Abstract
This article will discuss the consequences of chronic hyponatremia. In conditions such as cancer, heart failure, liver cirrhosis, or chronic kidney disease, the presence and magnitude of hypotonic hyponatremia are considered to reflect the severity of the underlying disease and are associated with increased morbidity as well as mortality. Hyponatremia can be acute (<48 h) or chronic (>2–3 days). Chronic hyponatremia is associated with attention deficit, dizziness, tiredness, gait disturbance, falls, sarcopenia, bone fractures, osteoporosis, hypercalciuria (in the syndrome of inappropriate antidiuresis—SIADH), and kidney stones. In vitro studies have shown that cells grown in a low concentration of extracellular sodium have a greater proliferation rate and motility. Patients with chronic hyponatremia are more likely to develop cancer. We will not review the clinical consequences of respiratory arrest and osmotic demyelination syndrome (ODS) of the too-late or excessive treatment of hyponatremia.
1. Introduction
About 5% of adults have a serum sodium (SNa) of <135 mEq/L, rising to an incidence of 20% in people over 65 years of age, and can reach even 30% in hospitalized patients [1]. In the cases where the etiology of hyponatremia does not appear to be obviously known, serum osmolality measurements can help to rule out possible non-hypotonic hyponatremia (hyperproteinemia, hyperlipemia, and translocational hyponatremia). We will not discuss non-hypotonic hyponatremia here.
In virtually all common conditions, such as heart failure, liver cirrhosis, cancer, or chronic kidney disease, the presence and magnitude of hypotonic hyponatremia are considered to reflect the severity of the underlying disease and are associated with increased morbidity or mortality [1] (see later).
2. Symptoms of Acute (<48 h) Hyponatremia (and Complications of Its Treatment)
Patients with severe hyponatremia (usually <115–120 mEq/L) are exposed to serious neurological complications. On the one hand, a rapid decrease in serum sodium can cause brain edema, increasing intracranial pressure because of the rigid confines of the skull. If hyponatremia is insufficiently corrected or remains untreated, uncontrolled seizures, non-cardiogenic pulmonary edema, brain herniation, or cardiorespiratory arrest may develop, with major risks of neuropathological sequelae or death [2,3]. On the other hand, excessive correction induces brain dehydration and could be followed by brain demyelinating lesions (central pontine and extrapontine myelinolysis or ODS) [4,5], but we will not discuss this here [5].
3. Asymptomatic Hyponatremia Is Not Really Asymptomatic
We will concentrate on the various well-identified complications for patients with chronic hyponatremia (>48 h).
3.1. Mild Chronic Hyponatremia Is Associated with Unsteadiness and Attention Deficits
Mild chronic hyponatremia may be responsible for falls, especially in elderly people, these probably resulting from attention, posture, and gait impairments [6]. In a previous study we selected 16 patients with chronic hyponatremia (mean SNa of 128 ± 3 mEq/L) and considered to be clinically asymptomatic. These patients did not have complaints and had normal neurologic examinations. At the time, there was no hint to either the patient or the physician that indicated the existence of hyponatremia. All patients had hyponatremia due to the syndrome of inappropriate antidiuresis (SIAD). We performed eight different visual and auditory tests using computerized attention tasks. Patients were seated in a quiet and isolated room in front of a 14-inch computer screen at a viewing distance of 40 to 50 cm. The median response time (on different tests) during hyponatremia was 672 ± 182 msec, and after the normalization of serum sodium it was 615 ± 184 msec, with a highly significant difference of 58 msec (p < 0.001). Moreover, total errors during hyponatremia were increased 1.2-fold (p < 0.001). For comparison, in a study conducted on 10 controls (of similar age and sex) the intake of alcohol (0.55 g/kg body weight) induced an increase in median latency of only 25 msec (p = 0.001). It is evident that these patients with supposedly asymptomatic hyponatremia should not be allowed to drive a car.
In the same study mentioned previously, we also analyzed posture and tandem gait in 12 patients (mean age of 61 ± 12 years) with chronic hyponatremia (SNa of 128 ± 3 mEq/L). Posture and tandem gait parameters were investigated with a pressure-sensitive calibrated platform (Footscan; RS Scan International, Olen, Belgium). This platform evaluated the patients’ balance performance (during hyponatremia) based on the recorded displacement of the center of pressure (see Figure 1).
Figure 1.
Evolution of the total travelled way (TTW) by the center of pressure in the dynamic test (to walk on the platform three stereotyped steps “in tandem”, eyes open) in a 60-year-old patient with mild asymptomatic hyponatremia and after correction. Patient is walking from right to left.
After the normalization of serum sodium, patients were evaluated again. In tandem gait, patients with clinically asymptomatic hyponatremia had large increases in their “total traveled way” (TTW) (from approximately 1 m with normal serum sodium to 1.3 m during hyponatremia). A typical case is presented in Figure 1. As a model of comparison after mild alcohol intake (0.55 g/kg body weight), which is well-known for attention and balance impairment, the TTW in tandem gait increased slightly from approximately 1 to 1.1 msec (n = 10) [6].
3.2. Epidemiology of Falls, Bone Fractures, and Other Symptoms in Patients with Chronic Hyponatremia
In 151 consecutive hyponatremic patients without edema or ascites (mean SNa of 125 ± 5 mEq/L; mean age of 70 ± 14 years) seen in the emergency room and admitted to the medical ward of a general hospital in Brussels, a fall was given as the reason for admission in approximately 23% of the patients [7]. This study only included patients with asymptomatic hyponatremia between 115 and 132 mEq/L (see Figure 2). In another analysis where we excluded patients with suspected acute hyponatremia (polydipsia hyponatremic syndrome and/or the presence of seizures), we found that the frequency of falls was approximately 21% (see Figure 2) in the 122 remaining patients (mean SNa of 126 ± 6 mEq/L). As expected, these patients were considered clinically asymptomatic by the medical staff of the ward. In contrast, in the control group of 244 consecutive patients with a normal serum sodium level, only 13 (5.3%) reported falls as a major complaint [7]. After controlling for sex, age, and other factors known to be associated with falls (e.g., medication), the adjusted odds ratio for falls in patients with hyponatremia was 67 compared with controls [6]. Interestingly, even very mild hyponatremia was associated with a 20% risk of a fall (in 63 consecutive patients with a serum sodium level between 127 and 132, 22% were admitted for a fall); however, except for falls that were not due to seizures, these patients were considered to be asymptomatic. As expected, the increase in the incidence of falls in patients with asymptomatic hyponatremia is also associated with an excess of bone fractures [8,9,10,11,12,13,14,15]. It has been shown that older people are much more affected by attention and postural balance deficit than in younger adults with mild to moderate chronic hyponatremia [16].
Figure 2.
Causes of hyponatremia; number of falls and seizures in 151 consecutive patients without edema or ascites hospitalized via the emergency room. SD: salt depletion; PH: polydypsia; MISC: miscellaneous causes of hyponatremia; S: seizure; F: fall; and SNa: mean serum sodium of the subgroup on admission.
The above being the case, maintaining SNa above 134 mEq/L will likely decrease morbidity associated with falls and attention deficit, especially in elderly patients. In a similar way, the resolution of hyponatremia in the elderly improves neurocognitive (ΔMMSE 1.8 ± 3 vs. 0.7 ± 1.9; p < 0.002) and motor performance (ΔADL 14.3 ± 17.1 vs. 9.8 ± 14.7; p < 0.002) [17]. Chronic hyponatremia, as in SIAD, is also associated with osteoporosis, which may contribute to bone fractures (see later).
The antiseizure medications oxcarbamazepine (OXC) and carbamazepine (CBZ) are frequently prescribed for the pharmacological treatment of focal epilepsy as well as for trigeminal neuralgia and bipolar disorders, and these medications are known for inducing hyponatremia. A recent article compares the symptoms related to mild hyponatremia with those in normonatremia (see Table 1). Dizziness, tiredness, instability, diplopia, falls, nausea, vomiting, and an increased frequency of seizures were reported more often in the hyponatremic group than in patients with normal serum sodium [18]. On the one hand, the risk of falls can be attributed to impairments in attention, and on the other hand to gait disturbances. Nerve conduction velocity (NCV) is known to be affected by hyponatremia [19]. The slowing in nerve conduction velocity reflects a reversible functional alteration in nerve impulse generation and propagation; given the role of extracellular sodium in this process we believe that the slowing of NCV plays a significant role in gait disturbances, together with the cerebellar ataxia and attention deficits induced by hyponatremia. This has recently been shown in a rat model of SIADH [20]. During the physiological process of aging, a decrease in nerve conduction velocity and sensory amplitude has been well-documented (about 1 m/s per decade) [21]. This could contribute to the greater sensitivity of the elderly to hypotonic hyponatremia, especially in the gait tests (longer axons conducting more slowly [19,20]).
Table 1.
Frequency of some symptoms related to hyponatremia between 128 and 134 mEq/L (n = 254) compared to patients with normonatremia (SNa > 134 mEq/L) (n = 300). All of the patients are treated with carbamazepine (CBZ) or oxycarbamazepine (OXC) (adapted from ref. [13]).
In a case–control study of 513 cases of bone fracture after incidental falls in ambulatory patients aged 65 or older [8], the prevalence of hyponatremia in patients with bone fractures and controls was, respectively, 13% and 3.9%. In this study, hyponatremia was mild (mean SNa of 131 mEq/L) and asymptomatic.
It must be noted that hyponatremia was either drug-induced (36% diuretic, 17% selective serotonin re-uptake inhibitors, and idiopathic SIAD in 37%). Hyponatremia was associated with 9.2% of all bone fractures. Avoiding iatrogenic hyponatremia or treating hyponatremia likely may decrease the number of bone fractures in this population. A recent study shows that correction of hyponatremia in hospitalized patients with SIAD might have a positive impact on osteoblast function [13].
3.3. Sarcopenia
Chronic hyponatremia (>1 month) is also associated with a decrease in food intake [22,23] and sarcopenia [23,24,25]. In these studies, patients were included only if it was certain that hyponatremia had existed for at least more than one month (for most of these patients hyponatremia had been present for many months (but not treated)). Gait instability and falls, as described above, could contribute to less physical activity and an ensuing loss in muscle mass (sarcopenia). As a possible consequence, a more sedentary lifestyle could also decrease the need for calorie intake, explaining the lower urine solute output in patients with chronic SIADH [23,25]. We also know that sarcopenia contributes to osteoporosis [26]. In many patients with low creatininuria (reflecting sarcopenia), the long-term treatment of hyponatremia reverses these abnormalities [27].
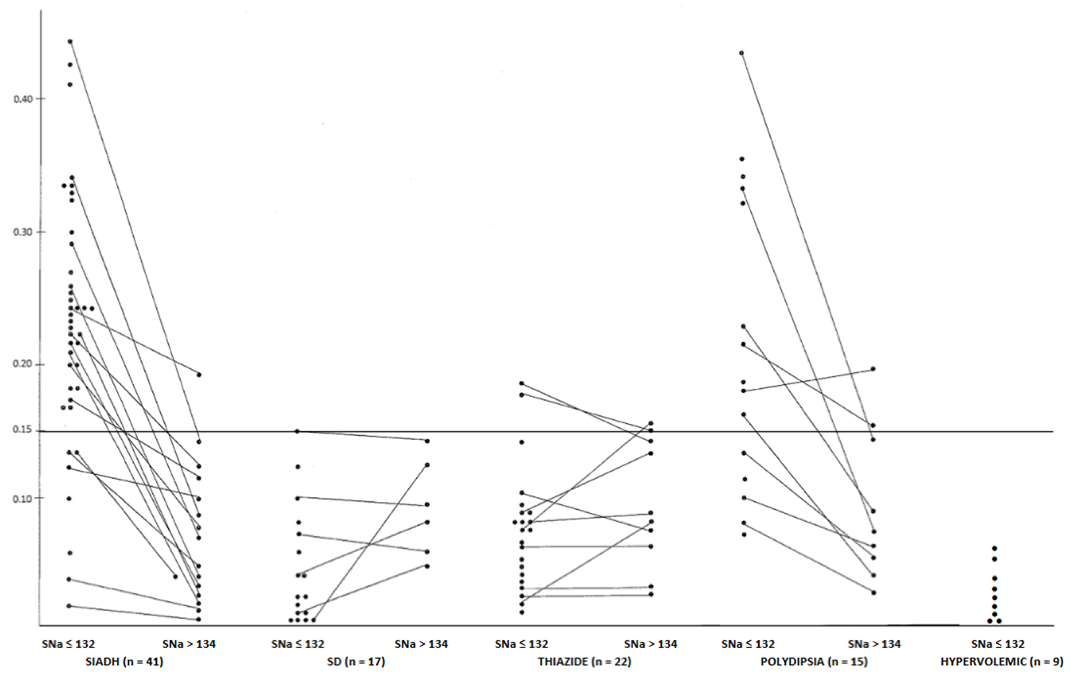
3.4. Osteoporosis and Hypercalciuria
Chronic hyponatremia is well-known to be associated with osteoporosis and bone fractures [28]. This osteoporosis was first shown in rats [29]. Many factors contribute to this complication. A direct effect of low SNa on in vitro bone composition has been shown to be a result of the activation of the osteoclasts [30]. Chronic hyponatremia is usually associated with an increase in ADH, and this could also stimulate bone resorption as both receptors for V1 and V2 have been described on the osteoclasts [31]. The two AVP receptors, AVPr1α and AVPr2, are expressed in osteoblasts as well as osteoclasts enhancing and reducing, respectively, the formation of bone-resorbing osteoclasts and bone-forming osteoblast [31]. Hypercalciuria is observed in hyponatremia, secondary to SIADH and attributed to the increase in effective volemia [32,33]. In idiopathic hypercalciuria osteoporosis is reported [34], and a recent article has shown that chronic hyponatremia is associated with a higher risk of kidney stones [35]. Figure 3 shows the high calciuria (represented by the UCa/UCr ratio) in patients with hyponatremia secondary to SIAD [36].
Figure 3.
Evolution of the UCa/UCr ratio before and after the correction of hyponatremia of different origins (the horizontal line represents the upper normal limit obtained in adults before breakfast) (adapted from ref. [36] with the permission of the authors).
3.5. Excess Mortality in Chronic Hyponatremia
Hyponatremia of different origins is associated with a significant increase in the length of stay in a hospital, meaning increased costs [37]. Most importantly, it has been shown that hyponatremia is associated with an increased risk of mortality, even in patients with slightly reduced serum sodium concentrations [37,38,39]. Several studies have found that the association between serum sodium concentration and mortality in hospitalized patients is nonlinear. Patients with reduced serum sodium concentration have an increased risk of mortality (around 30–40%) [40,41].
There is also convincing evidence that mortality risk is reduced when hyponatremia improves [42].
3.6. Hyponatremia and Cancer
Many studies have shown that overall survival in different cancer types is negatively affected by hyponatremia, whereas the correction of serum sodium has a positive effect on a patient’s outcome [42]. A large retrospective study conducted in a Danish population has shown that chronic hyponatremia is associated with a higher risk of developing a neoplasm [43]. In vitro studies have shown that cells grown in a low concentration of extracellular sodium have greater motility and proliferation, due to a dysregulation in intracellular pathways [44]. In addition, vaptans have also been shown to have antiproliferative properties [45].
4. Conclusions
Treating hyponatremia will avoid multiple morbidities, such as unsteadiness, attention deficit, falls, and bone fractures. It will improve neurocognitive and motor performance in the elderly. It will prevent osteoporosis, hypercalciuria, and kidney stones. Treating hyponatremia will decrease the length of hospital stays and decrease hospital costs. There is also convincing evidence that mortality risk is reduced when hyponatremia is corrected. The treatment of hyponatremia associated with cancer will have a positive impact on patient survival.
Funding
This research received no external funding.
Institutional Review Board Statement
Not Applicable.
Informed Consent Statement
Not Applicable.
Data Availability Statement
Not Applicable.
Conflicts of Interest
The authors declare no conflict of interest.
References
- Verbalis, J.G. Hyponatremia and hypoosmolar disorders. In National Kidney Foundation’s Primer on Kidney Diseases, 4th ed.; Gilbert, S.J., Weiner, D.E., Eds.; Elseiver: Amsterdam, The Netherlands, 2018; pp. 68–76. [Google Scholar]
- Arieff, A.I. Hyponatremia, convulsions, respiratory arrest and permanent brain damage after elective surgery in healthy women. N. Engl. J. Med. 1986, 314, 1529–1535. [Google Scholar] [CrossRef] [PubMed]
- Ayus, J.C.; Wheeler, J.M.; Arieff, A.I. Postoperative hyponatremic encephalopathy in menstruant woman. Ann. Intern. Med. 1992, 117, 891–897. [Google Scholar] [CrossRef]
- Sterns, R.H.; Riggs, J.E.; Schochet, S.S. Osmotic demyelination syndrome following correction of hyponatremia. N. Engl. J. Med. 1986, 314, 1535–1541. [Google Scholar] [CrossRef]
- Gankam Kengne, F.; Decaux, G. Hyponatremia and the brain. Kidney Int. Rep. 2017, 3, 24–35. [Google Scholar] [CrossRef]
- Renneboog, B.; Musch, W.; Vandemergel, X.; Manto, M.U.; Decaux, G. Mild chronic hyponatremia is associated with falls, unsteadiness and attention deficits. Am. J. Med. 2006, 119, 571–578. [Google Scholar] [CrossRef] [PubMed]
- Musch, W.; Xhaet, O.; Heldeshi, A.; Decaux, G. Fall is a frequent motif of admission in patients with chronic hyponatremia (Abstract). J. Am. Soc. Nephrol. 2003, 14, 748. [Google Scholar]
- Gankam Kengne, F.; Andres, C.; Sattar, L.; Melot, C.; Decaux, G. Mild hyponatremia and risk of fracture in the ambulatory elderly. Q. J. Med. 2008, 101, 583–588. [Google Scholar] [CrossRef] [PubMed]
- Kinsella, S.; Moran, S.; Sullivan, M.O.; Molloy, M.G.; Eustace, J.A. Hyponatremia independent of osteoporosis is associated with fracture occurrence. Clin. J. Am. Soc. Nephrol. 2010, 5, 275–280. [Google Scholar] [CrossRef]
- Sandhu, H.S.; Gilles, E.; DeVita, M.V.; Panagopoulos, G.; Michelis, M.F. Hyponatremia associated with large-bone fracture in elderly patients. Intern Urol. Nephrol. 2009, 41, 733–737. [Google Scholar] [CrossRef]
- Corona, G.; Norello, D.; Parenti, G.; Sforza, A.; Maggi, M.; Peri, A. Hyponatremia, fall and bone fractures: A systematic review and meta-analysis. Clin. Endocrinol. 2018, 89, 505–513. [Google Scholar] [CrossRef]
- Hoorn, E.J.; Rivadeneira, F.; van Meurs, J.B.; Ziere, G.; Stricker, B.H.; Hofman, A.; Pols, H.A.; Zietse, R.; Uitterlinden, A.G.; Zillikens, M.C. Mild hyponatremia as a risk factor for fractures: The Rotterdam study. J. Bone Miner. Res. 2011, 26, 1822–1828. [Google Scholar] [CrossRef] [PubMed]
- Potasso, L.; Refardt, J.; Meier, C.; Christ-Crain, M. Effect of hyponatremia normalization on osteoblast function in patient with SIAD. Eur. J. Endocrinol. 2022, 186, 1–8. [Google Scholar] [CrossRef] [PubMed]
- Ayus, J.C.; Fuentes, N.A.; Negri, A.L.; Moritz, M.L.; Giunta, D.H.; Kalantar-Zadeh, K.; Nigwekar, S.U.; Thadhani, R.I.; Go, A.S.; De Quiros, F.G.B. Mild prolonged chronic hyponatremia and risk of hip fracture in the elderly. Nephrol. Dial. Transplant. 2016, 31, 1662–1669. [Google Scholar] [CrossRef]
- Ahamed, S.; Anpalahan, M.; Savvas, S.; Gibson, S.; Torres, J.; Janus, E. Hyponatremia in older medical patients: Implications for fall and adverse outcomes of hospitalization. Intern. Med. J. 2014, 44, 991–997. [Google Scholar] [CrossRef] [PubMed]
- Renneboog, B.; Sattar, L.; Decaux, G. Attention and postural balance are much more affected in older than younger adults with mild or moderate chronic hyponatremia. Eur. J. Intern. Med. 2017, 41, e25–e26. [Google Scholar] [CrossRef] [PubMed]
- Brinkkoetter, P.T.; Grundmann, F.; Ghassabeh, P.J.; Becker, I.; Johnsen, M.; Suaréz, V.; Schulz, R.-J.; Streichert, T.; Burst, V. Impact of resolution of hyponatremia on neurocognitive and motor performance in geriatric patients. Sci. Rep. 2019, 9, 12526. [Google Scholar] [CrossRef]
- Berghuis, B.; Hulst, J.; Sonsma, A.; McCormack, M.; de Haan, G.; Sander, J.W.; Lindhout, D.; Koeleman, B.P.C. Symptomatology of carbamazepine and oxcarbazepine-induced hyponatremia in people with epilepsy. Epilepsia 2021, 62, 778–784. [Google Scholar] [CrossRef]
- Vandergheynst, F.; Gombeir, Y.; Bellante, F.; Perrotta, G.; Remiche, G.; Mélot, C.; Mavroudakis, N.; Decaux, G. Impact of hyponatremia on nerve conduction and muscle strength. Eur. J. Clin. Invest. 2016, 46, 328–333. [Google Scholar] [CrossRef]
- Fujisawa, H.; Sugimura, Y.; Takagi, H.; Mizoguchi, H.; Takeuchi, H.; Izumida, H.; Nakashima, K.; Ochiai, H.; Takeuchi, S.; Kiyota, A.; et al. Chronic hypontremia causes neurological and psychological impairments. J. Am. Soc. Nephrol. 2015. [Google Scholar] [CrossRef]
- Stetson, D.; Alberts, J.W.; Silverstein, B.A.; Wolfe, R.A. Effects of age, sex and anthropometric factors on nerve conduction measures. Muscle Nerve 1992, 15, 1095–1104. [Google Scholar] [CrossRef]
- Decaux, G.; Musch, W.; Gankam Kengue, F. Low-solute in chronic asymptomatic hyponatremia related to SIADH: Think about food beyond water intake. Nephrol. Dial. Transplant. 2020, 35, 2013–2014. [Google Scholar] [CrossRef]
- Decaux, G. Measurement of urinary-creatinine in chronic SIADH can be used to estimate solute and fluid intake. Nephrol. Dial. Transplant. 2021, 36, 1551–1553. [Google Scholar] [CrossRef] [PubMed]
- Barsony, J.; Manigrasso, M.B.; Xu, Q.; Tam, H.; Verbalis, J.G. Chronic hyponatremia exacerbation multiple manifestations of senescence in males rats. Age 2013, 35, 271–288. [Google Scholar] [CrossRef] [PubMed]
- Fujisawa, C.; Umegaki, H.; Sugimoto, T.; Samizo, S.; Huang, C.H.; Fujisawa, H.; Sugimura, Y.; Kuzuya, M.; Toba, K.; Sakurai, T. Mild hyponatremia is associated with low skeletal muscle mass, physical function impairrment, and depressive mood in the elderly. BMC Geriatr. 2021, 36, 1551–1553. [Google Scholar]
- Wu, C.-H.; Yang, K.-C.; Chang, H.-H.; Yen, J.-F.; Tsai, K.-S.; Huang, K.-C. Sarcopenia is related to increased risk for low bone mineral density. J. Clin. Densitom. 2013, 16, 98–103. [Google Scholar] [CrossRef]
- Decaux, G. Low creatininuria due to hyponatremia is reversible in many patients. Nephron 2002, 146, 40–44. [Google Scholar] [CrossRef]
- Usala, R.L.; Fernandez, S.J.; Mete, M.; Cowen, L.; Shara, N.M.; Barsony, J.; Verbalis, J.G. Hyponatremia is associated with increased osteoporosis and bone fractures in a large US health system population. J. Clin. Endocrinol. Metab. 2015, 100, 3021–3031. [Google Scholar] [CrossRef] [PubMed]
- Verbalis, J.G.; Barsony, J.; Sugimura, Y.; Tian, Y.; Adams, D.J.; Carter, E.A.; Resnick, H.E. Hyponatremia-induced osteoporosis. J. Bone Miner. Res. 2010, 25, 554–563. [Google Scholar] [CrossRef] [PubMed]
- Barsony, J.; Verbalis, J.G.; Sugimura, Y. Osteoclast response to low extracellular sodium and the mechanisms of hyponatremia-induced bone loss. J. Biol. Chem. 2011, 286, 10864–10875. [Google Scholar] [CrossRef]
- Tamma, R.; Sun, L.; Cuscito, C.; Lu, P.; Corcelli, M.; Li, J.; Colaianni, G.; Moonga, S.S.; Di Benedetto, A.; Grano, M.; et al. Regulation of bone remodeling by vasopressin explains the bone loss in hyponatremia. Proc. Natl. Acad. Sci. USA 2013, 110, 18644–18649. [Google Scholar] [CrossRef]
- Decaux, G.; Van Laethem, Y.; Vankuyck, M.; Mockel, J. Hypercalciuria in the syndrome of inappropriate secretion of antidiuretic hormone. Miner. Electrolyte Metab. 1982, 7, 192–196. [Google Scholar] [PubMed]
- Grellier, J.; Jaafar, A.; Martin, A.; El Alaoui, M.; Lebely, C.; Tack, I.; Vallet, M. Syndrome of inappropriate anti-diuresis induces volume-dependent hypercalciuria. Osteoporos. Int. 2017, 28, 3161–3168. [Google Scholar] [CrossRef] [PubMed]
- Zerwekh, J.E. Bone disease and idiopathic hypercalciuria. Sem. Nephrol. 2008, 28, 133–142. [Google Scholar] [CrossRef] [PubMed]
- Tominaga, N.; Fernandez, S.J.; Mete, M.; Shara, N.M.; Verbalis, J.G. Hyponatremia and the risk of kidney stones: A matched case-control study in a large US health system. PLoS ONE 2018, 13, e0203942. [Google Scholar] [CrossRef]
- Decaux, G.; Musch, W. The urine calcium/creatinine ratio and uricemia during hyponatremia of different origins: Clinical implications. J. Clin. Med. 2023, 12, 723. [Google Scholar] [CrossRef]
- Peri, A. Morbidity and mortality of hyponatremia. Front. Horm. Res. 2019, 52, 36–48. [Google Scholar]
- Hoorn, E.J.; Zietse, R. Hyponatremia and mortality: Moving beyond associations. Am. J. Kidney Dis. 2013, 62, 139–149. [Google Scholar] [CrossRef]
- Gankam-Kengne, F.; Ayers, C.; Khera, A.; De Lemos, J.; Maalouf, N.M. Mild hyponatremia is associated with an increased risk of death in an ambulatory setting. Kidney Int. 2013, 83, 700–706. [Google Scholar] [CrossRef]
- Waikar, S.S.; Mount, D.B.; Cirhan, G.C. Mortality after hospitalization with mild, moderate and severe hyponatremia. Am. J. Med. 2009, 122, 857–865. [Google Scholar] [CrossRef]
- Holland-Bill, L.; Christiansen, C.F.; Heide-Jørgensen, U.; Ulrichsen, S.P.; Ring, T.; Jørgensen, J.O.L.; Sørensen, H.T. Hyponatremia and mortality risk: A Danish Cohort Study of 279508 Acutely hospitalized patients. Eur. J. Endocrinol. 2015, 137, 71–81. [Google Scholar] [CrossRef]
- Corona, G.; Giuliani, C.; Verbalis, J.G.; Forti, G.; Maggi, M.; Peri, A. Hyponatremia improvement is associated with a reduced risk of mortality: Evidence from a meta-analysis. PLoS ONE 2015, 10, e0124105. [Google Scholar] [CrossRef] [PubMed]
- Selmer, C.; Madsen, J.C.; Torp-Pedersen, C.; Gislason, G.H.; Faber, J. Hyponatremia, all-cause mortality and risk of cancer diagnosis in the primary care setting: A large population study. Eur. J. Intern. Med. 2016, 36, 36–43. [Google Scholar] [CrossRef] [PubMed]
- Benvenuti, S.; Deledda, C.; Luciani, P.; Modi, G.; Bossio, A.; Giuliani, C.; Fibbi, B.; Peri, A. Low extracellular sodium causes neuronal distress independly of reduced osmolality in an experimental model of chronic hyponatremia. Neuromolecular Med. 2013, 15, 493–503. [Google Scholar] [CrossRef] [PubMed]
- Marroncini, G.; Anceschi, C.; Naldi, L.; Fibbi, B.; Baldanzi, F.; Martinelli, S.; Polvani, S.; Maggi, M.; Peri, A. Low sodium and tolvaptan have opposite effects in human Small Cell Lung Cancer. Mol. Cell. Endocrinol. 2021, 537, 111419. [Google Scholar] [CrossRef] [PubMed]
Disclaimer/Publisher’s Note: The statements, opinions and data contained in all publications are solely those of the individual author(s) and contributor(s) and not of MDPI and/or the editor(s). MDPI and/or the editor(s) disclaim responsibility for any injury to people or property resulting from any ideas, methods, instructions or products referred to in the content. |
© 2023 by the author. Licensee MDPI, Basel, Switzerland. This article is an open access article distributed under the terms and conditions of the Creative Commons Attribution (CC BY) license (https://creativecommons.org/licenses/by/4.0/).


