A Mid-Infrared Narrowband Absorber Based on a Subwavelength Fine-Structured Silicon–Gold Metagrating
Abstract
1. Introduction
2. Structure Design and Principle
3. Results and Physical Understanding
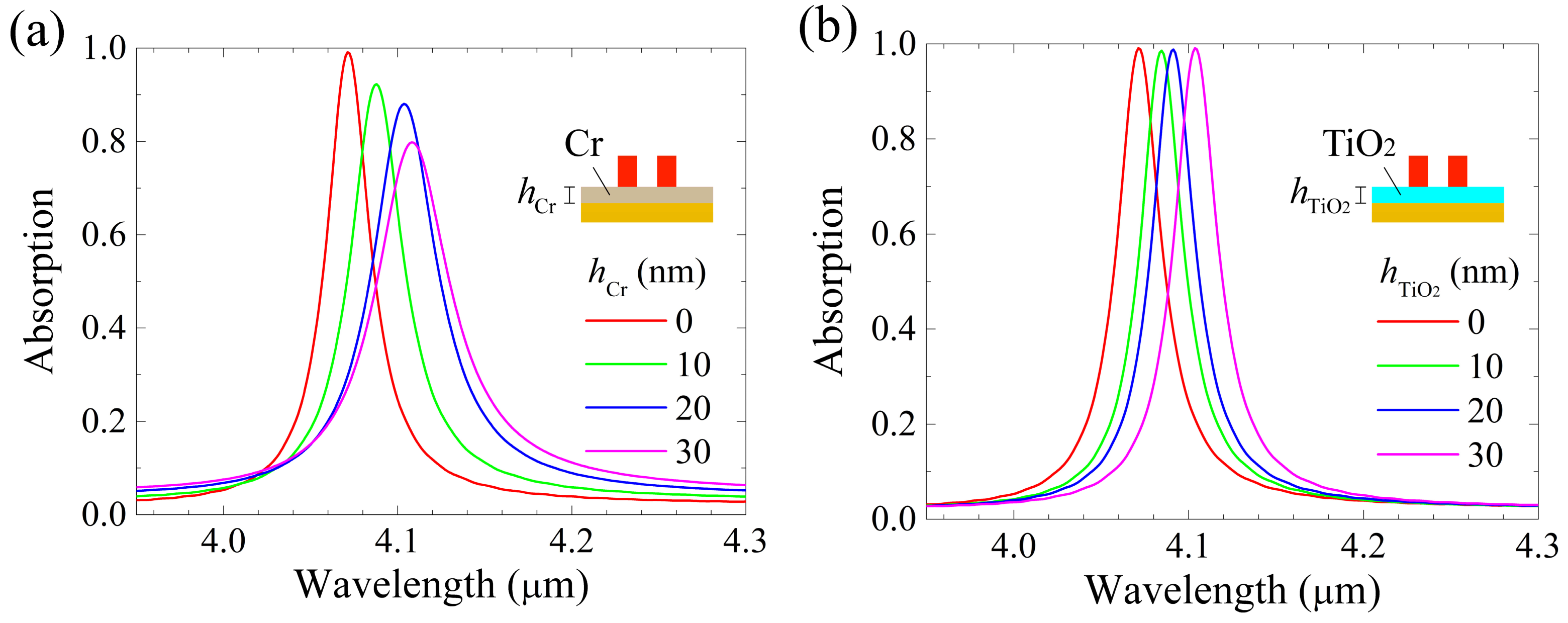
4. Discussion
5. Conclusions
Author Contributions
Funding
Conflicts of Interest
References
- Rosenberg, J.; Shenoi, R.V.; Vandervelde, T.E.; Krishna, S.; Painter, O. A multispectral and polarization-selective surface-plasmon resonant midinfrared detector. Appl. Phys. Lett. 2009, 95, 161101. [Google Scholar] [CrossRef]
- Li, C.; Fan, H.; Dai, Q.; Wei, Z.; Lan, S.; Liu, H. Multipole resonance in arrays of diamond dielectric: a metamaterial perfect absorber in the visible regime. Nanomaterials 2019, 9, 1222. [Google Scholar] [CrossRef] [PubMed]
- Liu, N.; Mesch, M.; Weiss, T.; Hentschel, M.; Giessen, H. Infrared perfect absorber and its application as plasmonic sensor. Nano Lett. 2010, 10, 2342–2348. [Google Scholar] [CrossRef] [PubMed]
- Liu, Y.; Zhong, R.; Lian, Z.; Bu, C.; Liu, S. Dynamically tunable band stop filter enabled by the metal-graphene metamaterials. Sci. Rep. 2018, 8, 2828. [Google Scholar] [CrossRef] [PubMed]
- Mason, J.A.; Smith, S.; Wasserman, D. Strong absorption and selective thermal emission from a midinfrared metamaterial. Appl. Phys. Lett. 2011, 98, 241105. [Google Scholar] [CrossRef]
- Vafapour, Z.; Ghahraloud, H. Semiconductor-based far-infrared biosensor by optical control of light propagation using THz metamaterial. J. Opt. Soc. Am. B 2018, 35, 1192–1199. [Google Scholar] [CrossRef]
- Yi, Z.; Liang, C.; Chen, X.; Zhou, Z.; Tang, Y.; Ye, X.; Yi, Y.; Wang, J.; Wu, P. Dual-band plasmonic perfect absorber based on graphene metamaterials for refractive index sensing application. Micromachines 2019, 10, 443. [Google Scholar] [CrossRef]
- Vafapour, Z. Polarization-independent perfect optical metamaterial absorber as a glucose sensor in food industry applications. IEEE Trans. Nanobiosci. 2019, 18, 622–627. [Google Scholar] [CrossRef]
- Keshavarz, A.; Vafapour, Z. Thermo-optical applications of a novel terahertz semiconductor metamaterial design. J. Opt. Soc. Am. B 2019, 36, 35–41. [Google Scholar] [CrossRef]
- El-Gohary, S.H.; Choi, J.M.; Kim, N.-H.; Byun, K.M. Plasmonic metal-dielectric-metal stack structure with subwavelength metallic gratings for improving sensor sensitivity and signal quality. Appl. Opt. 2014, 53, 2152–2157. [Google Scholar] [CrossRef]
- Lu, X.; Zhang, L.; Zhang, T. Nanoslit-microcavity-based narrow band absorber for sensing applications. Opt. Express 2015, 23, 20715–20720. [Google Scholar] [CrossRef] [PubMed]
- Feng, R.; Qiu, J.; Cao, Y.; Liu, L.; Ding, W.; Chen, L. Wide-angle and polarization independent perfect absorber based on one-dimensional fabrication tolerant stacked array. Opt. Express 2015, 23, 21023–21031. [Google Scholar] [CrossRef] [PubMed]
- Wu, D.; Liu, Y.; Li, R.; Chen, L.; Ma, R.; Liu, C.; Ye, H. Infrared Perfect Ultra-narrow band absorber as plasmonic sensor. Nanoscale Res. Lett. 2016, 11, 483. [Google Scholar] [CrossRef] [PubMed]
- Elshorbagy, M.H.; Cuadrado, A.; Alda, J. High-sensitivity integrated devices based on surface plasmon resonance for sensing applications. Photonics Res. 2017, 5, 654–661. [Google Scholar] [CrossRef]
- Kuznetsov, A.I.; Miroshnichenko, A.E.; Brongersma, M.L.; Kivshar, Y.S.; Luk’yanchuk, B. Optically resonant dielectric nanostructures. Science 2016, 354, 846. [Google Scholar] [CrossRef]
- Sharon, A.; Glasberg, S.; Rosenblatt, D.; Friesem, A.A. Metal-based resonant grating waveguide structures. J. Opt. Soc. Am. A 1997, 14, 588–595. [Google Scholar] [CrossRef]
- Liao, Y.-L.; Zhao, Y. An ultra-narrowband absorber with a dielectric-dielectric-metal structure based on guide-mode resonance. Opt. Commun. 2017, 382, 307–310. [Google Scholar] [CrossRef]
- Ren, Z.; Sun, Y.; Lin, Z.; Wang, C. Ultra-narrow band perfect metamaterial absorber based on dielectric-metal periodic configuration. Opt. Mater. 2019, 89, 308–315. [Google Scholar] [CrossRef]
- Cui, Y.; He, Y.; Jin, Y.; Ding, F.; Yang, L.; Ye, Y.; Zhong, S.; Lin, Y.; He, S. Plasmonic and metamaterial structures as electromagnetic absorbers. Laser Photonics Rev. 2014, 8, 495–520. [Google Scholar] [CrossRef]
- Han, D.; Wu, F.; Li, X.; Xu, C.; Liu, X.; Zi, J. Transmission and absorption of metallic films coated with corrugated dielectric layers. Appl. Phys. Lett. 2006, 89, 091104. [Google Scholar] [CrossRef]
- Meng, Y.; Zhang, R.-Y.; Zhang, Q.; Liu, Z.; Wu, X.; Xiao, J.; Xiang, H.; Han, D.; Wen, W. Surface plasmon polaritons on the thin metallic film coated with symmetrical and asymmetrical dielectric gratings. J. Phys. D Appl. Phys. 2017, 50, 485101. [Google Scholar] [CrossRef]
- Shen, S.; Forsberg, E.; Han, Z.; He, S. Strong resonant coupling of surface plasmon polaritons to radiation modes through a thin metal slab with dielectric gratings. J. Opt. Soc. Am. A 2007, 24, 225–230. [Google Scholar] [CrossRef] [PubMed]
- Li, X.; Han, D.; Wu, F.; Xu, C.; Liu, X.; Zi, J. Flat metallic surfaces coated with a dielectric grating: excitations of surface plasmon-polaritons and guided modes. J. Phys. Condens. Matter 2008, 20, 485001. [Google Scholar] [CrossRef]
- Lu, X.; Zhang, T.; Wan, R.; Xu, Y.; Zhao, C.; Guo, S. Numerical investigation of narrowband infrared absorber and sensor based on dielectric-metal metasurface. Opt. Express 2018, 26, 10179–10187. [Google Scholar] [CrossRef] [PubMed]
- Fitio, V.M.; Bobitski, Y.V. Resonance effects in a dielectric grating; total absorption of electromagnetic waves by a dielectric grating on metal system. J. Opt. A Pure Appl. Opt. 2004, 6, 943–951. [Google Scholar] [CrossRef]
- Liao, Y.-L.; Zhao, Y.; Zhang, X.; Zhang, W.; Chen, Z. An ultra-narrowband TE-polarization absorber with a dielectric grating and metal substrate. Mod. Phys. Lett. B 2017, 31, 1750306. [Google Scholar] [CrossRef]
- Liao, Y.-L.; Zhao, Y.; Zhang, X.; Chen, Z. An ultra-narrowband absorber with a compound dielectric grating and metal substrate. Opt. Commun. 2017, 385, 172–176. [Google Scholar] [CrossRef]
- Tittel, F.K.; Richter, D.; Fried, A. Mid-infrared laser applications in spectroscopy. In Solid-State Mid-Infrared Laser Sources—Topics in Applied Physics; Sorokina, I.T., Vodopyanov, K.L., Eds.; Springer: Berlin, Germany, 2003; Volume 89, pp. 458–529. [Google Scholar]
- Consolino, L.; Cappelli, F.; De Cumis, M.S.; De Natale, P. QCL-based frequency metrology from the mid-infrared to the THz range: A review. Nanophotonics 2019, 8, 181–204. [Google Scholar] [CrossRef]
- Hodgkinson, J.; Tatam, R.P. Optical gas sensing: a review. Meas. Sci. Technol. 2013, 24, 012004. [Google Scholar] [CrossRef]
- He, X.; Jie, J.; Yang, J.; Chen, Y.; Han, Y.; Zhang, S. Suppressing the unwanted resonance mode in a metal-insulator-metal structure using fine-structured gratings. Opt. Express 2019, 27, 15298–15308. [Google Scholar] [CrossRef]
- Palik, E.D. Handbook of Optical Constants of Solids; Academic Press: Chestnut Hill, MA, USA, 1998. [Google Scholar]
- Smith, D.R.; Schultz, S.; Markoš, P.; Soukoulis, C.M. Determination of effective permittivity and permeability of metamaterials from reflection and transmission coefficients. Phys. Rev. B 2002, 65, 195104. [Google Scholar] [CrossRef]
- Liu, X.; Starr, T.; Starr, A.F.; Padilla, W.J. Infrared spatial and frequency selective metamaterial with near-unity absorbance. Phys. Rev. Lett. 2010, 104, 207403. [Google Scholar] [CrossRef] [PubMed]
- Polyanskiy, M.N. Refractive Index Database. Available online: https://refractiveindex.info (accessed on 5 November 2019).








© 2019 by the authors. Licensee MDPI, Basel, Switzerland. This article is an open access article distributed under the terms and conditions of the Creative Commons Attribution (CC BY) license (http://creativecommons.org/licenses/by/4.0/).
Share and Cite
He, X.; Jie, J.; Yang, J.; Han, Y.; Zhang, S. A Mid-Infrared Narrowband Absorber Based on a Subwavelength Fine-Structured Silicon–Gold Metagrating. Appl. Sci. 2019, 9, 5022. https://doi.org/10.3390/app9235022
He X, Jie J, Yang J, Han Y, Zhang S. A Mid-Infrared Narrowband Absorber Based on a Subwavelength Fine-Structured Silicon–Gold Metagrating. Applied Sciences. 2019; 9(23):5022. https://doi.org/10.3390/app9235022
Chicago/Turabian StyleHe, Xin, Jinliang Jie, Junbo Yang, Yunxin Han, and Sen Zhang. 2019. "A Mid-Infrared Narrowband Absorber Based on a Subwavelength Fine-Structured Silicon–Gold Metagrating" Applied Sciences 9, no. 23: 5022. https://doi.org/10.3390/app9235022
APA StyleHe, X., Jie, J., Yang, J., Han, Y., & Zhang, S. (2019). A Mid-Infrared Narrowband Absorber Based on a Subwavelength Fine-Structured Silicon–Gold Metagrating. Applied Sciences, 9(23), 5022. https://doi.org/10.3390/app9235022

