Comparison of Ablation Area and Change in Functional Liver Reserve after Radiofrequency Ablation for Hepatocellular Carcinoma Using the arfa® and VIVA® Systems
Abstract
:1. Introduction
2. Materials and Methods
2.1. Patients and Study Design
2.2. RFA
2.3. Follow-Up
2.4. Statistical Analysis
3. Results
3.1. Patient Characteristics
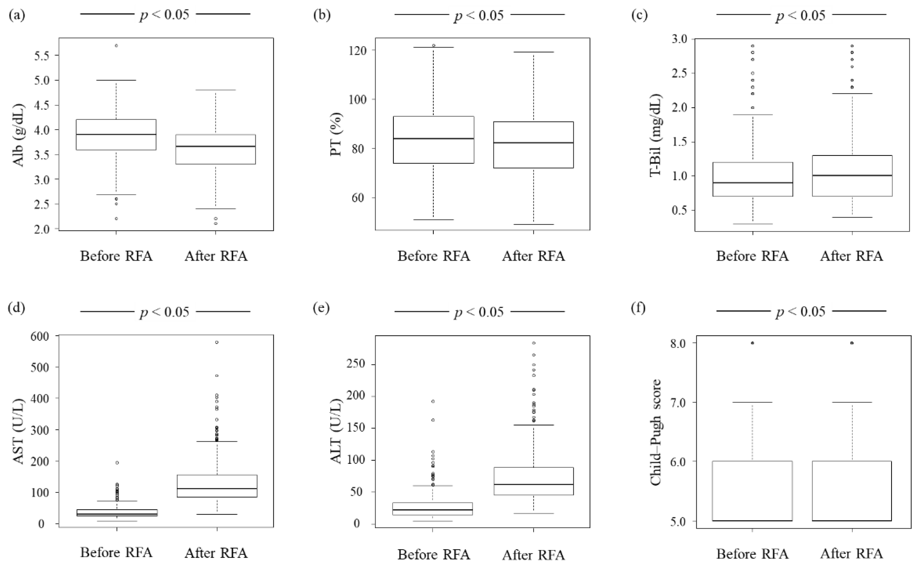
3.2. Change in Functional Liver Reserve
3.3. Comparison of Ablation Area
4. Discussion
Author Contributions
Funding
Institutional Review Board Statement
Informed Consent Statement
Data Availability Statement
Conflicts of Interest
References
- Yang, J.D.; Hainaut, P.; Gores, G.J.; Amadou, A.; Plymoth, A.; Roberts, L.R. A global view of hepatocellular carcinoma: Trends, risk, prevention and management. Nat. Rev. Gastroenterol. Hepatol. 2019, 16, 589–604. [Google Scholar] [CrossRef] [PubMed]
- Li, S.; Saviano, A.; Erstad, D.J.; Hoshida, Y.; Fuchs, B.C.; Baumert, T.; Tanabe, K.K. Risk Factors, Pathogenesis, and Strategies for Hepatocellular Carcinoma Prevention: Emphasis on Secondary Prevention and Its Translational Challenges. J. Clin. Med. 2020, 9, 3817. [Google Scholar] [CrossRef] [PubMed]
- Bray, F.; Ferlay, J.; Soerjomataram, I.; Siegel, R.L.; Torre, L.A.; Jemal, A. Global cancer statistics 2018: GLOBOCAN estimates of incidence and mortality worldwide for 36 cancers in 185 countries. CA Cancer J. Clin. 2018, 68, 394–424, Erratum in CA Cancer J. Clin. 2020, 70, 313. [Google Scholar] [CrossRef] [PubMed] [Green Version]
- Kokudo, N.; Takemura, N.; Hasegawa, K.; Takayama, T.; Kubo, S.; Shimada, M.; Nagano, H.; Hatano, E.; Izumi, N.; Kaneko, S.; et al. Clinical practice guidelines for hepatocellular carcinoma: The Japan Society of Hepatology 2017 (4th JSH-HCC guidelines) 2019 update. Hepatol. Res. 2019, 49, 1109–1113. [Google Scholar] [CrossRef]
- Takaya, H.; Namisaki, T.; Kitade, M.; Kaji, K.; Nakanishi, K.; Tsuji, Y.; Shimozato, N.; Moriya, K.; Seki, K.; Sawada, Y.; et al. VWF/ADAMTS13 ratio as a potential biomarker for early detection of hepatocellular carcinoma. BMC Gastroenterol. 2019, 19, 167. [Google Scholar] [CrossRef]
- Yoshiji, H.; Nagoshi, S.; Akahane, T.; Asaoka, Y.; Ueno, Y.; Ogawa, K.; Kawaguchi, T.; Kurosaki, M.; Sakaida, I.; Shimizu, M.; et al. Evidence-based clinical practice guidelines for Liver Cirrhosis 2020. J. Gastroenterol. 2021, 56, 593–619. [Google Scholar] [CrossRef]
- Yoshiji, H.; Nagoshi, S.; Akahane, T.; Asaoka, Y.; Ueno, Y.; Ogawa, K.; Kawaguchi, T.; Kurosaki, M.; Sakaida, I.; Shimizu, M.; et al. Evidence-based clinical practice guidelines for liver cirrhosis 2020. Hepatol. Res. 2021, 51, 725–749. [Google Scholar] [CrossRef]
- Kudo, M.; Kawamura, Y.; Hasegawa, K.; Tateishi, R.; Kariyama, K.; Shiina, S.; Toyoda, H.; Imai, Y.; Hiraoka, A.; Ikeda, M.; et al. Management of Hepatocellular Carcinoma in Japan: JSH Consensus Statements and Recommendations 2021 Update. Liver Cancer 2021, 10, 181–223. [Google Scholar] [CrossRef] [PubMed]
- Meng, F.; Zhang, H.; Peng, H.; Lu, S. Comparison of 10-Year Survival Outcomes for Early Single Hepatocellular Carcinoma following Different Treatments. BioMed Res. Int. 2021, 2021, 6638117. [Google Scholar] [CrossRef]
- Livraghi, T.; Meloni, F.; Di Stasi, M.; Rolle, E.; Solbiati, L.; Tinelli, C.; Rossi, S. Sustained complete response and complications rates after radiofrequency ablation of very early hepatocellular carcinoma in cirrhosis: Is resection still the treatment of choice? Hepatology 2008, 47, 82–89. [Google Scholar] [CrossRef] [PubMed]
- Feng, K.; Yan, J.; Li, X.; Xia, F.; Ma, K.; Wang, S.; Bie, P.; Dong, J. A randomized controlled trial of radiofrequency ablation and surgical resection in the treatment of small hepatocellular carcinoma. J. Hepatol. 2012, 57, 794–802. [Google Scholar] [CrossRef]
- Maeda, M.; Saeki, I.; Sakaida, I.; Aikata, H.; Araki, Y.; Ogawa, C.; Kariyama, K.; Nouso, K.; Kitamoto, M.; Kobashi, H.; et al. Complications after Radiofrequency Ablation for Hepatocellular Carcinoma: A Multicenter Study Involving 9411 Japanese Patients. Liver Cancer 2020, 9, 50–62. [Google Scholar] [CrossRef] [PubMed]
- Kato, H.; Goto, R.; Tsuji, T.; Kondo, K. The effects of patient cost-sharing on health expenditure and health among older people: Heterogeneity across income groups. Eur. J. Health Econ. 2021, 1–15. [Google Scholar] [CrossRef]
- Takaya, H.; Namisaki, T.; Takeda, S.; Kaji, K.; Ogawa, H.; Ishida, K.; Tsuji, Y.; Takagi, H.; Ozutsumi, T.; Fujinaga, Y.; et al. The Combination of Albumin–Bilirubin Score and Prothrombin Time Is a Useful Tool for Predicting Liver Dysfunction after Transcatheter Arterial Chemoembolization in Child–Pugh Class A Patients with Hepatocellular Carcinoma within Up-to-Seven Criteria. J. Clin. Med. 2021, 10, 4838. [Google Scholar] [CrossRef]
- Douhara, A.; Namisaki, T.; Moriya, K.; Kitade, M.; Kaji, K.; Kawaratani, H.; Takeda, K.; Okura, Y.; Takaya, H.; Noguchi, R.; et al. Predisposing factors for hepatocellular carcinoma recurrence following initial remission after transcatheter arterial chemoembolization. Oncol. Lett. 2017, 14, 3028–3034. [Google Scholar] [CrossRef] [Green Version]
- Takaya, H.; Kawaratani, H.; Seki, K.; Okura, Y.; Kitade, M.; Namisaki, T.; Sawai, M.; Sawada, Y.; Kubo, T.; Mitoro, A.; et al. A Patient with Hepatocellular Carcinoma with Isolated Right Atrial Metastases. Intern. Med. 2017, 56, 2589–2594. [Google Scholar] [CrossRef] [Green Version]
- Kanda, Y. Investigation of the freely available easy-to-use software ‘EZR’ for medical statistics. Bone Marrow Transpl. 2013, 48, 452–458. [Google Scholar] [CrossRef] [Green Version]
- Akahane, T.; Kaya, D.; Noguchi, R.; Kaji, K.; Miyakawa, H.; Fujinaga, Y.; Tsuji, Y.; Takaya, H.; Sawada, Y.; Furukawa, M.; et al. Association between Equol Production Status and Nonalcoholic Steatohepatitis. Int. J. Mol. Sci. 2021, 22, 11904. [Google Scholar] [CrossRef]
- Safcak, D.; Drazilova, S.; Gazda, J.; Andrasina, I.; Adamcova-Selcanova, S.; Barila, R.; Mego, M.; Marek, R.; Skladany, S.-A.; Zigrai, M.; et al. Nonalcoholic Fatty Liver Disease-Related Hepatocellular Carcinoma: Clinical Patterns, Outcomes, and Prognostic Factors for Overall Survival-A Retrospective Analysis of a Slovak Cohort. J. Clin. Med. 2021, 10, 3186. [Google Scholar] [CrossRef] [PubMed]
- Kamada, Y.; Takahashi, H.; Shimizu, M.; Kawaguchi, T.; Sumida, Y.; Fujii, H.; Seko, Y.; Fukunishi, S.; Tokushige, K.; Nakajima, A.; et al. Clinical practice advice on lifestyle modification in the management of nonalcoholic fatty liver disease in Japan: An expert review. J. Gastroenterol. 2021, 56, 1045–1061. [Google Scholar] [CrossRef] [PubMed]
- Tohra, S.; Duseja, A.; Taneja, S.; Kalra, N.; Gorsi, U.; Behera, A.; Kaman, L.; Dahiya, D.; Sahu, S.; Sharma, B.; et al. Experience with Changing Etiology and Nontransplant Curative Treatment Modalities for Hepatocellular Carcinoma in a Real-Life Setting—A Retrospective Descriptive Analysis. J. Clin. Exp. Hepatol. 2021, 11, 682–690. [Google Scholar] [CrossRef] [PubMed]
- Takai Takamatsu, R.; Okano, A.; Yamakawa, G.; Mizukoshi, K.; Obayashi, H.; Ohana, M. Impact of an ultrasound-guided radiofrequency ablation training program on the outcomes in patients with hepatocellular carcinoma. Diagn. Interv. Imag. 2019, 100, 771–780. [Google Scholar] [CrossRef] [PubMed]



| Variable | Total (n = 365) | arfa® Group (n = 104) | VIVA® Group (n = 261) | p-Value * |
|---|---|---|---|---|
| Age (years) | 75 (68–80) | 73 (69–80) | 75 (68–80) | NS |
| Sex (male/female) | 259/106 | 75/29 | 184/77 | NS |
| Etiology (HBV/HCV/alcohol abuse/NASH/AIH/PBC/cryptogenic) | 75/144/58/64/11/4/9 | 15/34/19/30 **/2/1/3 | 60/110/39/34/9/3/6 | <0.05 |
| Albumin (g/dL) | 3.9 (3.6–4.2) | 4.0 (3.6–4.3) | 3.9 (3.5–4.2) | <0.05 |
| Aspartate aminotransferase (U/L) | 30 (23–43) | 30 (23–40) | 31 (22–44) | NS |
| Alanine aminotransferase (U/L) | 22 (15–33) | 22 (14–35) | 22 (15–32) | NS |
| Total bilirubin (mg/dL) | 0.9 (0.7–1.2) | 0.9 (0.7–1.4) | 0.9 (0.7–1.2) | NS |
| Prothrombin time (%) | 84 (74–93) | 91 (78–103) | 82 (72–89) | <0.05 |
| Child–Pugh score | 5 (5–6) | 5 (5–5) | 5 (5–6) | NS |
| Child–Pugh class A/B | 326/39 | 94/10 | 232/29 | NS |
| Tumor size (cm) | 1.7 (1.3–2.1) | 1.8 (1.5–2.0) | 1.6 (1.3–2.1) | <0.05 |
| Tumor number (1/2/3) | 299/59/7 | 92/11/1 | 207/48/6 | NS |
| Variable | arfa® Group (n = 104) | VIVA® Group (n = 261) | p-Value * |
|---|---|---|---|
| Ratio of albumin one day after RFA to that before RFA | 0.93 (0.88–0.98) | 0.93 (0.88–0.97) | NS |
| Ratio of aspartate aminotransferase one day after RFA to that before RFA | 3.98 (2.55–5.68) | 3.52 (2.48–5.39) | NS |
| Ratio of alanine aminotransferase one day after RFA to that before RFA | 2.81 (1.72–4.06) | 2.62 (1.80–4.31) | NS |
| Ratio of total bilirubin one day after RFA to that before RFA | 1.22 (1.00–1.43) | 1.00 (0.88–1.29) | <0.05 |
| Ratio of prothrombin time one day after RFA to that before RFA | 0.98 (0.92–1.04) | 0.97 (0.91–1.02) | NS |
| Ratio of Child–Pugh score one day after RFA to that before RFA | 1.00 (1.00–1.00) | 1.00 (1.00–1.14) | NS |
Publisher’s Note: MDPI stays neutral with regard to jurisdictional claims in published maps and institutional affiliations. |
© 2022 by the authors. Licensee MDPI, Basel, Switzerland. This article is an open access article distributed under the terms and conditions of the Creative Commons Attribution (CC BY) license (https://creativecommons.org/licenses/by/4.0/).
Share and Cite
Takaya, H.; Namisaki, T.; Matsumoto, K.; Suzuki, J.; Murata, K.; Tsuji, Y.; Nakanishi, K.; Kaji, K.; Kitade, M.; Noguchi, R.; et al. Comparison of Ablation Area and Change in Functional Liver Reserve after Radiofrequency Ablation for Hepatocellular Carcinoma Using the arfa® and VIVA® Systems. J. Clin. Med. 2022, 11, 434. https://doi.org/10.3390/jcm11020434
Takaya H, Namisaki T, Matsumoto K, Suzuki J, Murata K, Tsuji Y, Nakanishi K, Kaji K, Kitade M, Noguchi R, et al. Comparison of Ablation Area and Change in Functional Liver Reserve after Radiofrequency Ablation for Hepatocellular Carcinoma Using the arfa® and VIVA® Systems. Journal of Clinical Medicine. 2022; 11(2):434. https://doi.org/10.3390/jcm11020434
Chicago/Turabian StyleTakaya, Hiroaki, Tadashi Namisaki, Kazusuke Matsumoto, Junya Suzuki, Koji Murata, Yuki Tsuji, Keisuke Nakanishi, Kosuke Kaji, Mitsuteru Kitade, Ryuichi Noguchi, and et al. 2022. "Comparison of Ablation Area and Change in Functional Liver Reserve after Radiofrequency Ablation for Hepatocellular Carcinoma Using the arfa® and VIVA® Systems" Journal of Clinical Medicine 11, no. 2: 434. https://doi.org/10.3390/jcm11020434
APA StyleTakaya, H., Namisaki, T., Matsumoto, K., Suzuki, J., Murata, K., Tsuji, Y., Nakanishi, K., Kaji, K., Kitade, M., Noguchi, R., & Yoshiji, H. (2022). Comparison of Ablation Area and Change in Functional Liver Reserve after Radiofrequency Ablation for Hepatocellular Carcinoma Using the arfa® and VIVA® Systems. Journal of Clinical Medicine, 11(2), 434. https://doi.org/10.3390/jcm11020434

