Soil Aggregate Breakdown with Colloidal Particles Release and Transport in Soil: A Perspective from Column Experiments
Abstract
1. Introduction
2. Materials and Methods
2.1. Soil Collection and Pre-Treatment
2.2. Soil Analytics
2.3. Soil Column Experiments
2.4. Mathematical Model
3. Results and Discussion
3.1. Soil Properties
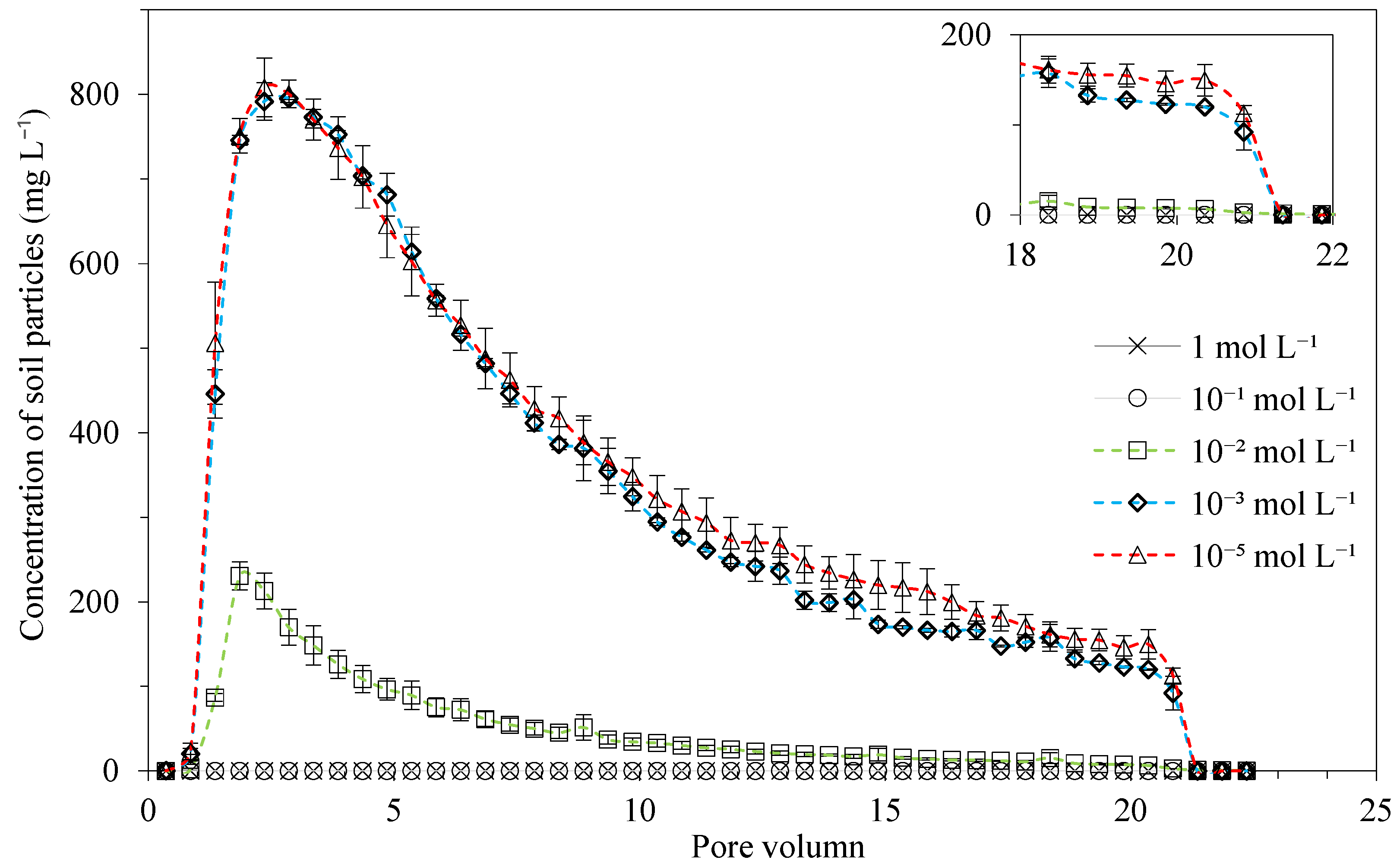
3.2. Releasing, Transport, and Accumulation of the Disaggregated Soil Particles
3.3. Dependence of Transport of Disaggregated Soil Particles on Electrostatic Repulsive Force
3.4. Characteristics of Particle Size and Mineral Composition of Released Soil Particles
3.5. Implications
4. Conclusions
Supplementary Materials
Author Contributions
Funding
Institutional Review Board Statement
Data Availability Statement
Acknowledgments
Conflicts of Interest
References
- Abiven, S.; Menasseri, S.; Chenu, C. The effects of organic inputs over time on soil aggregate stability—A literature analysis. Soil Biol. Biochem. 2009, 41, 1–12. [Google Scholar] [CrossRef]
- An, S.; Mentler, A.; Mayer, H.; Blum, W.E.H. Soil aggregation, aggregate stability, organic carbon and nitrogen in different soil aggregate fractions under forest and shrub vegetation on the Loess Plateau, China. Catena 2010, 81, 226–233. [Google Scholar] [CrossRef]
- Xu, P.; Zhu, J.; Wang, H.; Shi, L.; Zhuang, Y.; Fu, Q.; Chen, J.; Hu, H.; Huang, Q. Regulation of soil aggregate size under different fertilizations on dissolved organic matter, cellobiose hydrolyzing microbial community and their roles in organic matter mineralization. Sci. Total Environ. 2021, 755, 142595. [Google Scholar] [CrossRef] [PubMed]
- Bronick, C.J.; Lal, R. Soil structure and management: A review. Geoderma 2005, 124, 3–22. [Google Scholar] [CrossRef]
- Fernández-Raga, M.; Palencia, C.; Keesstra, S.; Jordán, A.; Fraile, R.; Angulo-Martínez, M.; Cerdà, A. Splash erosion: A review with unanswered questions. Earth Sci. Rev. 2017, 171, 463–477. [Google Scholar] [CrossRef]
- Hu, F.; Liu, J.; Xu, C.; Wang, Z.; Liu, G.; Li, H.; Zhao, S. Soil internal forces initiate aggregate breakdown and splash erosion. Geoderma 2018, 320, 43–51. [Google Scholar] [CrossRef]
- Le Bissonnais, Y. Aggregate stability and assessment of soil crustability and erodibility: I. Theory and methodology. Eur. J. Soil Sci. 2016, 67, 11–21. [Google Scholar] [CrossRef]
- Patil, S.; Tawfiq, K.; Chen, G. Colloid release and transport in agricultural soil as impacted by solution chemistry. J. Urban Environ. Eng. 2011, 5, 84–90. [Google Scholar] [CrossRef]
- Grolimund, D.; Borkovec, M. Release of colloidal particles in natural porous media by monovalent and divalent cations. J. Contam. Hydrol. 2006, 87, 155–175. [Google Scholar] [CrossRef]
- Li, S.; Li, H.; Xu, C.-Y.; Huang, X.-R.; Xie, D.-T.; Ni, J.-P. Particle Interaction Forces Induce Soil Particle Transport during Rainfall. Soil Sci. Soc. Am. J. 2013, 77, 1563–1571. [Google Scholar] [CrossRef]
- Hu, F.; Xu, C.; Li, H.; Li, S.; Yu, Z.; Li, Y.; He, X. Particles interaction forces and their effects on soil aggregates breakdown. Soil Tillage Res. 2015, 147, 1–9. [Google Scholar] [CrossRef]
- Vincent, B. Early (pre-DLVO) studies of particle aggregation. Adv. Colloid Interface Sci. 2012, 170, 56–67. [Google Scholar] [CrossRef]
- Gao, X.; Li, S.; Liu, X.; Hu, F.; Tian, R.; Li, H. The effects of NO3− and Cl− on negatively charged clay aggregation. Soil Tillage Res. 2019, 186, 242–248. [Google Scholar] [CrossRef]
- Xu, C.-Y.; Yu, Z.-H.; Li, H. The coupling effects of electric field and clay mineralogy on clay aggregate stability. J. Soils Sediments 2015, 15, 1159–1168. [Google Scholar] [CrossRef]
- Hu, F.; Liu, J.; Xu, C.; Du, W.; Yang, Z.; Liu, X.; Liu, G.; Zhao, S. Soil internal forces contribute more than raindrop impact force to rainfall splash erosion. Geoderma 2018, 330, 91–98. [Google Scholar] [CrossRef]
- Yu, Z.H.; Li, H.; Liu, X.M.; Xu, C.Y.; Xiong, H.L. Influence of soil electric field on water movement in soil. Soil Tillage Res. 2016, 155, 263–270. [Google Scholar] [CrossRef]
- Tang, Y.; Li, H.; Liu, X.; Zhu, H.; Tian, R. Unraveling the size distributions of surface properties for purple soil and yellow soil. J. Environ. Sci. 2015, 32, 81–89. [Google Scholar] [CrossRef]
- Bradford, S.A.; Torkzaban, S. Colloid Transport and Retention in Unsaturated Porous Media: A Review of Interface-, Collector-, and Pore-Scale Processes and Models. Vadose Zone J. 2008, 7, 667–681. [Google Scholar] [CrossRef]
- Kanti Sen, T.; Khilar, K.C. Review on subsurface colloids and colloid-associated contaminant transport in saturated porous media. Adv. Colloid Interface Sci. 2006, 119, 71–96. [Google Scholar] [CrossRef]
- Seetha, N.; Mohan Kumar, M.S.; Majid Hassanizadeh, S. Modeling the co-transport of viruses and colloids in unsaturated porous media. J. Contam. Hydrol. 2015, 181, 82–101. [Google Scholar] [CrossRef]
- McGechan, M.B.; Lewis, D.R. Transport of Particulate and Colloid-sorbed Contaminants through Soil, Part 1: General Principles. Biosyst. Eng. 2002, 83, 255–273. [Google Scholar] [CrossRef]
- Goebel, M.-O.; Woche, S.K.; Abraham, P.M.; Schaumann, G.E.; Bachmann, J. Water repellency enhances the deposition of negatively charged hydrophilic colloids in a water-saturated sand matrix. Colloids Surface A 2013, 431, 150–160. [Google Scholar] [CrossRef]
- Flury, M.; Qiu, H. Modeling Colloid-Facilitated Contaminant Transport in the Vadose Zone. Vadose Zone J. 2008, 7, 682–697. [Google Scholar] [CrossRef]
- Pietrzak, D. Modeling migration of organic pollutants in groundwater—Review of available software. Eviron. Modell. Software 2021, 144, 105145. [Google Scholar] [CrossRef]
- Syngouna, V.I.; Chrysikopoulos, C.V. Experimental investigation of virus and clay particles cotransport in partially saturated columns packed with glass beads. J. Colloid Interface Sci. 2015, 440, 140–150. [Google Scholar] [CrossRef] [PubMed]
- Cao, G.; Sun, J.; Chen, M.; Sun, H.; Zhang, G. Co-transport of ball-milled biochar and Cd2+ in saturated porous media. J. Hazard. Mater. 2021, 416, 125725. [Google Scholar] [CrossRef]
- Zhang, W.; Tang, X.; Weisbrod, N.; Guan, Z. A review of colloid transport in fractured rocks. J. Mountain Sci. 2012, 9, 770–787. [Google Scholar] [CrossRef]
- Wang, D.; Su, C.; Zhang, W.; Hao, X.; Cang, L.; Wang, Y.; Zhou, D. Laboratory assessment of the mobility of water-dispersed engineered nanoparticles in a red soil (Ultisol). J. Hydrol. 2014, 519, 1677–1687. [Google Scholar] [CrossRef]
- Li, H.; Hou, J.; Liu, X.M.; Li, R.; Zhu, H.L.; Wu, L.S. Combined Determination of Specific Surface Area and Surface Charge Properties of Charged Particles from a Single Experiment. Soil Sci. Soc. Am. J. 2011, 75, 2128–2135. [Google Scholar] [CrossRef]
- Liu, J.; Wang, Z.; Hu, F.; Xu, C.; Ma, R.; Zhao, S. Soil organic matter and silt contents determine soil particle surface electrochemical properties across a long-term natural restoration grassland. Catena 2020, 190, 104526. [Google Scholar] [CrossRef]
- Cao, G.; Qiao, J.; Ai, J.; Ning, S.; Sun, H.; Chen, M.; Zhao, L.; Zhang, G.; Lian, F. Systematic Research on the Transport of Ball-Milled Biochar in Saturated Porous Media: Effect of Humic Acid, Ionic Strength, and Cation Types. Nanomaterials 2022, 12, 988. [Google Scholar] [CrossRef] [PubMed]
- Leng, Y. Hydration Force between Mica Surfaces in Aqueous KCl Electrolyte Solution. Langmuir 2012, 28, 5339–5349. [Google Scholar] [CrossRef] [PubMed]
- Li, H.; Peng, X.; Wu, L.; Jia, M.; Zhu, H. Surface Potential Dependence of the Hamaker Constant. J. Phys. Chem. C 2009, 113, 4419–4425. [Google Scholar] [CrossRef]
- Lipiec, J.; Kuś, J.; Słowińska-Jurkiewicz, A.; Nosalewicz, A. Soil porosity and water infiltration as influenced by tillage methods. Soil Tillage Res. 2006, 89, 210–220. [Google Scholar] [CrossRef]
- Davis, N.; Polhill, J.G.; Aitkenhead, M.J. Measuring heterogeneity in soil networks: A network analysis and simulation-based approach. Ecol. Modell. 2021, 439, 109308. [Google Scholar] [CrossRef]
- Grolimund, D.; Borkovec, M. Long-Term Release Kinetics of Colloidal Particles from Natural Porous Media. Environ. Sci. Technol. 1999, 33, 4054–4060. [Google Scholar] [CrossRef]
- Bunn, R.A.; Magelky, R.D.; Ryan, J.N.; Elimelech, M. Mobilization of Natural Colloids from an Iron Oxide-Coated Sand Aquifer: Effect of pH and Ionic Strength. Environ. Sci. Technol. 2002, 36, 314–322. [Google Scholar] [CrossRef]
- Majdalani, S.; Michel, E.; Di-Pietro, L.; Angulo-Jaramillo, R. Effects of wetting and drying cycles on in situ soil particle mobilization. Eur. J. Soil Sci. 2008, 59, 147–155. [Google Scholar] [CrossRef]
- Liu, J.; Hu, F.; Xu, C.; Wang, Z.; Ma, R.; Zhao, S.; Liu, G. Comparison of different methods for assessing effects of soil interparticle forces on aggregate stability. Geoderma 2021, 385, 114834. [Google Scholar] [CrossRef]
- Yu, Z.; Zhang, J.; Zhang, C.; Xin, X.; Li, H. The coupling effects of soil organic matter and particle interaction forces on soil aggregate stability. Soil Tillage Res. 2017, 174, 251–260. [Google Scholar] [CrossRef]
- Lægdsmand, M.; Villholth, K.G.; Ullum, M.; Jensen, K.H. Processes of colloid mobilization and transport in macroporous soil monoliths. Geoderma 1999, 93, 33–59. [Google Scholar] [CrossRef]
- Adamczyk, Z.; Weroński, P. Application of the DLVO theory for particle deposition problems. Adv. Colloid Interface Sci. 1999, 83, 137–226. [Google Scholar] [CrossRef]
- Adamczyk, Z. Particle adsorption and deposition: Role of electrostatic interactions. Adv. Colloid Interface Sci. 2003, 100–102, 267–347. [Google Scholar] [CrossRef]
- Long, J.; Xu, Z.; Masliyah, J.H. Role of illite–illite interactions in oil sands processing. Colloids Surface A 2006, 281, 202–214. [Google Scholar] [CrossRef]
- Moreno, R. Better ceramics through colloid chemistry. J. Eur. Ceram. Soc. 2020, 40, 559–587. [Google Scholar] [CrossRef]
- Zhang, W.; Cheng, J.-H.; Xian, Q.-S.; Cui, J.-F.; Tang, X.-Y.; Wang, G.-X. Dynamics and sources of colloids in shallow groundwater in lowland wells and fracture flow in sloping farmland. Water Res. 2019, 156, 252–263. [Google Scholar] [CrossRef]
- Li, H.; Li, R.; Zhu, H.; Wu, L. Influence of Electrostatic Field from Soil Particle Surfaces on Ion Adsorption-Diffusion. Soil Sci. Soc. Am. J. 2010, 74, 1129–1138. [Google Scholar] [CrossRef]
- Xie, L.; Wang, J.; Lu, Q.; Hu, W.; Yang, D.; Qiao, C.; Peng, X.; Peng, Q.; Wang, T.; Sun, W.; et al. Surface interaction mechanisms in mineral flotation: Fundamentals, measurements, and perspectives. Adv. Colloid Interface Sci. 2021, 295, 102491. [Google Scholar] [CrossRef]
- Liu, G.; Hu, F.; Zheng, F.; Zhang, Q. Effects and mechanisms of erosion control techniques on stairstep cut-slopes. Sci. Total Environ. 2019, 656, 307–315. [Google Scholar] [CrossRef]
- Albarran, N.; Degueldre, C.; Missana, T.; Alonso, U.; García-Gutiérrez, M.; López, T. Size distribution analysis of colloid generated from compacted bentonite in low ionic strength aqueous solutions. Appl. Clay Sci. 2014, 95, 284–293. [Google Scholar] [CrossRef]
- Zhou, D.; Wang, D.; Cang, L.; Hao, X.; Chu, L. Transport and re-entrainment of soil colloids in saturated packed column: Effects of pH and ionic strength. J. Soils Sediments 2011, 11, 491–503. [Google Scholar] [CrossRef]
- Babakhani, P.; Bridge, J.; Doong, R.-A.; Phenrat, T. Continuum-based models and concepts for the transport of nanoparticles in saturated porous media: A state-of-the-science review. Adv. Colloid Interface Sci. 2017, 246, 75–104. [Google Scholar] [CrossRef] [PubMed]
- Chanudet, V.; Filella, M. Size and composition of inorganic colloids in a peri-alpine, glacial flour-rich lake. Geochim. Cosmochim. Acta 2008, 72, 1466–1479. [Google Scholar] [CrossRef]
- Liu, G.; Xue, W.; Wang, J.; Liu, X. Transport behavior of variable charge soil particle size fractions and their influence on cadmium transport in saturated porous media. Geoderma 2019, 337, 945–955. [Google Scholar] [CrossRef]
- Cheng, T.; Saiers, J.E. Mobilization and transport of in situ colloids during drainage and imbibition of partially saturated sediments. Water Resour. Res. 2009, 45, W08414. [Google Scholar] [CrossRef]
- Löv, Å.; Cornelis, G.; Larsbo, M.; Persson, I.; Sjöstedt, C.; Gustafsson, J.P.; Boye, K.; Kleja, D.B. Particle- and colloid-facilitated Pb transport in four historically contaminated soils—Speciation and effect of irrigation intensity. Appl. Geochem. 2018, 96, 327–338. [Google Scholar] [CrossRef]
- Baveye, P.; Vandevivere, P.; Hoyle, B.L.; Deleo, P.C.; De Lozada, D.S. Environmental Impact and Mechanisms of the Biological Clogging of Saturated Soils and Aquifer Materials. Crit. Rev. Environ. Sci. Technol. 1998, 28, 123–191. [Google Scholar] [CrossRef]
- Merino-Martín, L.; Stokes, A.; Gweon, H.S.; Moragues-Saitua, L.; Staunton, S.; Plassard, C.; Oliver, A.; Le Bissonnais, Y.; Griffiths, R.I. Interacting effects of land use type, microbes and plant traits on soil aggregate stability. Soil Biol. Biochem. 2021, 154, 108072. [Google Scholar] [CrossRef]
- Lubbers, I.M.; van Groenigen, K.J.; Fonte, S.J.; Six, J.; Brussaard, L.; van Groenigen, J.W. Greenhouse-gas emissions from soils increased by earthworms. Nat. Clim. Chang. 2013, 3, 187–194. [Google Scholar] [CrossRef]







| KCl Concentration | Surface Potential | EDL Thickness | 
| (mol L−1) | (mV) | (nm) | 
| 10−5 | −404.43 | 971.04 | 
| 10−3 | −286.61 | 97.10 | 
| 10−2 | −228.17 | 30.71 | 
| 10−1 | −170.97 | 9.71 | 
| 1 | −116.65 | 3.07 | 
| Publisher’s Note: MDPI stays neutral with regard to jurisdictional claims in published maps and institutional affiliations. | 
© 2022 by the authors. Licensee MDPI, Basel, Switzerland. This article is an open access article distributed under the terms and conditions of the Creative Commons Attribution (CC BY) license (https://creativecommons.org/licenses/by/4.0/).
Share and Cite
Cao, G.; Chang, B.; Zhou, Z.; Hu, L.; Du, W.; Lv, J. Soil Aggregate Breakdown with Colloidal Particles Release and Transport in Soil: A Perspective from Column Experiments. Agriculture 2022, 12, 2155. https://doi.org/10.3390/agriculture12122155
Cao G, Chang B, Zhou Z, Hu L, Du W, Lv J. Soil Aggregate Breakdown with Colloidal Particles Release and Transport in Soil: A Perspective from Column Experiments. Agriculture. 2022; 12(12):2155. https://doi.org/10.3390/agriculture12122155
Chicago/Turabian StyleCao, Gang, Bokun Chang, Zhiying Zhou, Liang Hu, Wei Du, and Jialong Lv. 2022. "Soil Aggregate Breakdown with Colloidal Particles Release and Transport in Soil: A Perspective from Column Experiments" Agriculture 12, no. 12: 2155. https://doi.org/10.3390/agriculture12122155
APA StyleCao, G., Chang, B., Zhou, Z., Hu, L., Du, W., & Lv, J. (2022). Soil Aggregate Breakdown with Colloidal Particles Release and Transport in Soil: A Perspective from Column Experiments. Agriculture, 12(12), 2155. https://doi.org/10.3390/agriculture12122155
 
        

 
       