Cattle Manure Application and Combined Straw Mulching Enhance Maize (Zea mays L.) Growth and Water Use for Rain-Fed Cropping System of Coastal Saline Soils
Abstract
:1. Introduction
2. Materials and Methods
2.1. Experimental Site and Soils
2.2. Experimental Design
2.3. Agronomic Arrangement
2.4. Sampling and Measurement
2.4.1. Soil Water Content (SWC) and Bulk Density
2.4.2. Soil Organic Matter (SOM) and Electrical Conductivity (EC)
2.4.3. Crop Growth and Water Use
2.5. Statistical Method
3. Results
3.1. Soil EC
3.2. SOM
3.3. Soil Bulk Density
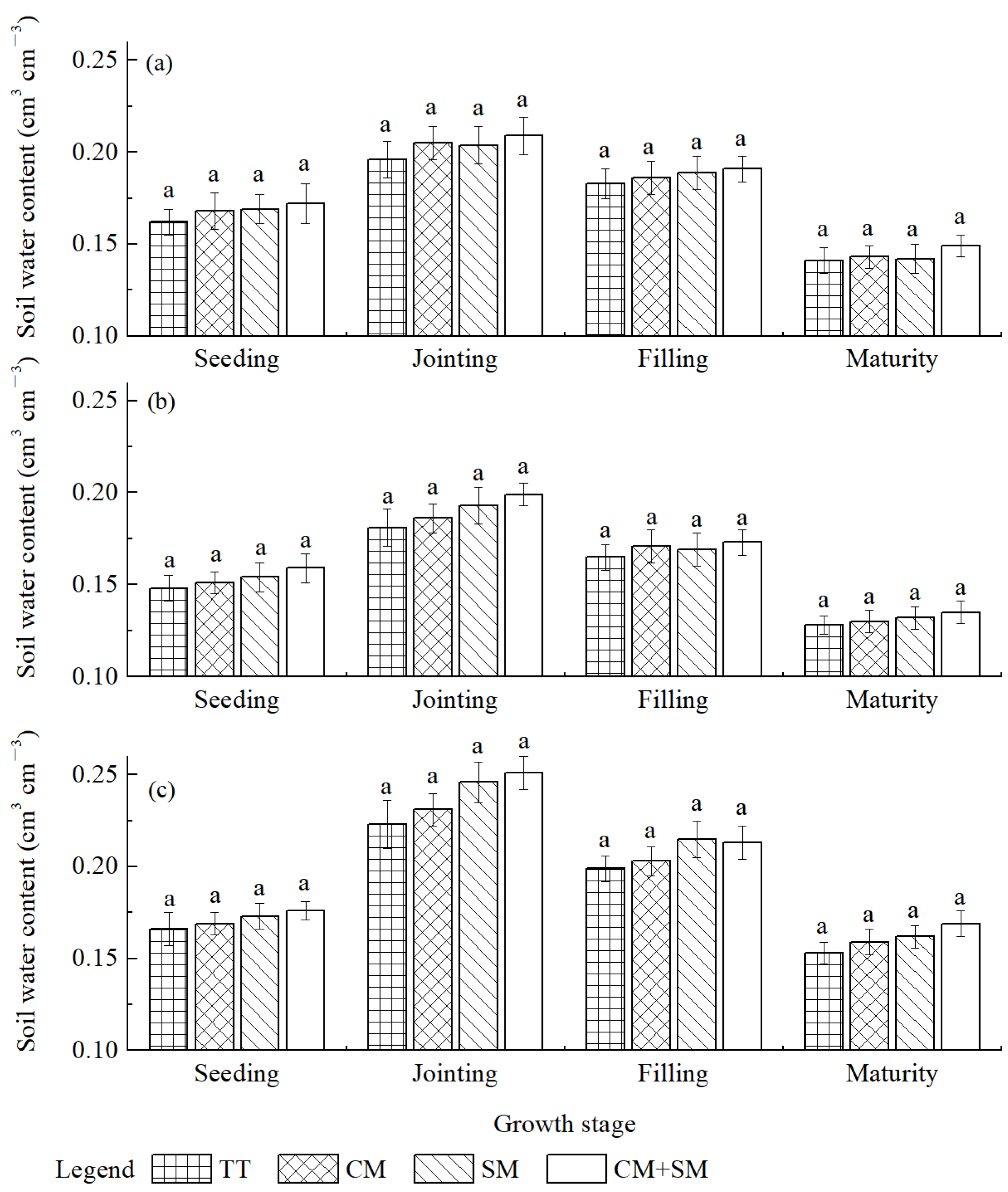
3.4. SWC
3.5. Crop Growth
3.6. Crop Yield and WUI
4. Discussion
5. Conclusions
Author Contributions
Funding
Institutional Review Board Statement
Informed Consent Statement
Data Availability Statement
Acknowledgments
Conflicts of Interest
References
- Yu, J.; Chen, S.; Zhao, Q.; Wang, T.; Yang, C.; Diaz, C.; Sun, G.; Dai, S. Physiological and Proteomic Analysis of Salinity Tolerance in Puccinellia tenuiflora. J. Proteome Res. 2011, 10, 3852–3870. [Google Scholar] [CrossRef]
- Qadir, M.; Tubeileh, A.; Akhtar, J.; Larbi, A.; Minhas, P.S.; Khan, M.A. Productivity enhancement of salt-affected environments through crop diversification. Land Degrad. Dev. 2008, 19, 429–453. [Google Scholar] [CrossRef]
- Datta, A.; Yeluripati, J.B.; Nayak, D.R.; Mahata, K.R.; Santra, S.C.; Adhya, T.K. Seasonal variation of methane flux from coastal saline rice field with the application of different organic manures. Atmos. Environ. 2013, 66, 114–122. [Google Scholar] [CrossRef]
- Lv, Z.Z.; Liu, G.M.; Yang, J.S.; Zhang, M.M.; He, L.D.; Shao, H.B.; Yu, S.P. Spatial variability of soil salinity in Bohai Sea coastal wetlands, China: Partition into four management zones. Plant Biosyst. 2013, 147, 1201–1210. [Google Scholar] [CrossRef] [Green Version]
- Zhang, W.; Cao, J.; Zhang, S.; Wang, C. Effect of earthworms and arbuscular mycorrhizal fungi on the microbial community and maize growth under salt stress. Appl. Soil Ecol. 2016, 107, 214–223. [Google Scholar] [CrossRef]
- Farooq, M.; Hussain, M.; Wakeel, A.; Siddique, K. Salt stress in maize: Effects, resistance mechanisms, and management. A review. Agron. Sustain. Dev. 2015, 35, 461–481. [Google Scholar] [CrossRef] [Green Version]
- Zhang, W.; Wang, C.; Lu, T.; Zheng, Y. Cooperation between arbuscular mycorrhizal fungi and earthworms promotes the physiological adaptation of maize under a high salt stress. Plant Soil 2018, 423, 125–140. [Google Scholar] [CrossRef]
- Abdel-Fattah, G.M.; Asrar, A.A. Arbuscular mycorrhizal fungal application to improve growth and tolerance of wheat (Triticum aestivum L.) plants grown in saline soil. Acta Physiol. Plant 2012, 34, 267–277. [Google Scholar] [CrossRef] [Green Version]
- Mishra, V.K.; Srivastava, S.; Bhardwaj, A.K.; Sharma, D.K.; Singh, Y.P.; Nayak, A.K. Resource conservation strategies for rice-wheat cropping systems on partially reclaimed sodic soils of the Indo-Gangetic region, and their effects on soil carbon. Nat. Resour. Forum 2015, 39, 110–122. [Google Scholar] [CrossRef]
- Trejo, A.; De-Bashan, L.E.; Hartmann, A.; Hernandez, J.; Rothballer, M.; Schmid, M.; Bashan, Y. Recycling waste debris of immobilized microalgae and plant growth-promoting bacteria from wastewater treatment as a resource to improve fertility of eroded desert soil. Environ. Exp. Bot. 2012, 75, 65–73. [Google Scholar] [CrossRef]
- Ilyas, M.; Qureshi, R.H.; Qadir, M.A. Chemical changes in a saline-sodic soil after gypsum application and cropping. Soil Technol. 1997, 3, 247–260. [Google Scholar] [CrossRef]
- Qadir, M.; Oster, J.D. Crop and irrigation management strategies for saline-sodic soils and waters aimed at environmentally sustainable agriculture. Sci. Total Environ. 2004, 323, 1–19. [Google Scholar] [CrossRef] [PubMed]
- Shi, S.; Tian, L.; Nasir, F.; Bahadur, A.; Batool, A.; Luo, S.; Yang, F.; Wang, Z.; Tian, C. Response of microbial communities and enzyme activities to amendments in saline-alkaline soils. Appl. Soil Ecol. 2019, 135, 16–24. [Google Scholar] [CrossRef]
- Liu, L.; Long, X.; Shao, H.; Liu, Z.; Tao, Y.; Zhou, Q.; Zong, J. Ameliorants improve saline-alkaline soils on a large scale in northern Jiangsu Province, China. Ecol. Eng. 2015, 81, 328–334. [Google Scholar] [CrossRef]
- Lebron, I.; Suarez, D.L.; Yoshida, T. Gypsum effect on the aggregate size and geometry of three sodic soils under reclamation. Soil Sci. Soc. Am. J. 2002, 66, 92–98. [Google Scholar] [CrossRef]
- Kim, Y.; Choo, B.; Cho, J. Effect of gypsum and rice straw compost application on improvements of soil quality during desalination of reclaimed coastal tideland soils: Ten years of long-term experiments. Catena 2017, 156, 131–138. [Google Scholar] [CrossRef]
- Wang, S.J.; Chen, Q.; Li, Y.; Zhuo, Y.Q.; Xu, L.Z. Research on saline-alkali soil amelioration with FGD gypsum. Resour. Conserv. Recycl. 2017, 121, 82–92. [Google Scholar] [CrossRef]
- Zhao, Y.; Wang, S.; Li, Y.; Liu, J.; Zhuo, Y.; Chen, H.; Wang, J.; Xu, L.; Sun, Z. Extensive reclamation of saline-sodic soils with flue gas desulfurization gypsum on the Songnen Plain, Northeast China. Geoderma 2018, 321, 52–60. [Google Scholar] [CrossRef]
- Chi, C.M.; Zhao, C.W.; Sun, X.J.; Wang, Z.C. Reclamation of saline-sodic soil properties and improvement of rice (Oriza sativa L.) growth and yield using desulfurized gypsum in the west of Songnen Plain, northeast China. Geoderma 2012, 187, 24–30. [Google Scholar] [CrossRef]
- Tesarek, P.; Drchalova, J.; Kolisko, J.; Rovnanikova, P.; Cerny, R. Flue gas desulfurization gypsum: Study of basic mechanical, hydric and thermal properties. Constr. Build. Mater. 2007, 21, 1500–1509. [Google Scholar] [CrossRef]
- Liu, G.; Zhang, X.; Wang, X.; Shao, H.; Yang, J.; Wang, X. Soil enzymes as indicators of saline soil fertility under various soil amendments. Agric. Ecosyst. Environ. 2017, 237, 274–279. [Google Scholar] [CrossRef]
- Liu, E.; Yan, C.; Mei, X.; He, W.; Bing, S.H.; Ding, L.; Liu, Q.; Liu, S.; Fan, T. Long-term effect of chemical fertilizer, straw, and manure on soil chemical and biological properties in northwest China. Geoderma 2010, 158, 173–180. [Google Scholar] [CrossRef]
- Yu, J.; Wang, Z.; Meixner, F.X.; Yang, F.; Wu, H.; Chen, X. Biogeochemical Characterizations and Reclamation Strategies of Saline Sodic Soil in Northeastern China. Clean Soil Air Water 2010, 38, 1010–1016. [Google Scholar] [CrossRef]
- Hammer, E.C.; Nasr, H.; Wallander, H. Effects of different organic materials and mineral nutrients on arbuscular mycorrhizal fungal growth in a Mediterranean saline dryland. Soil Biol. Biochem. 2011, 43, 2332–2337. [Google Scholar] [CrossRef]
- Tejada, M.; Gonzalez, J.L. Beet vinasse applied to wheat under dryland conditions affects soil properties and yield. Eur. J. Agron. 2005, 23, 336–347. [Google Scholar] [CrossRef]
- Yuan, C.; Feng, S.; Huo, Z.; Ji, Q. Effects of deficit irrigation with saline water on soil water-salt distribution and water use efficiency of maize for seed production in arid Northwest China. Agric. Water Manag. 2019, 212, 424–432. [Google Scholar] [CrossRef]
- He, J.; Li, H.; McHugh, A.D.; Wang, Q.; Lu, Z.; Li, W.; Zhang, Y. Permanent raised beds improved crop performance and water use on the North China Plain. J. Soil Water Conserv. 2015, 70, 54–62. [Google Scholar] [CrossRef]
- Sun, J.; Kang, Y.; Wan, S.; Hu, W.; Jiang, S.; Zhang, T. Soil salinity management with drip irrigation and its effects on soil hydraulic properties in north China coastal saline soils. Agric. Water Manag. 2012, 115, 10–19. [Google Scholar] [CrossRef]
- Xia, J.; Ren, J.; Zhang, S.; Wang, Y.; Fang, Y. Forest and grass composite patterns improve the soil quality in the coastal saline-alkali land of the Yellow River Delta, China. Geoderma 2019, 349, 25–35. [Google Scholar] [CrossRef]
- Zhao, Y.; Pang, H.; Wang, J.; Huo, L.; Li, Y. Effects of straw mulch and buried straw on soil moisture and salinity in relation to sunflower growth and yield. Field Crop. Res. 2014, 161, 16–25. [Google Scholar] [CrossRef]
- Pang, H.; Li, Y.; Yang, J.; Liang, Y. Effect of brackish water irrigation and straw mulching on soil salinity and crop yields under monsoonal climatic conditions. Agric. Water Manag. 2010, 97, 1971–1977. [Google Scholar] [CrossRef]
- Mulumba, L.N.; Lal, R. Mulching effects on selected soil physical properties. Soil Tillage Res. 2008, 98, 106–111. [Google Scholar] [CrossRef]
- Liao, Y.; Cao, H.; Xue, W.; Liu, X. Effects of the combination of mulching and deficit irrigation on the soil water and heat, growth and productivity of apples. Agric. Water Manag. 2021, 243, 106482. [Google Scholar] [CrossRef]
- Rahma, A.E.; Wang, W.; Tang, Z.; Lei, T.; Warrington, D.N.; Zhao, J. Straw mulch can induce greater soil losses from loess slopes than no mulch under extreme rainfall conditions. Agric. For. Meteorol. 2017, 232, 141–151. [Google Scholar] [CrossRef]
- Ouédraogo, E.; Mando, A.; Brussaard, L.; Stroosnijder, L. Tillage and fertility management effects on soil organic matter and sorghum yield in semi-arid West Africa. Soil Tillage Res. 2007, 94, 64–74. [Google Scholar] [CrossRef]
- Ahamefule, H.E.; Mbagwu, J.S. Effects of phosphorus and four tillage mulch systems on the physico-chemical properties of an ultisol in Eastern Nigeria. AgroScience 2007, 6, 25–32. [Google Scholar] [CrossRef]
- Meng, Q.; Ma, X.; Zhang, J.; Yu, Z. The long-term effects of cattle manure application to agricultural soils as a natural-based solution to combat salinization. Catena 2019, 175, 193–202. [Google Scholar] [CrossRef]
- Courtney, R.G.; Mullen, G.J. Soil quality and barley growth as influenced by the land application of two compost types. Bioresour. Technol. 2008, 99, 2913–2918. [Google Scholar] [CrossRef] [PubMed]
- Cifuentes, R.; de León, R.; Porres, C.; Rolz, C. Windrow Composting of Waste Sugar Cane and Press Mud Mixtures. Sugar Tech 2013, 15, 406–411. [Google Scholar] [CrossRef]
- Thuy, T.D.; Henry-des-Tureaux, T.; Rumpel, C.; Janeau, J.; Jouquet, P. Impact of compost, vermicompost and biochar on soil fertility, maize yield and soil erosion in Northern Vietnam: A three year mesocosm experiment. Sci. Total Environ. 2015, 514, 147–154. [Google Scholar] [CrossRef]
- Herencia, J.F.; Garcia-Galavis, P.A.; Maqueda, C. Long-Term Effect of Organic and Mineral Fertilization on Soil Physical Properties under Greenhouse and Outdoor Management Practices. Pedosphere 2011, 21, 443–453. [Google Scholar] [CrossRef]
- Celik, I.; Gunal, H.; Budak, M.; Akpinar, C. Effects of long-term organic and mineral fertilizers on bulk density and penetration resistance in semi-arid Mediterranean soil conditions. Geoderma 2010, 160, 236–243. [Google Scholar] [CrossRef]
- Greenway, H.; Munns, R. Mechanisms of salt tolerance in nonhalophytes. Annu. Rev. Plant Physiol. 1980, 31, 149–190. [Google Scholar] [CrossRef]
- Feng, X.; An, P.; Li, X.; Guo, K.; Yang, C.; Liu, X. Spatiotemporal heterogeneity of soil water and salinity after establishment of dense-foliage Tamarix chinensis on coastal saline land. Ecol. Eng. 2018, 121, 104–113. [Google Scholar] [CrossRef]
- Xie, X.; Pu, L.; Shen, H.; Wang, X.; Zhu, M.; Ge, Y.; Sun, L. Effects of soil reclamation on the oat cultivation in the newly reclaimed coastal land, eastern China. Ecol. Eng. 2019, 129, 115–122. [Google Scholar] [CrossRef]






| Items | Mean Value |
|---|---|
| Soil bulk density (g cm−3) | 1.39 |
| Field capacity (by weight, %) | 28.4 |
| Electrical conductivity (dS m−1) | 2.04 |
| pH | 8.34 |
| Na+ (dry soil, mg kg−1) | 2.67 |
| Salt content (g kg−1) | 7.08 |
| Soil organic matter (g kg−1) | 10.4 |
| Alkaline-hydrolysable nitrogen (mg kg−1) | 64.5 |
| Available phosphorus (by Olsen, mg kg−1) | 31.4 |
| Available potassium (mg kg−1) | 63.2 |
| Items | Mean Value |
|---|---|
| Bulk density (g cm−3) | 0.26 |
| pH | 8.21 |
| Electrical conductivity (dS m−1) | 6.72 |
| Organic carbon (g kg−1) | 327.46 |
| Nitrogen (g kg−1) | 11.98 |
| Phosphorus (g kg−1) | 11.35 |
| Potassium (g kg−1) | 13.54 |
| Treatments | Agronomic Schedules |
|---|---|
| TT | Traditional tillage without manure and straw mulching application: rotary harrowing to 0.15 m deep for seedbed preparation, and no-till maize planting in early June; weed controlling in late June; and maize harvesting, with all maize residues removed manually, in late September. All the nutrients needed during the growing period were supplied by chemical fertilizers. |
| CM | During seedbed preparation, cattle manure was spread manually at the designed rate, with uniform distribution on soil surface. Then, manure was mixed with the upper 0.15 m of soil by rotary harrowing. Other agronomic schedules were the same as TT. |
| SM | After maize harvest, all the stubble was returned to the field, and spread on soil surface uniformly. Other agronomic schedules were the same as TT. |
| CM + SM | Agronomic schedules were the same as CM and SM. |
| Treatment Identifiers | Shoot Biomass (g/Plant) | Root Dry Weight (g/Plant) | |
|---|---|---|---|
| Year | Treatments | ||
| 2016 | TT | 2.17 b | 0.36 b |
| CM | 7.55 a | 0.87 a | |
| SM | 2.88 b | 0.41 b | |
| CM + SM | 8.64 a | 0.99 a | |
| F-value = 59.1180 | F-value = 31.1870 | ||
| p-value = 0.0001 | p-value = 0.0001 | ||
| 2017 | TT | 1.69 c | 0.32 c |
| CM | 6.82 b | 0.81 b | |
| SM | 2.35 c | 0.35 c | |
| CM + SM | 10.97 a | 1.21 a | |
| F-value = 86.6070 | F-value = 35.5780 | ||
| p-value = 0.0001 | p-value = 0.0001 | ||
| 2018 | TT | 2.44 d | 0.39 d |
| CM | 8.71 b | 1.19 b | |
| SM | 3.93 c | 0.61 c | |
| CM + SM | 11.06 a | 1.42 a | |
| F-value = 76.9250 | F-value = 57.7500 | ||
| p-value = 0.0001 | p-value = 0.0001 | ||
| Treatments Identifiers | TWA 1 (mm) | Yield (kg ha−1) | GWUI (kg ha−1 mm−1) | |
|---|---|---|---|---|
| Year | Treatments | |||
| 2016 | TT | 468.8 a | 5423 b | 11.6 b |
| CM | 466.1 a | 5789 ab | 12.4 ab | |
| SM | 470.5 a | 5691 b | 12.1 b | |
| CM + SM | 464.2 a | 6197 a | 13.3 a | |
| F-value = 1.8370 | F-value = 4.6200 | F-value = 5.4760 | ||
| p-value = 0.1942 | p-value = 0.0227 | p-value = 0.0132 | ||
| 2017 | TT | 380.8 a | 4362 b | 11.5 b |
| CM | 378.4 a | 4718 ab | 12.5 ab | |
| SM | 379.1 a | 4536 b | 12.0 b | |
| CM + SM | 376.7 a | 5124 a | 13.6 a | |
| F-value = 0.7710 | F-value = 4.6440 | F-value = 5.2620 | ||
| p-value = 0.5321 | p-value = 0.0223 | p-value = 0.0151 | ||
| 2018 | TT | 508.4 a | 5627 b | 11.1 b |
| CM | 507.8 a | 6013 b | 11.8 b | |
| SM | 509.6 a | 6059 b | 11.9 b | |
| CM + SM | 505.3 a | 6650 a | 13.2 a | |
| F-value = 0.7080 | F-value = 7.8510 | F-value = 8.5360 | ||
| p-value = 0.5654 | p-value = 0.0037 | p-value = 0.0026 | ||
Publisher’s Note: MDPI stays neutral with regard to jurisdictional claims in published maps and institutional affiliations. |
© 2021 by the authors. Licensee MDPI, Basel, Switzerland. This article is an open access article distributed under the terms and conditions of the Creative Commons Attribution (CC BY) license (https://creativecommons.org/licenses/by/4.0/).
Share and Cite
Zhang, Y.; Wang, W.; Yuan, W.; Zhang, R.; Xi, X. Cattle Manure Application and Combined Straw Mulching Enhance Maize (Zea mays L.) Growth and Water Use for Rain-Fed Cropping System of Coastal Saline Soils. Agriculture 2021, 11, 745. https://doi.org/10.3390/agriculture11080745
Zhang Y, Wang W, Yuan W, Zhang R, Xi X. Cattle Manure Application and Combined Straw Mulching Enhance Maize (Zea mays L.) Growth and Water Use for Rain-Fed Cropping System of Coastal Saline Soils. Agriculture. 2021; 11(8):745. https://doi.org/10.3390/agriculture11080745
Chicago/Turabian StyleZhang, Yifu, Wancheng Wang, Wei Yuan, Ruihong Zhang, and Xiaobo Xi. 2021. "Cattle Manure Application and Combined Straw Mulching Enhance Maize (Zea mays L.) Growth and Water Use for Rain-Fed Cropping System of Coastal Saline Soils" Agriculture 11, no. 8: 745. https://doi.org/10.3390/agriculture11080745
APA StyleZhang, Y., Wang, W., Yuan, W., Zhang, R., & Xi, X. (2021). Cattle Manure Application and Combined Straw Mulching Enhance Maize (Zea mays L.) Growth and Water Use for Rain-Fed Cropping System of Coastal Saline Soils. Agriculture, 11(8), 745. https://doi.org/10.3390/agriculture11080745

