Preparation and Properties of Polyimide Composite Membrane with High Transmittance and Surface Hydrophobicity for Lightweight Optical System
Abstract
:1. Introduction
2. Materials and Methods
2.1. Materials
2.2. Preparation of Polyimide Membrane
2.3. Preparation of Polyimide/SiO2 Composite Membrane
2.3.1. Preparation of UV-Curable Silicone Pre-Polymer Sol
2.3.2. Preparation of Colloidal Silica Sol
2.3.3. Preparation of UV-Curable Silica Sol
2.3.4. Preparation of SiO2 Antireflective Membrane on Polyimide
2.4. Characterization
3. Results and Discussion
3.1. Optical Properties
3.2. Surface Roughness and Water Absorption
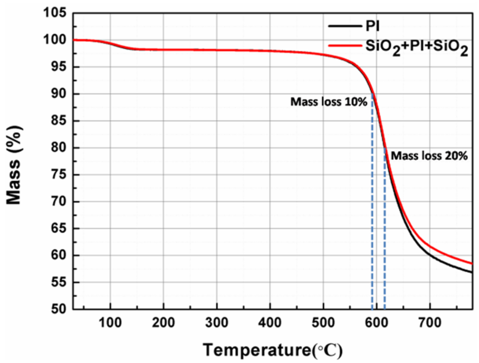
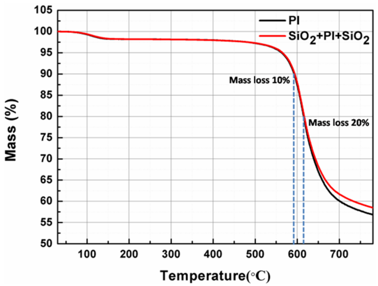
3.3. Thermal and Mechanical Properties
3.4. Chemical Structures
4. Conclusions
Supplementary Materials
Author Contributions
Funding
Institutional Review Board Statement
Informed Consent Statement
Data Availability Statement
Conflicts of Interest
References
- Li, T.L.; Hsu, S.L.C. Enhanced thermal conductivity of polyimide membranes via a hybrid of micro-and nano-sized boron nitride. J. Phys. Chem. B 2010, 114, 6825–6829. [Google Scholar] [CrossRef] [PubMed]
- Gao, H.; Yorifuji, D.; Wakita, J.; Jiang, Z.H.; Ando, S. In situ preparation of nano ZnO/hyperbranched polyimide hybrid membrane and their optical properties. Polymer 2010, 51, 3173–3180. [Google Scholar] [CrossRef]
- Ando, S.; Matsuura, T.; Sasaki, S. Coloration of aromatic polyimides and electronic properties of their source materials. Polym. J. 1997, 29, 69–76. [Google Scholar] [CrossRef] [Green Version]
- Hasegawa, M.; Horie, K. Photophysics, photochemistry, and optical properties of polyimides. Prog. Polym. Sci. 2001, 26, 259–335. [Google Scholar] [CrossRef]
- Ke, F.; Song, N.; Liang, D.; Xu, H. A method to break charge transfer complex of polyimide: A study on solution behavior. J. Appl. Polym. Sci. 2013, 127, 797–803. [Google Scholar] [CrossRef]
- Wu, T.; Dong, J.; Gan, F.; Fang, Y.; Zhao, X.; Zhang, Q. Low dielectric constant and moisture-resistant polyimide aerogels containing trifluoromethyl pendent groups. Appl. Surf. Sci. 2018, 440, 595–605. [Google Scholar] [CrossRef]
- Chen, W.; Liu, F.; Ji, M.; Yang, S. Synthesis and Characterization of Low-CTE Polyimide Films Containing Trifluoromethyl Groups with Water-repellant Characteristics. High Perform. Polym. 2016, 29, 501–512. [Google Scholar] [CrossRef]
- Fujita, S.; Kamei, Y. Electrical properties of polyimide with water absorption. In Proceedings of the 11th International Symposium on Electrets, Melbourne, VIC, Australia, 3 October 2002; pp. 275–278. [Google Scholar]
- Didier, M.; Bruno, D.; Benoit, B.; Lavergne, Y.; Thevenot, G. High performance aromatic polyimides for inertial confinement fusion experiments. Polym. Int. 2000, 49, 1021–1023. [Google Scholar]
- Rahlves, M.; Rezem, M.; Boroz, K.; Schlangen, S.; Reithmeier, E.; Roth, B. Flexible, fast, and low-cost production process for polymer based diffractive optics. Opt. Express 2015, 23, 3614–3622. [Google Scholar] [CrossRef]
- Tracy, L.; Copp, J.L.D.; Paul, A.; Bill, T.; Jeff, K. MOIRE: Membrane Material Property Characterizations, Testing and Lessons Learned. In Proceedings of the Spacecraft Structures Conference, National Harbor, MD, USA, 13–17 January 2014; pp. 1–16. [Google Scholar]
- Yin, J.; Mao, D.; Fan, B. Copolyamide-Imide Membrane with Low CTE and CME for Potential Space Optical Applications. Polymers 2021, 13, 1001. [Google Scholar] [CrossRef]
- Lü, C.; Yang, B. High refractive index organic–inorganic nanocomposites: Design, synthesis and application. J. Mater. Chem. 2009, 19, 2884–2901. [Google Scholar] [CrossRef]
- Jones, W.E.; Chiguma, J.; Johnson, E.; Pachamuthu, A.; Santos, D. Electrically and thermally conducting nanocomposites for electronic applications. Materials 2010, 3, 1478–1496. [Google Scholar] [CrossRef]
- Dou, W.; Wang, P.; Zhang, D.; Yu, J. An efficient way to prepare hydrophobic antireflective SiO2 membrane by Sol-gel Method. Mater. Lett. 2015, 12, 146. [Google Scholar]
- Purcar, V.; Stamatin, I.; Cinteza, O.; Petcu, C.; Raditoiu, V.; Ghiurea, M.; Miclaus, T.; Andronie, A. Fabrication of hydrophobic and antireflective coatings based on hybrid silica membranes by solgel process. Surf. Coat. Technol. 2012, 206, 4449–4454. [Google Scholar] [CrossRef]
- Li, H.; Li, N.; Zhang, Y.; He, H.; Liu, Z. Anti-reflection OTS-treated SiO2 thin membranes with super- hydrophobic property. J. Sol-Gel Sci. Technol. 2017, 83, 518–526. [Google Scholar] [CrossRef]
- Picas, J.A.; Forn, A.; Baile, M.T.; Martín, E. Substrate effect on the mechanical and tribological properties of arc plasma physical vapour deposition coatings. Int. J. Refract. Met. Hard Mater. 2005, 23, 330–334. [Google Scholar] [CrossRef]
- Porporati, A.; Roitti, S.; Sbaizero, O. Metallorganic chemical vapor deposition of Ta2O5 membranes. J. Eur. Ceram. Soc. 2003, 23, 247–251. [Google Scholar] [CrossRef]
- Roux, R. High-energy lasers sol-gel coating benefits megajoule laser. Laser Focus World 1995, 31, 53–55. [Google Scholar]
- Floch, H.G.; Priotton, J.J. Colloidal sol-gel coating. Am. Ceram. Soc. Bull. 1990, 69, 1141–1143. [Google Scholar]
- Chen, W.; Chen, W.; Zhang, B.; Yang, S.; Liu, C.Y. Thermal imidization process of polyimide membrane: Interplay between solvent evaporation and imidization. Polymer 2017, 109, 205–215. [Google Scholar] [CrossRef]
- Macleod, H.A. Antireflection Coating. In Thin-Film Optical Filters; Pike, E.R., Brown, R.G.W., Eds.; CRP Press: Boca Raton, FL, USA, 2010; pp. 106–112. [Google Scholar]
- Jeong, H.J.; Kim, D.K.; Lee, S.B.; Kwon, S.H.; Kadono, K. Preparation of water-repellent glass by sol–gel process using perfluoroalkylsilane and tetraethoxysilane. J. Colloid Interface Sci. 2001, 235, 130–134. [Google Scholar] [CrossRef]
- Bibo, X.; Jianhui, L.; Yuanyang, L.; Bowen, Y.; Shuming, Z.; Bo, J. Preparation of sponge-like porous SiO2 antireflective coatings with excellent environment-resistance by an acid-catalysed sol–gel method. RSC Adv. 2017, 7, 26834–26838. [Google Scholar]












| Sample | T606 nm a | λT50% b | TAV(500~800 nm) c |
|---|---|---|---|
| SiO2 + PI + SiO2 | 95% | 466 nm | 93% |
| PI | 82% | 472 nm | 81% |
| Sample | Sq a (Side A, nm) | Average | σA | Sq (Side B, nm) | σB | Average |
|---|---|---|---|---|---|---|
| PI | 3.2/1.3/1.8/2.4/4.0 | 2.54 nm | 0.96 nm | 4.2/4.1/3.9/2.2/5.6 | 0.32 nm | 4.00 nm |
| SiO2 + PI + SiO2 | 1.7/1.2/2.1/1.5/1.3 | 1.56 nm | 1.08 nm | 1.7/1.6/2.1/4.0/6.3 | 1.80 nm | 3.14 nm |
| Sample | T10% a | T20% b | Carbon Yield(750 °C) | Tg c |
|---|---|---|---|---|
| PI | 591 °C | 614 °C | 57.7% | 353 °C |
| SiO2 + PI + SiO2 | 593 °C | 616 °C | 59.4% | 340 °C |
| Sample | TS a (MPa) | TM b (GPa) | Ɛb c (%) |
|---|---|---|---|
| PI | 282 | 8 | 10.5 |
| SiO2 + PI + SiO2 | 267 | 8 | 13.5 |
Publisher’s Note: MDPI stays neutral with regard to jurisdictional claims in published maps and institutional affiliations. |
© 2022 by the authors. Licensee MDPI, Basel, Switzerland. This article is an open access article distributed under the terms and conditions of the Creative Commons Attribution (CC BY) license (https://creativecommons.org/licenses/by/4.0/).
Share and Cite
Yin, J.; Hui, H.; Fan, B.; Bian, J.; Du, J.; Yang, H. Preparation and Properties of Polyimide Composite Membrane with High Transmittance and Surface Hydrophobicity for Lightweight Optical System. Membranes 2022, 12, 592. https://doi.org/10.3390/membranes12060592
Yin J, Hui H, Fan B, Bian J, Du J, Yang H. Preparation and Properties of Polyimide Composite Membrane with High Transmittance and Surface Hydrophobicity for Lightweight Optical System. Membranes. 2022; 12(6):592. https://doi.org/10.3390/membranes12060592
Chicago/Turabian StyleYin, Jiajia, Haohao Hui, Bin Fan, Jiang Bian, Junfeng Du, and Hu Yang. 2022. "Preparation and Properties of Polyimide Composite Membrane with High Transmittance and Surface Hydrophobicity for Lightweight Optical System" Membranes 12, no. 6: 592. https://doi.org/10.3390/membranes12060592
APA StyleYin, J., Hui, H., Fan, B., Bian, J., Du, J., & Yang, H. (2022). Preparation and Properties of Polyimide Composite Membrane with High Transmittance and Surface Hydrophobicity for Lightweight Optical System. Membranes, 12(6), 592. https://doi.org/10.3390/membranes12060592

