Effectiveness of Astaxanthin as a Feed Supplement to Improve Growth Performance and Feed Utilization in Aquaculture Animals: A Meta-Analysis
Abstract
1. Introduction
2. Materials and Methods
2.1. Literature Search Strategy
2.2. Study Selection
2.3. Inclusion/Exclusion Criteria
2.4. Data Extraction
2.5. Statistical Analysis
2.5.1. Effect Size Calculation and Heterogeneity Test
2.5.2. Subgroup Analyses
3. Results
3.1. Study Selection Process
3.2. Study Characteristics
3.3. Effects of Astaxanthin on Growth Performance and Feed Utilization
3.4. Effects of Astaxanthin on Digestive Enzymes
3.5. Effects of Astaxanthin on Hepatopancreas Antioxidant Biomarkers
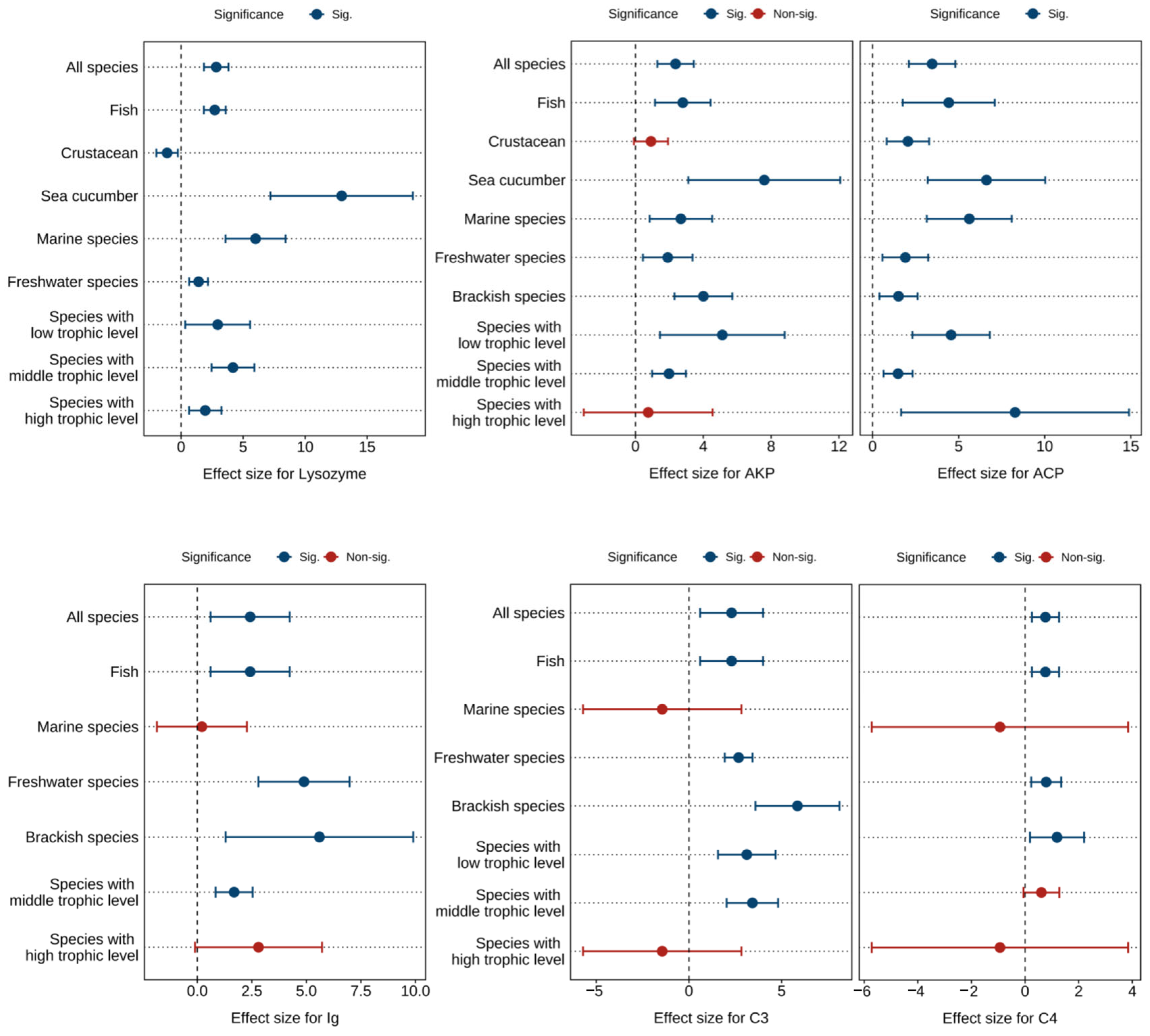
3.6. Effects of Astaxanthin on Immune-Related Parameters
4. Discussion
4.1. Effects of Astaxanthin on Growth Performance and Feed Utilization of Aquaculture Animals
4.2. Effects of Astaxanthin on Survival Rate, Antioxidant Capacity, and Immune Function in Aquaculture Animals
4.2.1. Effects of Astaxanthin on Antioxidant Capacity of Aquaculture Animals
4.2.2. Effects of Astaxanthin on Immune Function of Aquaculture Animals
4.3. Limitaions
5. Conclusions
Supplementary Materials
Author Contributions
Funding
Institutional Review Board Statement
Informed Consent Statement
Data Availability Statement
Conflicts of Interest
Abbreviations
| FBW | Final body weight |
| WGR | Weight gain rate |
| SGR | Specific growth rate |
| SR | Survival rate |
| FCR | Feed conversion ratio |
| PER | Protein efficiency ratio |
| SOD | Superoxide dismutase |
| CAT | Catalase |
| MDA | Malondialdehyde |
| T-AOC | Total antioxidant capacity |
| GSH | Glutathione |
| GSH-Px | Glutathione peroxidase |
| Ig | Immunoglobulin |
| ACP | Acid phosphatase |
| AKP | Alkaline phosphatase |
| C3 | Complement C3 |
| C4 | Complement C4 |
| ROS | Reactive oxygen species |
References
- Boyd, C.E.; McNevin, A.A.; Davis, R.P. The contribution of fisheries and aquaculture to the global protein supply. Food Secur. 2022, 14, 805–827. [Google Scholar] [CrossRef] [PubMed]
- Schar, D.; Klein, E.Y.; Laxminarayan, R.; Gilbert, M.; Van Boeckel, T.P. Global trends in antimicrobial use in aquaculture. Sci. Rep. 2020, 10, 21878. [Google Scholar] [CrossRef]
- Stevenson, J.R.; Irz, X. Is aquaculture development an effective tool for poverty alleviation? A review of theory and evidence. Cah. Agric. 2009, 18, 292–299. [Google Scholar] [CrossRef]
- Liao, I.C.; Chao, N.H. Aquaculture and food crisis: Opportunities and constraints. Asia Pac. J. Clin. Nutr. 2009, 18, 564–569. [Google Scholar]
- Kumar, G.; Hegde, S.; van Senten, J.; Engle, C.; Boldt, N.; Parker, M.; Quagrainie, K.; Posadas, B.; Asche, F.; Dey, M. Economic contribution of US aquaculture farms. J. World Aquac. Soc. 2024, 55, e13091. [Google Scholar] [CrossRef]
- Ben-Horin, T.; Burge, C.A.; Bushek, D.; Groner, M.L.; Proestou, D.A.; Huey, L.I.; Bidegain, G.; Carnegie, R.B. Intensive oyster aquaculture can reduce disease impacts on sympatric wild oysters. Aquac. Env. Interact. 2018, 10, 557–567. [Google Scholar] [CrossRef]
- Nakano, T.; Wiegertjes, G. Properties of carotenoids in fish fitness: A review. Mar. Drugs 2020, 18, 568. [Google Scholar] [CrossRef] [PubMed]
- Hien, T.T.T.; Loc, T.V.; Tu, T.L.C.; Phu, T.M.; Duc, P.M.; Nhan, H.T.; Liem, P.T. Dietary effects of carotenoid on growth performance and pigmentation in bighead catfish (Clarias macrocephalus Günther, 1864). Fishes 2022, 7, 37. [Google Scholar] [CrossRef]
- Rodriguez-Concepcion, M.; Avalos, J.; Bonet, M.L.; Boronat, A.; Gomez-Gomez, L.; Hornero-Mendez, D.; Limon, M.C.; Meléndez-Martínez, A.J.; Olmedilla-Alonso, B.; Palou, A. A global perspective on carotenoids: Metabolism, biotechnology, and benefits for nutrition and health. Prog. Lipid Res. 2018, 70, 62–93. [Google Scholar] [CrossRef]
- Naguib, Y.M. Antioxidant activities of astaxanthin and related carotenoids. J. Agric. Food Chem. 2000, 48, 1150–1154. [Google Scholar] [CrossRef]
- Putra, D.F.; Qadri, A.; El-Rahimi, S.A.; Othman, N. Effects of Astaxanthin on the Skin Color of Green Swordtail, Xyphophorus helleri. In Proceedings of the 1st International Conference on Veterinary, Animal, and Environmental Sciences (ICVAES 2019), Banda Aceh, Indonesia, 15–17 October 2019; Volume 151, p. 4. [Google Scholar]
- Eldessouki, E.A.; Diab, A.M.; Selema, T.A.A.; Sabry, N.M.; Abotaleb, M.M.; Khalil, R.H.; El-Sabbagh, N.; Younis, N.A.; Abdel-Tawwab, M. Dietary astaxanthin modulated the performance, gastrointestinal histology, and antioxidant and immune responses and enhanced the resistance of Litopenaeus vannamei against Vibrio harveyi infection. Aquac. Int. 2022, 30, 1869–1887. [Google Scholar] [CrossRef]
- Zhang, J.; Yang, Y.; Xu, H.; Li, X.; Dong, F.; Chen, Q.; Han, T.; Wang, J.; Wu, C. Effects of dietary astaxanthin on growth performance, immunity, and tissue composition in largemouth bass, Micropterus salmoides. Front. Mar. Sci. 2024, 11, 1404661. [Google Scholar] [CrossRef]
- Zhao, W.; Guo, Y.; Huai, M.; Li, L.; Man, C.; Pelletier, W.; Wei, H.; Yao, R.; Niu, J. Comparison of the retention rates of synthetic and natural astaxanthin in feeds and their effects on pigmentation, growth, and health in rainbow trout (Oncorhynchus mykiss). Antioxidants 2022, 11, 2473. [Google Scholar] [CrossRef]
- Wang, L.; Long, X.; Li, Y.; Zhang, Y.; Sun, W.; Wu, X. Effects of three sources of astaxanthin on the growth, coloration, and antioxidant capacity of rainbow trout (Oncorhynchus mykiss) during Long-Term Feeding. Fishes 2024, 9, 174. [Google Scholar] [CrossRef]
- Xie, J.; Chen, X.; Liu, Y.; Tian, L.; Xie, S.; Niu, J. Effects of dietary astaxanthin on growth performance, hepatic antioxidative activity, hsp70, and hif-1α gene expression of juvenile golden pompano (Trachinotus ovatus). Bamidgeh 2017, 69, 1430. [Google Scholar]
- Gopan, A.; Ande, M.P.; Varghese, T.; Sahu, N.P.; Lalappan, S.; Srivastava, P.P.; Jain, K.K. Dietary carotenoid supplementation improves fillet appearance, antioxidant status and immuneresponses in striped catfish (Pangasianodon hypophthalmus) neverthless the growth performance. Turk. J. Fish. Aquat. Sci. 2018, 18, 1303–1313. [Google Scholar] [CrossRef]
- Jagruthi, C.; Yogeshwari, G.; Anbazahan, S.M.; Mari, L.S.S.; Arockiaraj, J.; Mariappan, P.; Sudhakar, G.R.L.; Balasundaram, C.; Harikrishnan, R. Effect of dietary astaxanthin against Aeromonas hydrophila infection in common carp, Cyprinus carpio. Fish Shellfish Immunol. 2014, 41, 674–680. [Google Scholar] [CrossRef]
- Song, G.; Zhao, Y.; Lu, J.; Liu, Z.; Quan, J.; Zhu, L. Effects of astaxanthin on growth performance, gut structure, and intestinal microorganisms of Penaeus vannamei under microcystin-LR stress. Animals 2023, 14, 58. [Google Scholar] [CrossRef]
- Choi, J.; Rahman, M.M.; Lee, S.; Chang, K.H.; Lee, S. Effects of dietary inclusion of fermented soybean meal with Phaffia rhodozyma on growth, muscle pigmentation, and antioxidant activity of juvenile rainbow trout (Oncorhynchus mykiss). Turk. J. Fish. Aquat. Sci. 2016, 16, 91–101. [Google Scholar]
- Lim, K.C.; Yusoff, F.M.; Shariff, M.; Kamarudin, M.S. Astaxanthin as feed supplement in aquatic animals. Rev. Aquac. 2018, 10, 738–773. [Google Scholar] [CrossRef]
- Elbahnaswy, S.; Elshopakey, G.E. Recent progress in practical applications of a potential carotenoid astaxanthin in aquaculture industry: A review. Fish. Physiol. Biochem. 2024, 50, 97–126. [Google Scholar] [CrossRef] [PubMed]
- Shastak, Y.; Pelletier, W. Captivating colors, crucial roles: Astaxanthin’s antioxidant impact on fish oxidative stress and reproductive performance. Animals 2023, 13, 3357. [Google Scholar] [CrossRef] [PubMed]
- Gurevitch, J.; Koricheva, J.; Nakagawa, S.; Stewart, G. Meta-analysis and the science of research synthesis. Nature 2018, 555, 175–182. [Google Scholar] [CrossRef]
- Li, L.; Liu, H.; Xie, S.; Zhang, P.; Yang, Z. Effects of taurine supplementation on growth performance and feed utilization in aquatic animals: A meta-analysis. Aquaculture 2022, 551, 737896. [Google Scholar] [CrossRef]
- Mugwanya, M.; Dawood, M.A.; Kimera, F.; Sewilam, H. A meta-analysis on the influence of dietary betaine on the growth performance and feed utilization in aquatic animals. Aquac. Rep. 2024, 37, 102200. [Google Scholar] [CrossRef]
- Ahmed Alkhamis, Y.; Sultana, A.; Tareq Arafat, S.; Abdur Rouf, M.; Mustafizur Rahman, S.; Thomas Mathew, R.; Ganesan, N.; Sultana, A.; Saleh Alngada, R.; Abdul Whed, R. The Impact of Biofloc Technology on Water Quality in Aquaculture: A Systematic Meta-Analysis. Aquac. Nutr. 2023, 2023, 9915874. [Google Scholar] [CrossRef]
- Viechtbauer, W. Conducting meta-analyses in R with the metafor package. J. Stat. Softw. 2010, 36, 1–48. [Google Scholar] [CrossRef]
- Andrade, C. Mean difference, standardized mean difference (SMD), and their use in meta-analysis: As simple as it gets. J. Clin. Psychiatry 2020, 81, 11349. [Google Scholar] [CrossRef]
- Cornell, J.E.; Mulrow, C.D.; Localio, R.; Stack, C.B.; Meibohm, A.R.; Guallar, E.; Goodman, S.N. Random-effects meta-analysis of inconsistent effects: A time for change. Ann. Intern. Med. 2014, 160, 267–270. [Google Scholar] [CrossRef]
- Hedges, L.V. Distribution theory for Glass’s estimator of effect size and related estimators. J. Educ. Stat. 1981, 6, 107–128. [Google Scholar] [CrossRef]
- Teles, A.O.; Couto, A.; Enes, P.; Peres, H. Dietary protein requirements of fish–a meta-analysis. Rev. Aquac. 2020, 12, 1445–1477. [Google Scholar] [CrossRef]
- Gao, Y.; Yang, H.; Liu, Y.; Chen, S.; Guo, D.; Yu, Y.; Tian, L. Effects of graded levels of threonine on growth performance, biochemical parameters and intestine morphology of juvenile grass carp Ctenopharyngodon idella. Aquaculture 2014, 424, 113–119. [Google Scholar] [CrossRef]
- Abdel-Tawwab, M.; Adeshina, I.; Jenyo-Oni, A.; Ajani, E.K.; Emikpe, B.O. Growth, physiological, antioxidants, and immune response of African catfish, Clarias gariepinus (B.), to dietary clove basil, Ocimum gratissimum, leaf extract and its susceptibility to Listeria monocytogenes infection. Fish Shellfish Immunol. 2018, 78, 346–354. [Google Scholar] [CrossRef] [PubMed]
- Adeshina, I.; Jenyo Oni, A.; Emikpe, B.O.; Ajani, E.K.; Abdel Tawwab, M. Stimulatory effect of dietary clove, Eugenia caryophyllata, bud extract on growth performance, nutrient utilization, antioxidant capacity, and tolerance of African catfish, Clarias gariepinus (B.), to Aeromonas hydrophila infection. J. World Aquac. Soc. 2019, 50, 390–405. [Google Scholar] [CrossRef]
- Yu, L.; Wen, H.; Jiang, M.; Wu, F.; Tian, J.; Lu, X.; Xiao, J.; Liu, W. Effects of ferulic acid on intestinal enzyme activities, morphology, microbiome composition of genetically improved farmed tilapia (Oreochromis niloticus) fed oxidized fish oil. Aquaculture 2020, 528, 735543. [Google Scholar] [CrossRef]
- Shabanzadeh, S.; Vatandoust, S.; Hosseinifard, S.M.; Sheikhzadeh, N.; Shahbazfar, A.A. Dietary astaxanthin (Lucantin® Pink) mitigated oxidative stress induced by diazinon in rainbow trout (Oncorhynchus mykiss). Vet. Res. Forum 2023, 14, 97–104. [Google Scholar]
- Wei, Z.; HaoHang, F.; ZhenZhou, L.; MiaoQin, H.; Min, S.; ChengWu, Z.; BaoYan, G.; Jin, N. A newly isolated strain of Haematococcus pluvialis JNU35 improves the growth, antioxidation, immunity and liver function of golden pompano (Trachinotus ovatus). Aquac. Nutr. 2020, 27, 342–354. [Google Scholar]
- Xie, Z.; Wang, F.; Zhu, A.; Niu, H.; Liu, H.; Guo, S. Effects of diets microencapsulated with different wall materials on growth and digestive enzymes of the larvae of Penaeus japonicus Bate. J. Shellfish Res. 2011, 30, 133–138. [Google Scholar] [CrossRef]
- Zhu, X.; Hao, R.; Zhang, J.; Tian, C.; Hong, Y.; Zhu, C.; Li, G. Dietary astaxanthin improves the antioxidant capacity, immunity and disease resistance of coral trout (Plectropomus leopardus). Fish Shellfish Immunol. 2022, 122, 38–47. [Google Scholar] [CrossRef]
- Wang, W.; Ishikawa, M.; Koshio, S.; Yokoyama, S.; Dawood, M.A.; Hossain, M.S.; Moss, A.S. Effects of dietary astaxanthin and vitamin E and their interactions on the growth performance, pigmentation, digestive enzyme activity of kuruma shrimp (Marsupenaeus japonicus). Aquac. Res. 2019, 50, 1186–1197. [Google Scholar] [CrossRef]
- Qin, K.; Li, S.; Wu, S.; Dou, H. Dietary astaxanthin supplementation improves the growth performance, immune response, and immunity-related gene expression of sea cucumber (Apostichopus japonicas). Aquac. Int. 2024, 32, 1235–1246. [Google Scholar] [CrossRef]
- Wu, S.; Xu, B. Effect of dietary astaxanthin administration on the growth performance and innate immunity of juvenile crucian carp (Carassius auratus). 3 Biotech 2021, 11, 151. [Google Scholar] [CrossRef] [PubMed]
- Moreno-Sánchez, R.; Marín-Hernández, Á.; Gallardo-Pérez, J.C.; Vázquez, C.; Rodríguez-Enríquez, S.; Saavedra, E. Control of the NADPH supply and GSH recycling for oxidative stress management in hepatoma and liver mitochondria. Biochim. Biophys. Acta Bioenerg. 2018, 1859, 1138–1150. [Google Scholar] [CrossRef] [PubMed]
- Ohno, M.; Darwish, W.S.; Ikenaka, Y.; Miki, W.; Ishizuka, M. Astaxanthin can alter CYP1A-dependent activities via two different mechanisms: Induction of protein expression and inhibition of NADPH P450 reductase dependent electron transfer. Food Chem. Toxicol. 2011, 49, 1285–1291. [Google Scholar] [CrossRef]
- Kobori, M.; Takahashi, Y.; Sakurai, M.; Ni, Y.; Chen, G.; Nagashimada, M.; Kaneko, S.; Ota, T. Hepatic transcriptome profiles of mice with diet-induced nonalcoholic steatohepatitis treated with astaxanthin and vitamin E. Int. J. Mol. Sci. 2017, 18, 593. [Google Scholar] [CrossRef]
- Jia, Y.; Wu, C.; Kim, J.; Kim, B.; Lee, S. Astaxanthin reduces hepatic lipid accumulations in high-fat-fed C57BL/6J mice via activation of peroxisome proliferator-activated receptor (PPAR) alpha and inhibition of PPAR gamma and Akt. J. Nutr. Biochem. 2016, 28, 9–18. [Google Scholar] [CrossRef]
- Kalinowski, C.T.; Robaina, L.E.; Izquierdo, M.S. Effect of dietary astaxanthin on the growth performance, lipid composition and post-mortem skin colouration of red porgy Pagrus pagrus. Aquac. Int. 2011, 19, 811–823. [Google Scholar] [CrossRef]
- Lim, K.C.; Yusoff, F.M.; Shariff, M.; Kamarudin, M.S. Dietary administration of astaxanthin improves feed utilization, growth performance and survival of Asian seabass, Lates calcarifer (Bloch, 1790). Aquac. Nutr. 2019, 25, 1410–1421. [Google Scholar] [CrossRef]
- Guerin, M.; Huntley, M.E.; Olaizola, M. Haematococcus astaxanthin: Applications for human health and nutrition. Trends Biotechnol. 2003, 21, 210–216. [Google Scholar] [CrossRef]
- Longo, F.; Di Gaudio, F.; Attanzio, A.; Marretta, L.; Luparello, C.; Indelicato, S.; Bongiorno, D.; Barone, G.; Tesoriere, L.; Giardina, I.C. Bioactive Molecules from the Exoskeleton of Procambarus clarkii: Reducing Capacity, Radical Scavenger, and Antitumor and Anti-Inflammatory Activities. Biomolecules 2024, 14, 1635. [Google Scholar] [CrossRef]
- Panagiotakopoulos, I.; Nasopoulou, C. Extraction Methods, Encapsulation Techniques, and Health Benefits of Astaxanthin. Sustainability 2024, 16, 10859. [Google Scholar] [CrossRef]
- Song, C.; Sun, C.; Liu, B.; Xu, P. Oxidative stress in aquatic organisms. Antioxidants 2023, 12, 1223. [Google Scholar] [CrossRef]
- Shastak, Y.; Gordillo, A.; Pelletier, W. The relationship between vitamin A status and oxidative stress in animal production. J. Appl. Anim. Res. 2023, 51, 546–553. [Google Scholar] [CrossRef]
- Zhu, Y.; Wang, K.; Jia, X.; Fu, C.; Yu, H.; Wang, Y. Antioxidant peptides, the guardian of life from oxidative stress. Med. Res. Rev. 2024, 44, 275–364. [Google Scholar] [CrossRef] [PubMed]
- Livingstone, D.R. Contaminant-stimulated reactive oxygen species production and oxidative damage in aquatic organisms. Mar. Pollut. Bull. 2001, 42, 656–666. [Google Scholar] [CrossRef]
- Nishino, A.; Maoka, T.; Yasui, H. Analysis of reaction products of astaxanthin and its acetate with reactive oxygen species using LC/PDA ESI-MS and ESR spectrometry. Tetrahedron Lett. 2016, 57, 1967–1970. [Google Scholar] [CrossRef]
- Del Rio, D.; Stewart, A.J.; Pellegrini, N. A review of recent studies on malondialdehyde as toxic molecule and biological marker of oxidative stress. Nutr., Metab. Cardiovasc. Dis. 2005, 15, 316–328. [Google Scholar] [CrossRef]
- Atakisi, O.; Oral, H.; Atakisi, E.; Merhan, O.; Pancarci, S.M.; Ozcan, A.; Marasli, S.; Polat, B.; Colak, A.; Kaya, S. Subclinical mastitis causes alterations in nitric oxide, total oxidant and antioxidant capacity in cow milk. Res. Vet. Sci. 2010, 89, 10–13. [Google Scholar] [CrossRef]
- Huang, F.; Ma, Z.; Du, X.; Wang, C.; Liu, G.; Zhou, M. Methionine Alters the Fecal Microbiota and Enhances the Antioxidant Capacity of Lactating Donkeys. Animals 2025, 15, 648. [Google Scholar] [CrossRef]
- Zhang, C.; Yao, W.; Wen, D.; Li, X.; Wu, S.; Leng, X. Dietary Adonis. aestivalis extract improved the flesh pigmentation, antioxidative status and shelf-life of rainbow trout (Oncorhynchus mykiss). Aquac. Nutr. 2020, 26, 2032–2042. [Google Scholar] [CrossRef]
- Zhu, X.M.; Li, M.Y.; Liu, X.Y.; Xia, C.G.; Niu, X.T.; Wang, G.Q.; Zhang, D.M. Effects of dietary astaxanthin on growth, blood biochemistry, antioxidant, immune and inflammatory response in lipopolysaccharide-challenged Channa argus. Aquac. Res. 2020, 51, 1980–1991. [Google Scholar] [CrossRef]
- Fernando, F.; Candebat, C.L.; Strugnell, J.M.; Andreakis, N.; Nankervis, L. Dietary supplementation of astaxanthin modulates skin color and liver antioxidant status of giant grouper (Epinephelus lanceolatus). Aquac. Rep. 2022, 26, 101266. [Google Scholar] [CrossRef]
- Jiang, X.; Zu, L.; Wang, Z.; Cheng, Y.; Yang, Y.; Wu, X. Micro-algal astaxanthin could improve the antioxidant capability, immunity and ammonia resistance of juvenile Chinese mitten crab, Eriocheir sinensis. Fish Shellfish Immunol. 2020, 102, 499–510. [Google Scholar] [CrossRef] [PubMed]
- Xie, J.; Fang, H.; He, X.; Liao, S.; Liu, Y.; Tian, L.; Niu, J. Study on mechanism of synthetic astaxanthin and Haematococcus pluvialis improving the growth performance and antioxidant capacity under acute hypoxia stress of golden pompano (Trachinotus ovatus) and enhancing anti-inflammatory by activating Nrf2-ARE pathway to antagonize the NF-κB pathway. Aquaculture 2020, 518, 734657. [Google Scholar]
- Song, X.; Wang, L.; Li, X.; Chen, Z.; Liang, G.; Leng, X. Dietary astaxanthin improved the body pigmentation and antioxidant function, but not the growth of discus fish (Symphysodon spp.). Aquac. Res. 2017, 48, 1359–1367. [Google Scholar] [CrossRef]
- Kim, J.; Kang, J. Oxidative stress, neurotoxicity, and non-specific immune responses in juvenile red sea bream, Pagrus major, exposed to different waterborne selenium concentrations. Chemosphere 2015, 135, 46–52. [Google Scholar] [CrossRef] [PubMed]
- Mhamdi, A.; Queval, G.; Chaouch, S.; Vanderauwera, S.; Van Breusegem, F.; Noctor, G. Catalase function in plants: A focus on Arabidopsis mutants as stress-mimic models. J. Exp. Bot. 2010, 61, 4197–4220. [Google Scholar] [CrossRef]
- Pisoschi, A.M.; Pop, A. The role of antioxidants in the chemistry of oxidative stress: A review. Eur. J. Med. Chem. 2015, 97, 55–74. [Google Scholar] [CrossRef]
- Rahman, M.M.; Khosravi, S.; Chang, K.H.; Lee, S. Effects of dietary inclusion of astaxanthin on growth, muscle pigmentation and antioxidant capacity of juvenile rainbow trout (Oncorhynchus mykiss). Prev. Nutr. Food Sci. 2016, 21, 281. [Google Scholar] [CrossRef]
- Deng, Y.; Xie, S.; Zhan, W.; Peng, H.; Cao, H.; Tang, Z.; Tian, Y.; Zhu, T.; Jin, M.; Zhou, Q. Dietary astaxanthin can promote the growth and motivate lipid metabolism by improving antioxidant properties for swimming crab, Portunus trituberculatus. Antioxidants 2024, 13, 522. [Google Scholar] [CrossRef]
- Bendich, A. Physiological role of antioxidants in the immune system. J. Dairy. Sci. 1993, 76, 2789–2794. [Google Scholar] [CrossRef] [PubMed]
- Park, J.S.; Mathison, B.D.; Hayek, M.G.; Massimino, S.; Reinhart, G.A.; Chew, B.P. Astaxanthin stimulates cell-mediated and humoral immune responses in cats. Vet. Immunol. Immunopathol. 2011, 144, 455–461. [Google Scholar] [CrossRef]
- Amar, E.C.; Kiron, V.; Satoh, S.; Watanabe, T. Enhancement of innate immunity in rainbow trout (Oncorhynchus mykiss Walbaum) associated with dietary intake of carotenoids from natural products. Fish Shellfish Immunol. 2004, 16, 527–537. [Google Scholar] [CrossRef]
- Nakanishi, T.; Shibasaki, Y.; Matsuura, Y. T cells in fish. Biology 2015, 4, 640–663. [Google Scholar] [CrossRef]
- Guerra, B.A.; Bolin, A.P.; Morandi, A.C.; Otton, R. Glycolaldehyde impairs neutrophil biochemical parameters by an oxidative and calcium-dependent mechanism—Protective role of antioxidants astaxanthin and vitamin C. Diabetes Res. Clin. Pract. 2012, 98, 108–118. [Google Scholar] [CrossRef] [PubMed]
- Jyonouchi, H.; Sun, S.; Mizokami, M.; Gross, M.D. Effects of various carotenoids on cloned, effector-stage T-helper cell activity. Nutr. Cancer 1996, 26, 313–324. [Google Scholar] [CrossRef]
- Cao, J.; Wang, W. Effects of astaxanthin and esterified glucomannan on hematological and serum parameters, and liver pathological changes in broilers fed aflatoxin-B 1-contaminated feed. Anim. Sci. J. 2014, 85, 150–157. [Google Scholar] [CrossRef] [PubMed]
- Niu, J.; Zhao, W.; Lu, D.; Xie, J.; He, X.; Fang, H.; Liao, S. Dual-function analysis of astaxanthin on golden pompano (Trachinotus ovatus) and its role in the regulation of gastrointestinal immunity and retinal mitochondrial dysfunction under hypoxia conditions. Front. Physiol. 2020, 11, 568462. [Google Scholar] [CrossRef]
- Ma, S.; Li, X.; Huang, D.; Guo, Y.; Deng, J.; Zhou, W.; Zhang, W.; Mai, K. Effects of dietary chromium yeast and astaxanthin on the growth performance, anti-oxidative capacity, and resistance to heat stress of abalone Haliotis discus hannai. Aquac. Int. 2021, 29, 911–924. [Google Scholar] [CrossRef]
- Abdel-Latif, H.M.; Shukry, M.; Noreldin, A.E.; Ahmed, H.A.; El-Bahrawy, A.; Ghetas, H.A.; Khalifa, E. Milk thistle (Silybum marianum) extract improves growth, immunity, serum biochemical indices, antioxidant state, hepatic histoarchitecture, and intestinal histomorphometry of striped catfish, Pangasianodon hypophthalmus. Aquaculture 2023, 562, 738761. [Google Scholar] [CrossRef]
- Copenhaver, M.; Yu, C.; Hoffman, R.P. Complement components, C3 and C4, and the metabolic syndrome. Curr. Diabetes Rev. 2019, 15, 44–48. [Google Scholar] [CrossRef] [PubMed]
- Yu, X.; Han, T.; Zheng, P.; Zhan, Q.; Yang, Y.; Wang, J. Effects of different cholesterol and astaxanthin levels on the growth performance, body composition and color of Portunus trituberculatus. J. Zhejiang Ocean Univ. Nat. Sci. 2018, 37, 7, (In Chinese with an English abstract). [Google Scholar]
- Huang, P.; Jia, M.; Liu, T.; Yu, H. Effects of astaxanthin on growth and body shape of discus fish. Agric. Jilin 2011, 3, 93–94, (In Chinese with an English abstract). [Google Scholar]
- Wang, L.; Chen, Z.; Leng, X.; Gao, J.; Liu, Y.; Liu, H.; Song, X. Effect of Haematococcus pluvialis on growth, body color and antioxidation capacity of discus fish Symphysodon haraldi. Freshw. Fish. 2016, 46, 92–97, (In Chinese with an English abstract). [Google Scholar]
- Yao, J.; Chen, X.; Liu, M.; Niu, X.; Shan, X.; Wang, G.; Wu, L.; Zhang, D. Effects of astaxanthin on growth, body composition and antioxidant indexes of juvenile Paramisgurnus dabryanus. J. Northwest A&F Univ. (Nat. Sci. Ed.) 2020, 48, 8, (In Chinese with an English abstract). [Google Scholar]
- Chen, X.M.; Gao, C.S.; Du, X.Y.; Yao, J.M.; He, F.F.; Niu, X.T.; Wang, G.Q.; Zhang, D.M. Effects of dietary astaxanthin on the growth, innate immunity and antioxidant defence system of Paramisgurnus dabryanus. Aquac. Nutr. 2020, 26, 1453–1462. [Google Scholar] [CrossRef]
- Xu, C.; Wang, H.; Gong, B. Effect of astaxanthin on growth performance, antioxidant and non-specific immunity of sea bass. Feed Res. 2023, 3, 52–55, (In Chinese with an English abstract). [Google Scholar]
- Xie, S.; Yin, P.; Tian, L.; Yu, Y.; Liu, Y.; Niu, J. Dietary supplementation of astaxanthin improved the growth performance, antioxidant ability and immune response of juvenile largemouth bass (Micropterus salmoides) fed high-fat diet. Mar. Drugs 2020, 18, 642. [Google Scholar] [CrossRef]
- Guo, Y.; Jiang, X.; Lin, M.; Zhai, S. Effects of astaxanthin on growth performance, serum biochemistry, intestinal free radical level and intestinal flora of juvenile american eel (Anguilla rostrata) under dietary histamine stress. Oceanol. Limnol. Sin. 2024, 55, 526–535, (In Chinese with an English abstract). [Google Scholar]
- Lü, X.; Li, J.; Zhang, L.; Shu, B.; Chen, Y.; Wu, K.; Gong, Y. Effects of astaxanthin supplementation in low-fishmeal feed on growth and antioxidant capacity of Oncorhynchus mykiss juvenile. Feed Res. 2024, 47, 65–69, (In Chinese with an English abstract). [Google Scholar]
- Meng, X.; Yang, F.; Zhu, L.; Zhan, L.; Numasawa, T.; Deng, J. Effects of dietary astaxanthin supplementation on growth performance, antioxidant status, immune response, and intestinal health of rainbow trout (Oncorhynchus mykiss). Anim. Nutr. 2024, 17, 387–396. [Google Scholar] [CrossRef] [PubMed]
- Zhao, W.; Wei, H.; Chen, M.; Yao, R.; Wang, Z.; Niu, J. Effects of synthetic astaxanthin and Haematococcus pluvialis on growth, antioxidant capacity, immune response, and hepato-morphology of Oncorhynchus mykiss under cage culture with flowing freshwater. Aquaculture 2023, 562, 738860. [Google Scholar] [CrossRef]
- Long, X.; Wang, L.; Li, Y.; Sun, W.; Wu, X. Effects of long-term Haematococcus pluvialis astaxanthin feeding on the growth, coloration, and antioxidant capacity of commercial-sized Oncorhynchus mykiss. Aquac. Rep. 2023, 30, 101603. [Google Scholar] [CrossRef]
- Hassanzadeh, P.; Ahmadvand, M.; Aslani, S.; Sheikhzadeh, N.; Mousavi, S.; Khatibi, S.A.; Ahmadifar, E. Dietary astaxanthin mitigated paraquat-induced oxidative stress in rainbow trout (Oncorhynchus mykiss) fillet. Aquac. Res. 2022, 53, 5300–5309. [Google Scholar] [CrossRef]
- Ibrahim, D.; Belgin, H.; Kamil, D.; Yılmaz, E. Effects of natural and synthetic pigments in diets on flesh coloration and growth of rainbow trout (Oncorhynchus mykiss W.). Bamidgeh 2005, 57, 175–184. [Google Scholar]
- Su, J.; Deng, Y.; Li, Z.; Li, L.; Qiu, Y.; Ding, X.; Duan, P.; Wang, X.; Wang, L.; Liu, Y.; et al. Effects of astaxanthin on growth, body color, skin pigment, and antioxidant capacity of Epinephelus akaara. J. Guangdong Ocean Univ. 2024, 44, 27–37, (In Chinese with an English abstract). [Google Scholar]
- Song, J.H.; Cho, Y.S.; Park, J.Y.; Kim, G.D.; Lim, H.K. Effects of astaxanthin produced by Paracoccus haeundaensis on growth and body color in Epinephelus akaara. Bamidgeh 2021, 73, 1–12. [Google Scholar] [CrossRef]
- Fang, H.; Xie, J.; Zhao, W.; Liu, Z.; Liu, Y.; Tian, L.; Niu, J. Study supplementation of astaxanthin in high-fat diet on growth performance, antioxidant ability, anti-inflammation, non-specific immunity and intestinal structure of juvenile Trachinotus ovatus. Aquac. Nutr. 2021, 27, 2575–2586. [Google Scholar] [CrossRef]
- Nogueira, N.; Canada, P.; Caboz, J.; Andrade, C.; Cordeiro, N. Effect of different levels of synthetic astaxanthin on growth, skin color and lipid metabolism of commercial sized red porgy (Pagrus pagrus). Anim. Feed Sci. Technol. 2021, 276, 114916. [Google Scholar] [CrossRef]
- Li, M.; Wu, W.; Zhou, P.; Xie, F.; Zhou, Q.; Mai, K. Comparison effect of dietary astaxanthin and Haematococcus pluvialis on growth performance, antioxidant status and immune response of large yellow croaker Pseudosciaena crocea. Aquaculture 2014, 434, 227–232. [Google Scholar] [CrossRef]
- Cheng, C.; Guo, Z.; Ye, C.; Wang, A. Effect of dietary astaxanthin on the growth performance, non-specific immunity, and antioxidant capacity of pufferfish (Takifugu obscurus) under high temperature stress. Fish Physiol Biochem 2018, 44, 209–218. [Google Scholar] [CrossRef] [PubMed]
- Huang, S.; Chen, Q.; Zhang, M.; Chen, S.; Dai, J.; Qian, Y.; Gong, Y.; Han, T. Synthetic astaxanthin has better effects than natural astaxanthins on growth performance, body color and n-3 PUFA deposition in black tiger prawn (Penaeus monodon). Aquac. Rep. 2023, 33, 101816. [Google Scholar] [CrossRef]
- Chen, Q.; Huang, S.; Dai, J.; Wang, C.; Chen, S.; Qian, Y.; Gong, Y.; Han, T. Effects of synthetic astaxanthin on the growth performance, pigmentation, antioxidant capacity, and immune response in black tiger prawn (Penaeus monodon). Aquac. Nutr. 2023, 2023, 6632067. [Google Scholar] [CrossRef]
- Wen, W.; Lin, H.; Wu, K.; Yang, Q.; Huang, J.; Jiang, S. Effects of dietary with astaxanthin on growth and immunological parameters of black tiger shrimp, Penaeus monodon. Acta Sci. Nat. Univ. Sunyatseni 2011, 50, 144–146, (In Chinese with an English abstract). [Google Scholar]
- Tang, H.; Bai, Y.; Xu, J.; Yu, H.; You, Y.; Cai, Z.; Huang, Y. Effects of Haematococcus pluvialis powder on growth performance, astaxanthin deposition and intestinal health of Penaeus monodon. Chin. J. Anim. Nutr. 2024, 36, 5910–5923, (In Chinese with an English abstract). [Google Scholar]
- Li, M.; Liu, X.; Su, S.; Zhu, X.; Li, M.; Wang, G. Effects of astaxanthin on growth, antioxidation and immune function of C. argus. Feed Ind. 2021, 42, 51–57, (In Chinese with an English abstract). [Google Scholar]
- Wang, J.; Fan, Y.; Xu, Z.; Zhang, K.; Cong, W.; Liu, C.; Wu, Y.; Zhang, J. Effects of dietary β-carotene and astaxanthin levels on anti-oxidation in juvenile sea cucumber Apostichopus japonicus. J. Dalian Ocean Univ. 2012, 27, 215–220, (In Chinese with an English abstract). [Google Scholar]
- Alishahi, M.; Karamifar, M.; Mesbah, M. Effects of astaxanthin and Dunaliella salina on skin carotenoids, growth performance and immune response of Astronotus ocellatus. Aquac. Int. 2015, 23, 1239–1248. [Google Scholar] [CrossRef]
- Costa, D.P.D.; Silva, M.J.S.; Geraldi, R.M.; Lorenzini, J.P.; Mattioli, C.C.; Oliveira, A.D.L.; Luz, R.K.; Miranda-Filho, K.C. Effects of the use of synthetic astaxanthin in the feeding of Lophiosilurus alexandri, a neotropical siluriform fish. An. Acad. Bras. Cienc. 2022, 94, e20210434. [Google Scholar] [CrossRef]
- Eldessouki, E.A.; Elshopakey, G.E.; Elbahnaswy, S.; Shakweer, M.S.; Abdelwarith, A.A.; Younis, E.M.; Davies, S.J.; Mili, A.; Abd El-Aziz, Y.M.; Abdelnour, S.A. Influence of astaxanthin-enriched Haematococcus pluvialis microalgae on the growth efficacy, immune response, antioxidant capacity, proinflammatory cytokines, and tissue histomorphology of hybrid red tilapia. Aquac. Int. 2024, 32, 7447–7468. [Google Scholar] [CrossRef]
- Liu, F.; Shi, H.; Guo, Q.; Yu, Y.; Wang, A.; Lv, F.; Shen, W. Effects of astaxanthin and emodin on the growth, stress resistance and disease resistance of yellow catfish (Pelteobagrus fulvidraco). Fish Shellfish Immunol. 2016, 51, 125–135. [Google Scholar] [CrossRef] [PubMed]
- Fan, Y.; Zhang, M.; Li, M.; Qian, Y.; Wang, R.; Jiang, H. Effects of dietary Haematococcus pluvialis on growth, antioxidant enzymeactivity, immune response and ammonia tolerance in yellow catfish Pelteobagrus fulvidraco. J. Fish. China 2022, 46, 2168–2176, (In Chinese with an English abstract). [Google Scholar]
- Chen, X.; Gao, D.; Li, Z.; Liu, J.; Sui, K.; Zhang, Y.; Zheng, X.; Wang, G. Effects of astaxanthin on growth, body color and antioxidation of Pelteobagrus fulvidraco. Feed Ind. 2022, 43, 21–24, (In Chinese with an English abstract). [Google Scholar]
- Wang, H.; Zhu, J. Effects of dietary astaxanthin on growth, survival rate and astaxanthin content of Penaeus vannamei. Guangdong Feed 2016, 25, 25–28, (In Chinese with an English abstract). [Google Scholar]
- Tang, J.; Chen, Z.; Liu, Z.; Sun, Z.; Wang, X.; Yang, W.; Feng, Z.; Zhang, T. Effect of natural plant astaxanthin on growth performance, antioxidant and immune capacity of Penaeus vannamei. Feed Res. 2023, 46, 46–50, (In Chinese with an English abstract). [Google Scholar]
- Çankırılıgil, E.C.; Berik, N.; Çakmak, E.; Özel, O.T.; Alp-Erbay, E. Dietary carotenoids influence growth, fillet pigmentation, and quality characteristics of Black Sea trout (Salmo labrax Pallas, 1814). Thalassas Int. J. Mar. Sci. 2022, 38, 793–809. [Google Scholar] [CrossRef]
- Zhang, C.; Jin, Y.; Yu, Y.; Xiang, J.; Li, F. Effects of natural astaxanthin from microalgae and chemically synthetic astaxanthin supplementation on two different varieties of the ridgetail white prawn (Exopalaemon carinicauda). Algal Res. 2021, 57, 102347. [Google Scholar] [CrossRef]
- Xu, W.; Liu, Y.; Huang, W.; Yao, C.; Yin, Z.; Mai, K.; Ai, Q. Effects of dietary supplementation of astaxanthin (Ast) on growth performance, activities of digestive enzymes, antioxidant capacity and lipid metabolism of large yellow croaker (Larimichthys crocea) larvae. Aquac. Res. 2022, 53, 4605–4615. [Google Scholar] [CrossRef]
- Cui, P.; Zhou, W.; Liu, F.; Yu, L.; Jiang, Z. Effects of astaxanthin on body color and growth of red and white koi carp. Fish. Sci. Technol. Inf. 2013, 40, 37–40, (In Chinese with an English abstract). [Google Scholar]
- Wang, J.; Xiong, J.; Zhang, D.; Ren, H.; Zhang, C. Effects of astaxanthin supplementation on growth, body color, antioxidant capability and immunity of kio carp (Cyprinus carpio L.). Chin. J. Anim. Nutr. 2019, 31, 4144–4151, (In Chinese with an English abstract). [Google Scholar]
- Liang, Y.; Liu, C.; Mou, X.; Yang, Y.; Liu, Y.; Song, H. Effects of natural astaxanthin or synthetic astaxanthin on growth, body color and immune ability of red and white koi carp. J. Aquacult. 2024, 45, 21–27, (In Chinese with an English abstract). [Google Scholar]
- Sun, L.; Wu, L.; Bai, D.; Zhu, G. Effect of staxanthin on parrot blood body color, growth and nonspecific immune indexes. J. North. Agric. 2016, 44, 91–95, (In Chinese with an English abstract). [Google Scholar]
- Jiang, J.; Han, X.; Zhou, Y.; Shi, D.; Wang, Y.; Song, L.; Xu, L.; Zhang, L. Effect of natural astaxanthin on growth performance and body pigmentation of Premnas biaculeatus. Feed Res. 2021, 44, 38–42, (In Chinese with an English abstract). [Google Scholar]





| Final Body Weight | Weight Gain Rate | |||||||||||||
|---|---|---|---|---|---|---|---|---|---|---|---|---|---|---|
| k | I2 | Hedges’ g Value | SE | Ci.Lb | Ci.Ub | p-Value | k | I2 | Hedges’ g Value | SE | Ci.Lb | Ci.Ub | p-Value | |
| All species | 218 | 72.51 | 1.6611 | 0.1345 | 1.3976 | 1.9247 | <0.0001 | 211 | 68.41 | 1.8872 | 0.1317 | 1.6290 | 2.1454 | <0.0001 |
| Subgroups | ||||||||||||||
| Species category | ||||||||||||||
| Fish | 157 | 74.00 | 1.8612 | 0.1663 | 1.5353 | 2.1872 | <0.0001 | 153 | 74.25 | 2.0830 | 0.1768 | 1.7365 | 2.4295 | <0.0001 |
| Crustacean | 55 | 61.58 | 0.9545 | 0.2070 | 0.5488 | 1.3602 | <0.0001 | 55 | 38.37 | 1.3843 | 0.1659 | 1.0592 | 1.7094 | <0.0001 |
| Sea cucumber | 6 | 76.69 | 4.9470 | 1.3762 | 2.2496 | 7.6443 | 0.0003 | 3 | 0 | 5.5728 | 1.0956 | 3.4254 | 7.7202 | <0.0001 |
| habitat | ||||||||||||||
| Marine | 115 | 68.99 | 1.4755 | 0.1729 | 1.1366 | 1.8143 | <0.0001 | 104 | 58.97 | 1.5974 | 0.1582 | 1.2874 | 1.9073 | <0.0001 |
| Freshwater | 93 | 74.77 | 1.6874 | 0.2136 | 1.2687 | 2.1061 | <0.0001 | 97 | 73.28 | 2.0181 | 0.2171 | 1.5926 | 2.4436 | <0.0001 |
| Brackish | 10 | 51.88 | 3.2489 | 0.5746 | 2.1227 | 4.3750 | <0.0001 | 10 | 58.79 | 3.5435 | 0.6505 | 2.2685 | 4.8185 | <0.0001 |
| Trophic level | ||||||||||||||
| Low trophic level | 26 | 52.92 | 1.7235 | 0.3033 | 1.1290 | 2.3180 | <0.0001 | 18 | 11.18 | 2.2895 | 0.2810 | 1.7388 | 2.8401 | <0.0001 |
| Middle trophic level | 126 | 65.70 | 1.4206 | 0.1534 | 1.1198 | 1.7213 | <0.0001 | 132 | 58.71 | 1.7410 | 0.1440 | 1.4587 | 2.0233 | <0.0001 |
| High trophic level | 66 | 83.10 | 2.0906 | 0.3282 | 1.4473 | 2.7338 | <0.0001 | 61 | 81.30 | 2.0050 | 0.3185 | 1.3808 | 2.6292 | <0.0001 |
| Specific Growth Rate | Survival Rate | |||||||||||||
|---|---|---|---|---|---|---|---|---|---|---|---|---|---|---|
| k | I2 | Hedges’ g Value | SE | Ci.Lb | Ci.Ub | p-Value | k | I2 | Hedges’ g Value | SE | Ci.Lb | Ci.Ub | p-Value | |
| All species | 177 | 72.73 | 1.5832 | 0.1479 | 1.2934 | 1.8730 | <0.0001 | 124 | 32.67 | 0.4870 | 0.0977 | 0.2954 | 0.6785 | <0.0001 |
| Subgroups | ||||||||||||||
| Species category | ||||||||||||||
| Fish | 121 | 71.58 | 1.7314 | 0.1744 | 1.3895 | 2.0733 | <0.0001 | 70 | 43.07 | 0.4214 | 0.1401 | 0.1468 | 0.6961 | 0.0026 |
| Crustacean | 50 | 72.41 | 1.1124 | 0.2788 | 0.5660 | 1.6589 | <0.0001 | 54 | 6.54 | 0.5737 | 0.1263 | 0.3260 | 0.8213 | <0.0001 |
| Sea cucumber | 6 | 70.20 | 2.1105 | 0.8171 | 0.5089 | 3.7120 | 0.0098 | NA | NA | NA | NA | NA | NA | NA |
| habitat | ||||||||||||||
| Marine | 95 | 75.68 | 1.3197 | 0.2179 | 0.8926 | 1.7468 | <0.0001 | 78 | 30.79 | 0.5438 | 0.1238 | 0.3011 | 0.7865 | <0.0001 |
| Freshwater | 72 | 67.92 | 1.8303 | 0.2080 | 1.4227 | 2.2380 | <0.0001 | 36 | 44.63 | 0.3934 | 0.1974 | 0.0065 | 0.7803 | 0.0463 |
| Brackish | 10 | 52.73 | 2.2123 | 0.4922 | 1.2476 | 3.1770 | <0.0001 | 10 | 0 | 0.4234 | 0.2619 | −0.0900 | 0.9368 | 0.1060 |
| Trophic level | ||||||||||||||
| Low trophic level | 21 | 61.16 | 1.8648 | 0.3773 | 1.1253 | 2.6043 | <0.0001 | 18 | 0 | 0.7304 | 0.2531 | 0.2343 | 1.2264 | 0.0039 |
| Middle trophic level | 110 | 66.86 | 1.3649 | 0.1675 | 1.0365 | 1.6933 | <0.0001 | 72 | 31.27 | 0.5193 | 0.1221 | 0.2800 | 0.7585 | <0.0001 |
| High trophic level | 46 | 80.63 | 1.8640 | 0.3499 | 1.1781 | 2.5498 | <0.0001 | 34 | 44.07 | 0.3140 | 0.1996 | −0.0771 | 0.7052 | 0.1156 |
| Feed Conversion Ratio | Protein Efficiency Ratio | |||||||||||||
|---|---|---|---|---|---|---|---|---|---|---|---|---|---|---|
| k | I2 | Hedges’ g Value | SE | Ci.Lb | Ci.Ub | p-Value | k | I2 | Hedges’ g Value | SE | Ci.Lb | Ci.Ub | p-Value | |
| All species | 180 | 65.83 | −0.9432 | 0.1215 | −1.1813 | −0.7051 | <0.0001 | 54 | 63.50 | 1.1603 | 0.2244 | 0.7205 | 1.6001 | <0.0001 |
| Subgroups | ||||||||||||||
| Species category | ||||||||||||||
| Fish | 150 | 67.57 | −0.9480 | 0.1373 | −1.2172 | −0.6788 | <0.0001 | 51 | 66.88 | 1.2052 | 0.2446 | 0.7257 | 1.6847 | <0.0001 |
| Crustacean | 27 | 55.20 | −0.7573 | 0.2597 | −1.2664 | −0.2483 | 0.0035 | 3 | 0 | 0.9177 | 0.4977 | −0.0578 | 1.8933 | 0.0652 |
| Sea cucumber | 3 | 0 | −3.2515 | 0.7193 | −4.6613 | −1.8416 | <0.0001 | NA | NA | NA | NA | NA | NA | NA |
| habitat | ||||||||||||||
| Marine | 79 | 49.72 | −0.5822 | 0.1441 | −0.8647 | −0.2998 | <0.0001 | 14 | 0 | 0.6359 | 0.2332 | 0.1789 | 1.0930 | 0.0064 |
| Freshwater | 91 | 71.97 | −1.2465 | 0.1950 | −1.6287 | −0.8643 | <0.0001 | 40 | 73.60 | 1.4449 | 0.3219 | 0.8139 | 2.0759 | <0.0001 |
| Brackish | 10 | 83.32 | −1.7292 | 0.8158 | −3.3281 | −0.1303 | 0.0340 | NA | NA | NA | NA | NA | NA | NA |
| Trophic level | ||||||||||||||
| Low trophic level | 19 | 75.27 | −1.2641 | 0.4761 | −2.1972 | −0.3309 | 0.0079 | 5 | 0 | 0.9665 | 0.3870 | 0.2080 | 1.7250 | <0.0001 |
| Middle trophic level | 93 | 56.70 | −0.9232 | 0.1495 | −1.2162 | −0.6303 | <0.0001 | 36 | 55.85 | 1.4807 | 0.2506 | 0.9896 | 1.9718 | <0.0001 |
| High trophic level | 68 | 72.24 | −0.9044 | 0.2156 | −1.3269 | −0.4818 | <0.0001 | 13 | 82.90 | 0.4602 | 0.7095 | −0.9304 | 1.8509 | 0.5166 |
Disclaimer/Publisher’s Note: The statements, opinions and data contained in all publications are solely those of the individual author(s) and contributor(s) and not of MDPI and/or the editor(s). MDPI and/or the editor(s) disclaim responsibility for any injury to people or property resulting from any ideas, methods, instructions or products referred to in the content. |
© 2025 by the authors. Licensee MDPI, Basel, Switzerland. This article is an open access article distributed under the terms and conditions of the Creative Commons Attribution (CC BY) license (https://creativecommons.org/licenses/by/4.0/).
Share and Cite
Li, B.; Chen, C.; Zhou, X.; Liu, H.; Zhou, Z.; Wang, X.; Liang, J.; Guo, Y.; Liang, S. Effectiveness of Astaxanthin as a Feed Supplement to Improve Growth Performance and Feed Utilization in Aquaculture Animals: A Meta-Analysis. Antioxidants 2025, 14, 609. https://doi.org/10.3390/antiox14050609
Li B, Chen C, Zhou X, Liu H, Zhou Z, Wang X, Liang J, Guo Y, Liang S. Effectiveness of Astaxanthin as a Feed Supplement to Improve Growth Performance and Feed Utilization in Aquaculture Animals: A Meta-Analysis. Antioxidants. 2025; 14(5):609. https://doi.org/10.3390/antiox14050609
Chicago/Turabian StyleLi, Bowen, Chunxiu Chen, Xiaoqing Zhou, Huiru Liu, Zhixiong Zhou, Xiaoyu Wang, Jian Liang, Yongjun Guo, and Shuang Liang. 2025. "Effectiveness of Astaxanthin as a Feed Supplement to Improve Growth Performance and Feed Utilization in Aquaculture Animals: A Meta-Analysis" Antioxidants 14, no. 5: 609. https://doi.org/10.3390/antiox14050609
APA StyleLi, B., Chen, C., Zhou, X., Liu, H., Zhou, Z., Wang, X., Liang, J., Guo, Y., & Liang, S. (2025). Effectiveness of Astaxanthin as a Feed Supplement to Improve Growth Performance and Feed Utilization in Aquaculture Animals: A Meta-Analysis. Antioxidants, 14(5), 609. https://doi.org/10.3390/antiox14050609

