Abstract
Metastatic colorectal cancer is frequently associated with poor clinical conditions that may limit therapeutic options. Regorafenib is a small molecule approved for the treatment of metastatic colorectal cancer, but it is hampered by significative toxicities. Moreover, only a relatively limited number of patients benefit from the treatment. Therefore, the identification of reliable markers for response is an unmet need. Eighteen cytokines, selected based on their prevalent Th1 or Th2 effects, were collected. Peripheral blood samples were gathered at baseline in 25 metastatic colorectal cancer patients treated with regorafenib. Data extracted have been linked to progression-free survival. ROC identified the best cytokines associated with outcome. The relative value of the selected cytokines was determined by PCA. Data analysis identified 8 cytokines (TGF-β, TNF-α, CCL-2, IL-6, IL-8, IL-10, IL-13 and IL-21), used to create a signature (TGF-β, TNF-α high; CCL-2, IL-6, IL-8, IL-10, IL-13 and IL-21 low) corresponding to patients with a significantly longer progression-free survival. This report suggests that the analysis of multiple cytokines might identify a cytokine signature related to a patient’s outcome that is able to recognize patients who will benefit from treatment. If confirmed, future studies, also based on different drugs, using this approach and including larger patient populations, might identify a signature allowing the a priori identification of patients to be treated.
1. Introduction
Colorectal cancer (CRC) is the third most common cancer and the second leading cause of cancer-related deaths in Western countries [1]. About 20% of CRC patients have metastatic disease at diagnosis and 50% of patients with stage III show disease recurrence after front-line therapy. Frequently, metastatic CRC (mCRC) patients are debilitated [2] and it may limit the therapeutic options and make treatment complex due to the potential treatment-related toxicities [3]. All these aspects explain why mCRC is historically associated with a dismal prognosis, with 5 to 8% overall survival (OS) at 5 years.
Regorafenib is an oral multi-kinase inhibitor approved for the therapy of previously treated mCRC [4]. Its main effect is the suppression of angiogenesis and remodeling of the tumor microenvironment (TME), favoring antitumor immunity via blockade of vascular endothelial growth factor receptors (VEGFRs) (accelerates maturation of dendritic cells, improves cytotoxic T lymphocyte trafficking and cytotoxic function) and colony stimulating factor 1 receptor (CSF-1R) (reduced TAM recruitment and differentiation toward the M1 phenotype), among other positive immune effects (4).
Pivotal clinical trials have shown that regorafenib could significantly increase OS and progression-free survival (PFS) compared with placebo [5,6,7]. Currently, regorafenib is recommended as the third or following line of therapy [8].
At the standard approved dose, regorafenib is frequently associated with adverse effects (AEs) [9,10] and it limits its use.
Since only a fraction of mCRC patients show clinical benefits with regorafenib, there is an unmet need for biomarkers able to identify responder patients, avoiding the risk of toxicity to the remaining population [11].
The interaction between the tumor and immune cells is modulated by the TME and is largely driven by small proteins (interleukines, growth factors, chemokines, for brevity all them called cytokines) detectable in peripheral blood [12]. Their analysis offers a tool for associating specific cytokine profiles with the likelihood of obtaining a benefit from treatment.
Our group has already investigated the relationship of single cytokines with clinical outcome finding TGF-β and TNF-α both associated with outcome [13]. However, single cytokine analysis is a poor method for identifying effective markers because their final effect is frequently context dependent [14].
Therefore, a study of panels of cytokines selected among those potentially more involved in the determination of TME should be favored [12].
For this reason, we decided to evaluate a panel of cytokines in patients treated with regorafenib, a drug known to influence TME, using statistical methods capable of highlighting their mutual influence. Basically, this analysis points out the effect of context rather than the value of individual cytokines.
The aim of the study is to identify a cytokine profile associated with longer PFS, which represents a simple measure of drug effect [15].
2. Materials and Methods
2.1. Study Design
This is an exploratory retrospective single-center study conducted at the Department of Clinical Oncology, Ospedale S. Croce e Carle teaching hospital.
2.2. Patients
Patients considered for the study suffered from histologically confirmed mCRC already treated with standard regimens of chemotherapy. All patients were required to be eligible for treatment with regorafenib (Stivarga®, Bayer, Leverkusen, Germany), according to EMA approval. All enrolled patients signed an informed consent for the storage and analysis of their biological material and the study was approved by the local ethical committee (prot n° 24347; 7 August 2015).
2.3. Blood Sample Collection
Blood samples were collected into EDTA vacutainer tubes at baseline immediately before the first administration of regorafenib. Plasma samples were obtained through the centrifugation step and stored in aliquots at −80 °C until use.
2.4. Analysis Methods
2.4.1. Plasma Levels of 18 Cytokines
TGF-β, TNF-α, VEGF, INF-γ, IL-2, IL-4, IL-5, IL-6, IL-8, IL-10, IL-12, IL-13, IL-15, CCL-2, CCL4, CCL-22, and CXCL-10 were evaluated with the Ella Simple Plex system (ProteinSimple™, San Jose, CA, USA) according to the manufacturer’s instructions. Briefly, a twofold dilution of each plasma sample was spun for 15 min at 1000× g and added to the Simple Plex cartridge. The cartridge was then inserted into the reactor and run for 90 min at RT. TGF-β, was previously activated (1 N HCl, and then neutralized with 1.2 N NaOH/0.5 M HEPES) to a final dilution with a volume ratio of 1:15. The cartridge was inserted into the Ella reactor and run for 90 min. The concentrations were expressed in pg/mL.
2.4.2. IL-21
IL-21 was assessed with the ELISA method (R & D System, Minneapolis, MN, USA). The Il-21 reaction, after incubations, was stopped and colorimetric detection was carried out with a spectrophotometer (Multiskan Ascent, Thermo Fisher Scientific, Cambridge MA, USA) set at 450 nm with corrections at 570 nm. The measured optical densities were expressed as pg/mL.
2.5. Statistical Analysis
We retrospectively grouped patients into 2 groups based on the median value of PFS (above or below the median value).
Differences in the median cytokine values were analyzed using a non-parametric Mann–Whitney U test. In order to find the optimal cut-off point of our variables, receiver operating characteristic curve (ROC) analysis was performed, also considering variables with p-values below 0.2. The cut-off was defined as the point on the ROC curve with the largest average sensitivity and specificity.
Principal component analysis (PCA) and hierarchical clustering on principal components (HCPC) were performed to group our populations into clusters, using normalized variables with the z-score method. To realize these clusters, the “elbow method” was employed to cut the hierarchical tree.
PFS and OS were evaluated using the Kaplan–Meyer method, and the relative hazard ratio (HR) was analyzed with the Cox model.
Response was assessed every 8 weeks and classified according to RECIST version 1.1. Clinical benefit (CB) was defined as the sum of all complete responses (CR), partial responses (RP) and stable diseases (SD) lasting at least 6 months.
PFS was defined as the time elapsed between the start of regorafenib and the diagnosis of progression of disease or death from any cause, whichever occurred first or at the date of the last follow-up for censored patients.
OS was defined as the time elapsed between the start of regorafenib and death from any cause or the date of the last follow-up for censored patients.
The Mann–Whitney U test was performed with GraphPad v.5. Kaplan–Meyer analysis was performed with STATA MP13 and the Cox model was performed with SPSS V.24. PCA and HCPC were used to identify different clusters of patients based on specific cytokine profiles and were computed with R v.3.5.3 by the FactoMiner R package. In all tests, a p value equal to or lower than 0.05 was regarded as significant. Bonferroni’s correction was applied to the multiplicity test [16]. If not specified, a p-value was considered NS (not significant).
3. Results
3.1. Patient Population
Twenty-five patients accrued between June 2015 and September 2020; the median age was 65 years. Fifteen patients (60%) had a primary site in the colon (10 patients left colon and 5 right colon) and 10 patients (40%) in the rectum. Twenty patients (80%) harbored a RAS mutation, and five (20%) were RAS wild type. The main patients’ characteristics are reported in Table 1.
Table 1.
Patient’s characteristics.
All the patients received at least 2 previous lines of treatment for metastatic disease, and 10 patients received 4 or more lines. Previous treatments according to type of treatment, line of treatment and patient’s clusters are reported in Table 2.
Table 2.
Prior treatments.
The most common site of metastatic deposit was the lung (11/13 patients in cluster 1, 6/11 patients in cluster 2 and 1/1 patient in cluster 3). The liver was involved in 8/13 patients in cluster 1, 8/11 patients in cluster 2 and 1/1 patient in cluster 3. Three patients, all in cluster 2, had only unresectable liver metastases and 2 patients, all in cluster 1, had only multiple unresectable lung metastases. One patient (cluster 2) had only peritoneal involvement. In all the remaining patients, multiple metastatic sites were observed. The metastatic spread is described in Table S1.
3.2. Treatment Effect
One patient achieved CR; clinical benefit was recorded in 5 patients (20%). Twenty patients experienced PD in the first evaluation.
The median PFS was 2.9 months (95% C.I. 2.2–3.5), and the median OS was 9.1 months (95% C.I. 6.5–11.7).
3.3. Correlation between Baseline Cytokine Levels and PFS
Cytokine levels were assessed in all accrued patients.
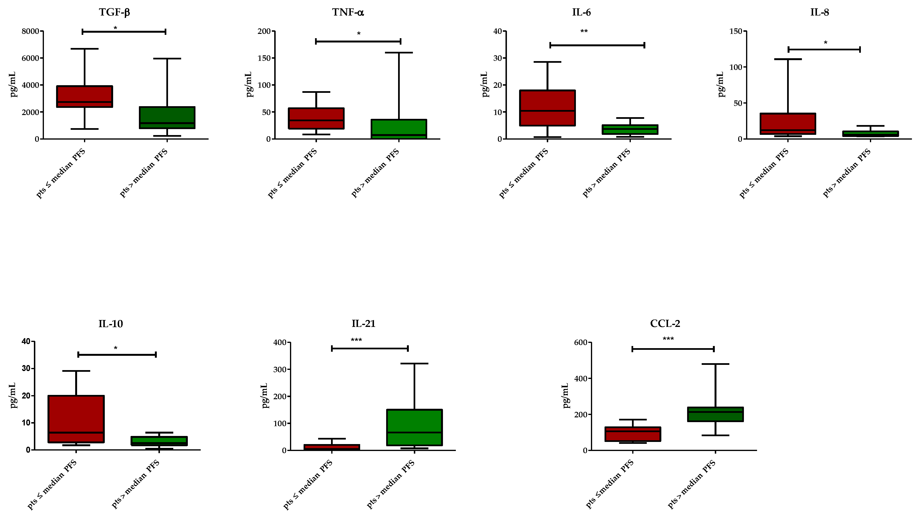
Plasma levels of TGF-β (p = 0.01), IL-6 (p = 0.01), IL-8 (p = 0.04), IL-10 (p = 0.03) and TNF-α (p = 0.04) were higher in patients below the PFS median value. CCL-2 (p = 0.001) and IL-21 (p = 0.001) plasma levels were higher in patients with PFS above the median (Figure 1).
Figure 1.
Distributions of cytokines: red bars represent patients with PFS ≤ 2.9 months and green bars represent patients with PFS > 2.9 months. Only cytokines with any statistical significance were shown. Data are expressed as medians with ranges. *** p < 0.001, ** p < 0.01, * p < 0.05. CCL, C-C motif ligand; IL, interleukin.
3.4. Cluster Analysis
Using ROC analysis, we identified 8 cytokines with a prognostic value. Seven cytokines showed a significant specificity for patients with PFS below the median compared to patients with PFS above the median (TGF-β, TNF-α, CCL-2, IL-6, IL-8, IL-10 and IL-21). IL-13, with a p-value of 0.109, was also selected (Table S2).
PCA was realized based on the identified cytokines (TGF-β, TNF-α, CCL2, IL-6, IL-8, IL-10, IL-13, and IL-21), and a graph of the cytokine vector distribution was divided into four quadrants (Figure 2).
Figure 2.
PCA graph of variables for each quadrant. Quadrant 1 (Q1) was represented by CCL-2 and IL-21; quadrant 2 (Q2) by IL-13, IL-8 and TNF-α; quadrant 3 (Q3) by IL10, IL-6 and TGF-β. The x-axis plotted principal component 1 (Dim 1), and the y-axis plotted principal component 2 (Dim 2). Variance explained was represented as a percentage.
Quadrant 1 was generated with IL-21 and CCL-2 vectors; quadrant 2 with IL-13, IL-8 and TNF-α vectors; quadrant 3 with the remaining cytokines (IL-6, IL-10 and TGF-β); no cytokines contributed in quadrant 4. Then, a factor map was developed using HCPC analysis. All patients were grouped into 3 clusters: cluster 1 (13 patients), cluster 2 (11 patients) and cluster 3 (1 patient) (Figure 3).
Figure 3.
HCPC analysis for all 25 patients. In the x- and y-axes, the two principal components are plotted (Dim 1 and Dim 2). We clustered all patients in 3 clusters: cluster 1 (blue, 13 patients), cluster 2 (gold, 11 patients) and cluster 3 (gray, 1 patient).
3.5. Kaplan–Meier Analysis
Considering that cluster 3 is made up of only one patient, analyses were focused between cluster 1 and cluster 2.
A significantly higher median PFS was observed in cluster 1 (5.2 months, 95% CI: 4.0–6.4, vs. 2.4 months, 95% CI: 2.3–2.5, p < 0.001) (Figure 4).
Figure 4.
Kaplan-Meier for the PFS of cluster 1 (blue line) and cluster 2 (gold line).
A multivariate Cox analysis was performed using clusters (used as dichotomous variables), sex, primary site (left colon, right colon or rectum), RAS mutational status and number of prior therapies as covariates. The belonging in cluster 1 was the only independent factor predicting good PFS, with an HR of 0.110 (95% C.I. 0.030–0.399) (Table 3).
Table 3.
Multivariate Cox analysis for PFS.
4. Discussion
This study allowed the identification of a profile made up of 8 cytokines, able to discriminate, in our limited population, patients with the best PFS.
The profile has been identified using PCA and is based on high levels of CCL-2 and IL-21 and low levels of TGF-β, IL-10, IL-6, IL-8, TNF-α and IL-13.
HCPC analysis identified each single patient harboring the good profile and placed them in a cluster characterized by significantly better PFS (cluster 1).
The value of this approach is that it overcomes the context-dependent effect of most cytokines, highlighting their mutual influence.
Considering, for instance, the 8 cytokines of the identified panel, 7 of them can induce conflicting effects.
CCL-2 has been associated with a poor prognosis in breast cancer [17] and may support the formation of metastatic niches through the recruitment of monocytes [18]. However, it also recruits γδ T lymphocytes, favoring immune surveillance [19].
IL-21 favors maturation and enhances the cytotoxicity of CD8+ cells and NK cells, while suppressing the induction of Tregs [20,21,22]. However, it may also negatively impact γδ T cell anti-tumor effects [23].
TGF-β is considered among the most immunosuppressive cytokines due to its major role, for instance, in extracellular matrix remodeling, contribution to neo-angiogenesis and epithelial-mesenchymal transition (EMT) [24]. However, TGF-β has important tumor-suppressor effects, in particular in the initial phase of cancer development or in tumors with preserved TGF-β signaling, by acting negatively on cell proliferation and positively on apoptosis [25].
IL-10 promotes immune suppression in TME [26,27], but surprisingly, the reduction predicts poor outcomes in lung and colon cancer [28,29].
IL-6 is a negative prognostic factor in many solid tumors, including colorectal cancer [30]. However, IL-6 shows an important tumor-suppressor effect based on the activation, expansion and survival of effector lymphocytes [31].
IL-8, among other pro-tumor effects, contributes to EMT and promotes trafficking of myeloid-derived suppressor cells (MDSC) and neutrophils [32] toward the tumor bed. Conversely, Doll et al. reported that IL-8 was not related to tumor progression or poor prognosis in colorectal cancer [33].
TNF-α promotes apoptosis in immune cells and favors tumor dissemination [34]. On the other hand, it contributes to the M2 (pro-tumor)–M1 (tumor suppressor) conversion of tumor-associated macrophages and to the destruction of tumor vasculature [35].
Among the cytokines belonging to the panel identified, only IL-13 seems to harbor exclusively pro-tumor effects. It is involved in EMT, acts as a growth factor in pancreatic cancer and other solid tumors, is an important regulator of M2 macrophages damping immune surveillance against metastasis [36], and favors lymph node dissemination [37].
However, due to the conflicting effects of most of them, the final role of cytokines is believed to be context dependent; therefore, the concurrent analyses of multiple cytokines, instead of a single one, using adequate statistical methods, may contribute to a more accurate assessment of a patient’s immunological status and prognosis [14,38].
Chen et al. selected 17 cytokines correlated to OS at univariate analysis into a cytokine score [39]. The authors assigned a weighted score to the cytokines based on their respective HR. The cut-off value for the score was then measured by ROC to transform the variable into a dichotomous high and low value. Sensitivity and specificity in predicting OS were 0.833 and 0.737 values, respectively.
Unfortunately, this study did not evaluate the scores against important covariates, such as tumor or patient characteristics, in a multivariate model. However, the cumulative analysis of the 17 cytokines was better than that of all single cytokines in terms of prognostic accuracy. Gunawardene et al. in 2018, performed a systematic review focusing on the prognostic value of circulating cytokines in colorectal cancer. They concluded that evaluating multiple cytokines is relatively ineffective for identifying novel biomarkers, albeit the levels of multiple cytokines combined into a composite score might be promising [40]. These conclusions highlight the need to apply adequate statistical methods to this issue.
Several studies have tried to employ PCA, a method able to reduce the dimensionality of multi-variable data while enabling an unbiased data-driven approach, to investigate the efficacy of treatments and/or understand an unbalanced immune system that drives early progression or death. For instance, Tuong et al. used PCA to assess a cytokine profile related to the disease stage in squamous cell carcinoma and precancerous lesions of the skin [41]. Nistor et al. analyzed, with the same method, a cytokine network in a randomized phase II study in metastatic melanoma patients treated with dendritic cell vaccines or tumor cell vaccines to compare the immune responses of each treatment [42]. Ellsworth et al. used PCA to identify changes in cytokine profiles in non-small cell lung cancer patients treated with definitive radiotherapy [43].
Our group has used PCA to identify a cytokinome signature able to discriminate different prognostic groups among end-stage patients affected by different solid tumors [44] and in breast cancer patients to identify a signature potentially able to select patients for treatment beyond progression [45]. However, to the best of our knowledge, this is the first study on colorectal cancer using PCA to evaluate a cytokine profile in patients with metastatic disease treated with standard therapy.
5. Conclusions
Our report is hampered by a key limitation: the results cannot be used routinely in clinical practice, as they are and must be regarded as exploratory.
Indeed, PCA represents a dynamic method and the addition of new data may change the relationship among the analyzed cytokines, leading to different results.
It means that a much larger number of patients should be analyzed to reduce the variability and to obtain more stable results.
One other important limitation is that we cannot weigh the importance of the treatment. It is highly probable that different drugs or combinations may change the predictive role of the analyzed cytokines. To assess this point, we are testing the same 18 cytokines selected for the present experience in ongoing projects conducted on patients treated with different drugs and with different solid tumors. Notwithstanding these limitations, the study underlines that PCA may allow the identification of a cytokine signature related to a patient’s outcome, highlighting the contextual rather than the context-dependent effect of each cytokine.
The next step, related to the results reported, is to build up a network of centers able to enroll in and analyze a large number of homogeneously treated colon cancer patients.
Our ambitious aim is to identify a cytokine signature able to prospectively drive the treatment choice. It is important to underline that the technology used in our study is relatively low in cost and easily expanded to most hospitals other than research institutions.
Supplementary Materials
The following supporting information can be downloaded at: https://www.mdpi.com/article/10.3390/vaccines11020335/s1, Table S1. Metastatic sites; Table S2. ROC.
Author Contributions
Conceptualization, A.A. and M.C.M.; Formal analysis, M.P.; Data curation, V.R., C.G. and M.C.M.; Writing—review & editing, F.R., C.C., D.G., N.D., M.G. and O.G. Supervision, O.G. All authors have read and agreed to the published version of the manuscript.
Funding
This research received no external funding.
Institutional Review Board Statement
The study was conducted according to the guidelines of the Declaration of Helsinki and approved by the local ethical committee by the Santa Croce e Carle Teaching Hospital (prot n° 24347; 7 August 2015).
Informed Consent Statement
Written informed consent has been obtained from the patients to publish this paper.
Data Availability Statement
Data supporting reported results can be found at the ARCO foundation laboratory in the Santa Croce e Carle Teaching Hospital (Cuneo, Italy).
Conflicts of Interest
O.G. advisory board, EISAI, SEAGEN, MSD, GILEAD, DAIKII SANKYO, ASTRA ZENECA; Honoraria Eli Lilly, Novartis, Pfizer, Pierre Fabre; M.C.M. research funds, Merck-Serono; Other authors declare no conflict of interest.
References
- Baidoun, F.; Elshiwy, K.; Elkeraie, Y.; Merjaneh, Z.; Khoudari, G.; Sarmini, M.T.; Gad, M.; Al-Husseini, M.; Saad, A. Colorectal Cancer Epidemiology: Recent Trends and Impact on Outcomes. Curr. Drug Targets 2021, 22, 998–1009. [Google Scholar] [CrossRef] [PubMed]
- Siegel, R.L.; Miller, K.D.; Sauer, A.G.; Fedewa, S.A.; Butterly, L.F.; Anderson, J.C.; Cercek, A.; Smith, R.A.; Jemal, A. Colorectal cancer statistics, 2020. CA Cancer J. Clin. 2020, 70, 145–164. [Google Scholar] [CrossRef] [PubMed]
- Aparicio, T.; Pamoukdjian, F.; Quero, L.; Manfredi, S.; Wind, P.; Paillaud, E. Colorectal cancer care in elderly patients: Unsolved issues. Dig. Liver Dis. 2016, 48, 1112–1118. [Google Scholar] [CrossRef]
- Arai, H.; Battaglin, F.; Wang, J.; Lo, J.H.; Soni, S.; Zhang, W.; Lenz, H.-J. Molecular insight of regorafenib treatment for colorectal cancer. Cancer Treat. Rev. 2019, 81, 101912. [Google Scholar] [CrossRef] [PubMed]
- Ettrich, T.J.; Seufferlein, T. Regorafenib. Recent Results Cancer Res. 2018, 211, 45–56. [Google Scholar] [CrossRef]
- Li, J.; Qin, S.; Xu, R.; Yau, T.C.C.; Ma, B.; Pan, H.; Xu, J.; Bai, Y.; Chi, Y.; Wang, L.; et al. Regorafenib plus best supportive care versus placebo plus best supportive care in Asian patients with previously treated metastatic colorectal cancer (CONCUR): A randomised, double-blind, placebo-controlled, phase 3 trial. Lancet Oncol. 2015, 16, 619–629. [Google Scholar] [CrossRef]
- Ducreux, M.; Petersen, L.N.; Öhler, L.; Bergamo, F.; Metges, J.-P.; de Groot, J.W.; Wang, J.-Y.; Paredes, B.G.; Dochy, E.; Fiala-Buskies, S.; et al. Safety and effectiveness of regorafenib in patients with metastatic colorectal cancer in routine clinical practice in the prospective, observational CORRELATE study. Eur. J. Cancer 2019, 123, 146–154. [Google Scholar] [CrossRef]
- Van Cutsem, E.; Nordlinger, B.; Cervantes, A. Advanced colorectal cancer: ESMO Clinical Practice Guidelines for treatment. Ann. Oncol. 2010, 21 (Suppl. 5), v93–v97. [Google Scholar] [CrossRef]
- Grothey, A.; Van Cutsem, E.; Sobrero, A.F.; Siena, S.; Falcone, A.; Ychou, M.; Humblet, Y.; Bouche, O.; Mineur, L.; Barone, C.; et al. Time course of regorafenib-associated adverse events in the phase III CORRECT study. J. Clin. Oncol. 2012, 30 (Suppl. 34), 467. [Google Scholar] [CrossRef]
- Bekaii-Saab, T.S.; Ou, F.-S.; Ahn, D.H.; Boland, P.M.; Ciombor, K.K.; Heying, E.N.; Dockter, T.J.; Jacobs, N.L.; Pasche, B.C.; Cleary, J.M.; et al. Regorafenib dose-optimisation in patients with refractory metastatic colorectal cancer (ReDOS): A randomised, multicentre, open-label, phase 2 study. Lancet Oncol. 2019, 20, 1070–1082. [Google Scholar] [CrossRef]
- Goel, G. Evolution of regorafenib from bench to bedside in colorectal cancer: Is it an attractive option or merely a “me too” drug? Cancer Manag. Res. 2018, 10, 425–437. [Google Scholar] [CrossRef] [PubMed]
- Kartikasari, A.E.R.; Huertas, C.S.; Mitchell, A.; Plebanski, M. Tumor-Induced Inflammatory Cytokines and the Emerging Diagnostic Devices for Cancer Detection and Prognosis. Front. Oncol. 2021, 11, 692142. [Google Scholar] [CrossRef] [PubMed]
- Ricci, V.; Granetto, C.; Falletta, A.; Paccagnella, M.; Abbona, A.; Fea, E.; Fabozzi, T.; Nigro, C.L.; Merlano, M.C. Circulating cytokines and outcome in metastatic colorectal cancer patients treated with regorafenib. World J. Gastrointest. Oncol. 2020, 12, 301–310. [Google Scholar] [CrossRef] [PubMed]
- Kantola, T.; Klintrup, K.; Väyrynen, J.P.; Vornanen, J.; Bloigu, R.; Karhu, T.; Herzig, K.-H.; Näpänkangas, J.; Mäkelä, J.; Karttunen, T.J.; et al. Stage-dependent of the serumcytokine pattern in colorectal carcinoma. Br. J. Cancer 2012, 107, 1729–1736. [Google Scholar] [CrossRef]
- Wilkerson, J.; Fojo, T. Progression-free survival is simply a measure of a drug’s effect while administered and is not a surrogate for overall survival. Cancer J. 2009, 15, 379–385. [Google Scholar] [CrossRef]
- Haynes, W. Bonferroni Correction. In Encyclopedia of Systems Biology Components; Dubitzky, W., Wolkenhauer, O., Cho, K.H., Yokota, H., Eds.; Springer: New York, NY, USA, 2013; p. 154. [Google Scholar]
- Youngs, S.J.; Ali, S.A.; Taub, D.D.; Rees, R.C. Chemokines induce migrational responses in human breast carcinoma cell lines. Int. J. Cancer 1997, 71, 257–266. [Google Scholar] [CrossRef]
- Qian, B.-Z.; Li, J.; Zhang, H.; Kitamura, T.; Zhang, J.; Campion, L.R.; Kaiser, E.A.; Snyder, L.A.; Pollard, J.W. CCL2 recruits inflammatory monocytes to facilitate breast-tumour metastasis. Nature 2011, 475, 222–225. [Google Scholar] [CrossRef]
- Lança, T.; Costa, M.F.; Gonçalves-Sousa, N.; Rei, M.; Grosso, A.R.; Penido, C.; Silva-Santos, B. Protective Role of the Inflammatory CCR2/CCL2 Chemokine Pathway through Recruitment of Type 1 Cytotoxic γδ T Lymphocytes to Tumor Beds. J. Immunol. 2013, 190, 6673–6680. [Google Scholar] [CrossRef]
- Parrish-Novak, J.; Dillon, S.R.; Nelson, A.; Hammond, A.; Sprecher, C.A.; Gross, J.A.; Johnston, J.A.; Madden, K.; Xu, W.; West, J.; et al. Interleukin 21 and its receptor are involved in NK cell expansion and regulation of lymphocyte function. Nature 2000, 408, 57–63. [Google Scholar] [CrossRef]
- Zeng, R.; Spolski, R.; Finkelstein, S.E.; Oh, S.; Kovanen, P.E.; Hinrichs, C.S.; Pise-Masison, C.A.; Radonovich, M.F.; Brady, J.N.; Restifo, N.P.; et al. Synergy of IL-21 and IL-15 in regulating CD8+ T cell expansion and function. J. Exp. Med. 2005, 201, 139–148. [Google Scholar] [CrossRef]
- Fantini, M.C.; Rizzo, A.; Fina, D.; Caruso, R.; Becker, C.; Neurath, M.F.; Macdonald, T.T.; Pallone, F.; Monteleone, G. IL-21 regulates experimental colitis by modulating the balance between Treg and Th17 cells. Eur. J. Immunol. 2007, 37, 3155–3163. [Google Scholar] [CrossRef] [PubMed]
- Barjon, C.; Michaud, H.-A.; Fages, A.; Dejou, C.; Zampieri, A.; They, L.; Gennetier, A.; Sanchez, F.; Gros, L.; Eliaou, J.-F.; et al. IL-21 promotes the development of a CD73-positive Vγ9Vδ2 T cell regulatory population. Oncoimmunology 2018, 7, e1379642. [Google Scholar] [CrossRef] [PubMed]
- Derynck, R.; Akhurst, R.J.; Balmain, A. TGF-beta signaling in tumor suppression and cancer progression. Nat. Genet. 2001, 29, 117–129. [Google Scholar] [CrossRef] [PubMed]
- Baba, A.B.; Rah, B.; Bhat, G.R.; Mushtaq, I.; Parveen, S.; Hassan, R.; Zargar, M.H.; Afroze, D. Transforming growth-factor (TGF-β) signaling in cancer-A betrayal within. Front. Pharmacol. 2022, 13, 791272. [Google Scholar] [CrossRef]
- Sarris, A.H.; Kliche, K.-O.; Pethambaram, P.; Preti, A.; Tucker, S.; Jackow, C.; Messina, O.; Pugh, W.; Hagemeister, F.; McLaughlin, P.; et al. Interleukin-10 levels are often elevated in serum of adults with Hodgkin’s disease and are associated with inferior failure-free survival. Ann. Oncol. 1999, 10, 433–440. [Google Scholar] [CrossRef]
- Visco, C.; Vassilakopoulos, T.P.; Kliche, K.O.; Nadali, G.; Viviani, S.; Bonfante, V.; Medeiros, L.J.; Notti, P.; Rassidakis, G.Z.; Peethambaram, P.; et al. Elevated serum levels of IL-10 are associated with inferior progression-free survival in patients with Hodgkin’s disease treated with radiotherapy. Leuk. Lymphoma 2004, 45, 2085–2092. [Google Scholar] [CrossRef]
- Soria, J.-C.; Moon, C.; Kemp, B.L.; Liu, D.D.; Feng, L.; Tang, X.; Chang, Y.S.; Mao, L.; Khuri, F.R. Lack of interleukin-10 expression could predict poor outcome in patients with stage I non-small cell lung cancer. Clin. Cancer Res. 2003, 9, 1785–1791. [Google Scholar]
- Chang, J.; Zhang, W.; Lin, G.; Tong, D.; Zhu, D.; Zhao, J.; Yu, Q.; Huang, D.; Li, W. Tumor Response to Irinotecan is Associated with IL-10 Expression Level in Metastatic Colorectal Cancer-Results from mCRC Biomarker Study. OncoTargets Ther. 2020, 13, 11819–11826. [Google Scholar] [CrossRef]
- Xu, J.; Ye, Y.; Zhang, H.; Szmitkowski, M.; Mäkinen, M.J.; Li, P.; Xia, D.; Yang, J.; Wu, Y.; Wu, H. Diagnostic and Prognostic Value of Serum Interleukin-6 in Colorectal Cancer. Medicine 2016, 95, e2502. [Google Scholar] [CrossRef]
- Fisher, D.T.; Appenheimer, M.M.; Evans, S.S. The two faces of IL-6 in the tumor microenvironment. Semin. Immunol. 2014, 26, 38–47. [Google Scholar] [CrossRef]
- David, J.M.; Dominguez, C.; Hamilton, D.H.; Palena, C. The IL-8/IL-8R axis: A double agent in tumor immune resistance. Vaccines 2016, 4, 22. [Google Scholar] [CrossRef] [PubMed]
- Doll, D.; Keller, L.; Maak, M.; Boulesteix, A.-L.; Siewert, J.R.; Holzmann, B.; Janssen, K.-P. Differential expression of the chemokines GRO-2, GRO-3, and interleukin-8 in colon cancer and their impact on metastatic disease and survival. Int. J. Color. Dis. 2010, 25, 573–581. [Google Scholar] [CrossRef] [PubMed]
- Terzić, J.; Grivennikov, S.; Karin, E.; Karin, M. Inflammation and colon cancer. Gastroenterology 2010, 138, 2101–2114. [Google Scholar] [CrossRef]
- Josephs, S.F.; Ichim, T.E.; Prince, S.M.; Kesari, S.; Marincola, F.M.; Escobedo, A.R.; Jafri, A. Unleashing endogenous TNF-α as a cancer immune therapy. J. Transl. Med. 2018, 16, 242. [Google Scholar] [CrossRef]
- Sinha, P.; Clements, V.K.; Ostrand-Rosenberg, S. Interleukin-13 regulated M2 macrophages in combination with myeloid suppressor cells block immune surveillance against metastasis. Cancer Res. 2005, 65, 11743–11751. [Google Scholar] [CrossRef] [PubMed]
- Cao, H.; Zhang, J.; Liu, H.; Wan, L.; Zhang, H.; Huang, Q.; Xu, E.; Lai, M. IL13/STAT6 signaling plays a critical role in epithelial-mesenchymal transition of colorectal cancer cells. Oncotarget 2016, 7, 61183–61198. [Google Scholar] [CrossRef]
- Kantola, T.; Klintrup, K.; Väyrynen, J.P.; Vornanen, J.; Bloigu, R.; Karhu, T.; Herzig, K.-H.; Näpänkangas, J.; Mäkelä, J.; Karttunen, T.J.; et al. Reply: Comment on ‘Stage-dependent alterations of the serum cytokine pattern in colorectal carcinoma’. Br. J. Cancer 2013, 108, 1917–1918. [Google Scholar] [CrossRef]
- Chen, Z.-Y.; He, W.-Z.; Peng, L.-X.; Jia, W.-H.; Guo, R.-P.; Xia, L.-P.; Qian, C.-N. A prognostic classifier consisting of 17 circulating cytokines is a novel predictor of overall survival for metastatic colorectal cancer patients. Int. J. Cancer 2015, 136, 584–592. [Google Scholar] [CrossRef]
- Gunawardene, A.; Dennett, E.; Larsen, P. Prognostic value of multiple cytokine analysis in colorectal cancer: A systematic review. J. Gastrointest. Oncol. 2019, 10, 134–143. [Google Scholar] [CrossRef]
- Tuong, Z.K.; Lewandowski, A.; Bridge, J.A.; Cruz, J.L.G.; Yamada, M.; Lambie, D.; Lewandowski, R.; Steptoe, R.J.; Leggatt, G.R.; Simpson, F.; et al. Cytokine/chemokine profiles in squamous cell carcinoma correlate with precancerous and cancerous disease stage. Sci. Rep. 2019, 9, 17754. [Google Scholar] [CrossRef]
- Nistor, G.I.; Dillman, R.O. Cytokine network analysis of immune responses before and after autologous dendritic cell and tumor cell vaccine immunotherapies in a randomized trial. J. Transl. Med. 2020, 18, 176. [Google Scholar] [CrossRef] [PubMed]
- Ellsworth, S.G.; Rabatic, B.M.; Chen, J.; Zhao, J.; Campbell, J.; Wang, W.; Pi, W.; Stanton, P.; Matuszak, M.; Jolly, S.; et al. Principal component analysis identifies patterns of cytokine expression in non-small cell lung cancer patients undergoing definitive radiation therapy. PLoS ONE 2017, 12, e0183239. [Google Scholar] [CrossRef]
- Merlano, M.; Abbona, A.; Paccagnella, M.; Falletta, A.; Granetto, C.; Ricci, V.; Fea, E.; Denaro, N.; Ruatta, F.; Merlotti, A.; et al. Cytokine profile of end stage cancer patients treated with immunotherapy. Vaccines 2021, 9, 235. [Google Scholar] [CrossRef] [PubMed]
- Paccagnella, M.; Abbona, A.; Michelotti, A.; Geuna, E.; Ruatta, F.; Landucci, E.; Denaro, N.; Vanella, P.; Lo Nigro, C.; Galizia, D.; et al. Circulating cytokines in metastatic breast cancer patients select different prognostic groups and patients who might benefit from treatment beyond progression. Vaccines 2022, 10, 78. [Google Scholar] [CrossRef] [PubMed]
Disclaimer/Publisher’s Note: The statements, opinions and data contained in all publications are solely those of the individual author(s) and contributor(s) and not of MDPI and/or the editor(s). MDPI and/or the editor(s) disclaim responsibility for any injury to people or property resulting from any ideas, methods, instructions or products referred to in the content. |
© 2023 by the authors. Licensee MDPI, Basel, Switzerland. This article is an open access article distributed under the terms and conditions of the Creative Commons Attribution (CC BY) license (https://creativecommons.org/licenses/by/4.0/).



