Abstract
Background: Transcranial Direct Current Stimulation (tDCS) and Virtual Reality Exposure Therapy (VRET) are individually increasingly used in psychiatric research. Objective/Hypothesis: Our study aimed to investigate the feasibility of combining tDCS and wireless 360° full immersive active and embodied VRET to reduce height-induced anxiety. Methods: We carried out a pilot randomized, double-blind, controlled study associating VRET (two 20 min sessions with a 48 h interval, during which, participants had to cross a plank at rising heights in a building in construction) with online tDCS (targeting the ventromedial prefrontal cortex) in 28 participants. The primary outcomes were the sense of presence level and the tolerability. The secondary outcomes were the anxiety level (Subjective Unit of Discomfort) and the salivary cortisol concentration. Results: We confirmed the feasibility of the association between tDCS and fully embodied VRET associated with a good sense of presence without noticeable adverse effects. In both groups, a significant reduction in the fear of height was observed after two sessions, with only a small effect size of add-on tDCS (0.1) according to the SUD. The variations of cortisol concentration differed in the tDCS and sham groups. Conclusion: Our study confirmed the feasibility of the association between wireless online tDCS and active, fully embodied VRET. The optimal tDCS paradigm remains to be determined in this context to increase effect size and then adequately power future clinical studies assessing synergies between both techniques.
1. Introduction
Anxiety disorders affect about one third of the general population and are associated with significant distress and impairment due to excessive and persistent fear and/or anxiety and related behavioral disturbance, including avoidance mechanisms [1,2,3]. Pharmacological and cognitive behavioral therapies have proved their efficacy [4,5], but only half of patients respond [6,7], and one-third may discontinue their medication [8]. Anxiety disorders are associated with an economic burden [9], reaching more than 74 billion euros per year in Europe in 2010 [10]. Among anxiety disorders, acrophobia is one of the most common phobias, with a prevalence of 3 to 5% in the general population [11]. Visual Height Intolerance (vHI) corresponds to a significant fear of height without panic attacks and systematic avoidance [11]. vHI affects up to 28% of the general population, in which half present a significant decrease in quality of life [11,12].
Exposure therapy is based on fear extinction learning, enabling patients’ anxiety to be decreased [13,14,15]. In this regard, the efficacy of virtual reality exposure therapy (VRET), which consists of immersing the subject in a computer-generated virtual environment, has shown promise in treating a variety of anxiety disorders [16,17] and may be as effective as in vivo exposure therapy for patients suffering from acrophobia [18]. VRET has the advantage of saving time and costs and being suitable for patients who are too anxious to undergo in vivo exposure, with a transferable effect to real-life situations [19]. Moreover, successful attempts to enhance the effects of VRET have been carried out using drugs such as D-Cycloserine [20], while the literature about the interest of add-on non-invasive brain stimulation (NIBS) techniques is still scarce.
Studies investigating the pathophysiology of anxiety disorders have revealed that the ventral medial prefrontal cortex (vmPFC) is implicated in the process of fear extinction learning [21,22,23] throughout amygdala hyperactivity inhibition [24]. Furthermore, a recent study reported that anxiety intensity was correlated to vmPFC hypo-metabolism [25]. NIBS techniques are more and more often used to treat a variety of neuropsychiatric conditions [26,27], and are increasingly studied in relation to anxiety disorders [28,29]. Interestingly, the stimulation of the vmPFC using repetitive transcranial magnetic stimulation (rTMS) before virtual reality (VR) exposure (offline stimulation) in patients affected by acrophobia recently proved to enhance exposure therapy efficiency [30].
Transcranial direct current stimulation (tDCS) has shown its safety in healthy subjects and patients [31,32,33] and its ability to improve conditioned fear extinction [34,35,36]. This portable, easy-to-use device is cheaper than rTMS [37] and allows concomitant stimulation and behavioral therapy (i.e., online stimulation). Thus, tDCS could enhance neuronal plasticity given its neuromodulatory effects [38] and allow the optimization of the effects of tDCS based on the dependency of the neuronal network’s state while the subjects engage in a specific task (state-dependency) [39,40,41]. For example, online tDCS applied on the vmPFC in healthy individuals modulates emotional reactivity during exposure to affective stimuli [42].
Several studies have assessed the association between tDCS and VR, especially in neurology for cerebral palsy or stroke rehabilitation [43], but these studies used semi-immersive paradigms. To date, only two study assessed VR associated with tDCS in psychiatry: an exploratory study about impulsivity in 2008 [44] and more recently, an open-label pilot study involving 12 subjects in relation to post-traumatic stress disorder that suggested a reduction in stress reactivity according to galvanic skin reactivity measurements over time after concomitant passive immersion in war scenes and left vmPFC anodal stimulation [36]. Given these preliminary results, more studies are needed to identify adequate methodology that can be used to combine tDCS and immersive exposition eliciting fear extinction.
We hypothesized that it may be technically feasible to associate wireless online tDCS with VRET for vHI using an active, fully embodied and immersive virtual task. Our primary outcomes for feasibility were the sense of presence, cybersickness and dropout rates. The second aim of this initial experiment was to describe the efficacy (and to understand the effect size with this particular experimental setting) of the virtual exposure with and without add-on tDCS in reducing height-induced anxiety.
2. Material and Methods
2.1. Design
This study was conducted using a randomized, double-blind and controlled between-subjects design comparing the effect of two sessions of VRET combined with active or sham tDCS. The study was pre-registered in ClinicalTrials.gov (Identifier NCT03387254, last update date 30 July 2018.).
The study protocol included (Figure 1):
Figure 1.
The study including two diagnostic sessions (V1 and V4) and two exposure sessions with tDCS or sham stimulation (V2 and V3).
- Two assessment sessions measuring SUD during a virtual reality task lasting 10 min to measure participants’ fear of height at baseline (V1) and after VRET (V4).
- Two exposure sessions (V2 and V3), during which participants were exposed to height (VRET) for 20 min while being stimulated online (active tDCS) or not (sham tDCS). Two sessions is the minimal number of sessions needed to observe VRET efficacy in the literature. We chose that number since the aim of research regarding potentiating the VRET effect with other interventions is to achieve a stronger and quicker effect [20].
V1, V2, V3 and V4 took place on Mondays, Tuesdays, Wednesdays and Fridays, respectively, to allow 48 h between VRET sessions and 24 h between V3 and V4 to allow consolidation in the fear extinction neurobiological process (Figure 2: flow-chart).
Figure 2.
Flow-Chart. Abbreviations: SUD: Subjective Unit of Discomfort; tDCS: transcranial Direct Current Stimulation; VRET: Virtual Reality Exposure Therapy; VR: Virtual Reality.
2.2. Participants
Twenty-eight volunteers were recruited through advertisement at the University of Nantes as well as in radio, local newspapers and social media. They were considered healthy—they did not have any major psychiatric disorders, notably anxiety disorders, mood disorders, psychotic symptoms or substance use disorders, and they did not take any psychotropic treatment—according to their statement on a web-based screening questionnaire.
The inclusion criteria were a sufficient level in the Acrophobia Questionnaire (AQ) with a total score ≥ 45 [45] associated with a Visual Height Intolerance Severity Scale (vHISS) score ≥ 7 [12] and a Subjective Unit of Distress (SUD) rating ≥ 5/10 [46] at baseline (V1). A SUD score ≥ 5—with an AQ score ≥ 45 and a vHISS score ≥ 7—at baseline was required to ensure that the patient had enough anxiety at height exposure in concordance with the existing literature to adequately assess the potential effects of VRET associated with tDCS to reduce it.
The exclusion criteria were: DSM-5 acrophobia diagnosis (including avoidance and panic attack criteria); tDCS contraindication (personal history of neurosurgery, cephalic medical implant or cutaneous hyper sensibility); personal history of psychiatric or addictive disorder, psychotropic intake, intake of treatments that notably influence one’s mood or anxiety, neurological pathology, locomotor or sensorial disability; pregnancy and confounding factors for salivary cortisol analysis (the consumption of licorice, tobacco or the practice of physical exercise before the sessions).
2.3. Experimental Setup
2.3.1. VR Device
A computer (equipped with a processor Intel Xeon E5-1360 v4 and a graphic card NVIDIA GeForce GTX 1060) was connected to the HTC Vive CV1 system composed of a helmet, two Vive controllers, and two Vive Trackers attached to the feet of the participants whose position and orientation were detected via infrared by two base stations in a space of 4 m × 3 m × 2.5 m (Figure 3). Steam VR and Xsplit software were used to run the environment and to visualize and record the user’s behavior. A second screen was used by the experimenter to follow what was happening in the VR environment from the participant’s point of view.
Figure 3.
The participant on the plank is equipped with a tDCS cap, a VR helmet and two trackers attached to his feet. The computers in the room provided a 1st and 3rd person view of the participant’s virtual environment in real time.
2.3.2. VR Environment
A multidisciplinary team of physicians and computer scientists co-designed an original exposition environment dedicated to the experimentation using the game engine Unity 3D 5.6. 0f3 (64-bit). The originality of this environment is its fully embodied and dynamic nature (a video of a first-person view is provided in Supplementary Material S1). The environment consisted of a 150 m skyscraper in construction with two elevators, with transparent doors leading to the top of the building.
Assessment Sessions (V1 and V4)
Firstly, participants were exposed to the ground in the VR without any height situations for 2 min in order for them to get used to the VR equipment and the VR environment, to assess the tolerance and to learn the SUD notation technique by eye tracking. Participants then performed a virtual task for 10 min consisting of riding an open elevator. Starting from the ground, the diagnosis scenario only used one elevator on one side of the building. Participants were invited to get into the elevator, and they were asked to rise as high as possible. On each of the floors (1, 3, 5, 13, 22 and 35), the door opened, and participants had to observe their environment for 30 s before rating the SUD twice with a 30 s interval. SUD assessments were necessary before accessing the next floor by pressing a button provided for this purpose (through gaze-based interaction) (Figure 4). The SUD score was assessed using a visual analog scale ranging from 0 to 10, represented by a gauge on one wall of the elevator (Figure 4 and Supplementary Material S1). The participant had to look at the gauge at the desired score from 0 to 10 (0/10 corresponding to no anxiety and 10/10 corresponding to the highest level of anxiety). Once the target was placed on the desired number, the participant had to maintain a fixed gaze for 4 s (eye tracking) in order to record the score.
Figure 4.
Screenshot of the elevator in the virtual environment (image on the left), including a stool at the bottom of the elevator, the SUD scale on the wall on the left of the image and a button to go to the upper floors on the wall on the right of the image. The detail of the gauge, representing the SUD score from 0 to 10, is on the right of the image.
Exposure Sessions (V2 and V3)
During the exposure scenario, we used two elevators, and the virtual task lasted 20 min. Starting from the ground, participants were invited to get into the elevator and were asked to rise as high as possible. At each floor (1, 3, 5, 13, 22, 35, 55, 70 and 99, for a total of 9 levels and a 150 m maximum height), the door opened, and participants had to cross a wooden plank between two platforms in order to access the elevator of the second part of the skyscraper and be able to go up to the next floor (Figure 5). Once the board was crossed, participants had to observe their environment for 30 s before rating the SUD twice with a 30 s interval between both. The first SUD was retained for analysis (corresponding to anxiety increase), while the second SUD score had to display a reduction in anxiety (<4 or divided by two) to ensure the participant’s safe progression. SUD assessments were necessary to access the next floor by pressing a button through eye fixation. Another unity program was developed to calibrate the real plank position, to launch one of the scenarios depending on the session and to record all the events and measurements. To accentuate the realism, participants walked on a real wood plank placed on the floor matching the position of the footbridges in the VR scenario. It was pliant to walk on, and participants’ feet were tracked and displayed in VR to give visuo-haptic feedback and proprioceptive sensation (Figure 3).
Figure 5.
Screenshot of two elevators allow to climb the building (A). Cross between two platforms on a plank allows to reach the next elevator in a building with 99 floors (B).
As this was a feasibility study, and in order to allow the replication of our work, the details of the virtual reality and electric stimulation procedure are described in the Supplementary Material S2.
2.3.3. tDCS Device and Protocol
tDCS was performed using a Starstim® device (Neuroelectrics, Barcelona, Spain). NIC 2.0 software ran on another computer, which enabled us to command the stimulation with sham and double-blind modalities throughout a Bluetooth wireless system. Participants in the active tDCS group received 1 mA anodal stimulation during 20 min, whereas participants from the control group received sham stimulation (30 s of stimulation ramp-on and ramp-up). The stimulation was applied during the 20 min of VR exposure (the computerized activation of NIC 2.0 automatically occurred when the VR software ran the exposure). The anode (Pistim® of π cm2) allowed the use of a highly conductive saline gel (Electrode Gel Signagel®) and not a wet sponge in order to avoid the humidification of the VR helmet just below, which was placed (and fixed in the head neoprene cap) over FpZ according to the EEG 10–20 system in order to target the ventromedial prefrontal cortex (vmPFC), and the cathode (Sponstim®, 25 cm2) was placed under the chin according to one previous current direction modelization for this target using an anodal stimulation of 1.5 mA with a 3 × 3 cm2 electrode on FpZ and a 5 × 5 cm2 return electrode, as published by Junghofer et al. in 2017 [42]; this method was used in a recent tDCS-MEG study demonstrating that vmPFC hypoactivity is associated with fear generalization [47] (Figure 6). The cathode was maintained thanks to a fixation located at the level of the bandoliers of the Starstim cap, which passed under the chin.
Figure 6.
Electrode placement and current modelization. Adapted from the figure published in Junghöfer et al., 2017 [42] with permission of the author.
2.4. Measures
The level of acrophobia, visual height intolerance and anxiety of the participants were evaluated at baseline before the first visit and exposition (V1) and at endpoint after the last exposition during the fourth visit (V4) through several questionnaires and scales: the Acrophobia Questionnaire (AQ) (divided in two subscales, anxiety and avoidance) [45], the Attitude Towards Heights Questionnaire (ATHQ) [48], the Height Interpretation Questionnaire (HIQ) [49], the Visual Height Intolerance questionnaire (vHIQ) [12], the State-Trait Anxiety questionnaire (STAI-Y-A and STAY-Y-B) [50], the Clinical Global Impression (CGI) [51] and the Subjective Units of Distress (SUD) [46] were assessed during the exposition at different height degrees. The higher the score on those scales, the higher the disturbance of the subject. The sense of presence experienced in the virtual environment was evaluated with the Igroup Presence Questionnaire (IPQ) [52], and the tolerance to VR was evaluated through the Simulator Sickness Questionnaire (SSQ) [53] after VRET sessions during the second (V2) and the third (V3) sessions. The tolerance to tDCS was evaluated through a collection of adverse effects perceived by the participants and dropouts rates.
Stress reactivity was also evaluated using cortisol saliva sampling with a Cortisol-Salivette® (Sarstedt, Nümbrecht, Germany) before and after exposition at baseline and at endpoint (V1 and V4). This sampling (2 min in mouth) was realized in the same room, at the same hour for each subject to consider nycthemeral variations in cortisol secretion, and was then collected and sent to the Biochemistry Department of Nantes University Hospital. Salivary cortisol was collected and stored at −80 °C until analysis. Salivary cortisol level was determined using high performance liquid chromatography–tandem mass spectrometry (3200 Qtrap®, Sciex, Villebon sur Yvette, France) after extraction from 500 µL of saliva using the liquid–liquid mode with the dichloromethane quantification transition of 363 > 121 and a deuterium internal standard containing cortisol-d4 (Biovalley, Illkirch-Graffenstaden; France). The saliva cortisol rate was measured before and after the sessions (just after and 15 min after).
2.5. Ethic
All participants gave written informed consent. All procedures were approved by the Ethics Committee CPP Ile de France 1 (reference: 2017—oct.14679 ND, 06/11/2017).
2.6. Statistical Analysis
This is a “proof of concept” pilot study with no a priori knowledge with regard to the hypotheses required for determining the number of subjects needed. Nevertheless, the seminal work of Abend et al. [34] on fear extinction included 30 subjects with 15 subjects for the tDCS condition and 15 for the sham condition. They based their sample on previous research that studied the effects of cannabinoids on mnesic consolidation (28 subjects) [54]. A controlled clinical trial demonstrated the superiority of D-Cycloserine versus placebo when associated with 2 VR sessions for acrophobia with a sample of 27 subjects [20]. Thus, we decided to constitute a convenience sample of 28 subjects.
A descriptive analysis at baseline was conducted where quantitative variables were presented as means and standard deviations (SD), and qualitative variables were presented as numbers and percentages. Non-parametric tests were used to compare both groups: Mann–Whitney’s test for quantitative data and Chi-2 and Fisher’s tests for qualitative data. The mean values, 95% confidence interval and effect size of the difference were provided for each comparison. Missing data are described in terms of frequency for each group, and potential imbalance was evaluated using Fisher’s exact test. For each score, individual changes between V1 and V4 were compared between groups using Mann–Whitney’s test. The mean values, 95% confidence interval and effect size of the difference were provided for each comparison. Analyses were performed with SAS software version 9.4 (SAS Institute, Cary, NC, USA) and R software version 4.1.1 (R Foundation, www.r-project.org).
3. Results
Socio-demographic and clinical data at baseline are summarized in Table 1, and the two groups of participants (active/sham) were well balanced.
Table 1.
Socio-demographic and clinical characteristics of study sample at the baseline (V1).
Our study confirms the technical feasibility of the tDCS + VRET association, and no significant adverse effect was reported.
The mean scores of the sense of the presence in the Igroup Presence Questionnaire (IPQ) at the end of therapeutic exposure sessions were 10.27 ± 6.72 (mean ± standard deviation) in the active group and 6.50 ± 9.42 in the sham group, without between-group significant difference using the Mann–Whitney test (z = −0.960, p = 0.36). The tolerance as measured by the SSQ scale at the second (V2) and the third (V3) are shown in Table 2. Of the 28 participants included in the study, 25 completed the study, which resulted in a retention rate of 89.29%. Two subjects could not attend the last VRET session for personal organizational reasons, and one preferred not to complete the protocol due to apprehension of having a headache. Two dropouts occurred in the active group, and there was one dropout in the sham group.
Table 2.
Simulator Sickness Questionnaire (SSQ) scores at V2 and V3.
For the whole sample, we observed a significant effect of the height on the SUD scores with a mean increase per floor of 0.31 (95% CI: 0.27, 0.36; p < 0.0001). Between-group comparisons did not demonstrate a significant effect of active versus sham stimulations on SUD scores at each floor within VR sessions, including comparison between the first (V1) and the last (V4) session (Figure 7). At V4, there were no significant differences between groups in all variables, as shown in Table 3. However, there was a significant decrease in SUD scores with regard to mean individual changes between V1 and V4 (mean V1 = 8.44 (95% CI: 7.64, 9.24); mean V4 = 6.36 (95% CI: 5.16, 7.56)) in the whole sample (Wilcoxon test, p = 0.0002).
Figure 7.
SUD score evolutions according to floor elevations during VRET. Abbreviations: SUD: Subjective Unit of Discomfort; VRET: Virtual Reality Exposure Therapy.
Table 3.
Mean difference between groups for each score at V4 (with 95% CI and effect size). Abbreviations: AQ: Acrophobia Questionnaire; ATHQ: Attitude Towards Heights Questionnaire; CGI: Clinical Global Impression; HIQ: Height Interpretation Questionnaire; STAI: State-Trait Anxiety; SUD: Subjective Unit of Discomfort; VRET: Virtual Reality Exposure Therapy; vHISS: visual Height Intolerance Severity Scale.
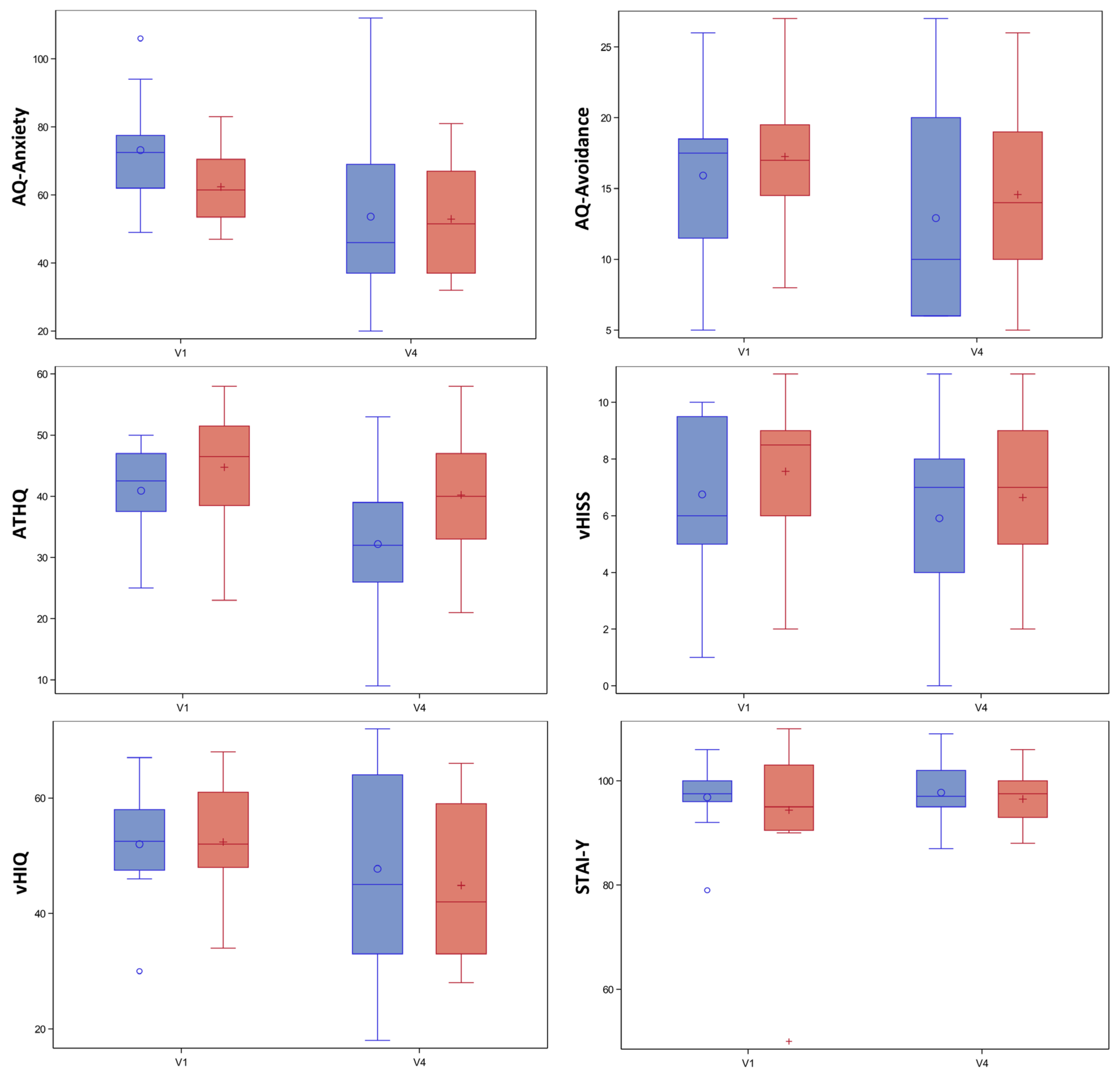
There were no significant changes in clinical scale scores between V1 and V4 between the active and sham groups (p > 0.05) (Figure 8 and Table 4, including CGI total scores (p > 0.1). Concerning the analyses about the maximum floor reached by the participants, we did not find any significant differences between groups at V1 (active: 17.27 ± 7.09; sham: 17.64 ± 6.58; p = 0.95) and V4 (active: 28.27 ± 8.14; sham: 25.43 ± 10.00; p = 0.53). Data on the time spent on each floor (in seconds) during the different visits did not show any significant difference between the two groups.
Figure 8.
Boxplots of clinical scale scores between V1 and V4. In blue, the tDCS + VRET group (n = 11) and in red, the sham + VRET group (n = 14). Abbreviations: AQ: Acrophobia Questionnaire; ATHQ: Attitude Towards Heights Questionnaire; STAI: State-Trait Anxiety; vHISS: visual Height Intolerance Severity Scale; vHIQ: visual Height Intolerance Questionnaire; VRET: Virtual Reality Exposure Therapy.
Table 4.
Mean individual changes between V1 and V4 for each score in both group with 95% CI and effect size (a positive effect in the sense of active tDCS and a negative one in the sense of sham tDCS).
4. Discussion
To our knowledge, this is the largest proof of concept study regarding anxiety using online, simultaneous, wireless tDCS and a fully active and immersive VR task. Our study confirms the technical feasibility and the acceptability of the association between wireless tDCS and fully embodied, 360° virtual reality exposure with a good tolerance, as reflected by the low dropout rate and low cybersickness scores. We found an effect size of 0.3625 and 0.3582 at V2 and V3, respectively, concerning the difference of tolerance assessed via the SSQ between the active and sham group (in the direction of active stimulation), which is in favor of good tolerance of VR + tDCS in this context.
Future studies may use self-reported questionnaires in addition to the systematic notification of tDCS adverse events by the examiner.
This acceptability is of importance since research dealing with tDCS and VR for anxiety disorders is a promising emerging field. Indeed, VR is a powerful tool to engage the subject in an ecological task, modifying brain activity and thus putative online tDCS effects according to the state-dependence hypothesis, from a driven neurorehabilitation perspective [39,40,41].
The technical feasibility was first demonstrated by the absence of a decrease in the participants’ sense of presence with tDCS (due to its weight or the sensations on the scalp, for instance). Furthermore, no interferences were detected between wireless tDCS and VR using different Bluetooth signals and software. The quality and fluidity of the images in VR and the continuity of tDCS stimulation were not hindered. We also demonstrated that it was feasible to synchronize the two systems with computer programming. Subjects’ movements did not impair the positioning of the different devices and did not alter stimulation impedance, for example. These observations pave the way for further studies exploring potential synergies between two systems in new experimental paradigms.
Our virtual, experimental environment appears validated with an increase in anxiety as a function of the floors climbed by the participants. Moreover, only two VRET sessions clearly improved visual height intolerance compared to the baseline with the use of this specific environment.
First, the involvement of body movements with real proprioceptive sensations (movements of the plank under the feet) and a complete embodiment may be particularly suitable for high visual intolerance management since anxiety and body movement regulation have close reciprocal interactions during exposition to height. Indeed, it has been shown that self-motion has an important role in triggering a fear of heights, since acrophobic participants experience higher levels of anxiety when required to move at a fixed height [55,56]. Future study designs should take into account novel outcomes (e.g., accelerations, pauses, body positions and step length) to assess the effect of tDCS on fear and posture interactions. Nonetheless, one must keep in mind that there are still conflicting results regarding the effect of tDCS on posture [55,56,57,58].
Secondly, a strong sense of presence was reported by the participants. Sense of presence refers to the feeling of being in the virtual world as if you were in the real world and is required to induce emotion and for optimal therapeutic effects in VR [59,60]. Moreover, the activation of the medial prefrontal cortex depends on the sense of presence [61]. Herrmann et al. [30] did not find any effect of rTMS applied to the medial prefrontal cortex on the sensation of presence despite a therapeutic effect on acrophobia ratings. They then hypothesized that the therapeutic effects of rTMS were not mediated by a NIBS-modulated sensation of presence. Our results are in accordance with such a hypothesis, with no intergroup difference in sensation of presence ratings.
Overall, this preliminary study failed to demonstrate an added value of active tDCS. One strength was, therefore, the online stimulation. However, this may be the consequence of several limitations: technical and methodological.
At the methodological level, it is important to consider this work as an initial experiment to understand the effect sizes for this specific design and keep in mind that in general, a between-subject design requires at least between 30 and 40 subjects in tDCS studies [62]. The small size effect (0.1 for the SUD criteria at V4) indicates that the combined VR-tDCS stimulation paradigm must be improved with fundamental studies before the hypothesis of a 0.4–0.5 effect size can be reached. Indeed, the power associated with a 0.1 effect size in this sample would be 5 %, which is low. We calculate that the sample size required to evaluate tDCS on the a priori hypothesis of a medium effect (effect size = 0.5), which seems reasonable for tDCS studies [63], with a power of 80% and a risk of type I error of 5%, would be 63 per arm, 126 in all. The interpretations of p-value should therefore be considered very cautiously here. Moreover, the use of a simple randomization in this limited sample constitutes another limitation, as it may lead to suboptimal matching. However, baseline performances seemed to be comparable in both groups.
At the technical level, concerning tDCS parameters, a higher number of sessions could be a way to improve the effects of tDCS. In comparison, on average, the number of tDCS sessions applied on the dorsolateral prefrontal cortex in depression is 15 sessions over a period of 20 to 30 min per session [64,65]. Concerning targeting, the literature was very scarce in 2016 on the optimal tDCS montage for fear inhibition and is still very limited. The orientation of the electric field, which is defined by the polarity and location of the electrodes, influences the effects of tDCS [66]. van’t Wout-Frank and colleagues [36] located the anode regarding AF3, and the cathode was placed facing PO8 according to the international 10–20 EEG system. We chose another kind of stimulation (anode on FpZ and cathode under the chin) that avoid the cathodal modulation of other cortical areas and allowed strong stimulation of the anterior vmPFC in previous modeling. Alternative montages have been proposed to target the vmPFC: anodal AF3 stimulation with cathodal contralateral mastoid to stimulate the left vmPFC [67], concomitant F7 anodal and F8 cathodal stimulation [35] or anodal FpZ and cathodal OZ stimulation [68]. Ultimately, it is not certain that 1 mA stimulation with a smaller anodal electrode (as a precaution in this pilot study, rather than larger electrode with 2 mA) was sufficient to adequately modulate vmPFC activity. An alternate explanation for the absence of superiority with active tDCS may be that a mild additional effect of tDCS may have not been detected since the virtual exposure by itself may have had a strong and fast effect on anxiety. Moreover, our study involved healthy subjects with visual height intolerance and not acrophobia. The neurophysiological rationale, involving hypoactivation of the vmPFC and hyperactivity of the amygdala, was based primarily on the population of patients suffering from major anxiety disorders. We hypothesize that in vIH, these abnormalities may be less pronounced, and it would therefore be more difficult to demonstrate the interest of tDCS in this group of patients in contrast to acrophobia. However, further studies using tDCS are needed, since tDCS showed abilities to modulate cognitive performance in healthy subjects, especially when used online rather than offline [57,58].
Concerning the objective biological salivary cortisol measurements, our results did not show differential effects in both groups. Most of the studies focused on left dorsolateral prefrontal cortex stimulation and suggested rTMS [69,70] or tDCS [71] could reduce the neuroendocrine response to stress in healthy subjects. Nevertheless, recently, a study evaluating a single session of tDCS on the left dlPFC in healthy subjects showed that tDCS was probably responsible for an attenuation of the autonomic response to stress (heart rate variability) without a significant reduction in cortisol concentration [72]. To our knowledge, no study investigated the effect of tDCS targeting the vmPFC on autonomic and neuroendocrine responses to stress, whereas it is involved in stress reactivity [73]. It is not known to what extent tDCS could enhance or counterbalance cortisol-lowering associated or not with VR exposure. Heart rate variability and galvanic skin response may also be considered as an outcome in further studies. Ultimately, it is not well known as to when cortisol should be ideally measured in this kind of paradigm. Perhaps it would be better to add several measurement points between 20 and 40 min after the session [74].
5. Conclusions
Our study constituted a first step to evaluate the feasibility and tolerance of the concomitant use of online tDCS stimulation and wireless, active and fully embodied VR exposure. Systematic fundamental studies are required to provide information about the optimal area (including laterality), duration, intensity, polarity/frequency and timing of stimulation. More fundamental studies using current diffusion modeling or fMRI-compatible tDCS devices will be useful to determine the best tDCS montage before conducting larger studies. This study paves the way for further research for fear extinction in phobias. It also shows the feasibility and acceptability of this combination, creating a new therapeutic perspective since the association of tDCS and VR could be useful for many other psychiatric conditions (e.g., in depression with vmPFC or dlPFC neuromodulation to decrease negative bias toward negative stimuli or ruminations).
Supplementary Materials
The following supporting information can be downloaded at: https://www.mdpi.com/article/10.3390/jcm11020345/s1, Supplementary Material S1: Link to view the virtual environment of our study. Supplementary Material S2: Step by step description of the implementation of virtual reality and tDCS in our study.
Author Contributions
S.B.: funding acquisition, conceptualization, coordination, investigation, writing—original draft. A.L.: investigation, writing—original draft. K.B.-N.: methodology, data curation, resources, writing—reviewing and editing. J.-B.H.: methodological advice M.P.: data curation, formal analysis. V.S.: supervision, writing—reviewing and editing. L.L.: writing—original draft. É.F.-P.: project administration. D.A.: conceptualization, writing—reviewing and editing. T.R.: conceptualization, writing—reviewing and editing. V.-P.R.: supervision, resources, validation. A.S.: project administration, validation, resources, writing—review and editing. F.M.: resources; software. T.V.: conceptualization, formal analysis, visualization, software, writing—reviewing and editing. M.P.D.S.: conceptualization, software. O.C.: conceptualization, investigation. Y.P.: funding acquisition, conceptualization, software, supervision, validation, writing—reviewing and editing. M.-A.V.: data curation. All authors have read and agreed to the published version of the manuscript.
Funding
Interdisciplinary Call of Proposal of Nantes University and Fondation de l’Université de Nantes and Fonds de dotation du CHU de Nantes.
Institutional Review Board Statement
Not applicable.
Informed Consent Statement
All participants gave written informed consent.
Data Availability Statement
Data available on reasonable request.
Acknowledgments
We thank the company “Neuroelectrics®” and especially Antoine Ramis for the long-term loan of the Startstim 8 device and technical advice for the coupling of tDCS and VR for the computer programming of the synchronization of the devices. We thank Mathias Lesauvage for his valuable contribution to the environment development during his internship and Julien Laflaquière for his advices. We thank Junghöfer for its permission to adapt a part of his figure published in 2017 [42].
Conflicts of Interest
The authors declare that the research was conducted in the absence of any commercial or financial relationship that could be construed as a potential conflict of interest.
Abbreviations
AQ: Acrophobia Questionnaire; ATHQ: Attitude Towards Heights Questionnaire; CGI: Clinical Global Impression; DSM-5: Diagnostic and Statistical Manual of mental disorders, fifth edition; HIQ: Height Interpretation Questionnaire; IPQ: Igroup Presence Questionnaire; NIBS: Non-invasive Brain Stimulation; rTMS: repetitive Transcranial Magnetic Stimulation; SSQ: Simulator Sickness Questionnaire; STAI: State-Trait Anxiety; SUD: Subjective Unit of Discomfort; tDCS: transcranial Direct Current Stimulation; vHI: visual Height Intolerance; vHIQ: visual Height Intolerance Questionnaire; vHISS: visual Height Intolerance Severity Scale; vmPFC: ventral medial Prefrontal Cortex; VR: Virtual Reality; VRET: Virtual Reality Exposure Therapy.
References
- Bandelow, B.; Michaelis, S. Epidemiology of anxiety disorders in the 21st century. Dialogues Clin. Neurosci. 2015, 17, 327–335. [Google Scholar]
- Kyu, H.H.; Abate, D.; Abate, K.H.; Abay, S.M.; Abbafati, C.; Abbasi, N.; Abbastabar, H.; Abd-Allah, F.; Abdela, J.; Abdelalim, A.; et al. Global, regional, and national disability-adjusted life-years (DALYs) for 359 diseases and injuries and healthy life expectancy (HALE) for 195 countries and territories, 1990–2017: A systematic analysis for the Global Burden of Disease Study 2017. Lancet 2018, 392, 1859–1922. [Google Scholar] [CrossRef] [Green Version]
- American Psychiatric Association. Diagnostic and Statistical Manual of Mental Disorders (DSM-5®); American Psychiatric Pub.: Washington, DC, USA, 2013. [Google Scholar]
- Golden, R.N. Making advances where it matters: Improving outcomes in mood and anxiety disorders. CNS Spectr. 2004, 9, 14–22. [Google Scholar] [CrossRef] [PubMed]
- Sartori, S.B.; Singewald, N. Novel pharmacological targets in drug development for the treatment of anxiety and anxiety-related disorders. Pharmacol. Ther. 2019, 204, 107402. [Google Scholar] [CrossRef] [PubMed]
- Bystritsky, A. Treatment-resistant anxiety disorders. Mol. Psychiatry 2006, 11, 805–814. [Google Scholar] [CrossRef] [Green Version]
- Schottenbauer, M.A.; Glass, C.R.; Arnkoff, D.B.; Tendick, V.; Gray, S.H. Nonresponse and dropout rates in outcome studies on PTSD: Review and methodological considerations. Psychiatry 2008, 71, 134–168. [Google Scholar] [CrossRef] [PubMed]
- Lurie, I.; Levine, S.Z. Meta-analysis of dropout rates in SSRIs versus placebo in randomized clinical trials of PTSD. J. Nerv. Ment. Dis. 2010, 198, 116–124. [Google Scholar] [CrossRef] [PubMed]
- Baxter, A.J.; Vos, T.; Scott, K.M.; Ferrari, A.J.; Whiteford, H.A. The global burden of anxiety disorders in 2010. Psychol. Med. 2014, 44, 2363–2374. [Google Scholar] [CrossRef]
- Wittchen, H.U.; Jacobi, F.; Rehm, J.; Gustavsson, A.; Svensson, M.; Jönsson, B.; Olesen, J.; Allgulander, C.; Alonso, J.; Faravelli, C.; et al. The size and burden of mental disorders and other disorders of the brain in Europe 2010. Eur. Neuropsychopharmacol. 2011, 21, 655–679. [Google Scholar] [CrossRef] [PubMed] [Green Version]
- Kapfhammer, H.-P.; Huppert, D.; Grill, E.; Fitz, W.; Brandt, T. Visual height intolerance and acrophobia: Clinical characteristics and comorbidity patterns. Eur. Arch. Psychiatry Clin. Neurosci. 2015, 265, 375–385. [Google Scholar] [CrossRef]
- Huppert, D.; Grill, E.; Brandt, T. A New Questionnaire for Estimating the Severity of Visual Height Intolerance and Acrophobia by a Metric Interval Scale. Front. Neurol. 2017, 8, 211. [Google Scholar] [CrossRef] [Green Version]
- McNally, R.J. Mechanisms of exposure therapy: How neuroscience can improve psychological treatments for anxiety disorders. Clin. Psychol. Rev. 2007, 27, 750–759. [Google Scholar] [CrossRef]
- Myers, K.M.; Davis, M. Behavioral and neural analysis of extinction. Neuron 2002, 36, 567–584. [Google Scholar] [CrossRef] [Green Version]
- Vervliet, B.; Craske, M.G.; Hermans, D. Fear extinction and relapse: State of the art. Annu. Rev. Clin. Psychol. 2013, 9, 215–248. [Google Scholar] [CrossRef]
- Morina, N.; Ijntema, H.; Meyerbröker, K.; Emmelkamp, P.M.G. Can virtual reality exposure therapy gains be generalized to real-life? A meta-analysis of studies applying behavioral assessments. Behav. Res. Ther. 2015, 74, 18–24. [Google Scholar] [CrossRef]
- Opriş, D.; Pintea, S.; García-Palacios, A.; Botella, C.; Szamosközi, Ş.; David, D. Virtual reality exposure therapy in anxiety disorders: A quantitative meta-analysis. Depress. Anxiety 2012, 29, 85–93. [Google Scholar] [CrossRef] [PubMed]
- Emmelkamp, P.M.G.; Krijn, M.; Hulsbosch, A.M.; de Vries, S.; Schuemie, M.J.; van der Mast, C. Virtual reality treatment versus exposure in vivo: A comparative evaluation in acrophobia. Behav. Res. Ther. 2002, 40, 509–516. [Google Scholar] [CrossRef]
- Boeldt, D.; McMahon, E.; McFaul, M.; Greenleaf, W. Using Virtual Reality Exposure Therapy to Enhance Treatment of Anxiety Disorders: Identifying Areas of Clinical Adoption and Potential Obstacles. Front. Psychiatry 2019, 10, 773. [Google Scholar] [CrossRef] [PubMed] [Green Version]
- Ressler, K.J.; Rothbaum, B.O.; Tannenbaum, L.; Anderson, P.; Graap, K.; Zimand, E.; Hodges, L.; Davis, M. Cognitive enhancers as adjuncts to psychotherapy: Use of D-cycloserine in phobic individuals to facilitate extinction of fear. Arch. Gen. Psychiatry 2004, 61, 1136–1144. [Google Scholar] [CrossRef]
- Robinson, O.J.; Pike, A.C.; Cornwell, B.; Grillon, C. The translational neural circuitry of anxiety. J. Neurol. Neurosurg. Psychiatry 2019, 90, 1353–1360. [Google Scholar] [CrossRef] [Green Version]
- Kalisch, R.; Wiech, K.; Critchley, H.D.; Dolan, R.J. Levels of appraisal: A medial prefrontal role in high-level appraisal of emotional material. NeuroImage 2006, 30, 1458–1466. [Google Scholar] [CrossRef] [Green Version]
- Marin, M.-F.; Camprodon, J.A.; Dougherty, D.D.; Milad, M.R. Device-based brain stimulation to augment fear extinction: Implications for PTSD treatment and beyond. Depress. Anxiety 2014, 31, 269–278. [Google Scholar] [CrossRef] [PubMed]
- Ochsner, K.N.; Silvers, J.A.; Buhle, J.T. Functional imaging studies of emotion regulation: A synthetic review and evolving model of the cognitive control of emotion. Ann. N. Y. Acad. Sci. 2012, 1251, E1–E24. [Google Scholar] [CrossRef] [PubMed] [Green Version]
- Marin, M.-F.; Zsido, R.G.; Song, H.; Lasko, N.B.; Killgore, W.D.S.; Rauch, S.L.; Simon, N.M.; Milad, M.R. Skin Conductance Responses and Neural Activations During Fear Conditioning and Extinction Recall Across Anxiety Disorders. JAMA Psychiatry 2017, 74, 622–631. [Google Scholar] [CrossRef]
- Aleman, A. Use of repetitive transcranial magnetic stimulation for treatment in psychiatry. Clin. Psychopharmacol. Neurosci. Off. Sci. J. Korean Coll. Neuropsychopharmacol. 2013, 11, 53–59. [Google Scholar] [CrossRef] [PubMed]
- Tortella, G.; Casati, R.; Aparicio, L.V.M.; Mantovani, A.; Senço, N.; D’Urso, G.; Brunelin, J.; Guarienti, F.; Selingardi, P.M.L.; Muszkat, D.; et al. Transcranial direct current stimulation in psychiatric disorders. World J. Psychiatry 2015, 5, 88–102. [Google Scholar] [CrossRef]
- Bajbouj, M.; Padberg, F. A perfect match: Noninvasive brain stimulation and psychotherapy. Eur. Arch. Psychiatry Clin. Neurosci. 2014, 264 (Suppl. 1), S27–S33. [Google Scholar] [CrossRef]
- Vicario, C.M.; Salehinejad, M.A.; Felmingham, K.; Martino, G.; Nitsche, M.A. A systematic review on the therapeutic effectiveness of non-invasive brain stimulation for the treatment of anxiety disorders. Neurosci. Biobehav. Rev. 2019, 96, 219–231. [Google Scholar] [CrossRef]
- Herrmann, M.J.; Katzorke, A.; Busch, Y.; Gromer, D.; Polak, T.; Pauli, P.; Deckert, J. Medial prefrontal cortex stimulation accelerates therapy response of exposure therapy in acrophobia. Brain Stimul. 2017, 10, 291–297. [Google Scholar] [CrossRef]
- Brunoni, A.R.; Amadera, J.; Berbel, B.; Volz, M.S.; Rizzerio, B.G.; Fregni, F. A systematic review on reporting and assessment of adverse effects associated with transcranial direct current stimulation. Int. J. Neuropsychopharmacol. 2011, 14, 1133–1145. [Google Scholar] [CrossRef]
- Bikson, M.; Grossman, P.; Thomas, C.; Zannou, A.L.; Jiang, J.; Adnan, T.; Mourdoukoutas, A.P.; Kronberg, G.; Truong, D.; Boggio, P.; et al. Safety of Transcranial Direct Current Stimulation: Evidence Based Update 2016. Brain Stimul. 2016, 9, 641–661. [Google Scholar] [CrossRef] [Green Version]
- Nikolin, S.; Huggins, C.; Martin, D.; Alonzo, A.; Loo, C.K. Safety of repeated sessions of transcranial direct current stimulation: A systematic review. Brain Stimul. 2018, 11, 278–288. [Google Scholar] [CrossRef]
- Abend, R.; Jalon, I.; Gurevitch, G.; Sar-El, R.; Shechner, T.; Pine, D.S.; Hendler, T.; Bar-Haim, Y. Modulation of fear extinction processes using transcranial electrical stimulation. Transl. Psychiatry 2016, 6, e913. [Google Scholar] [CrossRef] [PubMed]
- Dittert, N.; Hüttner, S.; Polak, T.; Herrmann, M.J. Augmentation of Fear Extinction by Transcranial Direct Current Stimulation (tDCS). Front. Behav. Neurosci. 2018, 12, 76. [Google Scholar] [CrossRef] [Green Version]
- Van’t Wout, M.; Shea, M.T.; Larson, V.C.; Greenberg, B.D.; Philip, N.S. Combined transcranial direct current stimulation with virtual reality exposure for posttraumatic stress disorder: Feasibility and pilot results. Brain Stimulation 2019, 12, 41–43. [Google Scholar] [CrossRef]
- Sauvaget, A.; Tostivint, A.; Etcheverrigaray, F.; Pichot, A.; Dert, C.; Schirr-Bonnais, S.; Clouet, J.; Sellal, O.; Mauduit, N.; Leux, C.; et al. Hospital production cost of transcranial direct current stimulation (tDCS) in the treatment of depression. Neurophysiol. Clin. 2019, 49, 11–18. [Google Scholar] [CrossRef] [PubMed]
- Jamil, A.; Batsikadze, G.; Kuo, H.-I.; Labruna, L.; Hasan, A.; Paulus, W.; Nitsche, M.A. Systematic evaluation of the impact of stimulation intensity on neuroplastic after-effects induced by transcranial direct current stimulation. J. Physiol. 2017, 595, 1273–1288. [Google Scholar] [CrossRef]
- Dagar, S.; Chowdhury, S.R.; Bapi, R.S.; Dutta, A.; Roy, D. Near-Infrared Spectroscopy—Electroencephalography-Based Brain-State-Dependent Electrotherapy: A Computational Approach Based on Excitation-Inhibition Balance Hypothesis. Front. Neurol. 2016, 7, 123. [Google Scholar] [CrossRef] [PubMed] [Green Version]
- De Raedt, R.; Vanderhasselt, M.-A.; Baeken, C. Neurostimulation as an intervention for treatment resistant depression: From research on mechanisms towards targeted neurocognitive strategies. Clin. Psychol. Rev. 2015, 41, 61–69. [Google Scholar] [CrossRef] [Green Version]
- Miniussi, C.; Harris, J.A.; Ruzzoli, M. Modelling non-invasive brain stimulation in cognitive neuroscience. Neurosci. Biobehav. Rev. 2013, 37, 1702–1712. [Google Scholar] [CrossRef] [Green Version]
- Junghofer, M.; Winker, C.; Rehbein, M.A.; Sabatinelli, D. Noninvasive Stimulation of the Ventromedial Prefrontal Cortex Enhances Pleasant Scene Processing. Cereb. Cortex 2017, 27, 3449–3456. [Google Scholar] [CrossRef] [PubMed]
- Subramanian, S.K.; Prasanna, S.S. Virtual Reality and Noninvasive Brain Stimulation in Stroke: How Effective Is Their Combination for Upper Limb Motor Improvement?—A Meta-Analysis. PM&R 2018, 10, 1261–1270. [Google Scholar] [CrossRef]
- Beeli, G.; Casutt, G.; Baumgartner, T.; Jäncke, L. Modulating presence and impulsiveness by external stimulation of the brain. Behav. Brain Funct. 2008, 4, 33. [Google Scholar] [CrossRef] [PubMed] [Green Version]
- Cohen, D.C. Comparison of self-report and overt-behavioral procedures for assessing acrophobia. Behav. Ther. 1977, 8, 17–23. [Google Scholar] [CrossRef]
- Wolpe, J. 77ie Practice of Behavior Therapy; Pergamon Press: New York, NY, USA, 1969. [Google Scholar]
- Roesmann, K.; Kroker, T.; Hein, S.; Rehbein, M.; Winker, C.; Leehr, E.J.; Klucken, T.; Junghöfer, M. Transcranial Direct Current Stimulation of the Ventromedial Prefrontal Cortex Modulates Perceptual and Neural Patterns of Fear Generalization. Biol. Psychiatry Cogn. Neurosci. Neuroimaging 2021, in press. [Google Scholar] [CrossRef]
- Abelson, J.L.; Curtis, G.C. Cardiac and neuroendocrine responses to exposure therapy in height phobics: Desynchrony within the “physiological response system”. Behav. Res. Ther. 1989, 27, 561–567. [Google Scholar] [CrossRef] [Green Version]
- Steinman, S.A.; Teachman, B.A. Cognitive Processing and Acrophobia: Validating the Heights Interpretation Questionnaire. J. Anxiety Disord. 2011, 25, 896–902. [Google Scholar] [CrossRef] [Green Version]
- Spielberger, C.D.; Sydeman, S.J. State-trait anxiety inventory and state-trait anger expression inventory. In The Use of Psychological Testing for Treatment Planning and Outcome Assessment; Maruish, M.E., Ed.; Lawrence Erlbaum Associates: Hillsdale, NJ, USA, 1994. [Google Scholar]
- Guy, W. ECDEU Assessment Manual for Psychopharmacology; US Department of Health, Education, and Welfare, Public Health Service, Psychopharmacology Research Branch, Division of Extramural Research Programs: Rockville, MD, USA, 1976. [Google Scholar]
- Schubert, T.; Friedmann, F.; Regenbrecht, H. The experience of presence: Factor analytic insights. Presence Teleoperators Virtual Environ. 2001, 10, 266–281. [Google Scholar] [CrossRef]
- Kennedy, R.S.; Lane, N.E.; Berbaum, K.S.; Lilienthal, M.G. Simulator sickness questionnaire: An enhanced method for quantifying simulator sickness. Int. J. Aviat. Psychol. 1993, 3, 203–220. [Google Scholar] [CrossRef]
- Rabinak, C.A.; Angstadt, M.; Lyons, M.; Mori, S.; Milad, M.R.; Liberzon, I.; Phan, K.L. Cannabinoid modulation of prefrontal-limbic activation during fear extinction learning and recall in humans. Neurobiol. Learn. Mem. 2014, 113, 125–134. [Google Scholar] [CrossRef] [Green Version]
- Coelho, C.M.; Santos, J.A.; Silva, C.; Wallis, G.; Tichon, J.; Hine, T.J. The role of self-motion in acrophobia treatment. Cyberpsychol. Behav. Impact Internet Multimed. Virtual Real. Behav. Soc. 2008, 11, 723–725. [Google Scholar] [CrossRef] [PubMed] [Green Version]
- Coelho, C.M.; Silva, C.F.; Santos, J.A.; Tichon, J.; Wallis, G. Contrasting the effectiveness and efficiency of virtual reality and real environments in the treatment of acrophobia. PsychNology J. 2008, 6, 203–216. [Google Scholar]
- Oldrati, V.; Colombo, B.; Antonietti, A. Combination of a short cognitive training and tDCS to enhance visuospatial skills: A comparison between online and offline neuromodulation. Brain Res. 2018, 1678, 32–39. [Google Scholar] [CrossRef] [PubMed]
- D’Urso, G.; Mantovani, A.; Patti, S.; Toscano, E.; de Bartolomeis, A. Transcranial Direct Current Stimulation in Obsessive-Compulsive Disorder, Posttraumatic Stress Disorder, and Anxiety Disorders. J. ECT 2018, 34, 172–181. [Google Scholar] [CrossRef] [PubMed]
- Slater, M.; Lotto, B.; Arnold, M.M.; Sánchez-Vives, M.V. How we experience immersive virtual environments: The concept of presence and its measurement. Anu. Psicol. 2009, 40, 193–210. [Google Scholar]
- Diemer, J.; Alpers, G.W.; Peperkorn, H.M.; Shiban, Y.; Mühlberger, A. The impact of perception and presence on emotional reactions: A review of research in virtual reality. Front. Psychol. 2015, 6, 26. [Google Scholar] [CrossRef] [PubMed] [Green Version]
- Baumgartner, T.; Speck, D.; Wettstein, D.; Masnari, O.; Beeli, G.; Jäncke, L. Feeling present in arousing virtual reality worlds: Prefrontal brain regions differentially orchestrate presence experience in adults and children. Front. Hum. Neurosci. 2008, 2, 8. [Google Scholar] [CrossRef] [Green Version]
- Bjekic, J.; Zivanovic, M.; Filipović, S. Transcranial Direct Current Stimulation (tDCS) for Memory Enhancement. J. Vis. Exp. 2021, 2021, e62681. [Google Scholar] [CrossRef]
- Minarik, T.; Berger, B.; Althaus, L.; Bader, V.; Biebl, B.; Brotzeller, F.; Fusban, T.; Hegemann, J.; Jesteadt, L.; Kalweit, L.; et al. The Importance of Sample Size for Reproducibility of tDCS Effects. Front. Hum. Neurosci. 2016, 10, 453. [Google Scholar] [CrossRef] [PubMed] [Green Version]
- Berlim, M.T.; Van den Eynde, F.; Daskalakis, Z.J. Clinical utility of transcranial direct current stimulation (tDCS) for treating major depression: A systematic review and meta-analysis of randomized, double-blind and sham-controlled trials. J. Psychiatr. Res. 2013, 47, 1–7. [Google Scholar] [CrossRef]
- Shiozawa, P.; Fregni, F.; Benseñor, I.M.; Lotufo, P.A.; Berlim, M.T.; Daskalakis, J.Z.; Cordeiro, Q.; Brunoni, A.R. Transcranial direct current stimulation for major depression: An updated systematic review and meta-analysis. Int. J. Neuropsychopharmacol. 2014, 17, 1443–1452. [Google Scholar] [CrossRef] [PubMed] [Green Version]
- Nitsche, M.A.; Doemkes, S.; Karaköse, T.; Antal, A.; Liebetanz, D.; Lang, N.; Tergau, F.; Paulus, W. Shaping the effects of transcranial direct current stimulation of the human motor cortex. J. Neurophysiol. 2007, 97, 3109–3117. [Google Scholar] [CrossRef] [Green Version]
- Marković, V.; Vicario, C.M.; Yavari, F.; Salehinejad, M.A.; Nitsche, M.A. A Systematic Review on the Effect of Transcranial Direct Current and Magnetic Stimulation on Fear Memory and Extinction. Front. Hum. Neurosci. 2021, 15, 655947. [Google Scholar] [CrossRef]
- Chen, Y.; Lu, X.; Yu, P.; Zeng, L.; Ye, H.; Shi, Q.; Guo, W. Modulating the Activity of the VMPFC with tDCS Alters the Social Framing Effect. Front. Behav. Neurosci. 2021, 15, 677006. [Google Scholar] [CrossRef]
- Baeken, C.; Vanderhasselt, M.-A.; Remue, J.; Rossi, V.; Schiettecatte, J.; Anckaert, E.; De Raedt, R. One left dorsolateral prefrontal cortical HF-rTMS session attenuates HPA-system sensitivity to critical feedback in healthy females. Neuropsychologia 2014, 57, 112–121. [Google Scholar] [CrossRef] [Green Version]
- Pulopulos, M.M.; Schmausser, M.; De Smet, S.; Vanderhasselt, M.-A.; Baliyan, S.; Venero, C.; Baeken, C.; De Raedt, R. The effect of HF-rTMS over the left DLPFC on stress regulation as measured by cortisol and heart rate variability. Horm. Behav. 2020, 124, 104803. [Google Scholar] [CrossRef]
- Mehrsafar, A.H.; Rosa, M.A.S.; Zadeh, A.M.; Gazerani, P. A feasibility study of application and potential effects of a single session transcranial direct current stimulation (tDCS) on competitive anxiety, mood state, salivary levels of cortisol and alpha amylase in elite athletes under a real-world competition. Physiol. Behav. 2020, 227, 113173. [Google Scholar] [CrossRef]
- Carnevali, L.; Pattini, E.; Sgoifo, A.; Ottaviani, C. Effects of prefrontal transcranial direct current stimulation on autonomic and neuroendocrine responses to psychosocial stress in healthy humans. Stress 2020, 23, 26–36. [Google Scholar] [CrossRef] [PubMed]
- Gianaros, P.J.; Wager, T.D. Brain-body pathways linking psychological stress and physical health. Curr. Dir. Psychol. Sci. 2015, 24, 313–321. [Google Scholar] [CrossRef] [PubMed]
- Lopez-Duran, N.L.; Mayer, S.E.; Abelson, J.L. Modeling neuroendocrine stress reactivity in salivary cortisol: Adjusting for peak latency variability. Stress 2014, 17, 285–295. [Google Scholar] [CrossRef] [PubMed]
Publisher’s Note: MDPI stays neutral with regard to jurisdictional claims in published maps and institutional affiliations. |
© 2022 by the authors. Licensee MDPI, Basel, Switzerland. This article is an open access article distributed under the terms and conditions of the Creative Commons Attribution (CC BY) license (https://creativecommons.org/licenses/by/4.0/).







