Abstract
Background/Objectives: Indoxyl sulfate, a uremic toxin, is associated with mortality and cardiovascular events in patients with chronic kidney disease (CKD). This study aimed to evaluate the prognostic implications of serum indoxyl sulfate levels in patients with heart failure and CKD. Methods and Results: This was a prospective multicenter observational study. Overall, 300 patients with chronic heart failure with a previous history of hospitalization and an estimated glomerular filtration rate (eGFR) of 45 mL/min/1.73 m2 or less (CKD stage G3b to G5) without dialysis were analyzed. The primary outcome assessed in a time-to-event analysis from the measurement of indoxyl sulfate was a composite of all-cause death, hospitalization for heart failure, nonfatal myocardial infarction, and nonfatal stroke. Clinical events were followed-up to one year after indoxyl sulfate measurement. The median patient age was 75 years, and 57% of the patients were men. We divided the cohort into low and high indoxyl sulfate categories according to a median value of 9.63 mg/mL. The primary outcome occurred in 27 of 150 patients (18.0%) in the low indoxyl sulfate group and 27 of 150 patients (18.0%) in the high indoxyl sulfate group (hazard ratio, 1.00; 95% confidence interval, 0.58 to 1.70, p = 0.99). In the post hoc exploratory analyses, the results were consistent across age, sex, body mass index, left ventricular ejection fraction, eGFR, and N-terminal pro b-type natriuretic peptide. Conclusions: Among heart failure patients with CKD stages G3b to 5G, serum indoxyl sulfate concentrations were not significantly associated with the subsequent occurrence of cardiovascular events.
1. Introduction
The heart and kidneys are closely related to the establishment of homeostasis, regulating the circulating blood volume and vascular resistance to maintain adequate blood flow throughout the body. Recently, the bidirectional cross-talk of chronic kidney disease (CKD) and cardiovascular disease has gained widespread recognition, leading to the proposal of cardiorenal syndrome [1,2]. In patients with CKD, there is a systemic accumulation of uremic toxins due to renal excretory dysfunction, affecting various organs, including the kidney and the heart [3]. Indoxyl sulfate, a uremic toxin [4], is known to exert profibrotic, prohypertrophic, and proinflammatory effects in vitro studies [5]. Moreover, indoxyl sulfate is an independent predictor of atherosclerotic cardiovascular events [6] and all-cause mortality [7] in patients with CKD.
Plasma indoxyl sulfate concentrations are higher in patients with heart failure than in healthy individuals without heart failure [8]. Additionally, two previous studies have demonstrated an independent association between indoxyl sulfate levels and the composite of cardiac death or hospitalization for heart failure among patients with chronic heart failure [9,10]. However, as both were retrospective, single-center, observational studies, a prospective multicenter study is needed to validate the predictive value of indoxyl sulfate levels for mortality and cardiovascular events in patients with heart failure. Consequently, this study aimed to prospectively evaluate the association between serum indoxyl sulfate levels and a composite of all-cause death, hospitalization for heart failure, nonfatal myocardial infarction, and nonfatal stroke.
2. Methods
2.1. Study Population
Eligible participants included ambulatory patients who were aged 20 years or older and younger than 85 years, had chronic heart failure with a previous history of hospitalization, and had an estimated glomerular filtration rate (eGFR) of 45 mL/min/1.73 m2 or less (CKD stage G3b to G5) [11]. The exclusion criteria were as follows: history of hospitalization for heart failure within 30 days, treatment with oral spherical carbonaceous adsorbent, undergoing dialysis, diagnosis of nephrotic syndrome, diagnosis of polycystic kidney disease, life expectancy of less than one year, pregnant. Clinical events were followed-up to one year after indoxyl sulfate measurement.
2.2. Data Collection and Echocardiography
Baseline characteristics information, including age, sex, previous medical histories, medications, smoking status, alcohol status, blood pressure, heart rate, New York Heart Association classification, complete blood count, biochemistry, left ventricular ejection fraction (LVEF), left ventricular diastolic diameter, left ventricular systolic diameter, interventricular septal thickness, posterior wall thickness, left atrial diameter, e’, E/e’, and tricuspid regurgitation pressure gradient, was collected at a local hospital. Blood samples for indoxyl sulfate measurements were collected at baseline and sent to a core laboratory.
2.3. Measurement of Indoxyl Sulfate
Blood samples were collected from patients upon registration in the outpatient department. Laboratory values were determined at the central laboratory in each hospital. Residual serum was separated and stored at −80°. Indoxyl sulfate was measured using the enzyme method (NIPRO Corporation, Osaka, Japan) at the core laboratory of Okayama University, as previously described [12,13]. Briefly, sulfatase converted indoxyl sulfate to indoxyl. The generated indoxyl reacted with the tetrazolium salt to produce formazan, and the level of indoxyl sulfate was calculated according to the change in absorbance at 450 nm caused by the generated formazan.
2.4. Definition of Outcome
The primary outcome, assessed using a time-to-event analysis of indoxyl sulfate measurements, was a composite of all-cause death, hospitalization for heart failure, nonfatal myocardial infarction, and nonfatal stroke. Secondary outcomes included all-cause death, hospitalization for heart failure, nonfatal myocardial infarction, nonfatal stroke, and renal composite outcomes. The renal composite outcome was defined as a composite of renal replacement therapy, renal transplantation, and initiation of oral spherical carbonaceous adsorbent. The outcome data were adjudicated using an independent data monitoring board.
2.5. Sample Size Calculation
A previous study showed that the annual incidence of hospitalization for heart failure in patients with dilated cardiomyopathy was approximately 30% for the entire cohort [9]. Another study showed that the event rates, including all-cause death or hospitalization in patients with heart failure, were almost 50% in those with an eGFR of less than 30 mL/min/1.73 m2 and 30% in those with an eGFR of 30 to 50 mL/min/1.73 m2 at one year [14]. Taken together, we hypothesized that the incidence of the primary outcome in the high and low indoxyl sulfate groups would be 35% and 20%, respectively, when the study cohort was divided into two groups based on the median value of indoxyl sulfate. Using a two-sided paired test for differences, a minimum sample size of 284 patients was required to detect statistically significant differences in the primary outcome with a power of 80% and an α-type error of 5%. Assuming a dropout rate of 10%, the target sample size was 312.
2.6. Statistical Analysis
All statistical analyses were performed using R version 4.1.2. The study cohort was divided into two groups based on the median value of indoxyl sulfate. Categorical and continuous variables are described as frequencies (%) and medians with interquartile ranges (IQR), respectively. The distribution of each continuous variable was assessed using histograms. Continuous and categorical variables were compared using the Mann–Whitney U and chi-squared tests, respectively. Follow-up time was calculated using the Kaplan–Meier estimate of potential follow-up, and log-rank tests were used to compare clinical outcomes according to the indoxyl sulfate categories. The primary and secondary outcomes were assessed using a univariate Cox regression proportional hazards model. The following subgroups were analyzed for the following primary outcome: age (<median, ≥median), sex, body mass index (<median, ≥median), left ventricular ejection fraction (LVEF) category (LVEF < 40%, LVEF ≥ 40%), eGFR (median, ≥median), and NT-proBNP (<median, ≥median). The proportionality assumptions of the Cox regression models were evaluated using log–log survival curves. Multiple imputations were used to handle missing data. Statistical significance was set at p < 0.05.
3. Results
Overall, 312 patients at eight sites were enrolled between 1 April 2019, and 30 September 2020. Of these, 18 patients were excluded: 3 patients for duplicate registration, 2 patients who did not meet the eligibility criteria, 11 patients for no indoxyl sulfate measurements, and 2 patients for withdrawal of consent. The data from these 300 patients were included in the final analysis. We divided the cohort into low and high indoxyl sulfate categories according to a median value of 9.63 mg/mL.
Table 1 presents the demographic and baseline characteristics of the two groups. The median patient age was 75 years, and 57% of the patients were men. A total of 64 patients (21%) patients had ischemic heart disease. The median LVEF was 45%, and 121 patients (41%) had an LVEF of <40%. The median eGFR was 34 mL/min/1.73 m2. The median indoxyl sulfate values in the low and high groups were 5.85 mg/mL and 14.65 mg/mL. There were no significant differences between the low and high indoxyl sulfate groups, except for a history of diabetes mellitus (p = 0.01) and eGFR (p < 0.001).
Table 1.
Baseline demographic and clinical characteristics.
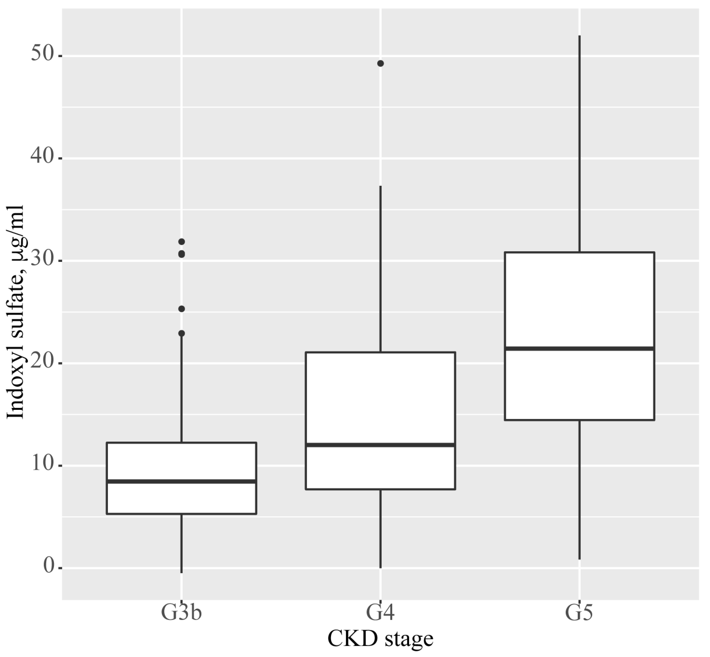
As described in Figure 1, the median indoxyl sulfate levels in each CKD stage were 8.46 mg/mL (IQR 5.30 to 12.24 mg/mL) in stage G3b, 12.02 mg/mL (IQR 7.40 to 21.06 mg/mL) in stage G4, and 21.43 mg/mL (IQR 14.45 to 30.83 mg/mL) in stage G5.
Figure 1.
Serum levels of indoxyl sulfate in each CKD stage. The serum levels of indoxyl sulfate are illustrated in CKD stage G3b (eGFR: 30–45 mL/min/1.73 m2), stage G4 (eGFR: 15–30 mL/min/1.73 m2), and stage G5 (eGFR: <30 mL/min/1.73 m2). Abbreviations: CKD, chronic kidney disease; eGFR, estimated glomerular filtration rate.
The primary outcome occurred in 27 of 150 patients (18.0%) in the low indoxyl sulfate group and 27 of 150 patients (18.0%) in the high indoxyl sulfate group (hazard ratio, 1.00; 95% confidence interval [CI], 0.58 to 1.70, p = 0.99), as described in Figure 2 and Table 2. In the post hoc exploratory analyses, the results were consistent across a wide variety of subgroups (Figure 3). The receiver operating characteristic curve analysis for the primary outcome revealed that the area under the curve was 0.53 (95%CI: 0.44 to 0.62). Further analysis of the secondary outcomes was not performed because only one renal composite outcome was documented.
Figure 2.
The primary and key secondary outcomes in each indoxyl sulfate group. The event-free survival curves based on the Kaplan–Meier estimator in each indoxyl sulfate group for (a) the primary outcome, (b) all-cause death, (c) hospitalization for heart failure, and (d) nonfatal stroke. Abbreviations: HR, hazard ratio; 95%CI, 95% confidece interval.
Table 2.
The primary and secondary outcomes in each indoxyl sulfate group.
Figure 3.
Forest plot of the primary outcome by subgroups. HR, hazard ratio; LVEF, left ventricular ejection fraction; NT-proBNP, N-terminal pro-B-type natriuretic peptide; 95%CI, 95% confidence interval.
The primary outcome was a composite of all-cause death, nonfatal myocardial infarction, nonfatal stroke, and hospitalization for heart failure. The renal composite outcome was a composite of dialysis, renal transplantation, and initiation of oral spherical carbonaceous adsorbent administration.
4. Discussion
This prospective, multicenter, observational study demonstrated that serum indoxyl sulfate concentrations were not significantly associated with the composite of all-cause death, hospitalization for heart failure, nonfatal myocardial infarction, or nonfatal stroke in patients with heart failure and CKD. In the post hoc exploratory analyses, the relationship between serum indoxyl sulfate levels and primary outcomes was consistent across various subgroups in the study cohort. Additionally, there were no significant differences between the low and high indoxyl sulfate groups in terms of echocardiographic functional parameters.
The findings of the current study are not consistent with those of previous retrospective, single-center studies [9,10], which reported a significant independent association between indoxyl sulfate levels and the composite of cardiac death or hospitalization for heart failure and a significant association between indoxyl sulfate levels and echocardiographic cardiac functions. There were several differences between the current study and the two previous studies. Firstly, as the current study targeted patients with heart failure with CKD stages G3b to G5, the eGFR of the study cohort was lower than that of the patients in the previous two studies. The relationship between indoxyl sulfate and clinical outcomes in the early stages of CKD may differ from that observed in our cohort. Secondly, the previous studies enrolled patients who were discharged after treatment for heart failure, whereas our study recruited stable outpatients with a history of heart failure. This difference in patient condition could have affected the association between circulating indoxyl sulfate and clinical outcomes. Finally, this was a prospective, multicenter study. Because previous evidence was limited to single-center, retrospective studies, the results of the present study are considered informative.
Among patients with CKD without heart failure, several studies have indicated a significant association between indoxyl sulfate levels and all-cause death or atherosclerotic cardiovascular diseases [4,6,7]. Although the current study was designed to evaluate a composite outcome, including atherosclerotic cardiovascular disease, the sample size was insufficient to evaluate the effects of indoxyl sulfate on each component of the primary outcome. Our study cohort included only 21% of patients with prior ischemic heart disease at baseline, and two cases of stroke and no myocardial infarction were documented. A patient background of a low risk of atherosclerotic cardiovascular disease may be associated with a low event rate.
Determining whether indoxyl sulfate levels have prognostic biomarker value in heart failure beyond the influence of renal dysfunction is crucial because indoxyl sulfate levels are highly affected by renal function, which is one of the strongest prognostic predictors of clinical outcomes in heart failure [15]. Unfortunately, the findings of the current study did not indicate the value of indoxyl sulfate as a prognostic biomarker. However, it is also important to determine whether interventions to lower indoxyl sulfate levels are beneficial in patients with heart failure or CKD. A small randomized, double-blind, placebo-controlled trial in patients with CKD demonstrated that AST-120, an oral spherical carbonaceous adsorbent, decreased serum indoxyl sulfate levels in a dose-dependent fashion [16]. Moreover, AST-120 administration ameliorated vascular dysfunction in CKD mice models [17]. Further studies are needed to elucidate whether interventions targeted at reducing indoxyl sulfate levels are beneficial in patients with heart failure or CKD.
The subgroup analysis in the current study showed that LVEF did not affect the association between indoxyl sulfate levels and the primary outcome. However, Shimazu et al. reported that serum indoxyl sulfate level was a significant predictor of cardiac events in patients with dilated cardiomyopathy. The reason for this discrepancy remains unclear; however, further investigation is required to ascertain whether indoxyl sulphate has a distinct prognostic impact based on the LVEF.
This study has some limitations. Firstly, the event rate in this study was lower than anticipated. However, as the difference between the expected and actual one-year event rate in the low-indoxyl sulfate group was only 2% (expected 20% vs. actual 18%), the influence of the primary analysis was limited. Secondly, since the follow-up period of the current study was one year, the effects of indoxyl sulfate on clinical outcomes beyond one year are unknown. An enzymatic method was used to evaluate indoxyl sulfate concentrations in the current study. Although high-performance liquid chromatography is the gold standard, enzymatic methods have been reported to correlate well with high-performance liquid chromatography [12,13]. However, we could not exclude the influence of the indoxyl sulfate measurement method. Finally, the use of SGLT2 inhibitors was only 18% in this study; SGLT2 inhibitors have been shown to improve prognosis in patients with heart failure [18]. Therefore, it remains uncertain whether indoxyl sulfate can serve as a biomarker for prognosis in patients with CKD with heart failure under modern guideline-directed medical therapy. Further studies are necessary to elucidate this.
5. Conclusions
Among patients with heart failure with CKD stages G3b to 5G, serum indoxyl sulfate concentrations were not significantly associated with the subsequent occurrence of the composite of all-cause death, hospitalization for heart failure, nonfatal myocardial infarction, and nonfatal stroke.
Author Contributions
Conceptualization, T.M. and H.I.; methodology, T.M.; formal analysis, K.I.; investigation, C.U., S.S., Y.K., S.F., M.D., A.T., T.O. and N.T.; writing—original draft preparation, K.I.; writing—review and editing, T.M., C.U., S.S., Y.K., S.F., M.D., A.T., T.O. and H.I. funding acquisition, H.I. All authors have read and agreed to the published version of the manuscript.
Funding
This research was funded by KUREHA Corporation (Tokyo, Japan).
Institutional Review Board Statement
This study was a prospective, multicenter, observational study (UMIN Clinical Trials Registry ID: UMIN000035850). From 1 April 2019 to 30 September 2020, a total of 312 eligible patients were screened from 8 sites (Okayama University Hospital, Okayama City Hospital, Okayama Red Cross Hospital, Iwakuni Medical Center, Kagawa Prefectural Central Hospital, Mitoyo General Hospital, Tsuyama Central Hospital, Ibara City Hospital). The study protocol was approved by the Institutional Review Board of Okayama University Hospital (IRB number: 1902-033, Approval date: 1 April 2019), and the trial was conducted in accordance with the principles of the Declaration of Helsinki.
Informed Consent Statement
Written informed consent was obtained from all the patients before performing any study-related procedures.
Data Availability Statement
Data are available upon request from the corresponding author.
Acknowledgments
We thank Megumi Kondo, Masayo Ohmori, and members of Ibara City Hospital for their excellent technical assistance.
Conflicts of Interest
The authors declare no conflicts of interest.
References
- Bock, J.S.; Gottlieb, S.S. Cardiorenal syndrome: New perspectives. Circulation 2010, 121, 2592–2600. [Google Scholar] [CrossRef] [PubMed]
- Rangaswami, J.; Bhalla, V.; Blair, J.E.A.; Chang, T.I.; Costa, S.; Lentine, K.L.; Lerma, E.V.; Mezue, K.; Molitch, M.; Mullens, W.; et al. Cardiorenal syndrome: Classification, pathophysiology, diagnosis, and treatment strategies: A scientific statement from the American Heart Association. Circulation 2019, 139, e840–e878. [Google Scholar] [CrossRef] [PubMed]
- Lekawanvijit, S.; Kompa, A.R.; Wang, B.H.; Kelly, D.J.; Krum, H. Cardiorenal syndrome: The emerging role of protein-bound uremic toxins. Circ. Res. 2012, 111, 1470–1483. [Google Scholar] [CrossRef] [PubMed]
- Hung, S.C.; Kuo, K.L.; Wu, C.C.; Tarng, D.C. Indoxyl sulfate: A novel cardiovascular risk factor in chronic kidney disease. J. Am. Heart Assoc. 2017, 6, e005022. [Google Scholar] [CrossRef] [PubMed]
- Lekawanvijit, S.; Adrahtas, A.; Kelly, D.J.; Kompa, A.R.; Wang, B.H.; Krum, H. Does indoxyl sulfate, a uraemic toxin, have direct effects on cardiac fibroblasts and myocytes? Eur. Heart J. 2010, 31, 1771–1779. [Google Scholar] [CrossRef] [PubMed]
- Lin, C.J.; Liu, H.L.; Pan, C.F.; Chuang, C.K.; Jayakumar, T.; Wang, T.J.; Chen, H.H.; Wu, C.J. Indoxyl sulfate predicts cardiovascular disease and renal function deterioration in advanced chronic kidney disease. Arch. Med. Res. 2012, 43, 451–456. [Google Scholar] [CrossRef] [PubMed]
- Barreto, F.C.; Barreto, D.V.; Liabeuf, S.; Meert, N.; Glorieux, G.; Temmar, M.; Choukroun, G.; Vanholder, R.; Massy, Z.A.; European Uremic Toxin Work Group (EUTox). Serum indoxyl sulfate is associated with vascular disease and mortality in chronic kidney disease patients. Clin. J. Am. Soc. Nephrol. 2009, 4, 1551–1558. [Google Scholar] [CrossRef] [PubMed]
- Imazu, M.; Takahama, H.; Shindo, K.; Hasegawa, T.; Kanzaki, H.; Anzai, T.; Asanuma, H.; Morita, T.; Asakura, M.; Kitakaze, M. A pathophysiological role of plasma indoxyl sulfate in patients with heart failure. Int. J. Gerontol. 2017, 11, 62–66. [Google Scholar] [CrossRef]
- Shimazu, S.; Hirashiki, A.; Okumura, T.; Yamada, T.; Okamoto, R.; Shinoda, N.; Takeshita, K.; Kondo, T.; Niwa, T.; Murohara, T. Association between indoxyl sulfate and cardiac dysfunction and prognosis in patients with dilated cardiomyopathy. Circ. J. 2013, 77, 390–396. [Google Scholar] [CrossRef] [PubMed]
- Imazu, M.; Fukuda, H.; Kanzaki, H.; Amaki, M.; Hasegawa, T.; Takahama, H.; Hitsumoto, T.; Tsukamoto, O.; Morita, T.; Ito, S.; et al. Plasma indoxyl sulfate levels predict cardiovascular events in patients with mild chronic heart failure. Sci. Rep. 2020, 10, 16528. [Google Scholar] [CrossRef] [PubMed]
- Levey, A.S.; Eckardt, K.U.; Tsukamoto, Y.; Levin, A.; Coresh, J.; Rossert, J.; De Zeeuw, D.; Hostetter, T.H.; Lameire, N.; Eknoyan, G. Definition and classification of chronic kidney disease: A position statement from Kidney Disease: Improving Global Outcomes (KDIGO). Kidney Int. 2005, 67, 2089–2100. [Google Scholar] [CrossRef] [PubMed]
- Fushimi, Y.; Tatebe, J.; Okuda, Y.; Ishii, T.; Ujiie, S.; Morita, T. Performance evaluation of an Indoxyl Sulfate Assay Kit “Nipro”. Clin. Chem. Lab. Med. 2019, 57, 1770–1776. [Google Scholar] [CrossRef] [PubMed]
- Abe, T.; Onoda, M.; Matsuura, T.; Sugimura, J.; Obara, W.; Sasaki, N.; Kato, T.; Tatsumi, K.; Maruyama, T. Evaluation of a new measurement method of indoxyl sulfate in hemodialysis patients. Ther. Apher. Dial. 2021, 25, 44–49. [Google Scholar] [CrossRef] [PubMed]
- Hamaguchi, S.; Tsuchihashi-Makaya, M.; Kinugawa, S.; Yokota, T.; Ide, T.; Takeshita, A.; Tsutsui, H.; JCARE-CARD Investigators. Chronic kidney disease as an independent risk for long-term adverse outcomes in patients hospitalized with heart failure in Japan—Report from the Japanese cardiac registry of heart failure in cardiology (JCARE-CARD). Circ. J. 2009, 73, 1442–1447. [Google Scholar] [CrossRef] [PubMed]
- Zamora, E.; Lupón, J.; Vila, J.; Urrutia, A.; de Antonio, M.; Sanz, H.; Grau, M.; Ara, J.; Bayés-Genís, A. Estimated glomerular filtration rate and prognosis in heart failure value of the modification of diet in renal disease Study-4, chronic kidney disease epidemiology collaboration, and Cockroft-Gault formulas. J. Am. Coll. Cardiol. 2012, 59, 1709–1715. [Google Scholar] [CrossRef] [PubMed]
- Schulman, G.; Agarwal, R.; Acharya, M.; Berl, T.; Blumenthal, S.; Kopyt, N. A multicenter, randomized, double-blind, placebo-controlled, dose-ranging study of AST-120 (kremezin) in patients with moderate to severe CKD. Am. J. Kidney Dis. 2006, 47, 565–577. [Google Scholar] [CrossRef] [PubMed]
- Six, I.; Gross, P.; Rémond, M.C.; Chillon, J.M.; Poirot, S.; Drueke, T.B.; Massy, Z.A. Deleterious vascular effects of indoxyl sulfate and reversal by oral adsorbent AST-120. Atherosclerosis 2015, 243, 248–256. [Google Scholar] [CrossRef] [PubMed]
- Stachteas, P.; Nasoufidou, A.; Patoulias, D.; Karakasis, P.; Karagiannidis, E.; Mourtzos, M.A.; Samaras, A.; Apostolidou, X.; Fragakis, N. The Role of Sodium-Glucose Co-Transporter-2 Inhibitors on Diuretic Resistance in Heart Failure. Int. J. Mol. Sci. 2024, 25, 3112. [Google Scholar] [CrossRef] [PubMed]
Disclaimer/Publisher’s Note: The statements, opinions and data contained in all publications are solely those of the individual author(s) and contributor(s) and not of MDPI and/or the editor(s). MDPI and/or the editor(s) disclaim responsibility for any injury to people or property resulting from any ideas, methods, instructions or products referred to in the content. |
© 2024 by the authors. Licensee MDPI, Basel, Switzerland. This article is an open access article distributed under the terms and conditions of the Creative Commons Attribution (CC BY) license (https://creativecommons.org/licenses/by/4.0/).


