Abstract
An optimal design model for residential photovoltaic (PV) systems in South Korea was proposed. In the optimization formulation, the objective function is composed of three costs, including the monthly electricity bill, the PV system construction cost (including the government’s subsidy), and the PV system maintenance cost. Here, because the monthly electricity bill is not differentiable (it is a stepped piecewise linear function), it cannot be solved by using traditional gradient-based approaches. For details considering the residential electric consumption in a typical Korean household, consumption was broken down into four types (year-round electric appliances, seasonal electric appliances, lighting appliances, and stand-by power). For details considering the degree of PV generation, a monthly generation dataset with different PV tilt angles was analyzed. The optimal design model was able to obtain a global design solution (PV tilt angle and PV size) without being trapped in local optima. We hope that this kind of practical approach will be more frequently applied to real-world designs in residential PV systems in South Korea and other countries.
1. Introduction
South Korea is in the world’s top 10 energy-consuming countries, and it heavily depends on imports of fossil fuels (natural gas, coal, and oil) [1,2,3]. Due to recent public awareness regarding the issue of polluted air, pressure to reduce its dependency on fossil fuels has increased. In addition, the Fukushima disaster that occurred in Japan has caused the present government to support the nuclear phase-out policy.
Therefore, various renewable energies (photovoltaics (PV), wind, geothermal, hydro, biomass, fuel cells, etc.) have been currently developed, which also helps in the country’s pledge at the 2015 Paris Climate Conference to cut its carbon emissions by 37% below the business-as-usual (BAU) level by 2030.
In addition, the Korean government has recently declared a national project aiming for power generation by renewable energies to account for 20% of the total generation output by 2030 (85,905 GWh (13.6%) by 2025 and 134,136 GWh (20%) by 2030) [4]. This project especially focuses on PV and wind energies (more than 75% with respect to the generation capacity, and more than 50% with respect to the generation amount). The Korean government plans to provide urban-type self-sufficient PV systems to 760,000 residential houses by 2022, and 1,560,000 houses by 2030 [5].
To this end, as one of practical efforts, Korean government already ruled that 5% of total construction cost should be invested in renewable energy system for large public buildings (total floor area is greater than or equal to 3000 m2), and it also subsidizes 60% of the construction cost if private residential buildings install PV renewable systems [6].
Korean government also plans to promote rural-area PV systems using low-interest loans and higher-weighted RECs (Renewable Energy Certificate). The REC is a market-tradable and non-tangible instrument that certifies that the owner possesses one megawatt-hour (MWh) of electricity generated from any renewable energy resource [7]. RPS (Renewable Portfolio Standard) required for large power producers (≥ 500 MW) also works well after FIT (Feed-In Tariff) system ends. In order to enhance the social receptivity to PV systems, the Korean government has approved private enterprisers, to gather individual private investors, to join in PV development projects.
The objective of this study is to propose an optimal model for residential PV system design. In this model, the construction and management costs will be minimized, while considering various practical design factors such as PV generation amounts with different tilt angles, the Korean progressive electric rate, the unit cost of a PV panel, the interest rate, the project period, the electrical usage of general electric appliances, and seasonal appliances, lighting appliances, and stand-by power.
The rest of this paper is organized as follows. The optimal design model for the residential PV system is proposed in Section 2. Residential electricity demand is broken down in detail, and the monthly electrical generation amounts with varying tilt angles are proposed in the form of polynomial functions in Section 3. The optimal design solution is obtained by using an evolutionary algorithm, and compared with that from previous gradient-based methods in Section 4. Finally, in Section 5, we conclude our paper with some future directions.
2. Optimization Formulation
The objective function to be minimized in this residential PV design optimization is the total cost (), which consists of the electric bill from grid (), the PV-related construction cost (), and the PV-related maintenance cost (), as shown in Equation (1) [6]:
where the annual electric bill () is the sum of the monthly bills, and each monthly bill () is calculated based on the monthly grid-supplied amount () when monthly residential demand () is greater than the monthly PV generation amount (), as in Equation (2):
For the monthly bill (), Korea adopts a six-stage progressive electric rate system, which charges a higher rate for higher electricity usage, as shown in Table 1.
Table 1.
Korean progressive electric rate (US$1 ≈ 1100 KRW).
For example, if one household consumes 50 kWh for a certain month, the monthly electric bill will be 3125 KRW (=370 + 50 × 55.1); if it consumes 150 kWh, the monthly electric bill will be 12,020 KRW (=820 + 100 × 55.1 + 50 × 113.8). Thus, if we draw a monthly electric bill from 0 to 600 kWh, we obtain a stepped piecewise linear function, as shown in Figure 1.
Figure 1.
The six-stage progressive electric rate in Korea.
For the PV-related construction cost (), in order to fairly consider this one-time cost alongside other annual costs ( and ), a capital recovery factor [8], which is the ratio of a constant annual return amount to the initial construction cost () for a given length of time, is introduced as in Equation (3):
where r is the interest rate (6.5% in this study) and n is number of system operation years (or the number of annual returns received; 25 years in this study).
The decision variables in this residential PV design optimization are the size of the PV panel (or module; ) and the tilt angle of the PV panel (; horizontal line is 0°). These two decision variables have value ranges as constraints:
3. Application of the Residential PV System
The above formulated PV design model is assumed to be applied to a typical Korean residential building. For a typical Korean residential building, the monthly demand () can be assessed in four groups of consumption (general electric appliances, seasonal electric appliances, lighting appliances, and stand-by power) [6].
The first group of consumption occurs in general (year-round) electric appliances such as the television, refrigerator, and washing machine, as shown in Table 2. For example, a typical Korean residential building has two TV sets, which consume 270 W (=135 W × 2) over 6.9 hr per day, and 28 days per month, based on a statistical survey. Interestingly, a Korean house also possesses a special refrigerator which preserves only Kimchi, because it is an essential dish for every meal in Korean daily life.
Table 2.
Power consumption of general electrical appliances.
The second group of consumption occurs with seasonal electric appliances, such as the electric fan, air conditioner, humidifier, and electric blanket, as shown in Table 3 and Table 4. For example, a typical Korean residential building has one air conditioner, which consumes 1725 W over 4.65 hr per day. However, this seasonal appliance is utilized only during the summer season (13 days for June, 15 days for July, and 27 days for August).
Table 3.
Power consumption of seasonal electrical appliances.
Table 4.
Monthly usage of seasonal electrical appliances.
The third group of consumption occurs with lighting appliances, such as fluorescent, incandescent, and halogen lights, as shown in Table 5. For example, a typical Korean residential building has one stand-alone (stabilizer-included) fluorescent lamp, which consumes 25.86 W over 7.9 hr per day.
Table 5.
Power consumption of lighting appliances.
The final group of consumption occurs with stand-by power from various appliances, as shown in Table 6. Normally it accounts for approximately 10% of total household power consumption.
Table 6.
Consumption amount of stand-by power.
If we aggregate the above-mentioned four types of consumption, we can obtain a monthly power consumption graph, as shown in Figure 2. Here, it should be noted that a consumption amount of 2.2 kWh/day for any additional appliance was added to each monthly amount.
Figure 2.
Monthly power consumption for a typical Korean house.
So far, the monthly power consumption of a typical Korean house has been assessed based on four different types of consumption. Now let us assess the monthly power generation amount from the PV system ().
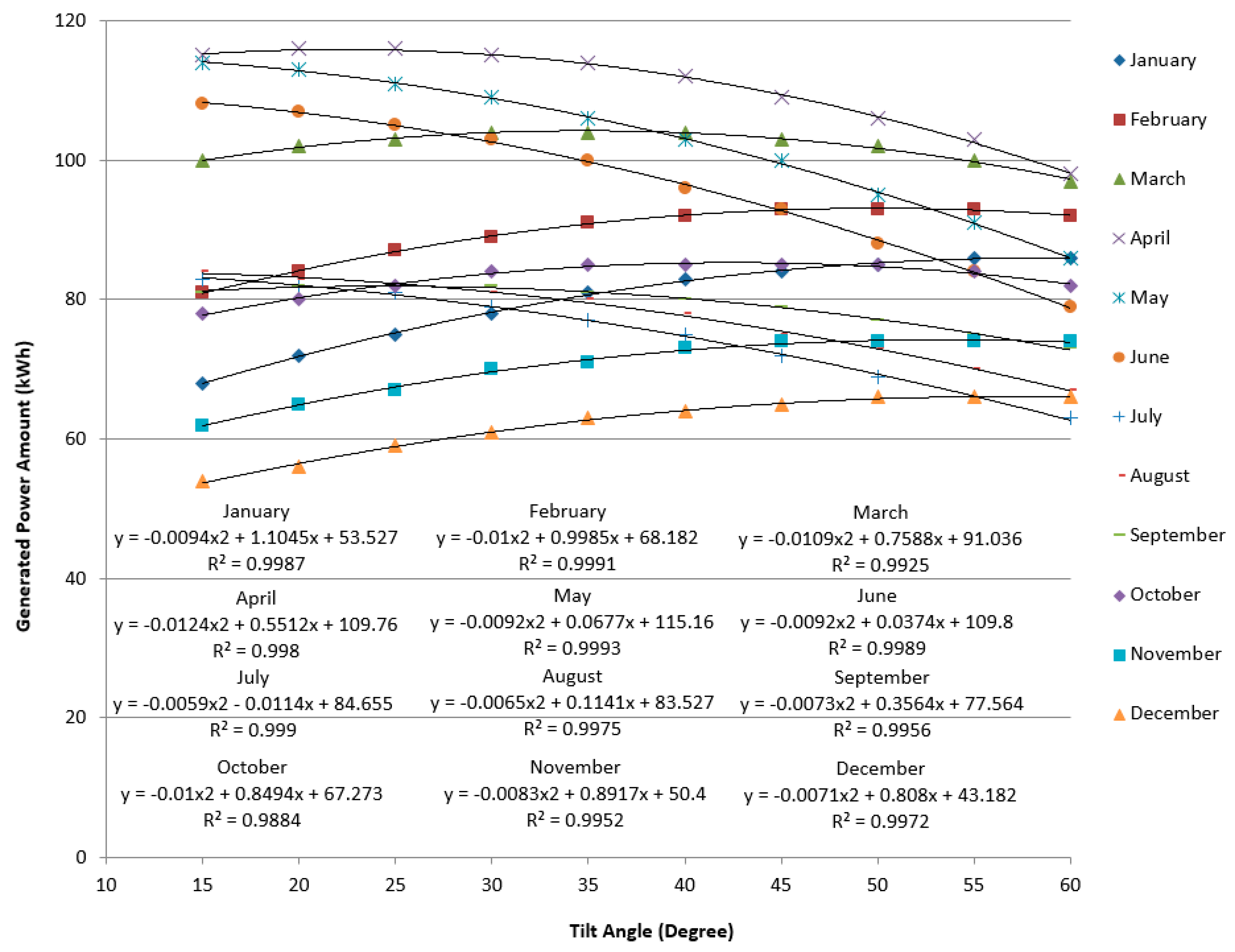
The monthly PV generation amount is affected by two major decision variables (PV angle, , and PV size, ). The first affecting factor is the tilted angle of the PV panel, as shown in Figure 3. As seen in the figure, the lowest angle (15°) generates the highest amount in June, while the highest angle (60°) generates the highest amount in December. The highest amounts in March and September occur in the middle.
Figure 3.
Monthly photovoltaics (PV) generation amounts with different tilt angles.
For this study, in order to estimate the energy production of the residential PV system, the PVWatts calculator [9], which was developed by the National Renewable Energy Laboratory (NREL) in the U.S. Department of Energy, was utilized. After inputting various PV system specifications such as the DC system size (unit size (1 kW) in this study), array type (fixed in this study), array azimuth (180° (full south) in this study), system losses (14% in this study), inverter efficiency (96% in this study), and PV tilt angle () into the software, we could obtain an estimation of the month-average solar radiation (kWh/m2/day), and the monthly unit-size PV generation amount (kWh) for a specific location.
For the specific location, this study selected Seoul, the capital city of South Korea. However, PVWatts provided the PV generation data of Incheon, as the nearest location from Seoul (24 miles west from the center of Seoul), whose latitude is 37.48° N and longitude is 126.55° E, as shown in Figure 4.
Figure 4.
Location of the solar data source (Incheon) from Google Maps.
The influencing factor, PV size (), can be multiplied by the unit-size generation amount (kWh/kW) at a certain PV angle (), to calculate the monthly PV generation amount ().
The PV-related construction cost () in Equation (1) is the function of PV size (). The original PV construction cost is 7,210,000 KRW/kW in this study. However, after considering the Korean government’s subsidy (60% of the original cost = 4,326,000 KRW/kW) and the building materials cost savings ($462,500/kW), the PV-related construction cost () becomes 2,421,500 KRW/kW (=7,210,000 − 4,326,000 − 462,500) multiplied by the PV size ().
The PV-related annual maintenance cost () in Equation (1) is 12,105.7 KRW/kW (0.5% unit ) multiplied by the PV size ().
4. Computational Results
The residential PV design model is optimized with various practical data, as proposed in the above sections. Figure 5 and Figure 6 show the total PV design cost, as specified in Equation (1), with different PV sizes (0 ≤ ≤ 3 kW, by 0.2 kW) and tilt angles (15° ≤ ≤ 60°, by 2.5°). In this resolution, 639,919 KRW, with a PV size of 1.2 kW and a PV tilt angle of 27.5° is the minimal design solution for the system.
Figure 5.
The total PV design cost.
Figure 6.
Map of the total PV design cost.
When we narrowed down the PV size (0.95 ≤ ≤ 1.3 kW) and the tilt angle (26.4° ≤ ≤ 28.6°), and then divided them into finer intervals (0.05 kW for the PV size and 0.1° for the tilt angle), Figure 7 and Figure 8 were obtained. At this resolution, we obtained a better solution (639,901 KRW with PV size of 1.2 kW and PV tilt angle of 28.3°~28.4°) than that with coarse resolution (639,919 KRW with PV size of 1.2 kW and PV tilt angle of 27.5°).
Figure 7.
The total PV design cost at a finer resolution.
Figure 8.
Map of the total PV design cost at a finer resolution.
In order to find a global optimal solution, we applied a genetic algorithm [10] as a global search meta-heuristic algorithm [11] to this PV design problem. When this meta-heuristic optimization algorithm was applied, we obtained an even better solution (639,824 KRW) at different solution spot (a PV size of 1.1904 kW and a PV tilt angle of 26.7013°) than those at the previous two resolutions. This phenomenon means that there exist local optimal solutions within the solution space.
Here, it should be noted that this PV design problem cannot be solved by using calculus-based approaches, because the monthly electric bill, as a part of the objective function, possesses stepped piecewise linearity, as shown in Figure 1. At certain stepped points such as 100, 200, 300, 400, and 500 kW, this cost function is not differentiable. Although a previous research [6] tackled this problem with a gradient-based approach, named SQP (Sequential Quadratic Programming), it had to sacrifice the accuracy of the objective function by smoothing out this step function with polynomial curve fitting.
In order to compare our approach by using a genetic algorithm with the old approach, using SQP, we first performed a polynomial regression based on the electrical rate data in Table 1, and obtained the following second-order polynomial function:
Then, based on Equation (6), the SQP optimization was performed, obtaining an optimal cost of 617,529 KRW, with a PV size of 1.3935 and a PV tilt angle of 29.7229°. It appears that the solution (617,529 KRW) from SQP was better than that (639,824 KRW) of our approach. However, when we verified the SQP solution with a real cost table (Table 1), we obtained 644,252 KRW, which is worse than our solution.
5. Conclusions
This study proposes a design optimization model for the residential PV systems in South Korea, where the objective function to be minimized consists of three costs, such as the monthly electric bill, the PV-related construction costs, and the PV-related maintenance cost. Here, the monthly electric bill has six ranges in the form of a stepped piecewise linear function. The PV-related construction costs also include the government’s subsidy and the building-material cost savings. The initial construction costs, and the annually occurring maintenance costs are fairly compared by introducing the capital recovery factor.
Regarding residential electrical consumption, four consumption types, such as year-round electric appliances, seasonal electric appliances, lighting appliances, and stand-by power, were considered. Also, regarding residential PV generation, the monthly generation amount was calculated by considering different solar altitude angles.
While local optimal solutions, this model could find the global optimal solution by using a genetic algorithm. We hope that this optimization model will be practically used in residential PV system designs in South Korea.
For future study, we plan to construct more detailed PV design optimization models by considering discrete PV size variables [12,13,14], ESS (energy storage systems) [15,16], AC–DC conversion [17], and more energy-efficient lighting devices (light-emitting diodes). Normally, the size of PV is discrete, because a PV system consists of an integer number of panels. Thus, we would like to consider this discrete nature of the PV size after gathering sufficient data in the future. In order to efficiently utilize surplus energy from the PV system, we may install an ESS and optimally schedule it [15].
The climate change cast over in Korea has made its summers hotter than before, which has led to more energy consumption in the summer months, and higher energy bills. Thus, the Korean government is about to reform the multi-stage progressive electric rate, in order for lower-income groups to be able to afford to pay it. Once all-new data, including billing, panel capacity and costs, ESS capacity & costs, etc., are obtained, we will correspondingly construct a more detailed and up-to-date model design.
Author Contributions
H.S. and Z.W.G. wrote the paper, and Z.W.G. supervised the submission.
Funding
This work was supported by the Korea Institute of Energy Technology Evaluation and Planning (KETEP), and the Ministry of Trade, Industry & Energy (MOTIE) of the Republic of Korea (No. 20163010140690).
Conflicts of Interest
The authors declare no conflict of interest.
References
- EIA (U.S. Energy Information Administration). Country Analysis Brief: South Korea. Available online: https://www.eia.gov/beta/international/analysis.php?iso=KOR (accessed on 4 February 2019).
- Geem, Z.W.; Roper, W.E. Energy Demand Estimation of South Korea Using Artificial Neural Network. Energy Policy 2009, 37, 4049–4054. [Google Scholar] [CrossRef]
- Geem, Z.W.; Kim, J.-H. Optimal Energy Mix with Renewable Portfolio Standards in Korea. Sustainability 2016, 8, 423. [Google Scholar] [CrossRef]
- Kang, K.-S.; Kim, M.-S.; Kwak, J.-Y. Renewable Energy Scenarios for 2030 in Korea. J. Wind Energy 2017, 8, 5–10. [Google Scholar]
- MOTIE (Ministry of Trade, Industry and Energy). White Paper on Trade, Industry and Energy (Energy Section); Korean Ministry of Trade, Industry and Energy: Sejong, Korea, 2018.
- Jeon, J.-P.; Kim, K.-H. An Optimal Decision Model for Capacity and Inclining Angle of Residential Photovoltaic Systems. Trans. Korean Inst. Electr. Eng. 2010, 59, 1046–1052. [Google Scholar]
- Renewable Energy Certificate. Available online: https://en.wikipedia.org/wiki/Renewable_Energy_Certificate_(United_States) (accessed on 4 February 2019).
- Mays, L.W.; Tung, Y.K. Hydrosystems Engineering and Management; McGraw-Hill: New York, NY, USA, 1992. [Google Scholar]
- NREL (The National Renewable Energy Laboratory). PVWatts® Calculator. Available online: https://pvwatts.nrel.gov/ (accessed on 4 February 2019).
- Goldberg, D.E. Genetic Algorithms in Search Optimization and Machine Learning; Addison-Wesley: Reading, MA, USA, 1989. [Google Scholar]
- Saka, M.P.; Hasançebi, O.; Geem, Z.W. Metaheuristics in Structural Optimization and Discussions on Harmony Search Algorithm. Swarm Evol. Comput. 2016, 28, 88–97. [Google Scholar] [CrossRef]
- Geem, Z.W. Size Optimization for a Hybrid Photovoltaic-Wind Energy System. Int. J. Electr. Power Energy Syst. 2012, 42, 448–451. [Google Scholar] [CrossRef]
- Askarzadeh, A. A discrete chaotic harmony search-based simulated annealing algorithm for optimum design of PV/wind hybrid system. Sol. Energy 2013, 97, 93–101. [Google Scholar] [CrossRef]
- Askarzadeh, A. Developing a discrete harmony search algorithm for size optimization of wind–photovoltaic hybrid energy system. Sol. Energy 2013, 98, 190–195. [Google Scholar] [CrossRef]
- Geem, Z.W.; Yoon, Y. Harmony Search Optimization of Renewable Energy Charging with Energy Storage System. Int. J. Electr. Power Energy Syst. 2017, 86, 120–126. [Google Scholar] [CrossRef]
- Aryani, D.R.; Kim, J.-S.; Song, H. Suppression of PV Output Fluctuation Using a Battery Energy Storage System with Model Predictive Control. Int. J. Fuzzy Logic Intell. Syst. 2017, 17, 202–209. [Google Scholar] [CrossRef]
- Fitri, I.R.; Kim, J.-S. An Optimal Current Control of Interlink Converter Using an Explicit Model Predictive Control. Int. J. Fuzzy Logic Intell. Syst. 2018, 18, 284–291. [Google Scholar] [CrossRef]
© 2019 by the authors. Licensee MDPI, Basel, Switzerland. This article is an open access article distributed under the terms and conditions of the Creative Commons Attribution (CC BY) license (http://creativecommons.org/licenses/by/4.0/).







