EGFR-Driven Mutation in Non-Small-Cell Lung Cancer (NSCLC) Influences the Features and Outcome of Brain Metastases
Abstract
1. Introduction
2. Materials and Methods
2.1. Participants and Eligibility
- A preoperative KPS scale score >50%.
 - The estimated target of the surgical procedure was the gross-total, near-total, or sub-total resection of the lesions: no biopsies were included. We included those patients where complete surgical resection could be guaranteed by pre-operative planning, thus excluding cases with multiple deep-site metastases that could not be surgically treated by definition. Patients with sub-centimetric heteroplastic lesions were included after dedicated conformational radiotherapy regimens.
 - The molecular analysis of EGFR mutations was carried out in the brain metastases in addition to the primary NSCLC.
 - Only patients who may undergo post-surgical adjuvant chemo-radiotherapy and a follow-up program were included.
 - Patients were included if they received standard conformational planning with a linear accelerator (LINAC).
 - Once the progression of the disease was noticed, the patient and the relevant imaging were referred again to our attention to evaluate the feasibility of a second surgery or to address the patient to the second line of adjuvant treatment.
 
2.2. Preoperative and Operative Protocol
- Despite a directly visualized or navigation-proven remnant, neuromonitoring or intraoperative neuropsychological testing outlined a risk for postoperative sensory-motor damage,
 - The white matter appeared free of disease in each aspect of the surgical cavity.
 
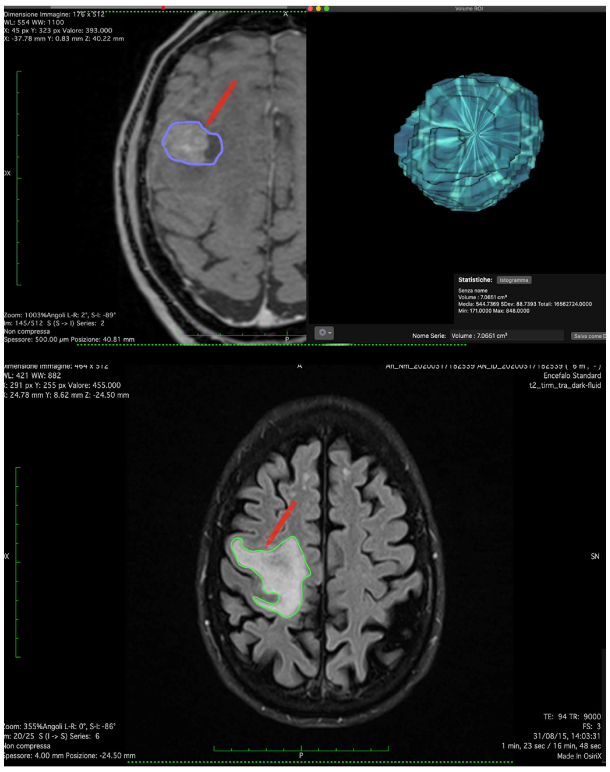
2.3. Data Sources and Quantitative Variables
2.4. Size, Statistics, and Potential Source of Bias
2.5. Ethical Issue
3. Results
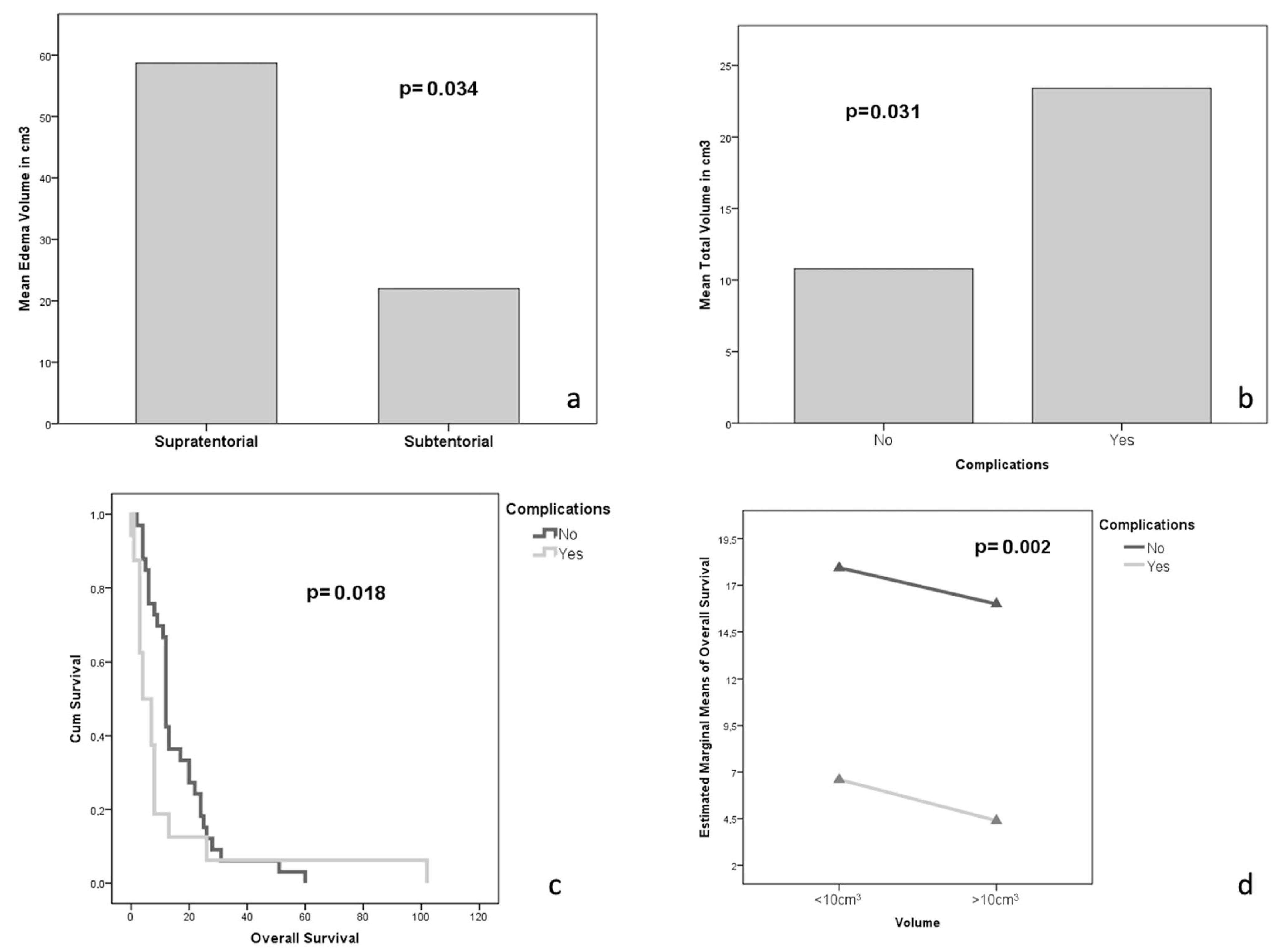
3.1. Volume and Edema
3.2. EGFR-Related Parameters
4. Discussion
5. Conclusions
Author Contributions
Funding
Institutional Review Board Statement
Informed Consent Statement
Data Availability Statement
Conflicts of Interest
References
- Picarelli, H.; Oliveira, M.L.; Marta, G.N.; Solla, D.J.F.; Teixeira, M.J.; Figueiredo, E.G. Mortality, Morbidity, and Prognostic Factors in the Surgical Resection of Brain Metastases: A Contemporary Cohort Study. J. Neurol. Surg. A Cent. Eur. Neurosurg. 2020, 81, 279–289. [Google Scholar] [CrossRef]
 - Al-Shamy, G.; Sawaya, R. Management of brain metastases: The indispensable role of surgery. J. Neurooncol. 2009, 92, 275–282. [Google Scholar] [CrossRef]
 - Wang, G.; Xu, J.; Qi, Y.; Xiu, J.; Li, R.; Han, M. Distribution of Brain Metastasis from Lung Cancer. Cancer Manag. Res. 2019, 11, 9331–9338. [Google Scholar] [CrossRef]
 - Lee, H.; Jeong, S.H.; Jeong, B.H.; Park, H.Y.; Lee, K.-J.; Um, S.-W.; Kwon, O.J.; Kim, H. Incidence of brain metastasis at the initial diagnosis of lung squamous cell car- cinoma on the basis of stage, excluding brain metastasis. J. Thorac. Oncol. 2016, 11, 426–431. [Google Scholar] [CrossRef]
 - Putora, P.M.; Fischer, G.F.; Früh, M.; Califano, R.; Fin-Faivre, C.; Van Houtte, P.; McDonalnd, F.; Nestele, U.; Dziadziuszko, R.; Le Pechoux, C.; et al. Treatment of brain metastases in small cell lung cancer: Decision-making amongst a multidisciplinary panel of European experts. Radiother. Oncol. 2020, 149, 84–88. [Google Scholar] [CrossRef] [PubMed]
 - Yang, H.; He, D.; Wang, F.; Deng, Q.; Xie, Z. A study on different therapies and prognosis-related factors for brain metastases in lung adenocarcinoma patients with driver mutation. Clin. Exp. Metastasis 2020, 37, 391–399. [Google Scholar] [CrossRef] [PubMed]
 - Saad, A.G.; Yeap, B.Y.; Thunnissen, F.B.; Pinkus, G.S.; Pinkus, J.L.; Loda, M.; Sugarbaker, D.J.; Johnson, B.E.; Chirieac, L.R. Imuno-histochemical markers associated with brain metastases in patients with non- small cell lung carcinoma. Cancer 2008, 113, 2129–2138. [Google Scholar] [CrossRef] [PubMed]
 - Yoshida, H.; Kim, Y.H.; Iwatsubo, S.; Sakaguchi, C.; Sakamori, Y.; Nagai, H.; Ozasa, H.; Mio, T.; Hirai, T. Management and Outcomes of Newly Diagnosed Non-Small Cell Lung Cancer Patients with Brain Metastases: A Real-World Study in Japan. Oncology 2020, 98, 460–467. [Google Scholar] [CrossRef] [PubMed]
 - Bonnette, P.; Puyo, P.; Gabriel, C.; Giudicelli, R.; Regnard, J.F.; Riquet, M.; Brichon, P.Y.; Groupe Thorax. Surgical management of non-small cell lung cancer with synchronous brain metastases. Chest 2001, 119, 1469–1475. [Google Scholar] [CrossRef]
 - Iwasaki, A.; Shirakusa, T.; Yoshinaga, Y.; Enatsu, S.; Yamamoto, M. Evaluation of the treatment of non-small cell lung cancer with brain metastasis and the role of risk score as a survival predictor. Eur. J. Cardiothorac. Surg. 2004, 26, 488–493. [Google Scholar] [CrossRef]
 - Frati, A.; Pesce, A.; Palmieri, M.; Celniku, M.; Raco, A.; Salvati, M. Surgical Treatment of the Septuagenarian Patients Suffering from Brain Metastases: A Large Retrospective Observational Analytic Cohort-Comparison Study. World Neurosurg. 2018, 114, e565–e572. [Google Scholar] [CrossRef] [PubMed]
 - Penel, N.; Brichet, A.; Prevost, B.; Duhamel, A.; Assaker, R.; Dubois, F.; Lafitte, J.J. Pronostic factors of synchro- nous brain metastases from lung cancer. Lung Cancer 2001, 33, 143–154. [Google Scholar] [CrossRef] [PubMed]
 - Antuña, A.R.; Vega, M.A.; Sanchez, C.R.; Fernandez, V.M. Brain Metastases of Non-Small Cell Lung Cancer: Prognostic Factors in Patients with Surgical Resection. J. Neurol. Surg. A Cent. Eur. Neurosurg. 2018, 79, 101–107. [Google Scholar] [CrossRef]
 - Granone, P.; Margaritora, S.; D’Andrilli, A.; Cesario, A.; Kawamukai, K.; Meacci, E. Non-small cell lung cancer with single brain metastasis: The role of surgical treatment. Eur. J. Cardiothorac. Surg. 2001, 20, 361–366. [Google Scholar] [CrossRef]
 - Lo, C.K.; Yu, C.H.; Ma, C.C.; Ko, K.M.; Leung, S.C. Surgical management of primary non-small-cell carcinoma of lung with synchronous solitary brain metastasis: Local experience. Hong Kong Med. J. 2010, 16, 186–191. [Google Scholar] [PubMed]
 - Travis, W.D.; Brambilla, E.; Nicholson, A.G.; Yatabe, Y.; Austin, J.; Beasley, M.B.; Chirieac, L.; Dacic, S.; Duhig, E.; Flieder, D.; et al. The 2015 World Health Organization Classification of Lung Tumors: Impact of Genetic, Clinical and Radiologic Advances Since the 2004 Classification. J. Thorac. Oncol. 2015, 10, 1243–1260. [Google Scholar] [CrossRef]
 - Fleckenstein, J.; Petroff, A.; Schäfers, H.-J.; Wehler, T.; Schöpe, J.; Rübe, C. Long-term outcomes in radically treated synchronous vs. metachronous oligometastatic non-small-cell lung cancer. BMC Cancer 2016, 16, 348. [Google Scholar] [CrossRef] [PubMed]
 - Toyokawa, G.; Seto, T.; Takenoyama, M.; Ichinose, Y. Insights into brain metastasis in patients with ALK+ lung cancer: Is the brain truly a sanctuary? Cancer Metastasis. Rev. 2015, 34, 797–805. [Google Scholar] [CrossRef]
 - Patil, T.; Smith, D.E.; Bunn, P.A.; Aisner, D.L.; Le, A.; Hancock, M.; Purcell, W.; Bowles, D.; Camidge, R.; Doebele, R. The Incidence of Brain Metastases in Stage IV ROS1-Rearranged Non-Small Cell Lung Cancer and Rate of Central Nervous System Progression on Crizotinib. J. Thorac. Oncol. 2018, 13, 1717–1726. [Google Scholar] [CrossRef]
 - Grinberg-Rashi, H.; Ofek, E.; Perelman, M.; Skarda, J.; Yaron, P.; Hajdúch, M.; Jacob-Hirsch, J.; Amariglio, N.; Krupsky, M.; Simansky, D.; et al. The expression of three genes in primary non-small cell lung cancer is associated with metastatic spread to the brain. Clin. Cancer Res. 2009, 15, 1755–1761. [Google Scholar] [CrossRef]
 - Iuchi, T.; Shingyoji, M.; Itakura, M.; Yokoi, S.; Moriya, Y.; Tamura, H.; Yoshida, Y.; Ashinuma, H.; Kawasaki, K.; Hasegawa, Y.; et al. Frequency of brain metastases in non-small-cell lung cancer, and their association with epidermal growth factor receptor mutations. Int. J. Clin. Oncol. 2015, 20, 674–679. [Google Scholar] [CrossRef] [PubMed]
 - Rangachari, D.; Yamaguchi, N.; VanderLaan, P.A.; Folch, E.; Mahadevan, A.; Floyd, S.; Uhlmann, E.; Wong, E.; Dahlberg, S.; Huberman, M.; et al. Brain metastases in patients with EGFR-mutated or ALK-rearranged non-small-cell lung cancers. Lung Cancer 2015, 88, 108–111. [Google Scholar] [CrossRef]
 - Fridman, W.H.; Zitvogel, L.; Sautès-Fridman, C.; Kroemer, G. The immune contexture in cancer prognosis and treatment. Nat. Rev. Clin. Oncol. 2017, 14, 717–734. [Google Scholar] [CrossRef] [PubMed]
 - Haratani, K.; Hayashi, H.; Tanaka, T.; Kaneda, H.; Togashi, Y.; Sakai, K.; Hayashi, K.; Tomida, S.; Chiba, Y.; Yonesaka, K.; et al. Tumor immune microenvironment and nivolumab efficacy in EGFR mutation-positive non-small-cell lung cancer based on T790M status after disease progression during EGFR-TKI treatment. Ann. Oncol. 2017, 28, 1532–1539. [Google Scholar] [CrossRef]
 - Liu, S.Y.; Dong, Z.Y.; Wu, S.P.; Xie, Z.; Yan, L.-X.; Li, Y.-F.; Yan, H.-H.; Su, J.; Yang, J.-J.; Zhou, Q.; et al. Clinical relevance of PD-L1 expression and CD8+ T cells infiltration in patients with EGFR-mutated and ALK-rearranged lung cancer. Lung Cancer 2018, 125, 86–92. [Google Scholar] [CrossRef] [PubMed]
 - Maurer-Morelli, C.V.; de Vasconcellos, J.F.; Bruxel, E.M.; Rocha, C.S.; do Canto, A.M.; Tedeschi, H.; Yasuda, C.L.; Cendes, F.; Lopes-Cendes, I. Gene expression profile suggests different mechanisms underlying sporadic and familial mesial temporal lobe epilepsy. Exp. Biol. Med. 2022, 247, 2233–2250. [Google Scholar] [CrossRef] [PubMed]
 - Nardone, V.; Romeo, C.; D’Ippolito, E.; Pastina, P.; D’Apolito, M.; Pirtoli, L.; Caraglia, M.; Mutti, L.; Bianco, G.; Falzea, A.C.; et al. The role of brain radiotherapy for EGFR- and ALK-positive non-small-cell lung cancer with brain metastases: A review. Radiol. Med. 2023, 128, 316–329. [Google Scholar] [CrossRef]
 - Bethune, G.; Bethune, D.; Ridgway, N. Epidermal growth factor receptor (EGFR) in lung cancer: An overview and update. J. Thorac. Dis. 2010, 2, 48–51. [Google Scholar]
 - Sperduto, P.W.; Kased, N.; Roberge, D.; Xu, Z.; Shanley, R.; Luo, X.; Sneed, P.; Chao, S.; Weil, R.; Suh, J.; et al. Summary report on the graded prognostic assessment: An accurate and facile diagnosis-specific tool to estimate survival for patients with brain metastases. J. Clin. Oncol. 2012, 30, 419–425. [Google Scholar] [CrossRef]
 - Gaspar, L.E.; Scott, C.; Murray, K.; Curran, W. Validation of the RTOG recursive partitioning analysis (RPA) classification for brain metastases. Int. J. Radiat. Oncol. Biol. Phys. 2000, 47, 1001–1006. [Google Scholar] [CrossRef]
 - Xu, Q.; Wang, Y.; Liu, H.; Meng, S.; Zhou, S.; Xu, J.; Schmid-Bindert, G.; Zhou, C. Treatment outcome for patients with primary NSCLC and synchronous solitary metastasis. Clin. Transl. Oncol. 2013, 15, 802–809. [Google Scholar] [CrossRef] [PubMed]
 - Gray, P.J.; Mak, R.H.; Yeap, B.Y.; Cryer, S.; Pinnell, N.; Christianson, L.; Sher, D.; Arvold, N.; Baldini, E.; Chen, A.; et al. Aggressive therapy for patients with non-small cell lung carcinoma and synchronous brain-only oligometastatic disease is associated with long-term survival. Lung Cancer 2014, 85, 239–244. [Google Scholar] [CrossRef] [PubMed]
 - Tensaouti, F.; Khalifa, J.; Lusque, A.; Plas, B.; Lotterie, J.A.; Berry, I.; Laprie, A.; Cohen-Jonathan Moyal, E.; Lubrano, V. Response Assessment in Neuro-Oncology criteria, contrast enhancement and perfusion MRI for assessing progression in glioblastoma. Neuroradiology 2017, 59, 1013–1020. [Google Scholar] [CrossRef]
 - Paglia, F.; Caporlingua, A.; Armocida, D.; Rizzo, F.; Santoro, A.; D’angelo, L. Preoperative 3D volume reconstruction of the posterior wall of the sphenoid sinus with Horos: A free, simple and reliable tool in endoscopic endonasal trans-sphenoidal surgery. Neurocirugia 2022, 33, 219–226. [Google Scholar] [CrossRef]
 - Bernhardt, D.; Adeberg, S.; Bozorgmehr, F.; Opfermann, N.; Hörner-Rieber, J.; König, L.; Kappes, J.; Thomas, M.; Unterberg, A.; Herth, F.; et al. Outcome and prognostic factors in single brain metastases from small-cell lung cancer. Outcome und Prognose faktoren bei singulären Hirnmetastasen des kleinzelligen Bronchialkarzinoms. Strahlenther Onkol. 2018, 194, 98–106. [Google Scholar] [CrossRef] [PubMed]
 - Frati, A.; Pesce, A.; Palmieri, M.; Iasanzaniro, M.; Familiari, P.; Angelini, A.; Salvati, M.; Rocco, M.; Raco, A. Hypnosis-Aided Awake Surgery for the Management of Intrinsic Brain Tumors versus Standard Awake-Asleep-Awake Protocol: A Preliminary, Promising Experience. World Neurosurg. 2019, 121, e882–e891. [Google Scholar] [CrossRef]
 - Armocida, D.; Pesce, A.; Di Giammarco, F.; Frati, A.; Santoro, A.; Salvati, M. Long Term Survival in Patients Suffering from Glio-blastoma Multiforme: A Single-Center Observational Cohort Study. Diagnostics 2019, 9, 209. [Google Scholar] [CrossRef]
 - Costa, D.B.; Shaw, A.T.; Ou, S.H.; Solomon, B.; Riely, G.; Ahn, M.-J.; Zhou, C.; Shreeve, M.; Selaru, P.; Polli, A.; et al. Clinical experience with crizotinib in patients with advanced ALK-re- arranged non-small-cell lung cancer and brain metastases. J. Clin. Oncol. 2015, 33, 1881–1888. [Google Scholar] [CrossRef]
 - D’Andrea, G.; Palombi, L.; Minniti, G.; Pesce, A.; Marchetti, P. Brain Metastases: Surgical Treatment and Overall Survival. World Neurosurg. 2017, 97, 169–177. [Google Scholar] [CrossRef]
 - Carden, C.P.; Agarwal, R.; Saran, F.; Judson, I.R. Eligibility of patients with brain metastases for phase I trials: Time for a rethink? Lancet Oncol. 2008, 9, 1012–1017. [Google Scholar] [CrossRef]
 - Qin, H.; Wang, C.; Jiang, Y.; Zhang, X.; Zhang, Y.; Ruan, Z. Patients with single brain metastasis from non-small cell lung cancer equally benefit from stereotactic radiosurgery and surgery: A systematic review. Med. Sci. Monit. 2015, 21, 144–152. [Google Scholar]
 - Pao, W.; Girard, N. New driver mutations in non-small-cell lung cancer. Lancet Oncol. 2011, 12, 175–180. [Google Scholar] [CrossRef]
 - Preusser, M.; Berghoff, A.S.; Ilhan-Mutlu, A.; Magerle, M.; Dinhof, C.; Widhalm, G.; Dieckmann, K.; Marosi, C.; Wöhrer, A.; Hackl, M.; et al. ALK gene translocations and amplifications in brain metastases of non-small cell lung cancer. Lung Cancer 2013, 80, 278–283. [Google Scholar] [CrossRef] [PubMed]
 - Liu, Y.; Ye, X.; Yu, Y.; Lu, S. Prognostic significance of anaplastic lymphoma kinase rearrangement in patients with completely resected lung adenocarcinoma. J. Thorac. Dis. 2019, 11, 4258–4270. [Google Scholar] [CrossRef]
 - Li, W.Y.; Zhao, T.T.; Xu, H.M.; Wang, Z.-N.; Xu, Y.-Y.; Han, Y.; Song, Y.-X.; Wu, J.-H.; Xu, H.; Yin, S.-C.; et al. The role of EGFR mutation as a prognostic factor in survival after diagnosis of brain metastasis in non-small cell lung cancer: A systematic review and meta-analysis. BMC Cancer 2019, 19, 145. [Google Scholar] [CrossRef] [PubMed]
 - Endo, C.; Hasumi, T.; Matsumura, Y.; Sato, N.; Deguchi, H.; Oizumi, H.; Sagawa, M.; Tsushima, T.; Takahashi, S.; Shibuya, J.; et al. A prospective study of surgical procedures for patients with oligometastatic non-small cell lung cancer. Ann. Thorac. Surg. 2014, 98, 258–264. [Google Scholar] [CrossRef] [PubMed]
 - Billing, P.S.; Miller, D.L.; Allen, M.S.; Deschamps, C.; Trastek, V.F.; Pairolero, P.C. Surgical treatment of primary lung cancer with synchronous brain metastases. J. Thorac. Cardiovasc. Surg. 2001, 122, 548–553. [Google Scholar] [CrossRef]
 - Fuentes, R.; Bonfill, X.; Exposito, J. Surgery versus radiosurgery for patients with a solitary brain metastasis from non-small cell lung cancer. Cochrane Database Syst. Rev. 2006, 2006, CD004840. [Google Scholar] [CrossRef] [PubMed]
 - Salvati, M.; Armocida, D.; Pesce, A.; Palmieri, M.; Venditti, E.; D’Andrea, G.; Frati, A.; Santoro, A. No prognostic differences between GBM-patients presenting with postoperative SMA-syndrome and GBM-patients involving cortico-spinal tract and primary motor cortex. J. Neurol. Sci. 2020, 419, 117188. [Google Scholar] [CrossRef]
 - Armocida, D.; Frati, A.; Salvati, M.; Santoro, A.; Pesce, A. Is Ki-67 index overexpression in IDH wild type glioblastoma a predictor of shorter Progression Free survival? A clinical and Molecular analytic investigation. Clin. Neurol. Neurosurg. 2020, 198, 106126. [Google Scholar] [CrossRef]
 - Armocida, D.; Pesce, A.; Di Giammarco, F.; Frati, A.; Salvati, M.; Santoro, A. Histological, molecular, clinical and outcomes characteristics of Multiple Lesion Glioblastoma. A retrospective monocentric study and review of literature. Neurocirugia 2021, 32, 114–123. [Google Scholar] [CrossRef] [PubMed]
 - Armocida, D.; Pesce, A.; Frati, A.; Santoro, A.; Salvati, M. EGFR amplification is a real independent prognostic impact factor between young adults and adults over 45yo with wild-type glioblastoma? J. Neurooncol. 2020, 146, 275–284. [Google Scholar] [CrossRef] [PubMed]
 



| N = 81 Patients | |
|---|---|
| Sex | Male N = 54–66.7% | 
| Female N = 27–33.3% | |
| Age | 62.1 years ± 10.9 | 
| KPS at admission | >70 = 67–82.7% | 
| <70 = 14–17.3% | |
| GPA for 80 pts (1 missing datum) | 3 = 4 pts | 
| 2.5 = 14 pts | |
| 2 = 16 pts | |
| 1.5 = 22 pts | |
| 1 = 22 pts | |
| 0.5 = 2 pts | |
| KPS after surgery (30 d) | >70 = 73–90.1% | 
| <70 = 9–11.1% | |
| KPS at last Evaluation | >70 = 49–60.5% | 
| <70 = 32–39.5% | |
| Dead 68/81 pts at 09/20 | 48 dead | 
| 20 alive | |
| Overall Survival | 15 ± 1.7 months | 
| Volume (cm3) | 14.62 ± 18.5 | 
| Edema Volume (cm3) | 54.21 ± 45.76 | 
| Periventricular | 11 pts–15.1% | 
| Location | Supratentorial = 63–77.8% | 
| Subtentorial = 18–22.2% | |
| Major Lobe involved | Frontal 32 (39.5%)  | 
| Temporal 5 (6.1%)  | |
| Occipital 10 (12.34%)  | |
| Parietal 16 (19.75%)  | |
| Cerebellar 18 (22.22%)  | |
| Side | Left 43 (53.1%)  | 
| Right 36 (44.4%)  | |
| Midline 2 (2.47%)  | |
| Symptoms at onset | Seizures 22 (27.16%)  | 
| Sensory-Motor Dysfunction 34 (41.9%)  | |
| Asymptomatic (follow-up) 25 (30.8%)  | |
| Antiepileptic Profilaxis and Treatment | 43 pts (53.1%) | 
| Post-operative Seizure | 25 pts (30.86%) | 
| Surgical Resection | GTR = 59 (72.84%) | 
| STR = 22 (27.16%) | |
| Morphology of Tumors | Solid = 50 (61.73%) | 
| Cystic = 16 (19.75%) | |
| Hemorragic = 8 (9.87%) | |
| Mixed = 7 (8.6%) | |
| Onset | Synchronous = 49 pts (60.5%) | 
| Metachronous = 32 pts (39.5%) | |
| Extracranial metastases | 5 pts (6.2%) | 
| Immunohystochemical/molecular features | |
| EGFR mutation | Expressed = 56.25% | 
| Not expressed = 43.75% | |
| ALK mutation | Expressed = 17% | 
| Not expressed = 83% | |
| PD-L1 expression with tumor proportion score (TPS) ≥1% | (TPS) ≥1% = 54% of pts | 
| Not Expressed = 46% of pts | |
| Total 81 | EGFR + | EGFR − | p-Value | 
|---|---|---|---|
| N° of cases | 45 | 36 | |
| Age | 61.34 ± 11.11 | 63.1 ± 9 | 1 | 
| Volume (cm3) | 22.38 ± 21.35 | 7.68 ± 6.44 | 0.046 | 
| Edema volume (cm3) | 72.44 ± 60.71 | 31.92 | 0.028 | 
| Clinical debut | |||
| Seizure | 20 | 2 | 0.004 | 
| Sensory-Motor Dysfunction | 16 | 18 | 1 | 
| Asymptomatic (follow-up) | 9 | 16 | 0.41 | 
| Morphology | 1 | ||
| Hemorragic | 25 | 21 | |
| Cistic | 7 | 9 | |
| Solid | 6 | 2 | |
| Mixed | 3 | 4 | |
| Overall Survival | 12 ± 4.3 | 16 ± 6.5 | 0.77 | 
Disclaimer/Publisher’s Note: The statements, opinions and data contained in all publications are solely those of the individual author(s) and contributor(s) and not of MDPI and/or the editor(s). MDPI and/or the editor(s) disclaim responsibility for any injury to people or property resulting from any ideas, methods, instructions or products referred to in the content.  | 
© 2023 by the authors. Licensee MDPI, Basel, Switzerland. This article is an open access article distributed under the terms and conditions of the Creative Commons Attribution (CC BY) license (https://creativecommons.org/licenses/by/4.0/).
Share and Cite
Armocida, D.; Pesce, A.; Palmieri, M.; Cofano, F.; Palmieri, G.; Cassoni, P.; Busceti, C.L.; Biagioni, F.; Garbossa, D.; Fornai, F.; et al. EGFR-Driven Mutation in Non-Small-Cell Lung Cancer (NSCLC) Influences the Features and Outcome of Brain Metastases. J. Clin. Med. 2023, 12, 3372. https://doi.org/10.3390/jcm12103372
Armocida D, Pesce A, Palmieri M, Cofano F, Palmieri G, Cassoni P, Busceti CL, Biagioni F, Garbossa D, Fornai F, et al. EGFR-Driven Mutation in Non-Small-Cell Lung Cancer (NSCLC) Influences the Features and Outcome of Brain Metastases. Journal of Clinical Medicine. 2023; 12(10):3372. https://doi.org/10.3390/jcm12103372
Chicago/Turabian StyleArmocida, Daniele, Alessandro Pesce, Mauro Palmieri, Fabio Cofano, Giuseppe Palmieri, Paola Cassoni, Carla Letizia Busceti, Francesca Biagioni, Diego Garbossa, Francesco Fornai, and et al. 2023. "EGFR-Driven Mutation in Non-Small-Cell Lung Cancer (NSCLC) Influences the Features and Outcome of Brain Metastases" Journal of Clinical Medicine 12, no. 10: 3372. https://doi.org/10.3390/jcm12103372
APA StyleArmocida, D., Pesce, A., Palmieri, M., Cofano, F., Palmieri, G., Cassoni, P., Busceti, C. L., Biagioni, F., Garbossa, D., Fornai, F., Santoro, A., & Frati, A. (2023). EGFR-Driven Mutation in Non-Small-Cell Lung Cancer (NSCLC) Influences the Features and Outcome of Brain Metastases. Journal of Clinical Medicine, 12(10), 3372. https://doi.org/10.3390/jcm12103372
        
