Featured Application
Silage probiotics.
Abstract
This study aims to evaluate the fermentation characteristics of Lactobacillus plantarum and Pediococcus spp isolated from sweet sorghum silage to enhance the fermentation quality of Napier grass and sweet sorghum silage. Based on molecular 16S ribosomal ribonucleic identification the isolated strains were phylogenetically related to Lactobacillus plantarum (HY1), Pediococcus acidilactici (HY2) and Pediococcus claussenii (HY3). Strains HY1, HY2 and HY3 and commercial bacteria Lactobacillus plantarum, Ecosyl; (MTD\1( were ensiled with sweet sorghum and Napier grass and the non-inoculated grasses, have been arranged in a completely randomized experimental design in a 5 (inoculants) × 3 (ensiling periods). In both grasses, the fermentation characteristics chemical composition and microbial population were assessed at 5–30 and 90 days of ensiling. The results showed that the effect of addition inoculants significantly reduced (p < 0.05) the pH, ammonia-N, acetic acid and undesirable microbial population and increased (p < 0.05) lactic acid and lactic acid bacteria counting when compared to the control. The effect of ensiling days on silage quality through the increasing lactic acid, acetic acid, ammonia-N, propionic acid and butyric acid whereas decreasing pH and water-soluble carbohydrates and microbial counts. In both sweet sorghum and Napier silage treated with isolated strains showed the best results in silage quality. The HY3 belongs to Pediococcus claussenii was not extensively studied in silage but it has shown good fermentation quality which strongly recommended to apply as probiotic.
1. Introduction
Natural and chemical additives have been adopted widely in silage processing used as a means of improving silage quality [1]. The mechanism of ensiling involves the conversion of water-soluble carbohydrates (WSC) by epiphytic and/or inoculated lactic acid bacteria (LAB) into lactic acid (LA) under anaerobic conditions [2,3].
The increased in LA content resulted in a reduction of pH value of the silage and a subsequent restriction in the growth pace of undesirable microbes which are deleterious to the fermentation process [4]. It known well, a predominant aspect of grass-based materials application is how to preserve the original nutrients and ensure sustainable supply [5]. An important objective in ensiling forage is to reduce extensive proteolysis, which increases the nutritional losses and leads to affect the quality of silage regarding protein quality and the intake [6].
Successful ensiling process, resulted in a reduced storage loss, preserve substantial amount of nutrients and produced edible silage with an ideal dry matter content but unsuccessful ensiling process produced bad silage that contains undesirable microorganisms like yeasts, moulds, mycotoxins, pathogenic bacteria [7,8]. According to a microbiological point of view, fungi colonizing plants at various stages of development and produce mycotoxins (i.e., deoxynivalenol, nivalenol, zearalenon, fumonisine, vomitoxin, T2, patulin, aflatoxin, ochratoxin) dangerous for humans, animals, plants and microorganisms. In addition, moulds can colonize plants as endophytes, which makes it very difficult to limit these microorganisms from silage [9,10,11].
During the fermentation process some problems might appear such as insufficient lactic acid fermentation and bad smell of silage [12].One of the most practices to improve the fermentation process its adding LAB which could be ensure the appropriate production of lactic acid and decrease the amounts of acetic, butyric and propionic acid [13]. LAB inoculants have a long history and have been incorporated into silage making as an effective technique to increase LA production [14].
Researchers have mentioned that LAB is considered safe for a wide range of reasons: like healthy, ease of handling, nontoxic nature and low cost, low energy required and high yields. LAB fermentation contributes beneficially in food processing technology and the quality of the end-products such as flavour, shelf-life and safety and sensory profile of the final products [14,15,16,17,18,19,20]. LAB from the genera Lactobacillus, Bifidobacterium and Pediococcus are commonly classified as probiotics [21]. The species Lactobacillus plantarum characterized by rapid productive of lactic acid and tolerant to acidity which was wildly applied to enhance the forage fermentation. While Pediococcusacidilactici is identified describes as rapid productive to lactic acid and faster growing than Lactobacillus, though it adapts for a wild range of temperatures [21,22,23].
However, Lactobacillus spp, unlike Pediococcusspp, has the potential of improving lactic acid production, lowering pH, competes with spoilage organisms, minimizes gas losses and proteolysis [24]. Thus this study aims at evaluating the efficiency of LAB isolated from sweet sorghum silage on enhancing the fermentation quality based on a comparison between sweet sorghum and Napier grass silages.
2. Materials and Methods
2.1. Experimental Procedures
The experiment has been performed in the following two processes: (1) Isolating of LAB from sweet sorghum silage and (2) Inoculating the isolated LAB with sweet sorghum and Napier grass.
2.1.1. LAB Strains Isolation and Identification
The isolation of LAB was performed from sweet sorghum silage, a sub-sample of silages (ten grams) were diluted with 90 ml of sterilized saline solution (8.50 g/L NaCl) and was shaken by a shaker 120 rpm, for 2 hours. The dilution10−1 to 10−6 was prepared out of the last dilution of that samples. A fifty μl of the suspension was poured on a Glucose Yeast Peptone (GYP) medium and incubated under anaerobic conditions for three days at 37 °C by using an anaerobic box in darkness. Only one colony of each grown LAB was pour-plated in the Man Regosa Sharp (MRS) medium and the cultures were incubated at 37 °C for 24 hours in an anaerobic box under conditions of darkness [25] then, the colonies of LAB were selected and marked. Those isolated strains were purified by successive streaking onto the same medium twice, then selected and transferred one colony to 5 ml of MRS broth and kept in oven 37 °C for 24 hours. After that, the strains were preserved by dilution with 40% glycerol solution and stored at −20 °C for further examinations.
2.1.2. Morphological, Physiological and Biochemical Tests
After 24 hours of incubation on MRS agar Gram staining, Catalase activity and gas production from glucose of LAB were examined as previously described [26]. Growth in MRS broth at 10, 15, 25, 40, 45 and 50 °C was observed for 48 h. Growth of LAB at pH 3.0, 3.5, 4.0, 4.5, 5.0, 5.5, 6.5 and 7.5 was observed in MRS broth after incubation at 30 °C for 48 h. Salt tolerance was determined in MRS broth containing NaCl at 3.5, 6.5 and 9.5% as the method described by [2]. Carbohydrate fermentation was examined by the API 50 CHL® assay (bioMérieux, L’Étoile, France).
2.1.3. Extraction of Bacterial Deoxyribonucleic acid
The DNA extraction and purification from bacterial (isolates) were carried out according to the procedures described by [27]. Briefly, overnight bacterial cultures were centrifuged individually at 13,000 g for 6 min., then washed twice with phosphate saline buffer (PBS) and incubated at 37 °C for one h, in 400 mL of lysis buffer [0.2 mg/L sucrose, 1.5 g/L Tris–HCl, 3 g/L NaCl and 3 g/L EDTA] containing lysozyme (10 g/L). 20 ml of SDS solution (100 g/L) and two ml of proteinase K solution (20 g/L) were added to each tube, gently mixed and incubated at 37 °C for 1.5 hours. After incubation, DNA was extracted using the phenol: chloroform method (1:1) ratio and precipitated with ethanol (2.5 volume) and sodium acetate (1/10 the volume of 3 M). The purity, as well as the yield of RNA in the aqueous phase, was assessed spectrophotometrically and stored at −20 °C to be used later.
2.1.4. LAB Identification by 16S rRNA Sequencing Analysis
16S rDNA fragment was amplified by PCR thermal cycler (Takara Shuzo Co., Ltd., Ohtsu, Japan). Universal primers were used to identify LAB. The primers were designed using the invariant region in the 16S rRNA sequences for LAB which obtained from Sigma Scientific Services Co., Karlsruhe Germany. The used primers were prokaryotic 16S ribosomal RNA universal primers 27F (5′-GAGTTTGATCCTGGCTCA-3′) and 1492R (5′-ACCTTGTTACGACTT-3′), it has been developed by [28]. While, the used DNA marker was 100– 1500 bp (TAKARA BIO INC., Shiga, Japan) that was used as the molecular weight standard [29]. Consequently, the amplified DNA sequencing reactions were performed by using an automated DNA sequencer(PCR). Database searches were performed via the usage of the latest release of the non-redundant DNA sequence database present at the National Centre for Biotechnology Information (NCBI) website, located at http://www.ncbi.nlm.nih.gov/BLAST. Homolog analysis was conducted using the Basic Local Alignment Search Tool (BLAST) program [30]. Phylogenetic distances were calculated by MEGA software (version 6.0), using a Neighbour-Joining method and a Kimura 2-parameters modelling analysis.
2.2. Silage Making
Two forage crops, were harvested at the maturing stage sweet sorghum (Sorghum bicolour) after 90 days of plantation while Napier grass (Pennisetum purpureum.) harvested after 95 days of planting. The grasses were wilted overnight then chopped into 1–2 cm-long pieces by a forage cutter. The chemical composition and microbial analysis of fresh grasses were given in Table 1.
Table 1.
Chemical composition and microbial analysis for fresh sweet sorghum and Napier grass.
Strains HY1, HY2, HY3 and Lactobacillus plantarum, Ecosyl MTD\1 (commercial bacteria) were arranged according to McFarland turbidity standards, the inoculation at 106 colony forming units (cfu)/g fresh matter (FM). Grasses without inoculant used as a control. After treating and mixing well, a silo (8 cm in diameter and 12 cm in length) was filled with each treated batch and sealed with a screw top and plastic tape. A resulted of 45 silos for each grass were kept in room temperature. Three silos of each treatment were opened at 5, 30 and 90 days followed ensiling.
Chemical and Microbial Analysis of Fresh Grasses and Silage
From the chopped grasses, 80 g was dried at 65 °C for 72 hours in triplicate. The material was grounded to pass a 1 mm screen and stored in plastic bags at room temperature. To be used in determining the dry matter (DM), Water-soluble carbohydrates (WSC), neutral detergent fibre (NDF), acid detergent fibre (ADF) and crude protein (CP) as the method described by [31]. WSC content was determined by using the method [32]. Twenty grams from grasses was diluted with 180 mL of distilled water and stored in the refrigerator at 4 °C for 24 hours. Then, the mixture was filtered and the pH was measured using a glass electrode pH meter (HI221, Hanna Ltd., Italy) and the buffering capacity (BC) was determined according to procedures described by [33].
The silos were opened according to the scheduled time and a sub-sample of silages DM, pH, WSC, NDF and ADF were measured with the same methods used in fresh grasses. Ammonia-N was determined by procedures described by [34]. The organic acids were measured in High-performance liquid chromatography )HPLC) 1260 (Agilent Technologies, Inc., Hewlett-Packard-Strasse 8 76337 Waldbronn, Germany; column: Carbomix®H-NP5, Sepax Technologies, Inc., Newark, DE, USA; detector: refractive indexdetector, Agilent Technologies, Inc Hewlett-Packard-Strasse 8 76337 Waldbronn, Germany; eluent: 0.5 ml/min, 2.5 mmol/L H2SO4; temperature: 55 °C).
Fresh material and silages microbial populations were determined as methods described by [31]. Briefly, 10 grams of the sample was mix with 90 ml of sterilized saline solution (8.50 g/L NaCl) and the dilutions 10−1 through 10−6 were prepared in sterile saline solution. LAB counting on deMan Rogosa Sharp agar medium (Difco Laboratories, Detroit, MI, USA) at 37 °C for 3 days (N2:H2:CO2 = 85:5:10, YQX-II, CIMO Medical Instrument Manufacturing Co., Ltd., Shanghai, China). Aerobic bacteria were poured on nutrient agar medium (Nissui-seiyaku Ltd., Tokyo and Japan) then incubated at 37 °C for 3 days. Yeasts and moulds were counted, on potato dextrose agar (Nissui-seiyaku Ltd., Tokyo, Japan), the agar plates were incubated at 37 °C for 3 days, before colony counting. The results between 30 and 300 colonies were considered and expressed as log CFU/g.
2.3. Data Analysis
Data were analysed using the GLM procedure of the Statistical Analysis System (SAS 8.0, to the model for a factorial treatment design as follows: Yij = u + Ii + Tj + (I + T) ij + eij, where Yij is the dependent variable; u is overall mean; Ii is the effect of LAB inoculation; Tj is the effect of fermentation days; (I + T)ij is the effect of interaction between LAB inoculation and ensiling days; and eij is the residual error. Turkeys HSD (honestly significant difference) test was employed to compare the differences between the treatment means, p < 0.05 was considered significant. The fermentation coefficient (FC) was calculated according to Weissbach (1999) [35] as follows: FC = DM (g/Kg) + 8 WSC/BC.
3. Results
3.1. Characteristics of LAB Isolates
The isolated rains comprised a rod with coccus shaped, gram-positive, negative catalase and both homo fermentative. As presented in Figure 1, the isolated LAB strain HY1 placed in the cluster of species Lactobacillus plantarum, which indicated a more than 95% of similarity, strain HY2 was clearly identified as Pediococcus acidilactici, which showed a similarity of 96%, while strain HY3 was categorized as Pediococcus claussenii, coarsely with a high similarity of 99%. The isolated LAB strains showed good growth at high temperature 50 °C and low pH 3.5. The LAB isolates grew well in MRS broth medium with 3%and 6.5% NaCl. The isolated LAB was deemed as sensitive to low temperatures.
Figure 1.
A phylogenetic tree showing the position of strains HY1, HY2 and HY3 based on 16S rRNA sequences constructed by the neighbourhood-joining method. Numerals at the nodes indicate bootstrap values (%) derived from 1000 replications.
As shown in Table 2 the strain HY1 ferment most of the carbohydrate substrates except Inositol, while the strain HY2 and HY3 fail to ferment some substrates such as Sorbose, Sorbitol and Maltose. The isolated strains were deposited in GenBank (https://www.ncbi.nlm.nih.gov/genbank/) under accession numbers KY484772 for HY1 strain, KY494431 for strain HY2 and KY484789 for strain HY3.
Table 2.
Description and characteristic of LAB isolated from sweet sorghum.
3.2. Fermentation Quality of Sweet Sorghum and Napier Grass
According to Figure 2A, the incubated LAB and ensilage days significantly change the pH (p < 0.05) in treated of sweet sorghum; with a rapid drop in the first 5 days of ensilage, then its trend to stabilize. At all days of ensiling, the treated batches had a lower pH compared to control. The strain MTD\1 showed high pH after control. At the end day of ensiling, the HY1 HY2 and HY3 could reduce the pH by 14.9% pH 13.4 % and 13.9% respectively. On the other hand, the effect of LAB on Napier grass pH showed that a significant difference (p < 0.05) compared to untreated batches Figure 2B. Similar to sweet sorghum silage the strain MTD\1 showed higher pH next to control whereas the drop in pH in strains HY1, HY2 and HY3 was 18.9%, 16.5% and 16.7% respectively. The pH changes overtime for Napier grass demonstrated a clear regression than sweet sorghum.
Figure 2.
Effect of LAB inoculants on pH dynamics (A) sweet sorghum, (B) Napier grass silage, during different opening times.
As shown in Figure 3A, the WSC contents of sweet sorghum a significantly (p < 0.05) decreased when belonging the ensiling time. Nonetheless, day 5 and 90 presented no significant difference between treated and untreated silage. On day 30 the strains, grass treated with HY1, HY2 and HY3 showed lower WSC (p < 0.05) as compared to MTD\1 and control. As shown in Figure 3B, treated and untreated Napier grass recorded similar WSC concentration except in day 5, where HY2 and HY3 strains showed lower WSC. The WSC content of Napier grass significantly declined (p < 0.05) from day 5 to 90. The concentration of WSC was decreased when the store time extended.
Figure 3.
Effect of LAB inoculants on WSC converts (A) sweet sorghum, (B) Napier grass silage, during different opening times.
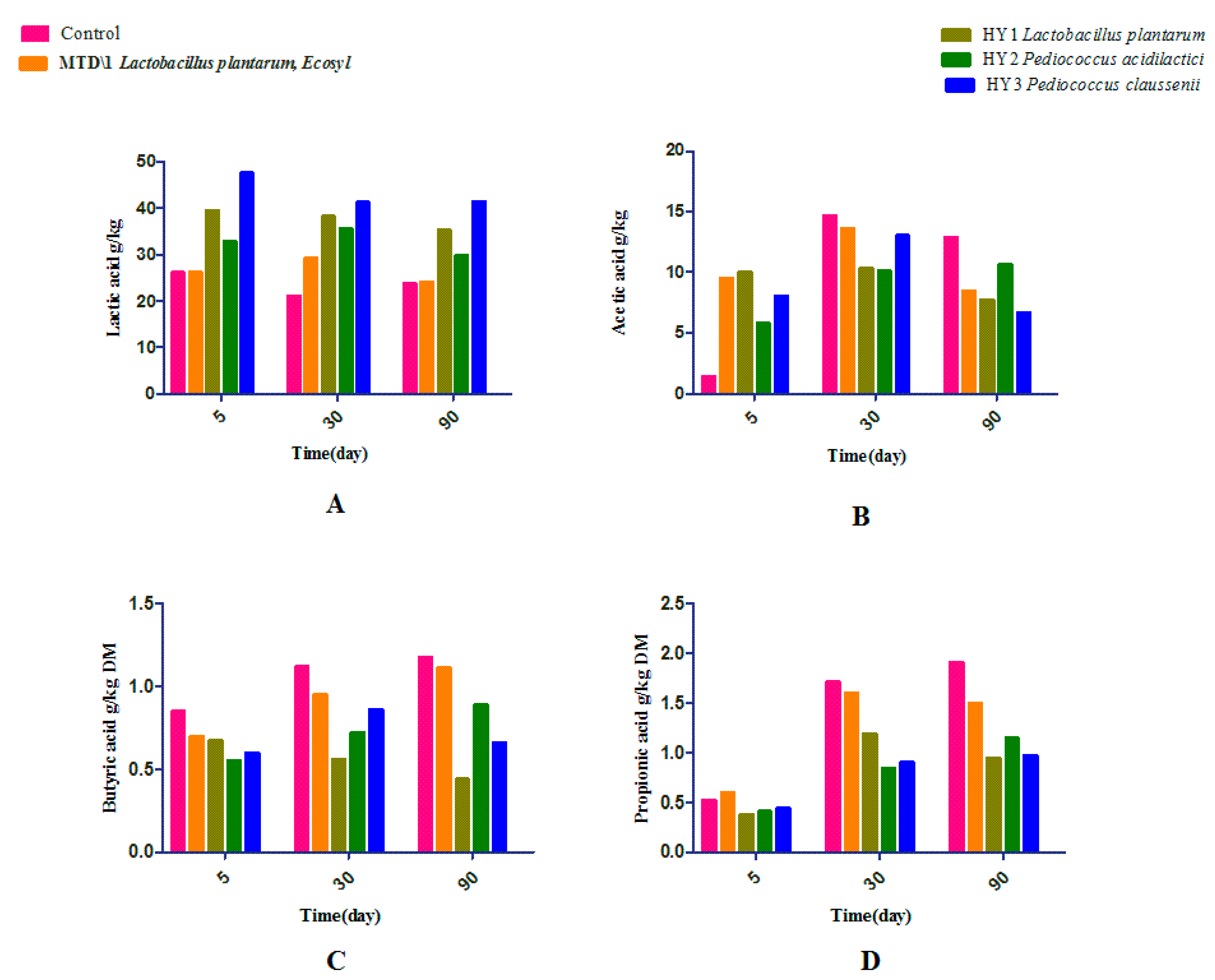
Concerning silage organic acid, as shown in Figure 4 from day 5 to 90 the treated sweet sorghum batches produced high LA than control (p < 0.05). The content of LA increased rapidly in silages treated with isolated LAB compared to MTD\1 and control. During different opening time strain, HY3 produced a high amount of LA. The contents of acetic acid (AA), butyric acid (BA) and propionic acid (PA) increased significantly (p < 0.05) with prolonged ensiling days in all silages. The lower amount of AA, PA and BA in treated silages, while no significant difference between treated and untreated silage on ethanol produced. The ratio of LA to AA increased during the ensiling time in treated silage.
Figure 4.
Effect of LAB inoculants on organic on sweet sorghum silage (A) lactic acid, (B) acetic acid, (C) butyric acid, (D) propionic acid during different opening times.
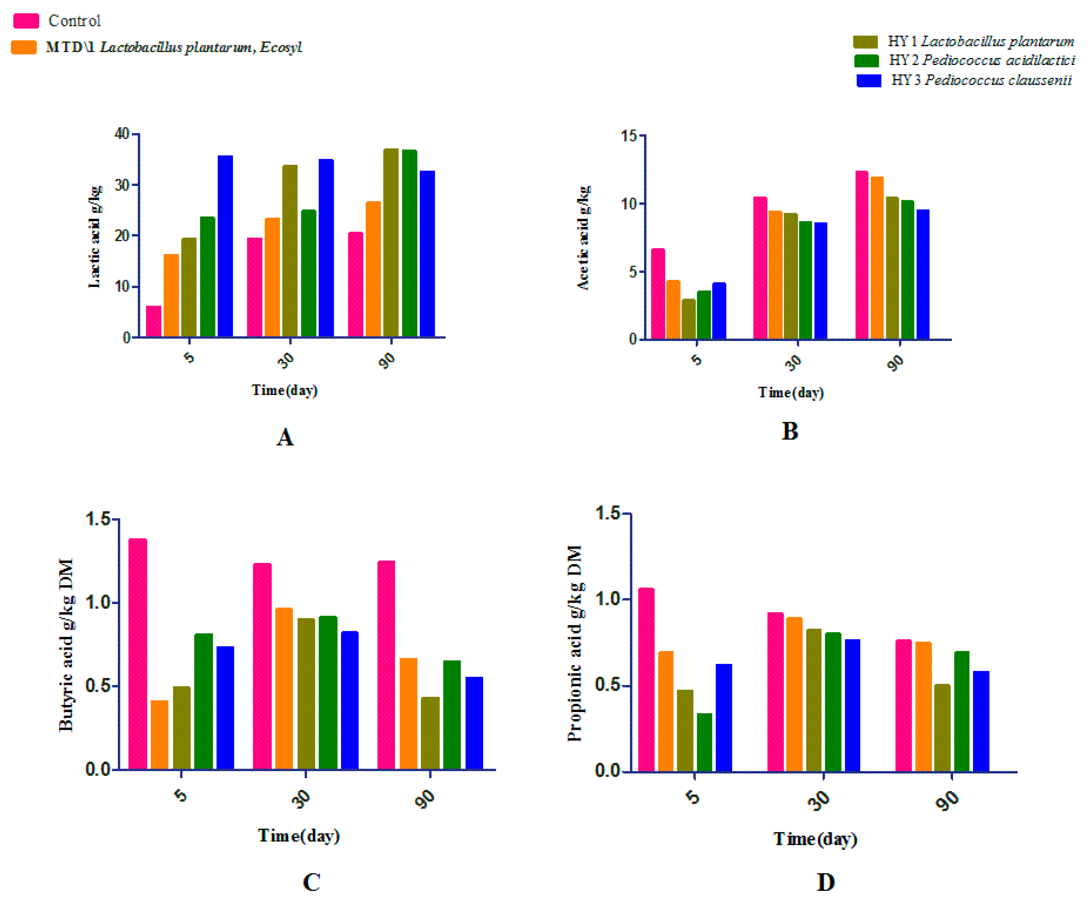
According to Figure 5, the LAB incubated with Napier grass resulted in significant (p < 0.05) increase in LA and lower the concentrations of AA, PA and BA. The higher LA produced by HY3 then followed by HY1 and HY2 treatment on all opening times. The concentration of LA and AA in Napier grass was lower compared to that of sweet sorghum.
Figure 5.
Effect of LAB inoculants on organic on Napier grass silage (A) lactic acid, (B) acetic acid, (C) butyric acid, (D) propionic acid during different opening times.
Concerning to silage NH3-N, in both sweet sorghum and Napier grass the isolated strains significantly reduced (p < 0.05) NH3-N compared to untreated silages. On 5 and 90 days of ensiling the strain HY3 produced lower NH3-N in both grasses (Table 3 and Table 4). Moreover, the NH3-N content increased steadily with extending the ensiling time for both grasses. Concerning the DM and according to Table 2 and Table 3, the LAB treatments in both grasses did not show any significant difference into the control in silages.
Table 3.
Effects of LAB inoculant on DM, Ammonia-N and microbial counting of sweet sorghum ensiling for 90 days.
Table 4.
Effects of LAB inoculant on DM, Ammonia-N and microbial counting of Napier grass ensiling for 90 days.
3.3. Microbial Profile of Sweet Sorghum and Napier Grass Silage
A significant interaction between inoculants and ensiling time significantly change (p < 0.05) were observed on the microbial profile of both silages. As presented in Table 5, sweet sorghum silage treated with HY1 showed higher LAB count on day 30 and 90, while treated HY2 and HY3 showed higher count in 5 days then decreased. Aerobic bacteria, yeasts and moulds significantly decreased (p < 0.05) in treated silage than untreated silages. The strain HY1 had a low count of aerobic bacteria in all opening time. On day 30 and day 90 no yeast and moulds were detected in treated silage. In the case of Napier grass according to Table 6, the LAB count in both treated and untreated silage increased steadily with extending the ensiling day. All isolated strains increased the number of LAB; the strain HY2 presented high count in all opening days. Undesirable bacteria showed a high number on treated and untreated silage. Yeasts and moulds had top counts into both treated and untreated silage in day 5 and 30 and significantly (p < 0.05) reduced in treated silage. No yeasts and moulds were detected in 90 days.
Table 5.
Effects of LAB inoculant on neutral detergent fibre and acid detergent fibre contents of sweet sorghum and Napier grass at day 90 of ensiling.
Table 6.
Statistics analysis of pH, WSC and microbial population of sweet sorghums and Napiergrass on day 60 of incubation compared to fresh grasses.
During the ensiling process, according to Table 5, the NDF and ADF content showed no significant difference in treated and untreated.
3.4. Statistical AnalysisFresh and End Product of Silage
In order to value the effect of the ensiling time and LAB inoculants, the fermentation parameters of fresh grasses and last day silage were analysed Table 6. The pH, WSC and LAB in treated and untreated silage showed a significant difference (p < 0.05) compared to fresh material in both grasses. While the Napiergrass treated and untreated silage NDF significant difference (p < 0.05). Whereas no significant difference was observed in ADF in both grasses.
4. Discussion
The sweet sorghum and Napier grass used in this study contains relatively low DM, WSC and crude protein. According to Herrmann et al. [36] forages with insufficient fermentable substrate or too low dry matter content have a FC of < 35, which indicate difficulty in the preservation of the biomass as silage. In the present study, the FC of both grasses was less than 35 and WSC/BC ratio was less than 3, therefore demonstrating the necessity of LAB addition. The DM is one of the most important factors for ensuring the success of the ensiling process [37], the optimal DM content for grasses was determined to be ranging between 350–400 g/kg [38]. In present study both grasses had a DM less than the ideal range and the LAB treatments had a minor effect on DM, NDF and ADF which was in close consent to the results achieved by [39,40].
It is well known that, a good preserved silage characterized by low pH, according to [41] rapid acidification reduces the risk of undesirable microorganism growth during the early stage of ensiling therefore the rate of pH decline may be more important than the final pH. In this study, the pH of all treated batches continued to reduce the pH from the start till the end of the experiment and this finding in consistent with [42]. The more rapid pH decrease when adding the LAB inoculant provide a clear indication regarding its role in the fermentation process stimulation. As the inoculants reduced the pH from 5.76 to 3.9 in sweet sorghum and Napier grass from 5.97 to 4.9 in first 5 days of ensiling, the reduction was commensurately with the LA produced. This findings are in agreement with [43], the faster reduction in pH is correlated with the high LA content which would further lead to improved nutrients preservation. Yuan 2015, also found high LA when applied Lactobacillus spp in total mixed rations among other chemicals [44]. As the previous studies mentioned, the addition of LAB inoculants at ensiling is intended to ensure rapid and vigorous fermentation [45].
As previously mentioned by [3] using LAB to enhance silage quality by significantly improving the lactic acid concentration of silage, which is compatible with the present results, when the high LA concentration is produced by incubated LAB than control and commercial bacteria. On another hand, untreated sweet sorghum batch produced a lower amount of WSC this may due to the efficiency of epiphytic LAB to convert sugars and his results can be supported by the outcomes of Zhang (2015), mixed the sweet sorghum with alfalfa which revealed a pH decline [46]. However, all strains isolated in currant study were a homofermentative LAB those bacteria are preferred during the ensiling process, because of their ability to rapidly convert forage sugars to lactic acid, which has a high acidifying potential [3].
The other organic acids AA, BA and PA were produced when the undesirable bacteria fermented the WSC [47,48] and they are considered not desirable because of their a negative effect on the voluntary intake [49]. In this study, the LAB inoculant succeeded to reduce the amount of these acids which may occur due to restricting the vigour of undesirable microorganisms. This results were in agreement with [50], who reported that, soybean silage inoculated with L. plantarum showed an acceptable reduction on AA and BA.
The fermentation process mainly depends on the availability of microorganisms in the silage, the water content of the crop and the type of substrate available for fermentation [51]. In our study, the pH and WSC decreased on both treated and untreated grasses and this result agrees with previous studies by [34]. The fast decline in WSC content and high production of LA in the first 5 days of ensiling could indicate by the ability of LAB to inhabit the other microorganisms. In this point, previously reported that, in addition to LAB, some other microorganisms in the fermentation process compete for available nutrients [52].
Other fermentation factor related to clostridial fermentation the ammonia N in silage which is predominantly a product of amino acids [49]. Proteolysis occurs mostly when the pH is too high and in the presence of a large amount of soluble proteins. Our study demonstrated that LAB incubation could reduce ammonia N concentration and this might be due to their ability to compete with the undesirable microorganism activates. However, the poor silage quality occurred when LAB fails to produce sufficient lactic acid during fermentation to reduce the pH and inhibit the growth of clostridia [53].
Successful fermentation process resulted in LAB domination among other micro-organism population, which produce lactic and other acids and due to presence of lactic acid, the pH drops to 5—3.8 [37,54] which in consist to present study. As shown in this study, the fresh grasses were rich in LAB, with a relatively high content of yeast and aerobic bacteria, this numbers of undesirable organisms was decreased in both treated and untreated silage. researchers mentioned that LAB could replace undesirable micrograms yeast and moulds, thus improving silage preservation [55]. Unlike sweet sorghum, Napier grass silage had a high number of aerobic bacteria, mould and yeasts, according to the occurrence of a number of undesirable microorganisms at low levels in fresh plant materials, leading to their probable growth during the storage of silage, henceto anaerobic or aerobic spoilage [56]. However the aerobic microbial decreases the nutritional value of the silage but also presents a hazard to animal health and the products quality and safety.
As known well, the quality of silage depends on the competition between different microorganisms [56]. At the end of ensiling the strain HY1, which had been clustered into the Lactobacilli showed the best results in pH dropping in Napier grass compared to sweet sorghum. While strain HY2, which is of the Pediococus acidilacticis species, recorded excellent results in reducing pH as well as in other fermentation parameters in sweet sorghum. Pediococcuspentosaceus and Pediococcus acidilactici are the main species used in fermentation processes as astarter (co-culture) for avoiding contamination [21] even though the strain Pediococcusclaussenii was not studied as a starter intensively and in our study showed good fermentation characteristics. Previously researchers found that the homolactic fermentation such as pediccouss acidacticicii stable for low WSC forages [53]. It is known that, adequate WSC and LAB counts are important for the rapid establishment and growth of LAB.
5. Conclusions
Sweet sorghum and Napier grass ensiled for 90 days demonstrated high fermentation characteristics and more suitable chemical composition than the fresh material. Reaching for a conclusion we can presume that, the LAB inoculants acted differently on both grasses, even though the source of isolates did not greatly effect silages quality of both grasses. In conclusion all inoculants succeeded to reduce the pH, ammonia –nitrogen, AA, BA and PA due totheir abilities to convert sugars and produce sufficient LA which resulted in favourable silage quality.
Author Contributions
Conceptualization, H.A.; Methodology, Software and Validation, H.A.; Formal Analysis, A.M.; Investigation, H.A.; Resources, H.A.; Data Curation, H.A.; Writing—Original Draft Preparation, T.S.; Writing—Review & Editing, J.B.; Visualization, X.Y.; Supervision, T.S.
Funding
This work was supported by Natural Science Foundation of China (31672488, 31502015), Independent innovation of agricultural sciences in Jiangsu Province (CX (15)1003) and National Key Research and Development Plan (2016YFC0502005).
Acknowledgments
We deeply thankful to EhabBoTrabi, AliAssar and WazhaMughabe for their help and support.
Conflicts of Interest
The authors declare no conflict of interest.
References
- Titterton, M.; Bareeba, F. Grass and Legume Silages in the Tropics. In Proceedings of the FAO electronic conference on tropical silage; Silage making in the tropics with particular emphasis on smallholders, Rome, Italy, 1 September–15 December 1999. [Google Scholar]
- Cai, Y. Identification and characterization of enterococcus species isolated from forage crops and their influence on silage fermentation. J. Dairy Sci. 1999, 82, 2466–2471. [Google Scholar] [CrossRef]
- MacDonald, P.; Henderson, A.; Heron, S. Chapter 2: Crops for silage. In The Biochemistry of Silage; Chalcombe Publications: Southampton, UK, 1991. [Google Scholar]
- Mohd-Setapar, S.; Abd-Talib, N.; Aziz, R. Review on crucial parameters of silage quality. APCBEE Procedia 2012, 3, 99–103. [Google Scholar] [CrossRef]
- Li, L.; Sun, Y.; Yuan, Z.; Kong, X.; Wao, Y.; Yang, L.; Zhang, Y.; Li, D. Effect of microalgae supplementation on the silage quality and anaerobic digestion performance of many flower silvergrass. Bioresour. Technol. 2015, 189, 334–340. [Google Scholar] [CrossRef]
- Saarisalo, E.; Skyttä, E.; Haikara, A.; Jalava, T.; Jaakkola, S. Screening and selection of lactic acid bacteria strains suitable for ensiling grass. J. Appl. Microbiol. 2007, 102, 327–336. [Google Scholar] [CrossRef] [PubMed]
- Müller, C.; Pauly, T.; Udén, P. Storage of small bale silage and haylage–influence of storage period on fermentation variables and microbial composition. Grass Forage Sci. 2007, 62, 274–283. [Google Scholar] [CrossRef]
- Latorre, A.; Dagnac, T.; Lorenzo, B.F.; Llompart, M. Occurrence and stability of masked fumonisins in corn silage samples. Food Chem. 2015, 189, 38–44. [Google Scholar] [CrossRef]
- Alonso, V.A.; Pereyra, C.M.; Keller, L.A.M.; Dalcero, A.M.; Rosa, C.; Chiacchiera, S.M.; Cavaglieri, L.R. Fungi and mycotoxins in silage: An overview. J. Appl. Microbiol. 2013, 115, 637–643. [Google Scholar]
- Fijałkowska, M.; Przemieniecki, S.W.; Kurowski, T.; Lipiński, K.; Nogalski, Z.; Purwin, C. Ensiling suitability and microbiological quality of virginia fanpetals biomass. Can. J. Anim. Sci. 2017, 97, 541–544. [Google Scholar] [CrossRef]
- Przemieniecki, S.W.; Damszel, M.; Kurowski, T.P.; Mastalerz, J.; Kotlarz, K. Identification, ecological evaluation and phylogenetic analysis of non-symbiotic endophytic fungi colonizing timothy grass and perennial ryegrass grown in adjacent plots. Grass Forage Sci. 2019. [Google Scholar] [CrossRef]
- Kizilşimşek, M.; Küsek, M.; Gezginc, Y.; Erol, A. Isolation and identification of high lactic acid producer bacteria from forage and their silages grown in different ecologies. Kafkas Univ. Vet. Fak. Derg. 2016, 22, 291–296. [Google Scholar]
- Salvucci, E.; LeBlanc, J.G.; Pérez, G. Technological properties of lactic acid bacteria isolated from raw cereal material. LWT Food Sci. Technol. 2016, 70, 185–191. [Google Scholar] [CrossRef]
- Dalheim, M.O.; Arnfinnsdottir, N.B.; Widmalm, G.; Christensen, B.E. The size and shape of three water-soluble, non-ionic polysaccharides produced by lactic acid bacteria: A comparative study. Carbohydr. Polym. 2016, 142, 91–97. [Google Scholar] [PubMed]
- Anadón, A.; Martínez-Larrañaga, M.R.; Martínez, M.A. Probiotics for animal nutrition in the european union. Regulation and safety assessment. Regul. Toxicol. Pharmacol. 2006, 45, 91–95. [Google Scholar] [PubMed]
- Datta, R.; Henry, M. Lactic acid: Recent advances in products, processes and technologies—A review. J. Chem. Technol. Biotechnol. 2006, 81, 1119–1129. [Google Scholar] [CrossRef]
- Filya, I. The effect of lactobacillus buchneri and lactobacillus plantarum on the fermentation, aerobic stability, and ruminal degradability of low dry matter corn and sorghum silages. J. Dairy Sci. 2003, 86, 3575–3581. [Google Scholar] [CrossRef]
- Kasra-Kermanshahi, R.; Fooladi, J.; Peymanfar, S. Isolation and microencapsulation of lactobacillus spp. From corn silage for probiotic application. Iran. J. Microbiol. 2010, 2, 98. [Google Scholar]
- Marti, E.; Variatza, E.; Balcazar, J.L. The role of aquatic ecosystems as reservoirs of antibiotic resistance. Trends Microbiol. 2014, 22, 36–41. [Google Scholar] [CrossRef]
- Van Loveren, H.; Sanz, Y.; Salminen, S. Health claims in europe: Probiotics and prebiotics as case examples. Annu. Rev. Food Sci. Technol. 2012, 3, 247–261. [Google Scholar] [CrossRef] [PubMed]
- Porto, M.C.W.; Kuniyoshi, T.M.; de Azevedo, P.O.D.S.; Vitolo, M.; de Souza Oliveira, R.P. Pediococcus spp.: An important genus of lactic acid bacteria and pediocin producers. Biotechnol. Adv. 2017, 35, 361–374. [Google Scholar] [CrossRef] [PubMed]
- Fitzsimons, A.; Duffner, F.; Curtin, D.; Brophy, G.; O’kiely, P.; O’connell, M. Assessment of pediococcus acidilactici as a potential silage inoculant. Appl. Environ. Microbiol. 1992, 58, 3047–3052. [Google Scholar]
- Moran, J.; O’kiely, P.; Wilson, R.; Crombie-Quilty, M. Enumeration of lactic acid bacteria on grass and the effects of added bacteria on silage fermentation. Ir. Grassl. Anim. Prod. Assoc. J. 1990, 24, 46–55. [Google Scholar]
- Pahlow, G.; Muck, R.E.; Driehuis, F.; Elferink, S.; Spoelstra, S.F. Microbiology of ensiling. Agronomy 2003, 42, 31–94. [Google Scholar]
- Thonart, P.; Dortu, C. Les bactériocines des bactéries lactiques: Caractéristiques et intérêts pour la bioconservation des produits alimentaires. Biotechnol. Agron. Soc. Environ. 2009, 13, 143–154. [Google Scholar]
- Kozaki, M.; Uchimura, T.; Okada, S. Experimental Manual of Lactic Acid Bacteria; Asakurasyoten: Tokyo, Japan, 1992; pp. 34–37. [Google Scholar]
- Cheng, H.-R.; Jiang, N. Extremely rapid extraction of DNA from bacteria and yeasts. Biotechnol. Lett. 2006, 28, 55–59. [Google Scholar] [CrossRef]
- Lane, D. 16s/23s rrna sequencing. In Nucleic Acid Techniques in Bacterial Systematics; John Wiley & Sons: New York, NY, USA, 1991; pp. 115–175. [Google Scholar]
- Shehata, M.; El Sohaimy, S.; El-Sahn, M.A.; Youssef, M. Screening of isolated potential probiotic lactic acid bacteria for cholesterol lowering property and bile salt hydrolase activity. Ann. Agric. Sci. 2016, 61, 65–75. [Google Scholar] [CrossRef]
- Altschul, S.F.; Madden, T.L.; Schäffer, A.A.; Zhang, J.; Zhang, Z.; Miller, W.; Lipman, D.J. Gapped blast and psi-blast: A new generation of protein database search programs. Nucleic Acids Res. 1997, 25, 3389–3402. [Google Scholar] [CrossRef]
- Liu, Q.; Shao, T.; Bai, Y. The effect of fibrolytic enzyme, lactobacillus plantarum and two food antioxidants on the fermentation quality, alpha-tocopherol and beta-carotene of high moisture napier grass silage ensiled at different temperatures. Anim. Feed Sci. Technol. 2016, 221, 1–11. [Google Scholar] [CrossRef]
- Murphy, R. A method for the extraction of plant samples and the determination of total soluble carbohydrates. J. Sci. Food Agric. 1958, 9, 714–717. [Google Scholar] [CrossRef]
- Playne, M.; McDonald, P. The buffering constituents of herbage and of silage. J. Sci. Food Agric. 1966, 17, 264–268. [Google Scholar] [CrossRef]
- Lima, R.; Díaz, R.; Castro, A.; Hoedtke, S.; Fievez, V. Multifactorial models to assess responses to sorghum proportion, molasses and bacterial inoculant on in vitro quality of sorghum–soybean silages. Anim. Feed Sci. Technol. 2011, 164, 161–173. [Google Scholar] [CrossRef]
- Pahlow, G.; Rammer, C.; Slottner, D.; Tuori, M. Ensiling of legumes. Landbauforsch. Voelkenrode 2002, 234, 27–31. [Google Scholar]
- Herrmann, C.; Heiermann, M.; Idler, C. Effects of ensiling, silage additives and storage period on methane formation of biogas crops. Bioresour. Technol. 2011, 102, 5153–5161. [Google Scholar] [CrossRef] [PubMed]
- Heinritz, S. Ensiling Suitability of High Protein Tropical Forages and Their Nutritional Value for Feeding Pigs. Thesis (Agribiology), University of Hohenheim, Stuttgart, Germany, University of Rostock, Rostock, Germany, 2011. [Google Scholar]
- Lemus, R. Understanding Silage Making Process and Utilization; Cooperative Extension Service, Mississippi State University: Starkville, MS, USA, 2010; Volume 3. [Google Scholar]
- Podkówka, Z.; Podkówka, L. Chemical composition and quality of sweet sorghum and maize silages. J. Cent. Eur. Agric. 2011, 12. [Google Scholar] [CrossRef]
- Joo, Y.H.; Kim, D.H.; Paradhipta, D.H.; Lee, H.J.; Amanullah, S.M.; Kim, S.B.; Chang, J.S.; Kim, S.C. Effect of microbial inoculants on fermentation quality and aerobic stability of sweet potato vine silage. Asian-Australas. J. Anim. Sci. 2018, 31, 1897. [Google Scholar] [CrossRef]
- Makoni, N.; Broderick, G.; Muck, R. Effect of modified atmospheres on proteolysis and fermentation of ensiled alfalfa1. J. Dairy Sci. 1997, 80, 912–920. [Google Scholar] [CrossRef]
- Reyes-Gutiérrez, J.A.; Montañez-Valdez, O.D.; Rodríguez-Macias, R.; Ruíz-López, M.; Salcedo-Pérez, E.; Guerra-Medina, C.E. Effect of a bacterial inoculum and additive on dry matter in situ degradability of sugarcane silage. J. Integr. Agric. 2015, 14, 497–502. [Google Scholar]
- Oladosu, Y.; Rafii, M.Y.; Abdullah, N.; Magaji, U.; Hussin, G.; Ramli, A.; Miah, G. Fermentation quality and additives: A case of rice straw silage. BioMed Res. Int. 2016, 2016, 7985167. [Google Scholar] [CrossRef] [PubMed]
- Yuan, X.; Guo, G.; Wen, A.; Desta, S.T.; Wang, J.; Wang, Y.; Shao, T. The effect of different additives on the fermentation quality, in vitro digestibility and aerobic stability of a total mixed ration silage. Anim. Feed Sci. Technol. 2015, 207, 41–50. [Google Scholar] [CrossRef]
- Zhang, Q.; Li, X.; Zhao, M.; Yu, Z. Isolating and evaluating lactic acid bacteria strains for effectiveness of leymus chinensis silage fermentation. Lett. Appl. Microbiol. 2014, 59, 391–397. [Google Scholar] [CrossRef] [PubMed]
- Zhang, S.J.; Chaudhry, A.S.; Osman, A.; Shi, C.Q.; Edwards, G.R.; Dewhurst, R.J.; Cheng, L. Associative effects of ensiling mixtures of sweet sorghum and alfalfa on nutritive value, fermentation and methane characteristics. Anim. Feed Sci. Technol. 2015, 206, 29–38. [Google Scholar] [CrossRef]
- Schmidt, J.; Sipocz, J.; Kaszas, I.; Szakacs, G.; Gyepes, A.; Tengerdy, R. Preservation of sugar content in ensiled sweet sorghum. Bioresour. Technol. 1997, 60, 9–13. [Google Scholar]
- Driehuis, F.; van Wikselaar, P.G. The occurrence and prevention of ethanol fermentation in high-dry-matter grass silage. J. Sci. Food Agric. 2000, 80, 711–718. [Google Scholar]
- Charmley, E. Towards improved silage quality—A review. Can. J. Anim. Sci. 2001, 81, 157–168. [Google Scholar]
- Pruckler, M.; Lorenz, C.; Endo, A.; Kraler, M.; Durrschmid, K.; Hendriks, K.; Soares da Silva, F.; Auterith, E.; Kneifel, W.; Michlmayr, H. Comparison of homo- and heterofermentative lactic acid bacteria for implementation of fermented wheat bran in bread. Food Microbiol. 2015, 49, 211–219. [Google Scholar] [PubMed]
- Knicky, M. Possibilities to Improve Silage Conservation. Doctoral Thesis, Swedish University of Agricultural Sciences, Uppsala, Sweden, 2005. [Google Scholar]
- Acosta, Y. The use of probiotic strains as silage inoculants. In Probiotic in Animals; InTech: Rio de Janeiro, Brazil, 2012. [Google Scholar]
- Cai, Y.; Benno, Y.; Ogawa, M.; Kumai, S. Effect of applying lactic acid bacteria isolated from forage crops on fermentation characteristics and aerobic deterioration of silage. J. Dairy Sci. 1999, 82, 520–526. [Google Scholar] [CrossRef]
- Jansson, S. Lactic Acid Bacteria in Silage: Growth, Antibacterial Activity and Antibiotic Resistance. Ph.D. Thesis, Sveriges Lantbruksuniversitet, Uppsala, Sweden, 2005. [Google Scholar]
- Nkosi, B.; Vadlani, P.; Brijwani, K.; Nanjunda, A.; Meeske, R. Effects of bacterial inoculants and an enzyme on the fermentation quality and aerobic stability of ensiled whole-crop sweet sorghum. S. Afr. J. Anim. Sci. 2012, 42, 232–240. [Google Scholar]
- Te Giffel, M.T.; Wagendorp, A.; Herrewegh, A.; Driehuis, F. Bacterial spores in silage and raw milk. Antonie Van Leeuwenhoek 2002, 81, 625–630. [Google Scholar] [CrossRef] [PubMed]
© 2019 by the authors. Licensee MDPI, Basel, Switzerland. This article is an open access article distributed under the terms and conditions of the Creative Commons Attribution (CC BY) license (http://creativecommons.org/licenses/by/4.0/).




