Effects of Serial Polydrug Use on the Rewarding and Aversive Effects of the Novel Synthetic Cathinone Eutylone
Abstract
:Highlights
- Eutylone induced dose-dependent CTA and CPP.
- MDMA pre-exposure attenuated eutylone-induced CTA, but it did not impact eutylone-induced CPP.
- Cocaine pre-exposure had no significant effect on eutylone-induced CTA or CPP.
- The weak effects of eutylone history on cocaine and MDMA may be a function of eutylone’s specific hybrid neurochemical actions on DA and 5-HT.
Abstract
1. Introduction
2. Experiment 1
2.1. General Methods
2.1.1. Subjects
2.1.2. Apparatus
2.1.3. Drugs and Solutions
2.1.4. Procedure
Combined CTA/CPP Design
- Water Habituation
- 2.
- CPP Pre-Test
- 3.
- CTA/CPP Conditioning
- 4.
- CPP Post-Test and CTA Two-Bottle Test
- 5.
- Statistical Analysis
2.2. Results
2.2.1. Conditioned Taste Avoidance
2.2.2. Two-Bottle Test
2.2.3. Conditioned Place Preference
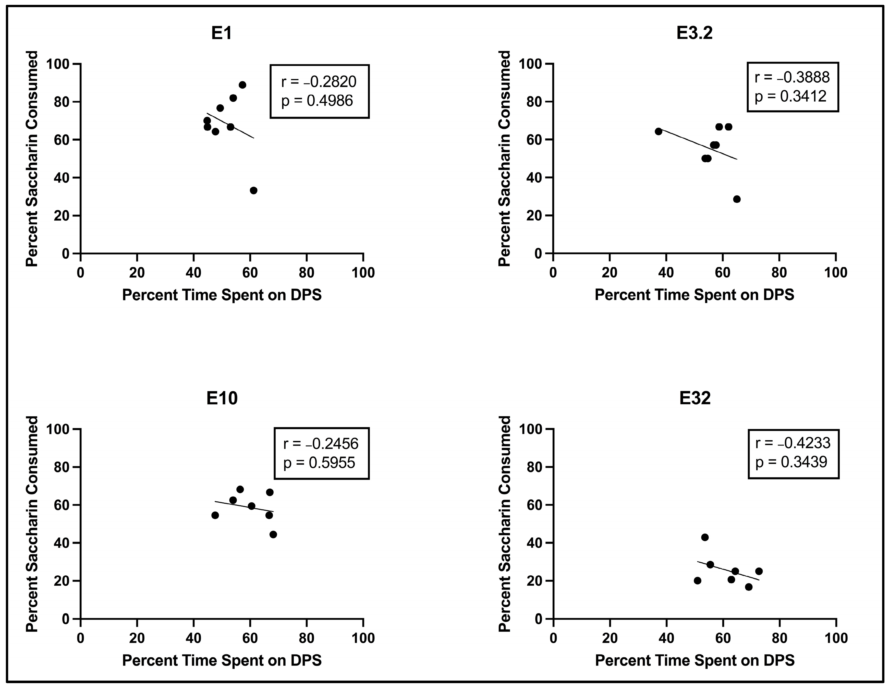
2.2.4. CTA/CPP Relationship
2.3. Discussion
3. Experiment 2
3.1. General Methods
3.1.1. Subjects
3.1.2. Drugs and Solutions
3.1.3. Procedure
Water Habituation and Cocaine/MDMA Pre-Exposure
Combined CTA/CPP Design
- CPP Pre-Test
- 2.
- CTA/CPP Conditioning
- 3.
- CPP Post-Test and CTA Two-Bottle Test
3.1.4. Statistical Analysis
Cocaine
MDMA
3.2. Results
3.2.1. Cocaine Pre-Exposure
Body Weight and Water Consumption during Pre-Exposure
Conditioned Taste Avoidance
Two-Bottle Test
Conditioned Place Preference
3.2.2. MDMA Pre-Exposure
Body Weight and Water Consumption during Pre-Exposure
Conditioned Taste Avoidance
Two-Bottle Test
Conditioned Place Preference
3.3. Discussion
3.4. Limitations
3.5. Conclusions
Author Contributions
Funding
Institutional Review Board Statement
Informed Consent Statement
Data Availability Statement
Conflicts of Interest
References
- Randich, A.; Lolordo, V.M. Associative and nonassociative theories of the UCS preexposure phenomenon: Implications for Pavlovian conditioning. Psychol. Bull. 1979, 86, 523–548. [Google Scholar] [CrossRef]
- Riley, A.L.; Simpson, G.R. The attenuating effects of drug preexposure on taste aversion conditioning: Generality, experimental parameters, underlying mechanisms, and implications for drug use and abuse. In Handbook of Contemporary Learning Theories; Mowrer, R.R., Klein, S.B., Eds.; Lawrence Erlbaum Associates Inc.: Mahawah, NJ, USA, 2001; pp. 505–559. [Google Scholar]
- Tzschentke, T.M. Measuring reward with the conditioned place preference paradigm: A comprehensive review of drug effects, recent progress and new issues. Prog. Neurobiol. 1998, 56, 613–672. [Google Scholar] [CrossRef]
- Tzschentke, T.M. Measuring reward with the conditioned place preference (CPP) paradigm: Update of the last decade. Addict. Biol. 2007, 12, 227–462. [Google Scholar] [CrossRef]
- Ettenberg, A.; Fomenko, V.; Kaganovsky, K.; Shelton, K.; Wenzel, J.M. On the positive and negative affective responses to cocaine and their relation to drug self-administration in rats. Psychopharmacology 2015, 232, 2363–2375. [Google Scholar] [CrossRef] [PubMed]
- Stolerman, I.P.; D’Mello, G.D. Oral self-administration and the relevance of conditioned taste aversions. Adv. Behav. Pharmacol. 1981, 3, 169–214. [Google Scholar]
- Riley, A.L. The paradox of drug taking: The role of the aversive effects of drugs. Physiol. Behav. 2011, 103, 69–78. [Google Scholar] [CrossRef] [PubMed]
- Wise, R.A.; Yokel, R.A.; Dewit, H. Both Positive Reinforcement and Conditioned Aversion from Amphetamine and from Apomorphine in Rats. Science 1976, 191, 1273–1275. [Google Scholar] [CrossRef] [PubMed]
- Verendeev, A.; Riley, A.L. Conditioned taste aversion and drugs of abuse: History and interpretation. Neurosci. Biobehav. Rev. 2012, 36, 2193–2205. [Google Scholar] [CrossRef]
- Cappola, M.; Mondola, R. Synthetic cathinones: Chemistry, pharmacology and toxicology of a new class of design drugs of abuse marketed as “bath salts” or “plant food”. Toxicol. Lett. 2012, 211, 144–149. [Google Scholar] [CrossRef] [PubMed]
- Prosser, J.M.; Nelson, L.S. The Toxicology of Bath Salts: A Review of Synthetic Cathinones. J. Med. Toxicol. 2012, 8, 33–42. [Google Scholar] [CrossRef] [PubMed]
- Guirguis, A.; Corkery, J.M.; Stair, J.L.; Kirton, S.B.; Zloh, M.; Schifano, F. Intended and unintended use of cathinone mixtures. Hum. Psychopharmacol. Clin. Exp. 2017, 32, e2598. [Google Scholar] [CrossRef] [PubMed]
- López-Rodriguez, A.B.; Viveros, M.P. Bath salts and polyconsumpton: In search of drug-drug interactions. Psychopharmacology 2019, 236, 1001–1014. [Google Scholar] [CrossRef] [PubMed]
- Schifano, F.; Napoletano, F.; Arillotta, D.; Zangani, C.; Gilgar, L.; Guirguis, A.; Corkery, J.M.; Vento, A. The clinical challenges of synthetic cathinones. Br. J. Clin. Pharmacol. 2020, 86, 410–419. [Google Scholar] [CrossRef] [PubMed]
- Smith, K.E.; Stoops, W.W. Synthetic cathinone use among polysubstance users: Indirect indicator of indiscriminate drug taking or preferred drug of abuse? J. Drug Issues 2019, 49, 369–386. [Google Scholar] [CrossRef]
- Fernández-Calderón, F.; Cleland, C.M.; Palamar, J.J. Polysubstance use profiles among electronic dance music party attendees in New York City and their relation to use of new psychoactive substances. Addict. Behav. 2018, 78, 85–93. [Google Scholar] [CrossRef]
- Mohr, A.L.; Friscia, M.; Yeakel, J.K.; Logan, B.K. Use of synthetic stimulants and hallucinogens in a cohort of electronic dance music festival attendees. Forensic Sci. Int. 2018, 282, 168–178. [Google Scholar] [CrossRef] [PubMed]
- Salomone, A.; Gazzilli, G.; Di Corcia, D.; Gerace, E.; Vincenti, M. Determination of cathinones and other stimulant, psychedelic, and dissociative designer drugs in real hair samples. Anal. Bioanal. Chem. 2016, 408, 2035–2042. [Google Scholar] [CrossRef] [PubMed]
- Drug Enforcement Administration, United States Department of Justice. Schedules of controlled substances: Temporary placement of 10 synthetic cathinones into schedule I. Fed. Regist. 2014, 79, 12938–12943. [Google Scholar]
- Drug Enforcement Administration, United States Department of Justice. Schedules of controlled substances: Extension of temporary placement of 10 synthetic cathinones in schedule I of the controlled substances act. Fed. Regist. 2016, 81, 11429–11431. [Google Scholar]
- Drug Enforcement Administration, Diversion Control Division, Drug and Chemical Evaluation Section. 1-(1,3-Benzodioxol-5-yl)-2-(ethylamino)butan-1-one (Eutylone). 2020. Available online: https://www.deadiversion.usdoj.gov/drug_chem_info/index.html (accessed on 15 March 2023).
- Karila, L.; Lafaye, G.; Scocard, A.; Cottencin, O.; Benyamina, A. MDPV and α-PVP use in humans: The twisted sisters. Neuropharmacology 2018, 134, 65–72. [Google Scholar] [CrossRef] [PubMed]
- Kuropka, P.; Zawadzki, M.; Szpot, P. A review of synthetic cathinones emerging in recent years (2019–2022). Forensic Toxicol. 2022, 41, 25–46. [Google Scholar] [CrossRef] [PubMed]
- Watterson, L.R.; Olive, M.F. Synthetic Cathinones and Their Rewarding and Reinforcing Effects in Rodents. Adv. Neurosci. 2014, 2014, 209875. [Google Scholar] [CrossRef] [PubMed]
- European Monitoring Centre for Drugs and Drug Addiction. European Drug Report 2021: Trends and Developments; Publications Office of the European Union: Luxembourg, 2021.
- Krotulski, A.J.; Papsun, D.M.; Chronister, C.W.; Homan, J.; Crosby, M.M.; Hoyer, J.; A Goldberger, B.; Logan, B.K. Eutylone Intoxications—An Emerging Synthetic Stimulant in Forensic Investigations. J. Anal. Toxicol. 2020, 45, 8–20. [Google Scholar] [CrossRef]
- A Mohr, A.L.; Fogarty, M.F.; Krotulski, A.J.; Logan, B.K. Evaluating Trends in Novel Psychoactive Substances Using a Sentinel Population of Electronic Dance Music Festival Attendees. J. Anal. Toxicol. 2021, 45, 490–497. [Google Scholar] [CrossRef]
- Hackworth, B. National Drug Ealy Warning System (NDEWS) Southeastern Florida Sentinel Community Site (SCS) Drug Use Patterns and Trends; Florida Department of Health in Broward County: Miami, FL, USA, 2020.
- Drug Enforcement Administration. Scheduling of Eutylone [Controlled Substances by CSA Schedule]. 2021. Available online: https://www.federalregister.gov/documents/2023/04/10/2023-07335/specific-listing-for-eutylone-a-currently-controlled-schedule-i-substance (accessed on 12 February 2023).
- Drug Enforcement Administration, Diversion Control Division. National Forensic Laboratory Information System: Drug 2020 Midyear Report; US Department of Justice: Springfield, VA, USA, 2021.
- Drug Enforcement Administration, Diversion Control Division. National Forensic Laboratory Information System: Drug Snapshot (March 2021); US Department of Justice: Springfield, VA, USA, 2021.
- da Cunha, K.F.; Oliveira, K.D.; Cardoso, M.S.; Arantes, A.C.F.; Coser, P.H.P.; de Noronha Lima, L.; Maluf, A.C.S.; de Castro Comis, M.A.; Huestis, M.A.; Costa, J.L. Prevalence of new psychoactive substances (NPS) in Brazil based on oral fluid analysis of samples collected at electronic music festivals and parties. Drug Alcohol Depend. 2021, 227, 108962. [Google Scholar] [CrossRef] [PubMed]
- Johnson, C.; Stansfield, C.; Hassan, V. Festival testing: A survey of suspected drugs seized from New Zealand music festivals, December 2018 to March 2019. Forensic Sci. Int. 2020, 313, 110367. [Google Scholar] [CrossRef] [PubMed]
- Measham, F.C. Drug safety testing, disposals and dealing in an English field: Exploring the operational and behavioural outcomes of the UK’s first onsite ‘drug checking’ service. Int. J. Drug Policy 2019, 67, 102–107. [Google Scholar] [CrossRef]
- Know Your Stuff NZ, 2022. 2021–2022 Testing Report. Available online: https://knowyourstuff.nz/our-results-2/testing-results/testing-reports/2021-2022-testing-report/ (accessed on 12 March 2023).
- Gine, C.V.; Espinosa, I.F.; Vilamala, M.V. New psychoactive substances as adulterants of controlled drugs. A worrying phenomenon? Drug Test. Anal. 2014, 6, 819–824. [Google Scholar] [CrossRef]
- West, H.; Fitzgerald, J.; Hopkins, K.; Li, E.; Clark, N.; Tzanetis, S.; Greene, S.L.; Reid, G.E. Early Warning System for Illicit Drug Use at Large Public Events: Trace Residue Analysis of Discarded Drug Packaging Samples. J. Am. Soc. Mass Spectrom. 2021, 32, 2604–2614. [Google Scholar] [CrossRef] [PubMed]
- Saha, K.; Partilla, J.; Lehner KSeddik, A.; Stockner, T.; Holy, M.; Sandtner, W.; Ecker, G.F.; Sitte, H.H.; Baumann, M.H. ‘Second-generation’ mephedrone analogs, 4-MEC and 4-MePPP, differentially affect monoamine transporter function. Neuropsychopharmacology 2015, 40, 1321–1331. [Google Scholar] [CrossRef]
- Saha, K.; Li, Y.; Holy, M.; Lehner, K.R.; Bukhari, M.O.; Partilla, J.S.; Sandtner, W.; Sitte, H.H.; Baumann, M.H. The synthetic cathinones, butylone and pentylone, are stimulants that act as dopamine transporter blockers but 5-HT transporter substrates. Psychopharmacology 2019, 236, 953–962. [Google Scholar] [CrossRef]
- Glatfelter, G.C.; Walther, D.; Evans-Brown, M.; Baumann, M.H. Eutylone and Its Structural Isomers Interact with Monoamine Transporters and Induce Locomotor Stimulation. ACS Chem. Neurosci. 2021, 12, 1170–1177. [Google Scholar] [CrossRef]
- Amara, S.G.; Kuhar, M.J. Neurotransmitter Transporters: Recent Progress. Annu. Rev. Neurosci. 1993, 16, 73–93. [Google Scholar] [CrossRef]
- Ritz, M.C.; Lamb, R.J.; Goldberg, S.R.; Kuhar, M.J. Cocaine receptors on dopamine transporters are related to self-administration of cocaine. Science 1987, 237, 1219–1223. [Google Scholar] [CrossRef]
- Rudnick, G.; Wall, S.C. The molecular mechanism of “ecstasy” [3,4-methylenedioxy- methamphetamine (MDMA)]: Serotonin transporters are targets for MDMA-induced serotonin release. Proc. Nat. Acad. Sci. USA 1992, 89, 1817–1821. [Google Scholar] [CrossRef]
- Simmler, L.; Buser, T.; Donzelli, M.; Schramm, Y.; Dieu, L.-H.; Huwyler, J.; Chaboz, S.; Hoener, M.; Liechti, M. Pharmacological characterization of designer cathinones in vitro. Br. J. Pharmacol. 2013, 168, 458–470. [Google Scholar] [CrossRef]
- Verrico, C.D.; Miller, G.M.; Madras, B.K. MDMA (Ecstasy) and human dopamine, norepinephrine, and serotonin transporters: Implications for MDMA-induced neurotoxicity and treatment. Psychopharmacology 2005, 189, 489–503. [Google Scholar] [CrossRef]
- Brockwell, N.T.; Eikelboom, R.; Beninger, R.J. Caffeine-induced place and taste conditioning: Production of dose-dependent preference and aversion. Pharmacol. Biochem. Behav. 1991, 38, 513–517. [Google Scholar] [CrossRef] [PubMed]
- Dannenhoffer, C.A.; Spear, L.P. Age differences in conditioned place preferences and taste aversions to nicotine. Dev. Psychobiol. 2016, 58, 660–666. [Google Scholar] [CrossRef]
- Manke, H.N.; Nunn, S.S.; Jones, R.A.; Rice, K.C.; Riley, A.L. Male and female C57BL/6 mice display drug-induced aversion and reward in the combined conditioned taste avoidance/conditioned place preference procedure. Pharmacol. Biochem. Behav. 2023, 225, 173562. [Google Scholar] [CrossRef] [PubMed]
- Sherman, J.E.; Pickman, C.; Rice, A.; Liebeskind, J.C.; Holman, E.W. Rewarding and aversive effects of morphine: Temporal and pharmacological properties. Pharmacol. Biochem. Behav. 1980, 13, 501–505. [Google Scholar] [CrossRef] [PubMed]
- Sherman, J.E.; Roberts, T.; Roskam, S.E.; Holman, E.W. Temporal properties of the rewarding and aversive effects of amphetamine in rats. Pharmacol. Biochem. Behav. 1980, 13, 597–599. [Google Scholar] [CrossRef]
- Garcia, J.; Koelling, R.A. Relation of cue to consequence in avoidance learning. Psychon. Sci. 1966, 4, 123–124. [Google Scholar] [CrossRef]
- Garcia, J.; Ervin, F.R. Appetites, aversions, and addictions: A model for visceral memory. In Recent Advances in Biological Psychiatry; Wortis, J., Ed.; Springer: Boston, MA, USA, 1968; pp. 284–293. [Google Scholar]
- Revusky, S.; Garcia, J. Learned associations over long delays. In Psychology of Learning; Bower, G.H., Ed.; Academic Press: Cambridge, MA, USA, 1970; pp. 1–84. [Google Scholar]
- Rozin, P.; Kalat, J.W. Specific hungers and poison avoidance as adaptive specializations of learning. Psychol. Rev. 1971, 78, 459–486. [Google Scholar] [CrossRef]
- DeBeun, R.; Peeters, B.W.; Broekkamp, C.L. Stimulus characterization of estradiol applying a cross-familiarization taste aversion procedure in female mice. Physiol. Behav. 1993, 53, 715–719. [Google Scholar] [CrossRef]
- De Beun, R.; Rijk, H.W.; Broekkamp, C.L.E. Cross-familiarisation conditioned taste aversion procedure as a method to reveal stimulus resemblance between drugs: Studies on the 5-HT1A agonist 8-OHDPAT. Psychopharmacology 1993, 112, 121–128. [Google Scholar] [CrossRef] [PubMed]
- De Beun, R.; Lohmann, A.; Schneider, R.; De Vry, J. Ethanol intake-reducing effects of ipsapirone in rats are not due to simple stimulus substitution. Pharmacol. Biochem. Behav. 1996, 53, 891–898. [Google Scholar] [CrossRef] [PubMed]
- Manke, H.N.; Nelson, K.H.; Huang, S.; Bailey, J.M.; Bowman, S.K.; Jones, R.A.; Cerveny, S.E.; Rice, K.C.; Riley, A.L. Methylone pre-exposure differentially impacts the aversive effects of MDPV and MDMA in male and female Sprague-Dawley rats: Implications for abuse vulnerability. Pharmacol. Biochem. Behav. 2022, 220, 173470. [Google Scholar] [CrossRef] [PubMed]
- Serafine, K.M.; Riley, A.L. Preexposure to cocaine attenuates aversions induced by both cocaine and fluoxetine: Implications for the basis of cocaine-induced conditioned taste aversions. Pharmacol. Biochem. Behav. 2010, 95, 230–234. [Google Scholar] [CrossRef] [PubMed]
- National Research Council US. Guide for the Care and Use of Laboratory Animals; National Academy: Washington, DC, USA, 2011. [Google Scholar]
- National Research Council US. Guidelines for the Care and Use of Mammals in Neuroscience and Behavioral Research; National Academy: Washington, DC, USA, 2003. [Google Scholar]
- Batsell, W.R.; Best, M.R. One bottle too many? Method of testing determines the detection of overshadowing and retention of taste aversions. Anim. Learn. Behav. 1993, 21, 154–158. [Google Scholar] [CrossRef]
- A Bevins, R.; A Delzer, T.; Bardo, M.T. Unexpressed morphine conditioned salt aversion: Procedural variants and hypertonicity of salt. Behav. Process. 1997, 40, 129–136. [Google Scholar] [CrossRef] [PubMed]
- Dragoin, W.; Mccleary, G.E.; McCleary, P. A comparison of two methods of measuring conditioned taste aversions. Behav. Res. Methods 1971, 3, 309–310. [Google Scholar] [CrossRef]
- Grote, F.W.; Brown, R.T. Conditioned taste aversions: Two-stimulus tests are more sensitive than one-stimulus tests. Behav. Res. Methods 1971, 3, 311–312. [Google Scholar] [CrossRef]
- Broadbent, J.; Muccino, K.J.; Cunningham, C.L. Ethanol-induced conditioned taste aversion in 15 inbred mouse strains. Behav. Neurosci. 2002, 116, 138–148. [Google Scholar] [CrossRef] [PubMed]
- Crabbe, J.C.; Metten, P.; Savarese, A.M.; Ozburn, A.R.; Schlumbohm, J.P.; Spence, S.E.; Hack, W.R. Ethanol Conditioned Taste Aversion in High Drinking in the Dark Mice. Brain Sci. 2019, 9, 2. [Google Scholar] [CrossRef] [PubMed]
- Freet, C.S.; Alexander, D.N.; Imperio, C.G.; Ruiz-Velasco, V.; Grigson, P.S. Heroin-induced suppression of saccharin intake in OPRM1 A118G mice. Brain Res. Bull. 2018, 138, 73–79. [Google Scholar] [CrossRef]
- Jones, R.A.; Huang, S.; Manke, H.N.; Riley, A.L. Conditioned taste avoidance and conditioned place preference induced by the third-generation synthetic cathinone eutylone in female sprague-dawley rats. Exp. Clin. Psychopharmacol. 2023. advance online publication. [Google Scholar] [CrossRef]
- Turenne, S.D.; Miles, C.; Parker, L.A.; Siegel, S. Individual differences in reactivity to the rewarding/aversive properties of drugs: Assessment by taste and place conditioning. Pharmacol. Biochem. Behav. 1996, 53, 511–516. [Google Scholar] [CrossRef]
- Verendeev, A.; Riley, A.L. Relationship between the rewarding and aversive effects of morphine and amphetamine in individual subjects. Learn. Behav. 2011, 39, 399–408. [Google Scholar] [CrossRef]
- King, H.E.; Wakeford, A.; Taylor, W.; Wetzell, B.; Rice, K.C.; Riley, A.L. Sex differences in 3,4-methylenedioxypyrovalerone (MDPV)-induced taste avoidance and place preferences. Pharmacol. Biochem. Behav. 2015, 137, 16–22. [Google Scholar] [CrossRef]
- Busse, G.D.; Freeman, K.B.; Riley, A.L. The interaction of sex and route of drug administration in cocaine-induced conditioned taste aversions. Pharmacol. Biochem. Behav. 2005, 81, 814–820. [Google Scholar] [CrossRef] [PubMed]
- Busse, G.D.; Verendeev, A.; Jones, J.; Riley, A.L. The effects of cocaine, alcohol and cocaine/alcohol combinations in conditioned taste aversion learning. Pharmacol. Biochem. Behav. 2005, 82, 207–214. [Google Scholar] [CrossRef] [PubMed]
- Goudie, A.; Dickins, D.; Thornton, E. Cocaine-induced conditioned taste aversions in rats. Pharmacol. Biochem. Behav. 1978, 8, 757–761. [Google Scholar] [CrossRef] [PubMed]
- A Kosten, T.; Miserendino, M.J.; Chi, S.; Nestler, E.J. Fischer and Lewis rat strains show differential cocaine effects in conditioned place preference and behavioral sensitization but not in locomotor activity or conditioned taste aversion. J. Pharmacol. Exp. Ther. 1994, 269, 137–144. [Google Scholar] [PubMed]
- Albaugh, D.L.; Rinker, J.A.; Baumann, M.H.; Sink, J.R.; Riley, A.L. Rats preexposed to MDMA display attenuated responses to its aversive effects in the absence of persistent monoamine depletions. Psychopharmacology 2011, 216, 441–449. [Google Scholar] [CrossRef]
- Bowman, S.K.; Huang, S.; Vasquez, M.E.; Rice, K.C.; Riley, A.L. Impact of fluoxetine preexposure on MDMA-induced taste avoidance in male and female rats. Exp. Clin. Psychopharmacol. 2022, 31, 868–879. [Google Scholar] [CrossRef]
- Lin, H.Q.; Atrens, D.M.; Christie, M.J.; Jackson, D.M.; McGregor, I.S. Comparison of conditioned taste aversions produced by MDMA and d-amphetamine. Pharmacol. Biochem. Behav. 1993, 46, 153–156. [Google Scholar]
- Davis, C.M.; Riley, A.L. The effects of cocaine preexposure on cocaine-induced taste aversion learning in Fischer and Lewis rat strains. Pharmacol. Biochem. Behav. 2007, 87, 198–202. [Google Scholar] [CrossRef]
- Riley, A.L.; Diamond, H.F. The effects of cocaine preexposure on the acquisition of cocaine-induced taste aversions. Pharmacol. Biochem. Behav. 1998, 60, 739–745. [Google Scholar] [CrossRef]
- Nelson, K.H.; Manke, H.N.; Bailey, J.M.; Vlachos, A.; Maradiaga, K.J.; Huang, S.; Weiss, T.D.; Rice, K.C.; Riley, A.L. Ethanol pre-exposure differentially impacts the rewarding and aversive effects of α-pyrrolidinopentiophenone (α-PVP): Implications for drug use and abuse. Pharmacol. Biochem. Behav. 2021, 211, 173286. [Google Scholar] [CrossRef]
- Gaiardi, M.; Bartoletti, M.; Bacchi, A.; Gubellini, C.; Costa, M.; Babbini, M. Role of repeated exposure to morphine in determining its affective properties: Place and taste conditioning studies in rats. Psychopharmacology 1991, 103, 183–186. [Google Scholar] [CrossRef] [PubMed]
- Gauvin, D.V.; Baird, T.J.; Briscoe, R.J. Differential development of behavioral tolerance and the subsequent hedonic effects of alcohol in AA and ANA rats. Psychopharmacology 2000, 151, 335–343. [Google Scholar] [CrossRef] [PubMed]
- Berman, R.F.; Cannon, D.S. The effect of prior ethanol experience on ethanol-induced saccharin aversions. Physiol. Behav. 1974, 12, 1041–1044. [Google Scholar] [CrossRef]
- Barker, L.M.; Johns, T. Effect of ethanol preexposure on ethanol-induced conditioned taste aversion. J. Stud. Alcohol. 1978, 39, 39–46. [Google Scholar] [CrossRef] [PubMed]
- Braveman, N.S. Formation of taste aversions in rats following prior exposure to sickness. Learn. Motiv. 1975, 6, 512–534. [Google Scholar] [CrossRef]
- Cappell, H.; LeBlanc, A.E.; Herling, S. Modification of the punishing effects of psychoactive drugs in rats by previous drug experience. J. Comp. Physiol. Psychol. 1975, 89, 347–356. [Google Scholar] [CrossRef] [PubMed]
- Ton, J.M.N.C.; Amit, Z. Symmetrical effect of pre-exposure between alcohol and morphine on conditioned taste aversion. Life Sci. 1983, 33, 665–670. [Google Scholar] [CrossRef]
- Vogel, J.R.; Nathan, B.A. Reduction of learned taste aversions by pre-exposure to drugs. Psychopharmacology 1976, 49, 167–172. [Google Scholar] [CrossRef]
- Cappell, H.; Le Blanc, A.E. Parametric investigations of the effects of prior exposure to amphetamine and morphine on conditioned gustatory aversion. Psychopharmacology 1977, 51, 265–271. [Google Scholar] [CrossRef]
- Simpson, G.R.; Riley, A.L. Morphine preexposure facilitates morphine place preference and attenuates morphine taste aversion. Pharmacol. Biochem. Behav. 2005, 80, 471–479. [Google Scholar] [CrossRef]
- Buffalari, D.M.; Marfo, N.Y.A.; Smith, T.T.; Levin, M.E.; Weaver, M.T.; Thiels, E.; Sved, A.F.; Donny, E.C. Nicotine enhances the expression of a sucrose or cocaine conditioned place preference in adult male rats. Pharmacol. Biochem. Behav. 2014, 124, 320–325. [Google Scholar] [CrossRef] [PubMed]
- Kandel, E.R.; Kandel, D.B. A Molecular Basis for Nicotine as a Gateway Drug. N. Engl. J. Med. 2014, 371, 932–943. [Google Scholar] [CrossRef]
- Levine, A.; Huang, Y.; Drisaldi, B.; Griffin, E.A.; Pollak, D.D.; Xu, S.; Yin, D.; Schaffran, C.; Kandel, D.B.; Kandel, E.R. Molecular Mechanism for a Gateway Drug: Epigenetic Changes Initiated by Nicotine Prime Gene Expression by Cocaine. Sci. Transl. Med. 2011, 3, 107ra109. [Google Scholar] [CrossRef] [PubMed]
- Mateos-García, A.; Roger-Sánchez, C.; Rodriguez-Arias, M.; Miñarro, J.; Aguilar, M.A.; Manzanedo, C.; Arenas, M.C. Higher sensitivity to the conditioned rewarding effects of cocaine and MDMA in High-Novelty-Seekers mice exposed to a cocaine binge during adolescence. Psychopharmacology 2015, 232, 101–113. [Google Scholar] [CrossRef] [PubMed]
- Molet, J.; Hervé, D.; Thiébot, M.-H.; Hamon, M.; Lanfumey, L. Juvenile ethanol exposure increases rewarding properties of cocaine and morphine in adult DBA/2J mice. Eur. Neuropsychopharmacol. 2013, 23, 1816–1825. [Google Scholar] [CrossRef]
- Caffino, L.; Moro, F.; Mottarlini, F.; Targa, G.; Di Clemente, A.; Toia, M.; Orrù, A.; Giannotti, G.; Fumagalli, F.; Cervo, L. Repeated exposure to cocaine during adolescence enhances the rewarding threshold for cocaine-conditioned place preference in adulthood. Addict. Biol. 2021, 26, e13012. [Google Scholar] [CrossRef] [PubMed]
- Cole, J.C.; Sumnall, H.R.; O’Shea, E.; Marsden, C.A. Effects of MDMA exposure on the conditioned place preference produced by other drugs of abuse. Psychopharmacology 2003, 166, 383–390. [Google Scholar] [CrossRef] [PubMed]
- Gregg, R.A.; Tallarida, C.S.; Reitz, A.B.; Rawls, S.M. Mephedrone interactions with cocaine: Prior exposure to ‘bath salt’ constituent enhances cocaine-induced locomotor activation in rats. Behav. Pharmacol. 2013, 24, 684–688. [Google Scholar] [CrossRef]
- Berquist, M.D., II; Traxler, H.K.; Mahler, A.M.; Baker, L.E. Sensitization to the locomotor stimulant effects of “bath salt” constituents, 4-methylmethcathinone (4-MMC) and 3, 4-methylenedioxypyrovalerone (MDPV), in male Sprague-Dawley rats. Drug Alcohol Depend. 2016, 164, 128–134. [Google Scholar] [CrossRef]
- Woloshchuk, C.J.; Nelson, K.H.; Rice, K.C.; Riley, A.L. Effects of 3,4- methylenedioxypyrovalerone (MDPV) pre-exposure on the aversive effects of MDPV, cocaine and lithium chloride: Implications for abuse. Drug Alcohol Depend. 2016, 167, 121–127. [Google Scholar] [CrossRef]
- Manke, H.N.; Rice, K.C.; Riley, A.L. Effects of Methylone Pre-Exposure on Fluoxetine-Induced Conditioned Taste Avoidance in Male and Female Sprague-Dawley Rats. Brain Sci. 2023, 13, 585. [Google Scholar] [CrossRef] [PubMed]
- López-Arnau, R.; Luján, M.A.; Duart-Castells, L.; Pubill, D.; Camarasa, J.; Valverde, O.; Escubedo, E. Exposure of adolescent mice to 3,4-methylenedioxypyrovalerone increases the psychostimulant, rewarding and reinforcing effects of cocaine in adulthood. Br. J. Pharmacol. 2017, 174, 1161–1173. [Google Scholar] [CrossRef] [PubMed]
- Doyle, M.R.; Sulima, A.; Rice, K.C.; Collins, G.T. Influence of Contingent and Noncontingent Drug Histories on the Development of High Levels of MDPV Self-Administration. J. Pharmqacol. Exp. Ther. 2021, 379, 108–116. [Google Scholar] [CrossRef] [PubMed]
- Doyle, M.R.; Sulima, A.; Rice, K.C.; Collins, G.T. MDPV self-administration in female rats: Influence of reinforcement history. Psychopharmacology 2021, 238, 735–744. [Google Scholar] [CrossRef] [PubMed]
- Gauvin, D.V.; Young, A.M. Evidence for perceptual masking of the discriminative morphine stimulus. Psychopharmacology 1989, 98, 212–221. [Google Scholar] [CrossRef]
- Gauvin, D.V.; Young, A.M. Perceptual masking of drug stimuli. Drug Dev. Res. 1989, 16, 151–162. [Google Scholar] [CrossRef]
- Gauvin, D.V.; Peirce, J.M.; Holloway, F.A. Perceptual masking of the chlordiazepoxide discriminative cue by both caffeine and buspirone. Pharmacol. Biochem. Behav. 1994, 47, 153–159. [Google Scholar] [CrossRef]
- Mariathasan, E.; Stolerman, I. Overshadowing of nicotine discrimination in rats: A model for behavioural mechanisms of drug interactions? Behav. Pharmacol. 1993, 4, 209–216. [Google Scholar] [CrossRef] [PubMed]
- Mariathasan, E.; Stolerman, I. Discrimination of agonist-antagonist mixtures: Experiments with nicotine plus mecamylamine. Behav. Pharmacol. 1993, 4, 555–561. [Google Scholar] [CrossRef]
- Stolerman, I.; Mariathasan, E.; White, J.-A.; Olufsen, K. Drug Mixtures and Ethanol as Compound Internal Stimuli. Pharmacol. Biochem. Behav. 1999, 64, 221–228. [Google Scholar] [CrossRef]
- McMillan, D.; Li, M. The discrimination of drug mixtures using a four-choice procedure in pigeons. Psychopharmacology 2002, 164, 207–213. [Google Scholar] [CrossRef] [PubMed]
- Gatch, M.B.; Rutledge, M.A.; Forster, M.J. Discriminative and locomotor effects of five synthetic cathinones in rats and mice. Psychopharmacology 2015, 232, 1197–1205. [Google Scholar] [CrossRef] [PubMed]
- Gatch, M.B.; Dolan, S.B.; Forster, M.J. Locomotor activity and discriminative stimulus effects of a novel series of synthetic cathinone analogs in mice and rats. Psychopharmacology 2017, 234, 1237–1245. [Google Scholar] [CrossRef] [PubMed]
- Gatch, M.B.; Dolan, S.B.; Forster, M.J. Locomotor activity and discriminative stimulus effects of five novel synthetic cathinone analogs in mice and rats. Drug Alcohol Depend. 2019, 199, 50–58. [Google Scholar] [CrossRef] [PubMed]
- Troisi, J.R.; Dooley, T.F.; Craig, E.M. The discriminative stimulus effects of a nicotine-ethanol compound in rats: Extinction with the parts differs from the whole. Behav. Neurosci. 2013, 127, 899–912. [Google Scholar] [CrossRef]
- Gauvin, D.V.; Holloway, F.A. The discriminative stimulus properties of an ethanol-nicotine mixture in rats. J. Psychopharmacol. 1993, 7, 52–62. [Google Scholar] [CrossRef] [PubMed]
- Przybysz, K.R.; Ramirez, L.A.; Pitock, J.R.; Starr, E.M.; Yang, H.; Glover, E.J. A translational rodent model of individual differences in sensitivity to the aversive properties of ethanol. bioRxiv 2023. [Google Scholar] [CrossRef]
- Shetty, R.A.; Rutledge, M.; LeBouf, A.; Mock, J.T.; Pathak, G.; Forster, M.J. Expression of stable and reliable preference and aversion phenotypes following place conditioning with psychostimulants. Psychopharmacology 2022, 239, 2593–2603. [Google Scholar] [CrossRef]
- Cason, A.M.; Grigson, P.S. Prior access to a sweet is more protective against cocaine self-administration in female rats than in male rats. Physiol. Behav. 2013, 112–113, 96–103. [Google Scholar] [CrossRef] [PubMed]
- Colechio, E.M.; Grigson, P.S. Conditioned Aversion for a Cocaine-Predictive Cue is Associated withCocaine Seeking and Taking in Rats. Int. J. Comp. Psychol. 2014, 27, 488–500. [Google Scholar] [CrossRef] [PubMed]
- Brielmaier, J.M.; McDonald, C.G.; Smith, R.F. Nicotine place preference in a biased conditioned place preference design. Pharmacol. Biochem. Behav. 2008, 89, 94–100. [Google Scholar] [CrossRef] [PubMed]
- Cunningham, C.L.; Ferree, N.K.; Howard, M.A. Apparatus bias and place conditioning with ethanol in mice. Psychopharmacology 2003, 170, 409–422. [Google Scholar] [CrossRef]
- Nelson, K.H.; Hempel, B.J.; Clasen, M.M.; Rice, K.C.; Riley, A.L. Conditioned taste avoidance, conditioned place preference and hyperthermia induced by the second generation ‘bath salt’ α-pyrrolidinopentiophenone (α-PVP). Pharmacol. Biochem. Behav. 2017, 156, 48–55. [Google Scholar] [CrossRef] [PubMed]
- Nelson, K.H.; Manke, H.N.; Imanalieva, A.; Rice, K.C.; Riley, A.L. Sex differences in α-pyrrolidinopentiophenone (α-PVP)-induced taste avoidance, place preference, hyperthermia and locomotor activity in rats. Pharmacol. Biochem. Behav. 2019, 185, 172762. [Google Scholar] [CrossRef]
- Prus, A.J.; James, J.R.; Rosecrans, J.A. Conditioned Place Preference. In Methods of Behavior Analysis in Neuroscience, 2nd ed.; CRC Press/Taylor & Francis: Boca Raton, FL, USA, 2009. [Google Scholar] [PubMed]
- Nadal-Gratacós, N.; Alberto-Silva, A.S.; Rodríguez-Soler, M.; Urquizu, E.; Espinosa-Velasco, M.; Jäntsch, K.; Holy, M.; Batllori, X.; Berzosa, X.; Pubill, D.; et al. Structure–activity relationship of novel second-generation synthetic cathinones: Mechanism of action, locomotion, reward, and immediate-early genes. Front. Pharmacol. 2021, 12, 749429. [Google Scholar] [CrossRef] [PubMed]
- Wiley, J.L.; Lefever, T.W.; Marusich, J.A.; Craft, R.M. Comparison of the discriminative stimulus and response rate effects of D9-tetrahydrocannabinol and synthetic cannabinoids in female and male rats. Drug Alcohol Depen. 2017, 172, 51–59. [Google Scholar] [CrossRef] [PubMed]
- Clasen, M.; Wetzell, B.; Riley, A. Adolescent rats display attenuated taste avoidance learning relative to adults and fail to demonstrate a US pre-exposure effect. Learn. Behav. 2016, 44, 356–365. [Google Scholar] [CrossRef]
- Bedingfield, J.B.; King, D.A.; Holloway, F.A. Cocaine and caffeine: Conditioned place preference, locomotor activity, and additivity. Pharmacol. Biochem. Behav. 1998, 61, 291–296. [Google Scholar] [CrossRef] [PubMed]
- Kohler, R.J.; Cibelli, J.; Baker, L.E. Combined effects of mephedrone and cocaine on locomotor activity and conditioned place preference in male Sprague–Dawley rats. Behav. Pharmacol. 2020, 31, 368–377. [Google Scholar] [CrossRef] [PubMed]
- Risca, H.I.; Zuarth-Gonzalez, J.D.; Baker, L.E. Conditioned place preference following concurrent treatment with 3, 4-methylenedioxypyrovalerone (MDPV) and methamphetamine in male and female Sprague-Dawley rats. Pharmacol. Biochem. Behav. 2020, 198, 173032. [Google Scholar] [CrossRef]










| Disclaimer/Publisher’s Note: The statements, opinions and data contained in all publications are solely those of the individual author(s) and contributor(s) and not of MDPI and/or the editor(s). MDPI and/or the editor(s) disclaim responsibility for any injury to people or property resulting from any ideas, methods, instructions or products referred to in the content. | 
© 2023 by the authors. Licensee MDPI, Basel, Switzerland. This article is an open access article distributed under the terms and conditions of the Creative Commons Attribution (CC BY) license (https://creativecommons.org/licenses/by/4.0/).
Share and Cite
Manke, H.N.; Nunn, S.S.; Sulima, A.; Rice, K.C.; Riley, A.L. Effects of Serial Polydrug Use on the Rewarding and Aversive Effects of the Novel Synthetic Cathinone Eutylone. Brain Sci. 2023, 13, 1294. https://doi.org/10.3390/brainsci13091294
Manke HN, Nunn SS, Sulima A, Rice KC, Riley AL. Effects of Serial Polydrug Use on the Rewarding and Aversive Effects of the Novel Synthetic Cathinone Eutylone. Brain Sciences. 2023; 13(9):1294. https://doi.org/10.3390/brainsci13091294
Chicago/Turabian StyleManke, Hayley N., Samuel S. Nunn, Agnieszka Sulima, Kenner C. Rice, and Anthony L. Riley. 2023. "Effects of Serial Polydrug Use on the Rewarding and Aversive Effects of the Novel Synthetic Cathinone Eutylone" Brain Sciences 13, no. 9: 1294. https://doi.org/10.3390/brainsci13091294
APA StyleManke, H. N., Nunn, S. S., Sulima, A., Rice, K. C., & Riley, A. L. (2023). Effects of Serial Polydrug Use on the Rewarding and Aversive Effects of the Novel Synthetic Cathinone Eutylone. Brain Sciences, 13(9), 1294. https://doi.org/10.3390/brainsci13091294
 
        


