Inclusiveness of Contract Farming along the Modern Food Supply Chain: Empirical Evidence from Taiwan
Abstract
1. Introduction
2. Materials and Methods
2.1. Data Source
2.2. Theoretical Framework
2.3. Empirical Specification
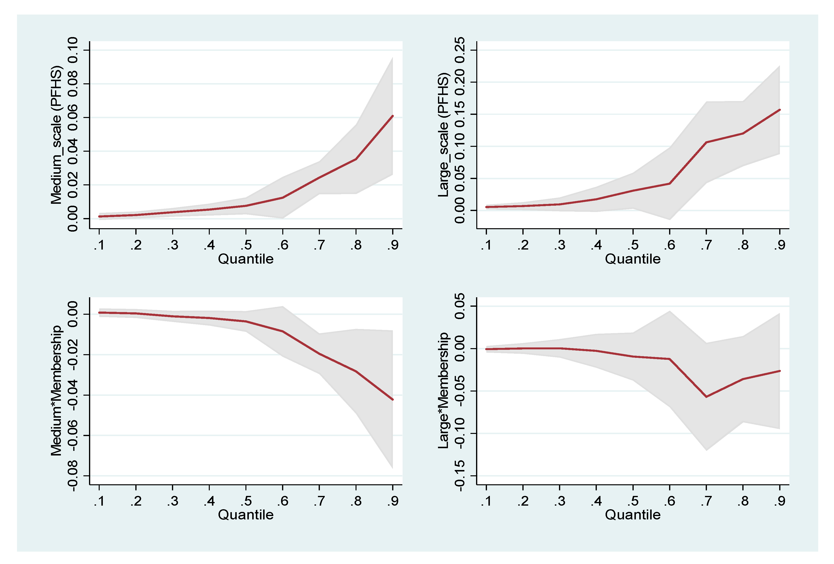
3. Results
4. Discussion
4.1. Determining Factors of Contract Farming
4.2. Further Analysis of the Inclusiveness of Contract Farming
5. Conclusions
Funding
Conflicts of Interest
References
- Glover, D.J. Contract farming and smallholder out grower schemes in less-developed countries. World Dev. 1984, 12, 1143–1157. [Google Scholar] [CrossRef]
- Singh, S. Contracting out solutions: Political economy of contract farming in the Indian Punjab. World Dev. 2002, 30, 1621–1638. [Google Scholar] [CrossRef]
- Costales, A.; Son, N.T.; Lapar, M.L.; Tiongco, M. Determinants of Participation in Contract Farming in Pig Production in Northern Vietnam. In FAO-PPLPI Research Report 08-04; Food and Agriculture Organization: Rome, Italy, 2008. [Google Scholar]
- Miyata, S.; Minot, N.; Hu, D. Impact of contract farming on income: Linking small farmers, packers, and supermarkets in China. World Dev. 2009, 37, 1781–1790. [Google Scholar] [CrossRef]
- Swain, B.B. Determinants of farmers’ participation in contract farming: The cases of gherkin and paddy seed in Andhra Pradesh, India. Millenn. Asia 2012, 3, 169–185. [Google Scholar] [CrossRef]
- Freguin-Gresh, S.; Anseeuw, W.; D’Haese, M. Demythifying contract farming: Evidence from rural South Africa. Agric. Econ. Res. Policy Pract. South. Afr. 2012, 51, 24–51. [Google Scholar] [CrossRef][Green Version]
- Minot, N.; Ronchi, L. Contract Farming: Risks and Benefits of Partnership between Farmers and Firms; Viewpoint: Public Policy For The Private Sector No. 344; World Bank: Washington, DC, USA, 2014. [Google Scholar]
- Azumah, S.B.; Donkoh, S.A.; Ehiakpor, D.S. Examining the determinants and effects of contract farming on farm income in the northern region of Ghana. Ghana J. Sci. Technol. Dev. 2016, 4, 1–10. [Google Scholar]
- Ba, H.A.; de-Mey, Y.; Thoron, S.; Demont, M. Inclusiveness of contract farming along the vertical coordination continuum: Evidence from the Vietnamese rice sector. Land Use Policy 2019, 87, 104050. [Google Scholar] [CrossRef]
- Simmons, P.; Winters, P.; Patrick, I. An analysis of contract farming in East Java, Bali, and Lombok, Indonesia. Agric. Econ. 2015, 33, 513–525. [Google Scholar] [CrossRef]
- Key, N.; Runsten, D. Contract farming, smallholders, and rural development in Latin America: The organization of agroprocessing firms and the scale of outgrower production. World Dev. 1999, 27, 381–401. [Google Scholar] [CrossRef]
- Bijman, J. Contract farming in developing countries: An overview. In Working Paper; Wageningen University, Department of Business Administration: Gelderland, The Netherlands, 2008. [Google Scholar]
- Guo, H.; Jolly, R.W.; Zhu, J. Contract Farming in China: Supply Chain or Ball and Chain? Department of Agricultural Economics, Zhejiang University: Zhejiang, China, 2005. [Google Scholar]
- Birthal, P.S.; Joshi, P.K.; Gulati, A. Vertical coordination in high-value food. In MTID Discussion Paper No. 85; International Food Policy Research Institute: Washington, DC, USA, 2005. [Google Scholar]
- Swain, B.B. Determinant in intensity of farmers’ participation in contract farming: The study of gherkin and hybrid paddy seed cultivation in a south Indian state. J. Land Rural Stud. 2018, 6, 170–190. [Google Scholar] [CrossRef]
- Eaton, C.; Shepherd, A. Contract Farming: Partnerships for Growth; Food and Agriculture Organization of the United Nations: Rome, Italy, 2001. [Google Scholar]
- Royer, J.S.; Rogers, R.T. (Eds.) The Industrialization of Agriculture: Vertical Coordination in the U.S. Food System; Ashgate Publishing: Brookfield, UK, 1998. [Google Scholar]
- Ochieng, D.O.; Veettil, P.C.; Qaim, M. Farmers’ preferences for supermarket contracts in Kenya. Food Policy 2017, 68, 100–111. [Google Scholar] [CrossRef]
- Atalaysun, M. Turkey Retail Foods; GAIN Report TR6057; USDA Foreign Agricultural Service: Washington, DC, USA, 2016.
- Rangkuti, F.Y.; Wright, T. Indonesia Retail Foods; GAIN Report ID1358; USDA Foreign Agricultural Service: Washington, DC, USA, 2013.
- Bhatnagar, S. Challenges and success mantras for unorganised retailing against organised retailing. Int. J. Manag. MIT Coll. Manag. 2015, 3, 33–36. [Google Scholar]
- Negi, S.; Anand, N. An Overview of Fruits and Vegetables’ Retail Supply Chain Models in India. In Handbook of Research on Strategic Supply Chain Management in the Retail Industry; Kamath, N., Saurav, S., Eds.; IGI Global: Hershey, PA, USA, 2016; pp. 170–187. [Google Scholar]
- Rao, N.C.; Radhakrishna, R.; Mishra, R.K.; Kata, V.R. Implications of New Supply Chains on the Indian Farm Economy: An Overview. In Organised Retailing and Agri-Business: Implications of New Supply Chains on the Indian Farm Economy; Rao, N.C., Radhakrishna, R., Mishra, R.K., Kata, V.R., Eds.; Springer: New Delhi, India, 2016; pp. 1–25. [Google Scholar]
- Genius, M.; Pantzios, C.J.; Tzouvelekas, V. Information acquisition and adoption of organic farming practices. J. Agric. Resour. Econ. 2006, 31, 93–113. [Google Scholar]
- Seo, S.N.; Mendelsohn, R. Animal husbandry in Africa: Climate change impacts and adaptations. Afr. J. Agric. Resour. Econ. 2008, 2, 65–82. [Google Scholar]
- Kurukulasuriya, P.; Mendelsohn, R. Crop switching as a strategy for adapting to climate change. Afr. J. Agric. Resour. Econ. 2008, 2, 105–125. [Google Scholar]
- Luh, Y.-H.; Tsai, M.-H.; Fang, C.-L. Do first-movers in the organic market stand to gain? Implications for promoting cleaner production alternatives. J. Clean. Prod. 2020, 262, 121156. [Google Scholar] [CrossRef]
- Blandon, J.; Henson, S.; Cranfield, J. Small-scale farmer participation in new agri-food supply chains: Case of the supermarket supply chain for fruit and vegetables in Honduras. J. Int. Dev. 2009, 21, 971–984. [Google Scholar] [CrossRef]
- Rowell, B.; Woods, T.; Mansfield, J. Marketing Options for Commercial Vegetable Growers; Cooperative Extension ID-134; College of Agriculture, University of Kentucky: Stanford, KY, USA, 1999. [Google Scholar]


| Variable | Definition | Mean | S.D. |
|---|---|---|---|
| Contract | Participation in contract farming, 1 = yes, 0 = no | 0.04 | 0.2 |
| Super/hyper markets | Share of sales to supermarkets and hypermarkets (%) | 0.45 | 5.91 |
| Other retailers | Share of sales to chain/convenience stores, grocers (%) | 2.1 | 11.93 |
| Govt and farmer org | Share of sales to government and farmer organizations (%) | 11.23 | 28.16 |
| Gender | Gender of principal farm operator, 1 = male, 0 = female | 0.89 | 0.31 |
| Age | Age of principal farm operator (years) | 57.27 | 10.9 |
| Farm experience | Farm experience of principal operator (years) | 29.28 | 14.7 |
| Elementary and below | Education: Elementary school or below, 1 = yes, 0 = no | 0.38 | 0.49 |
| Junior high | Education: junior high school, 1 = yes, 0 = no | 0.27 | 0.45 |
| Senior high | Education: senior high school, 1 = yes, 0 = no | 0.29 | 0.45 |
| College and up | Education: college or above, 1 = yes, 0 = no | 0.06 | 0.24 |
| Agriculture | Previous work: agriculture employee, 1 = yes, 0 = no | 0.06 | 0.24 |
| Non-agriculture | Previous work: non-agriculture industry, 1 = yes, 0 = no | 0.37 | 0.48 |
| Self-employed | Previous work: self-employed, 1 = yes, 0 = no | 0.1 | 0.3 |
| Unemployed | Previous work: none, 1 = yes, 0 = no | 0.47 | 0.5 |
| On-farm work days | Principal Operator’s days of work on farm (annual base) | 237.13 | 70.02 |
| PROD-MKTG team | Member of production-marketing team, 1 = yes, 0 = no | 0.36 | 0.48 |
| Agri. cooperatives | Member of agricultural cooperatives, 1 = yes, 0 = no | 0.05 | 0.23 |
| Farmer org | Member of at least one farmer organizations, 1 = yes, 0 = no | 0.85 | 0.36 |
| Total labor | Total labor (persons) | 5.16 | 5.24 |
| Farm land | Farm land (hectares) | 0.94 | 1.03 |
| Crop | Type of operation: crop growers, 1 = yes, 0 = no | 0.96 | 0.19 |
| Livestock | Type of operation: livestock growers, 1 = yes, 0 = no | 0.07 | 0.25 |
| Food Processor | Type of operation: food processor, 1 = yes, 0 = no | 0.04 | 0.2 |
| Leisure farm | Type of operation: leisure farm, 1 = yes, 0 = no | 0.01 | 0.1 |
| Rice | Major crop: rice, 1 = yes, 0 = no | 0.12 | 0.32 |
| Vegetable | Major crop: vegetables, 1 = yes, 0 = no | 0.27 | 0.45 |
| Fruit | Major crop: fruits, 1 = yes, 0 = no | 0.42 | 0.49 |
| Specialty | Major crop: specialty crops, 1 = yes, 0 = no | 0.06 | 0.24 |
| Other crops | Major crop: other crops, 1 = yes, 0 = no | 0.07 | 0.25 |
| Certification | At least one of the food safety certificates, 1 = yes, 0 = no | 0.13 | 0.33 |
| North | Location: northern area, 1 = yes, 0 = no | 0.12 | 0.32 |
| Central | Location: central area, 1 = yes, 0 = no | 0.48 | 0.5 |
| South | Location: southern area, 1 = yes, 0 = no | 0.33 | 0.47 |
| East | Location: eastern area, 1 = yes, 0 = no | 0.07 | 0.26 |
| Variable | M1 | M2 | M3 | M4 | ||||||||
|---|---|---|---|---|---|---|---|---|---|---|---|---|
| Est. | S.E. | Est. | S.E. | Est. | S.E. | Est. | S.E. | |||||
| Intercept | −1.418 | 1.39 | 1.954 | 1.29 | 0.260 | 0.83 | 2.26 | 3.12 | ||||
| Super/hyper markets | −0.032 | 0.24 | ||||||||||
| Other retailers | −0.009 | 0.46 | ||||||||||
| Govt and farmer org | 0.001 | 0.04 | ||||||||||
| Gender | 0.103 | 0.26 | −1.045 | ** | 0.50 | −0.038 | 0.23 | −1.114 | 1.00 | |||
| Elder | −0.113 | 0.18 | 0.064 | *** | 0.02 | 0.002 | 0.02 | 0.027 | 0.05 | |||
| Farm experience | 0.006 | 0.01 | −0.043 | ** | 0.02 | 0.002 | 0.01 | −0.042 | 0.04 | |||
| Junior high | 0.060 | 0.09 | 0.151 | 0.35 | −0.052 | 0.19 | 0.417 | 0.97 | ||||
| Senior high | 0.142 | * | 0.08 | 0.564 | 0.40 | 0.006 | 0.23 | 0.194 | 1.11 | |||
| College and up | −0.092 | 0.20 | 0.614 | 0.63 | 0.491 | 0.39 | 0.165 | 2.95 | ||||
| Agriculture | −0.172 | 0.15 | −0.223 | 0.46 | 0.031 | 0.27 | −0.981 | 1.24 | ||||
| Non-agriculture | 0.288 | *** | 0.10 | −0.376 | 0.35 | −0.022 | 0.16 | −2.268 | *** | 0.70 | ||
| Self-employed | 0.074 | 0.40 | 0.853 | 0.55 | −0.138 | 0.18 | −2.826 | *** | 0.95 | |||
| On-farm work days | 0.002 | ** | 0.00 | 0.000 | *** | 0.00 | 0.000 | *** | 0.00 | 0.000 | *** | 0.00 |
| PROD-MKTG team | 0.083 | 0.36 | −0.538 | * | 0.33 | −0.096 | 0.17 | 5.755 | *** | 0.70 | ||
| Cooperatives | −0.330 | 0.50 | −1.515 | *** | 0.44 | −0.022 | 0.19 | 5.472 | *** | 1.37 | ||
| Farmers’ association | −0.026 | 0.13 | −0.309 | 0.42 | −0.353 | 0.23 | 2.154 | *** | 0.69 | |||
| Total labor | 0.023 | *** | 0.01 | 0.057 | ** | 0.03 | 0.007 | 0.01 | 0.019 | * | 0.05 | |
| Farm land | 0.006 | 0.07 | −0.276 | *** | 0.10 | −0.006 | 0.04 | −0.004 | 0.28 | |||
| Livestock | 0.720 | * | 0.41 | 2.060 | ** | 0.96 | 0.009 | 0.13 | −1.957 | ** | 1.09 | |
| Processor | −0.412 | ** | 0.19 | −1.097 | *** | 0.36 | −0.041 | 0.15 | −2.182 | *** | 0.99 | |
| Leisure farm | −0.207 | 0.30 | −2.081 | *** | 0.60 | −0.218 | 0.26 | −7.711 | *** | 1.11 | ||
| Rice | 0.141 | 1.65 | −2.769 | *** | 0.59 | −0.081 | 0.11 | 24.36 | *** | 1.52 | ||
| Vegetable | −0.445 | 1.02 | −2.138 | *** | 0.61 | 0.671 | *** | 0.17 | 9.14 | ** | 1.20 | |
| Fruit | −0.724 | *** | 0.23 | −0.353 | 0.64 | 0.416 | *** | 0.14 | 2.433 | ** | 1.10 | |
| Specialty | −1.134 | *** | 0.29 | −2.589 | *** | 0.67 | −0.153 | 0.11 | −3.149 | 1.23 | ||
| North | −1.047 | *** | 0.34 | |||||||||
| Central | −1.168 | *** | 0.36 | |||||||||
| South | −0.999 | *** | 0.33 | |||||||||
| _Rho.M2.M3 | 0.000 | 0.01 | ||||||||||
| _Rho.M2.M4 | −0.037 | *** | 0.00 | |||||||||
| _Rho.M3.M4 | −0.021 | *** | 0.00 | |||||||||
| _Rho.M1.M2 | 0.171 | 2.87 | ||||||||||
| _Rho.M1.M3 | 0.093 | 2.68 | ||||||||||
| _Rho.M1.M4 | −0.002 | 1.19 | ||||||||||
| Variable | Estimate | S.E. | M.E. | |
|---|---|---|---|---|
| Intercept | −1.2064 | *** | 0.289 | |
| Other retailers | −0.0176 | * | 0.010 | −0.0012 |
| Super/Hyper markets | 0.0069 | ** | 0.003 | 0.0005 |
| Govt and farmer org | 0.0013 | 0.001 | 0.0001 | |
| Gender | 0.1369 | 0.095 | 0.0096 | |
| Elder | −0.0075 | * | 0.004 | −0.0005 |
| Farm experience | 0.0089 | *** | 0.003 | 0.0006 |
| Junior high | 0.0482 | 0.081 | 0.0034 | |
| Senior high | 0.1014 | 0.087 | 0.0071 | |
| College and up | −0.1495 | 0.131 | −0.0105 | |
| Agriculture | −0.1860 | 0.145 | −0.0131 | |
| Non-agriculture | 0.3119 | *** | 0.066 | 0.0219 |
| Self-employed | 0.0811 | 0.107 | 0.0057 | |
| On-farm work days | 0.0017 | *** | <0.001 | 0.0001 |
| PROD-MKTG team | 0.0949 | *** | 0.058 | 0.0067 |
| Agri. cooperatives | −0.3262 | *** | 0.119 | −0.0229 |
| Farmers’ association | −0.0164 | 0.077 | −0.0012 | |
| Total labor | 0.0217 | *** | 0.006 | 0.0015 |
| Farm land | 0.0105 | 0.024 | 0.0007 | |
| Livestock | 0.7147 | *** | 0.102 | 0.0502 |
| Processor | −0.3933 | ** | 0.164 | −0.0276 |
| Leisure farm | −0.2181 | 0.251 | −0.0153 | |
| Rice | 0.1876 | * | 0.110 | 0.0132 |
| Vegetable | −0.4324 | *** | 0.102 | −0.0303 |
| Fruit | −0.7344 | *** | 0.106 | −0.0515 |
| Specialty | −1.0635 | *** | 0.216 | −0.0746 |
| North | −1.071 | *** | 0.105 | −0.0752 |
| Central | −1.1843 | *** | 0.078 | −0.0831 |
| South | −1.0034 | *** | 0.080 | −0.0704 |
| Variable | Robust Coef. | Std. Error | p-Value | Robust Coef. | Std. Error | p-Value | ||
|---|---|---|---|---|---|---|---|---|
| Model I | Model II | |||||||
| Medium_scale | 0.0068 | *** | 0.0014 | <0.001 | 0.0161 | *** | 0.0048 | 0.001 |
| Large_scale | 0.0451 | *** | 0.0032 | <0.001 | 0.0563 | *** | 0.0122 | <0.001 |
| Medium * Member | −0.0099 | ** | 0.0049 | 0.043 | ||||
| Large * Member | −0.0120 | 0.0126 | 0.341 | |||||
© 2020 by the author. Licensee MDPI, Basel, Switzerland. This article is an open access article distributed under the terms and conditions of the Creative Commons Attribution (CC BY) license (http://creativecommons.org/licenses/by/4.0/).
Share and Cite
Luh, Y.-H. Inclusiveness of Contract Farming along the Modern Food Supply Chain: Empirical Evidence from Taiwan. Agriculture 2020, 10, 187. https://doi.org/10.3390/agriculture10050187
Luh Y-H. Inclusiveness of Contract Farming along the Modern Food Supply Chain: Empirical Evidence from Taiwan. Agriculture. 2020; 10(5):187. https://doi.org/10.3390/agriculture10050187
Chicago/Turabian StyleLuh, Yir-Hueih. 2020. "Inclusiveness of Contract Farming along the Modern Food Supply Chain: Empirical Evidence from Taiwan" Agriculture 10, no. 5: 187. https://doi.org/10.3390/agriculture10050187
APA StyleLuh, Y.-H. (2020). Inclusiveness of Contract Farming along the Modern Food Supply Chain: Empirical Evidence from Taiwan. Agriculture, 10(5), 187. https://doi.org/10.3390/agriculture10050187

