; Varghese, B.; Onodera, H.; Manoharan, P.T. Lattice-Dictated Conformers in Bis(pyrazolyl)pyridine-Based Iron(II) Complexes: Mössbauer, NMR, and Magnetic Studies. Inorg. Chem. 2001, 40, 6930–6939. [Google Scholar] [CrossRef] [PubMed]
- Jameson, D.L.; Goldsby, K.A. 2,6-bis(N-pyrazolyl)pyridines: The convenient synthesis of a family of planar tridentate N3 ligands that are terpyridine analogs. J. Org. Chem. 1990, 55, 4992–4994. [Google Scholar] [CrossRef]
- Zoppellaro, G.; Enkelmann, V.; Geies, A.; Baumgarten, M. A Multifunctional High-Spin Biradical Pyrazolylbipyridine-bisnitronylnitroxide. Org. Lett. 2004, 6, 4929–4932. [Google Scholar] [CrossRef] [PubMed]
- Prakash, O.; Hussain, K.; Kumar, R.; Wadhwa, D.; Sharma, C.; Aneja, K.R. Synthesis and antimicrobial evaluation of new1,4-dihydro-4-pyrazolylpyridines and 4-Pyrazolylpyridines. Org. Med. Chem. Lett. 2011, 1, 1–7. [Google Scholar] [CrossRef] [PubMed]
- Motaung, M.P.; Ajibade, P.A. Ru(II) and Co(II) Complexes of bis(pyrazolyl)pyridine and pyridine-2,6-dicarboxylic Acid: Synthesis, Photo Physical Studies and Evaluation of Solar Cell Conversion Efficiencies. Int. J. Electrochem. Sci. 2015, 10, 8087–8096. [Google Scholar]
- Zoppellaro, G.; Geies, G.; Enkelmann, V.; Baumgarten, M. 2,6-Bis(pyrazolyl)pyridine Functionalised with Two Nitronylnitroxide and Iminonitroxide Radicals. Eur. J. Org. Chem. 2004, 2004, 2367–2374. [Google Scholar] [CrossRef]
- Gomha, S.M.; Salah, T.A.; Abdelhamid, A.O. Synthesis, characterization and pharmacological evaluation of some novel thiadiazoles and thiazoles incorporating pyrazole moiety as potent anticancer agents. Monatsh. Chem. 2015, 146, 149–158. [Google Scholar] [CrossRef]
- Gomha, S.M.; Abdel-aziz, H.M. Synthesis and antitumor activity of 1,3,4-thiadiazole derivatives bearing coumarine ring. Heterocycles 2015, 91, 583–592. [Google Scholar] [CrossRef]
- Dawood, K.M.; Gomha, S.M. Synthesis and anti-cancer activity of 1,3,4-thiadiazole and 1,3-thiazole derivatives having 1,3,4-oxadiazole moiety. J. Heterocycl. Chem. 2015, 52, 1400–1405. [Google Scholar] [CrossRef]
- Abbas, I.M.; Gomha, S.M.; Elneairy, M.A.A.; Elaasser, M.M.; Mabrouk, B.K.A. Antimicrobial and anticancer evaluation of novel synthetic tetracyclic system through Dimroth rearrangement. J. Serb. Chem. Soc. 2015, 80, 1251–1264. [Google Scholar]
- Gomha, S.M.; Abbas, I.M.; Elneairy, M.A.A.; Elaasser, M.M.; Mabrouk, B.K.A. Synthesis and biological evaluation of novel fused triazolo[4,3-a] pyrimidinones. Turk. J. Chem. 2015, 39, 510–531. [Google Scholar]
- Gomha, S.M.; Zaki, Y.H.; Abdelhamid, A.O. Utility of 3-acetyl-6-bromo-2H-chromen-2-one for synthesis of new heterocycles as potential anticancer agents. Molecules 2015, 20, 21826–21839. [Google Scholar] [CrossRef] [PubMed]
- Gomha, S.M.; Riyadh, S.M.; Mahmmoud, E.A.; Elaasser, M.M. Chitosan-grafted-poly(4-vinylpyridine) as a novel copolymer basic catalyst for synthesis of arylazothiazoles and 1,3,4-thiadiazoles under microwave irradiation. Chem. Heterocycl. Comp. 2015, 51, 1030–1038. [Google Scholar] [CrossRef]
- Gomha, S.M.; Salah, T.A.; Hassaneen, H.M.E.; Abdel-aziz, H.; Khedr, M.A. Synthesis, characterization and molecular docking of novel bioactive thiazolyl-thiazole derivatives as promising cytotoxic antitumor drug. Molecules 2016, 21, 3. [Google Scholar] [CrossRef] [PubMed]
- Gomha, S.M.; Badrey, M.G.; Edrees, M.M. Heterocyclization of a bis-thiosemicarbazone of 2,5-diacetyl-3,4-disubstituted-thieno[2,3-b]thiophene bis-thiosemicarbazones leading to bis-thiazoles and bis-1,3,4-thiadiazoles as anti-breast cancer agents. J. Chem. Res. 2016, 40, 120–125. [Google Scholar] [CrossRef]
- Gomha, S.M.; Abdallah, M.A.; Mourad, M.A.; Elaasser, M.M. Application of Mannich and Michael reactions in synthesis of pyridopyrimido[2,1-b][1,3,5]thiadiazinones and pyridopyrimido[2,1-b][1,3]thiazinones and their biological activity. Heterocycles 2016, 92, 688–699. [Google Scholar] [CrossRef]
- Ibrahim, M.K.; El-Ghandour, A.H.H.; Abou-hadeed, K.; Abdelhafiz, I.S. Utility of hydzidoyl chlorides: Synthesis of new pyrazoles, pyrazolo[3,4-d]pyridazines, pyrazolo[4,5-b]pyridines and pyrazolo[4,5-d]pyrimidine derivatives. J. Ind. Chem. Soc. 1992, 69, 378–380. [Google Scholar]
- Gomha, S.M.; Abdalla, M.A.; Abdelaziz, M.; Serag, N. Eco-friendly one-pot synthesis and antiviral evaluation of pyrazolyl chalcones and pyrazolines of medicinal interest. Turk. J. Chem. 2016, 40, 484–498. [Google Scholar] [CrossRef]
- Shawali, A.S.; Gomha, S.M. A new entry for short and regioselective synthesis of [1,2,4]triazolo[4,3-b][1,2,4]-triazin-7(1H)-one. Adv. Synth. Catal. 2000, 342, 599–604. [Google Scholar] [CrossRef]
- Gomha, S.M.; Riyadh, S.M.; Abbas, I.M.; Bauomi, M.A. Synthetic utility of ethylidenethiosemicarbazide: Synthesis and and anti-cancer activity of 1,3-thiazines and thiazoles with imidazole moiety. Heterocycles 2012, 87, 341–356. [Google Scholar]
© 2017 by the authors. Licensee MDPI, Basel, Switzerland. This article is an open access article distributed under the terms and conditions of the Creative Commons Attribution (CC BY) license (http://creativecommons.org/licenses/by/4.0/).






