Study on Optical Properties and Internal Quantum Efficiency Measurement of GaN-based Green LEDs
Abstract
1. Introduction
2. Materials and Methods
3. Results
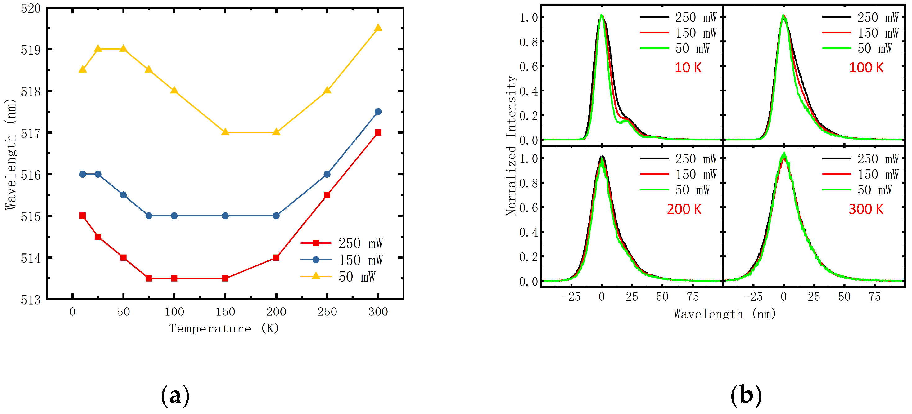
3.1. Photoluminescence Behavior
3.2. Determination of IQE Values
4. Discussion
5. Conclusions
Author Contributions
Funding
Conflicts of Interest
References
- Nakamura, S.; Senoh, M.; Mukai, T. P-Gan/N-Ingan/N-Gan Double-Heterostructure Blue-Light-Emitting Diodes. Jpn. J. Appl. Phys. 1993, 32, L8–L11. [Google Scholar] [CrossRef]
- Nakamura, S.; Mukai, T.; Senoh, M. High-Brightness Ingan/Algan Double-Heterostructure Blue-Green-Light-Emitting Diodes. J. Appl. Phys. 1994, 76, 8189–8191. [Google Scholar] [CrossRef]
- Nakamura, S. Ingan/Algan Blue-Light-Emitting Diodes. J. Vac. Sci. Technol. A 1995, 13, 705–710. [Google Scholar] [CrossRef]
- Nakamura, S.; Senoh, N.; Iwasa, N.; Nagahama, S.I. High-Brightness Ingan Blue, Green and Yellow Light-Emitting-Diodes with Quantum-Well Structures. Jpn. J. Appl. Phys. 1995, 34, L797–L799. [Google Scholar] [CrossRef]
- Suihkonen, S.; Svensk, O.; Lang, T.; Lipsanen, H.; Odnoblyudov, M.A.; Bougrov, V.E. The effect of InGaN/GaN MQW hydrogen treatment and threading dislocation optimization on GaN LED efficiency. J. Cryst. Growth 2007, 298, 740–743. [Google Scholar] [CrossRef]
- Kim, H.G.; Cuong, T.V.; Na, M.G.; Kim, H.K.; Kim, H.Y.; Ryu, J.H.; Hong, C.H. Improved GaN-Based LED light extraction efficiencies via selective MOCVD using peripheral microhole Arrays. IEEE Photonic Technol. Lett. 2008, 20, 1284–1286. [Google Scholar] [CrossRef]
- Crawford, M.H. LEDs for Solid-State Lighting: Performance Challenges and Recent Advances. IEEE J. Sel. Top. Quant. 2009, 15, 1028–1040. [Google Scholar] [CrossRef]
- Lee, J.; Tak, Y.; Kim, J.Y.; Hong, H.G.; Chae, S.; Min, B.; Jeong, H.; Yoo, J.; Kim, J.R.; Park, Y. Growth of high-quality InGaN/GaN LED structures on (111) Si substrates with internal quantum efficiency exceeding 50%. J. Cryst. Growth 2011, 315, 263–266. [Google Scholar] [CrossRef]
- Watanabe, S.; Yamada, N.; Nagashima, M.; Ueki, Y.; Sasaki, C.; Yamada, Y.; Taguchi, T.; Tadatomo, K.; Okagawa, H.; Kudo, H. Internal quantum efficiency of highly-efficient InxGa1-xN-based near-ultraviolet light-emitting diodes. Appl. Phys. Lett. 2003, 83, 4906–4908. [Google Scholar] [CrossRef]
- Martinez, C.E.; Stanton, N.M.; Kent, A.J.; Graham, D.M.; Dawson, P.; Kappers, M.J.; Humphreys, C.J. Determination of relative internal quantum efficiency in InGaN/GaN quantum wells. J. Appl. Phys. 2005, 98. [Google Scholar] [CrossRef]
- Kirste, R.; Collazo, R.; Callsen, G.; Wagner, M.R.; Kure, T.; Reparaz, J.S.; Mita, S.; Xie, J.Q.; Rice, A.; Tweedie, J.; et al. Temperature dependent photoluminescence of lateral polarity junctions of metal organic chemical vapor deposition grown GaN. J. Appl. Phys. 2011, 110. [Google Scholar] [CrossRef]
- Xing, Y.C.; Wang, L.; Wang, Z.L.; Hao, Z.B.; Luo, Y.; Sun, C.Z.; Han, Y.J.; Xiong, B.; Wang, J.; Li, H.T. A comparative study of photoluminescence internal quantum efficiency determination method in InGaN/GaN multi-quantum-wells. J. Appl. Phys. 2017, 122. [Google Scholar] [CrossRef]
- Smith, M.; Chen, G.D.; Lin, J.Y.; Jiang, H.X.; Khan, M.A.; Chen, Q. Time-resolved photoluminescence studies of InGaN epilayers. Appl. Phys. Lett. 1996, 69, 2837–2839. [Google Scholar] [CrossRef]
- Chichibu, S.F.; Azuhata, T.; Sota, T.; Mukai, T.; Nakamura, S. Localized quantum well excitons in InGaN single-quantum-well amber light-emitting diodes. J. Appl. Phys. 2000, 88, 5153–5157. [Google Scholar] [CrossRef]
- Iwata, Y.; Banal, R.G.; Ichikawa, S.; Funato, M.; Kawakami, Y. Emission mechanisms in Al-rich AlGaN/AlN quantum wells assessed by excitation power dependent photoluminescence spectroscopy. J. Appl. Phys. 2015, 117. [Google Scholar] [CrossRef]
- Ngo, T.H.; Gil, B.; Valvin, P.; Damilano, B.; Lekhal, K.; De Mierry, P. Internal quantum efficiency in yellow-amber light emitting AlGaN-InGaN-GaN heterostructures. Appl. Phys. Lett. 2015, 107. [Google Scholar] [CrossRef]
- Xing, Y.C.; Wang, L.; Yang, D.; Wang, Z.L.; Hao, Z.B.; Sun, C.Z.; Xiong, B.; Luo, Y.; Han, Y.J.; Wang, J.; et al. A novel model on time-resolved photoluminescence measurements of polar InGaN/GaN multiquantum-well structures. Sci. Rep. 2017, 7. [Google Scholar] [CrossRef]
- De Araujo, M.A.C.; Silva, R.; de Lima, E.; Pereira, D.P.; de Oliveira, P.C. Measurement of Gaussian laser beam radius using the knife-edge technique: Improvement on data analysis. Appl. Opt. 2009, 48, 393–396. [Google Scholar] [CrossRef]
- Cho, Y.H.; Gainer, G.H.; Fischer, A.J.; Song, J.J.; Keller, S.; Mishra, U.K.; DenBaars, S.P. “S-shaped” temperature-dependent emission shift and carrier dynamics in InGaN/GaN multiple quantum wells. Appl. Phys. Lett. 1998, 73, 1370–1372. [Google Scholar] [CrossRef]
- Wang, Z.L.; Wang, L.; Xing, Y.C.; Yang, D.; Yu, J.D.; Hao, Z.B.; Sun, C.Z.; Xiong, B.; Han, Y.J.; Wang, J.; et al. Consistency on Two Kinds of Localized Centers Examined from Temperature-Dependent and Time-Resolved Photoluminescence in InGaN/GaN Multiple Quantum Wells. ACS Photonics 2017, 4, 2078–2084. [Google Scholar] [CrossRef]
- Dai, Q.; Schubert, M.F.; Kim, M.H.; Kim, J.K.; Schubert, E.F.; Koleske, D.D.; Crawford, M.H.; Lee, S.R.; Fischer, A.J.; Thaler, G.; et al. Internal quantum efficiency and nonradiative recombination coefficient of GaInN/GaN multiple quantum wells with different dislocation densities. Appl. Phys. Lett. 2009, 94. [Google Scholar] [CrossRef]
- Karpov, S. ABC-model for interpretation of internal quantum efficiency and its droop in III-nitride LEDs: A review. Opt. Quant. Electron. 2015, 47, 1293–1303. [Google Scholar] [CrossRef]
- Che, S.; Yuki, A.; Watanabe, H.; Ishitani, Y.; Yoshikawa, A. Fabrication of Asymmetric GaN/InN/InGaN/GaN Quantum-Well Light Emitting Diodes for Reducing the Quantum-Confined Stark Effect in the Blue-Green Region. Appl. Phys. Express 2009, 2, 021001. [Google Scholar] [CrossRef]
- Tsai, S.C.; Lu, C.H.; Liu, C.P. Piezoelectric effect on compensation of the quantum-confined Stark effect in InGaN/GaN multiple quantum wells based green light-emitting diodes. Nano Energy 2016, 28, 373–379. [Google Scholar] [CrossRef]







© 2019 by the authors. Licensee MDPI, Basel, Switzerland. This article is an open access article distributed under the terms and conditions of the Creative Commons Attribution (CC BY) license (http://creativecommons.org/licenses/by/4.0/).
Share and Cite
Lu, B.; Wang, L.; Hao, Z.; Luo, Y.; Sun, C.; Han, Y.; Xiong, B.; Wang, J.; Li, H.; Chen, K.; et al. Study on Optical Properties and Internal Quantum Efficiency Measurement of GaN-based Green LEDs. Appl. Sci. 2019, 9, 383. https://doi.org/10.3390/app9030383
Lu B, Wang L, Hao Z, Luo Y, Sun C, Han Y, Xiong B, Wang J, Li H, Chen K, et al. Study on Optical Properties and Internal Quantum Efficiency Measurement of GaN-based Green LEDs. Applied Sciences. 2019; 9(3):383. https://doi.org/10.3390/app9030383
Chicago/Turabian StyleLu, Boyang, Lai Wang, Zhibiao Hao, Yi Luo, Changzheng Sun, Yanjun Han, Bing Xiong, Jian Wang, Hongtao Li, Kaixuan Chen, and et al. 2019. "Study on Optical Properties and Internal Quantum Efficiency Measurement of GaN-based Green LEDs" Applied Sciences 9, no. 3: 383. https://doi.org/10.3390/app9030383
APA StyleLu, B., Wang, L., Hao, Z., Luo, Y., Sun, C., Han, Y., Xiong, B., Wang, J., Li, H., Chen, K., Zhuo, X., Li, J., & Kang, J. (2019). Study on Optical Properties and Internal Quantum Efficiency Measurement of GaN-based Green LEDs. Applied Sciences, 9(3), 383. https://doi.org/10.3390/app9030383

