Abstract
Rapeseed is mainly cultivated in hilly areas in China and the inclination angle is an important parameter for influencing the seeding quality of a seed-metering device. However, the relationship between seeding performance and inclination angle remains unclear. This study analyzes the influence of inclination angle (θ) on the characteristics of seed-filling and seeding performance in a centralized seed-metering system of rapeseed using DEM simulation and the bench test. The results revealed that the inclination angle (θ) had a significant effect on seed-filling performance. The missing seeds ratio and the deviation of seed layer height increased with an increase in a lateral inclination angle. The missing seeds ratio in the forward direction (−Y direction) and seed-filling angle, double seed-filling ratio, and seed layer height in the back direction (Y direction) increased with the increasing inclination angle. Under seed-cleaning treatment, the missing seeds ratio was significantly reduced in the −Y direction at a seed layer height of 25 mm, and the qualified ratio was more than 91.0% at a seed layer height of 20 mm in X direction. The phenomenon of seeds passing through the seed-metering wheel disappeared with a qualified ratio larger than 90.0% in Y direction by installing a seed-cleaning brush. The results contributed to improving the knowledge of seed-filling characteristics of the centralized seed-metering device at inclination conditions and should help to improve seeding performance by adjusting the seed layer height and installing a seed-cleaning brush.
1. Introduction
Rapeseed is the main oil crop in China, and the planting area in the Yangtze River basin accounts for about 85% in China [1]. However, more than half of the rapeseed cultivation area is located in hilly areas, and the ratio of mechanized planting is less than 35% due to some constraints such as clay soil, and small and sloped fields. Slopes significantly increase soil and nutrient losses and constrain the application of agricultural machinery [2]. In the hilly areas of rapeseed cultivation, more than 60% of the sloped field in southwest China is larger than 6°. To increase the ratio of mechanized seeding in hilly areas, a seeder has to adapt to the sloped field with an inclination angle less than 11° [3]. In order to develop the seeding performance of a seeder in hilly areas, a seed-metering device, which is the core component of the seeder, is needed, and it should be designed to perform well under sloped field conditions.
Seeding performance is an important index to evaluate the quality of a seed-metering device, which is affected by a series of factors, e.g., travelling velocity, inclination angle, seed layer height, etc. Benefits of the application of the centralized metering device include low mass, simplicity, and high precision due to sowing multiple rows synchronously. It has been widely applied in many crops’ production and is expected to be a potential equipment for rapeseed in hilly areas. Some centralized metering devices were used in various conditions, i.e., sloped field, flat field in basin, etc. The variance coefficient of distribution accuracy increased with the increasing inclination angle, and concentric corrugations reduced the negative slope effect for an air-seeder [4]. Searle et al. [5] reported that slope and travel pattern had significant effects on the seed spacing uniformity, and the finger pick-up seed-metering device was favorable for the slope. The seeding performance became worse at a slope of 16% and the germination was reduced in a study by Correia et al. [6]. In a survey conducted with a precision no-tillage seeder by Wang et al. [7,8,9], they reported that the seed feeding mass and variation coefficient increased significantly when the land inclination angle increased, and seed feeding performance can be improved in sloped fields by providing a seed-cleaning brush. Jia et al. [10] designed a self-suction, precision, seed-metering device of Mung bean in hilly areas, and they reported that seed-filling layer height was an important parameter to affect the qualified index. A valve-branch distributor could adapt to an inclination angle of 0–25° in a centrifugal precision metering device, as investigated by Cao et al. [11]. They found that the inclination angle had a marked impact on seeding performance, especially on seed-filling performance.
Seed-filling performance, which is associated with seed layer height, the structure of the seed-metering device, rotational speed, etc., is an important index to determine seeding performance. Zhang et al. [12] determined rice seed-filling properties by the proper seed-filling initial angle and adjusting the position of the restriction mechanism to prevent seeds from being flung out by the cleaning brush. Li et al. [13] and Qin et al. [14] performed DEM simulation to describe seed-filling performance in type-hole seed-metering devices. Shi et al. [15,16] observed that a larger seed-filling rate resulted from larger interference intensity and guided the assistant filling mechanism in pneumatic metering devices using the CFD-DEM coupled approach. A study was conducted to investigate the influence of seed layer height on seed-filling performance by Lei et al. [17,18], and it was found that a proper seed layer height and seed churning device improved seed-filling performance. The seed-filling performance was developed for a pneumatic precision metering device by fixing internal guiding strips on the seed plate investigated by Cong et al. [19]. Therefore, seed layer height and supplementary mechanisms are effective approaches to improve seed-filling performance.
In terms of seeding performance in detail, numerical simulation and the bench test are effective and efficient methods to analyze the seed-filling angle and motion characteristics [17,19]. Karayel et al. [20] used a high-speed camera system to measure seed spacing and falling velocities of seeds in the bench test. A high-speed camera system was applied to detect the seeds’ falling trajectory in the laboratory and the field, and the results indicated that seed spacing non-uniformity was due to an increase in seed falling velocity [21,22,23]. Thereafter, DEM simulation has been widely applied to the study of seeding equipment, e.g., seeding performance analysis, seed motion characteristics, and optimizing structural parameters [24,25,26].
The effects of inclination angle on seeding performance in the centralized seed-metering device have not been investigated in previous studies. The fundamental understanding of seeding performance affected by inclination angle, and solving solutions for improving seeding performance, remain limited. Seed-filling characteristics and seeding performance of multiple rows in the centralized seed-metering device were conducted under different sloped conditions by DEM simulation and the bench test in this study. The purpose of this study is to: (1) perform DEM modeling to analyze seed-filling processes under various inclination angles, (2) conduct a bench test to observe seeding performance, and (3) provide technical approaches for improvement of seeding performance under sloped field conditions.
2. Materials and Methods
2.1. Structure of Centralized Seed-Metering Device
Figure 1 presents the structure of a centralized seed-metering device for rapeseed designed by our research group. It mainly consisted of a seed box, a shell, a seed layer adjusting plate, a seed-cleaning brush, a seed-metering mechanism, and a transmission mechanism. The length, width, and height of the seed-metering device were 450, 400, and 500 mm, respectively. The volume of the seed box was 0.033 m3, which contained about 22.44 kg of rapeseeds. The centralized seed-metering device has achieved the requirement of 1–3 seeds being available per model-hole, simultaneously, for 6 rows through the involute-type model-hole [27]. The seed-metering mechanism was driven to accomplish the processes of seed-filling, carrying, cleaning, protecting, and dropping. The seed layer adjusting plate and seed-cleaning brush were applied to adjust the seed layer and clean redundant seeds. Seed-filling performance plays an important role in seeding performance, which was mainly affected by the model-hole structure, seed layer, seedbed surface conditions, etc.
Figure 1.
The 3D model of a centralized seed-metering device for rapeseed. Note: (1) seed box, (2) shell, (3) seed-cleaning brush, (4) seed-metering mechanism, (5) transmission mechanism, (6) seed outlet. The forward and back directions were the forward and back directions in the view of the seeder, respectively. The left and right directions were from the view of the back direction. The X direction, Y direction, and Z direction were directions from left to right, directions from forward to back, and direction of gravity, respectively. The same is true elsewhere.
2.2. Working Principle for Various Slopes
When a seeder operates under various seedbed surface conditions, the working status of the centralized seed-metering device includes four types of tilting angle [3], namely, (a) tilting to −X direction (i.e., slope to the left), (b) tilting to X direction (i.e., slope to the right), (c) tilting to −Y direction (i.e., descending a slope), and (d) tilting to Y direction (i.e., ascending a slope) (Figure 2). The X direction, Y direction, and Z direction are from left to right, from forward to back, and gravity direction, respectively. The centralized seed-metering device inclines to the left or right when the seedbed surface is laterally inclined (Figure 2a,b). When the seeder is uphill, the centralized seed-metering device inclines towards the front and seeds in the seed-filling chamber are opposite to those in the Y direction (Figure 2c). The centralized seed-metering device tilts towards the back and seeds incline to the Y direction when the seeder goes downhill (Figure 2d). Generally, the seed layer changes when the seedbed surface is on a sloped field or uneven surface. A slope of θ represents the inclination angle of different slope tests.
Figure 2.
Schematic diagram of working processes of a centralized seed-metering device: (a) tilting to −X direction, (b) tilting to X direction, (c) tilting to −Y direction, and (d) tilting to Y direction. Note that θ is the inclination angle.
2.3. DEM Simulation Model of Centralized Seed-Metering Device
2.3.1. DEM Model for Simulating Centralized Seed-Metering Device
DEM simulations were performed to simulate the seeding process under different operating conditions. In the DEM formulation, the particle dynamics equations defined the translational and rotational motion of particles. These equations were expressed as:
where mi is the mass of particle i, is the particle’s centroid acceleration, is the vector of gravitational acceleration, and are the normal force and tangential force, respectively, and and are the normal damping force and tangential damping force, respectively.
The normal force, , was defined as:
where is the equivalent elastic modulus, is the equivalent radius, and is the normal overlap amount.
where γ is the coefficient of restitution, Sn is the normal stiffness, is the equivalent mass, and is the relative normal velocity.
where is the tangential overlap amount.
where St is the tangential stiffness, and is the relative tangential velocity.
where is the moment of inertia of particle i, is the angular acceleration, is the tangential torque, is the rolling friction torque, and is the distance from the barycenter of particle i to the contact point.
where β is the rolling friction coefficient, is the effective rolling contact radius, and is the relative angular velocity of two particles in contact.
Figure 3 shows a 3D simulation model of a centralized seed-metering device consisting of four parts, namely, (1) a shell, (2) a seed-metering mechanism, (3) a mounting frame, and (4) a conveyor belt. The conveyor belt was utilized to fix the seeds’ positions. The 3D model was established using parametric three-dimensional (3D) software Pro/E, which was integrated with the DEM software (EDEM Academic 2018, DEM Solutions Limited, Edinburgh, UK). The mounting frame (3) was changed according to different inclination angles. The Hertz-Mindlin (no-slip) model was selected as the particle contact model with a hard sphere in the simulation. Input parameters for the simulation are listed in Table 1 [24].
Figure 3.
Simulation model: (1) shell, (2) seed-metering mechanism, (3) mounting frame, (4) conveyor belt, (5) 3rd row, (6) 5th row, (7) 6th row, (8) 2nd row, (9) 1st row, (10) 4th row.
Table 1.
Parameters used in the DEM simulations.
During the simulation, seeds were randomly generated in the seed hopper and filled into the seed chamber. The centralized seed-metering mechanism was rotated to accomplish seed-filling, carrying, cleaning, protecting, and dropping processes in six rows. From the back view, the rows from left to right were the 1st row, 2nd row, 3rd row, 4th row, 5th row, and 6th row, respectively. Meanwhile, the conveyor belt moved in Y direction to simulate the operating process of a centralized seed-metering device in a field. Then, seeds in the tests reached the conveyor belt to present their locations for analysis.
2.3.2. Simulation Design
With the seed layer height of 20 mm, an experiment with a two-factor design was conducted to study the effect of inclination angle on seeding performance based on the standard Norma, ISO-7256/1, 1984 [3]. Four inclination types and five inclination angles (θ) were taken into consideration. The parameters taken into account in the simulation test are provided in Table 2.
Table 2.
Descriptions of the factors investigated in the simulation and the bench test.
Seed-filling angle was measured by the protractor in the simulation (Figure 4b,c). The seed number deposited on each ridge was extracted with a sample of 180 ridges for 6 rows. The ratios of single seed-filling, double seed-filling, missing seeds, multiple seed-filling, and qualified seed-filling quantity were given as follows:
where P1, P2, P3, P4, and P5 are the ratios of single seed-filling, double seed-filling, missing seeds, multiple seed-filling (>3 seeds per ridge), and qualified seed-filling quantity (seed number of 1–3 seeds per ridge), respectively. N1, N2, N3, and N4 are the ridge numbers of single seed-filling, double seed-filling, missing seeds, and multiple seed-filling, respectively, and N is the total number of sample ridges.
Figure 4.
Structure of the centralized seed-metering device (a), seed-filling angle in left side view (b), and seed-filling angle in right side view (c). Note: (1) seed hopper, (2) seed layer adjusting plate, (3) seed chamber, (4) seed-metering mechanism, (5) shell. Note that α was the seed-filling angle.
2.4. Bench Test and Field Experiment
2.4.1. Bench Test Method
Bench tests were conducted using a test platform for the centralized metering device in the seed-metering laboratory of the Electrical and Mechanical College, Sichuan Agricultural University. This research was carried out using a test platform under controlled conditions (Figure 5a). A height adjusting mechanism (1) and inclination adjusting mechanism (4) enabled the application of different inclination angles. The JPS-12 seed meter performance test bench (Harbin Autobona Technology Co., Ltd., Harbin, China) provided a gear motor (3) and oiled belt (7) to control the angular velocity of the seed-metering device as well as the working velocity. An inclination MEMS sensor (BWT901CL; WitMotion Co., Ltd., Shenzhen, China) was utilized to measure the inclination angle, which was presented in the inclination monitor (8).
Figure 5.
Bench test platform (a) and seed ridge-spacing measurement method (b). Note: (1) height adjusting mechanism, (2) inclination MEMS sensor, (3) gear motor, (4) inclination adjusting mechanism, (5) JPS-12 seed meter performance test bench, (6) centralized seed-metering device, (7) oiled belt, (8) inclination monitor.
The effects of tilt type, inclination angle, angular velocity, seed layer height, and seed-cleaning brush on seeding performance were investigated in the bench test. A double-factor experimental design including the factors of seed layer height and inclination angle was conducted for installing the seed-cleaning brush. Seed layer height (h) represented the distance between the bottom of the seed-adjusting plate and the central line of the seed-metering wheel (Figure 4a). Seed layer height included 3 levels of 20, 25, and 30 mm, and the inclination angle consisted of 3 levels of 6°, 8°, and 10° for both X and −Y directions. The standard seed ridge spacing, Xref = 100 mm, was set in the test. The ridge spacing (Si), seed number per ridge, and ridge diameter (di) were measured using a sample of 540 ridges for 6 rows with 3 replications (Figure 5b). The seed missing ratio (ratio of ridge spacing ≥ 150 mm), qualified ratio (ratio of 50 mm ≤ ridge spacing < 150 mm), multiple ratio (ratio of ridge spacing < 50 mm), average ridge diameter and spacing, and the variance coefficient of ridge spacing were calculated.
2.4.2. Field Experiment
In order to test the sowing performance of the centralized seed-metering device in a sloping field, a field experiment was conducted in 2021 in the Tianfu District, Chengdu City, Sichuan Province, China (30.40° N and 104.03° E). The study site was a typical hilly area with subtropical humid monsoon climate and an average elevation above sea level of 434.89 m. The slopes of the test fields ranged from 2.88° to 9.52°.
In the field experiment, the rapeseed seeder was mounted on a tractor (Sichuan Chuanlong Agricultural Equipment Co., Ltd., Chengdu, China), as shown in Figure 6. The rapeseed seeder consisted of a fertilizer box (2), a centralized seed-metering device (3), a controller (4), a fertilizer metering device (5), six seed tubes (6), and six double-disc openers (7). The centralized seed-metering device was carried out with a seed layer height of 25 mm and installing a seed-cleaning brush. The rotational speeds of the centralized seed-metering device (3) and the fertilizer-metering device (5) were controlled by the controller (4) according to the working velocity measured by the GPS receiver. Thus, the processes of rotary tillage, rapeseed precision seeding, and fertilizing were accomplished synchronously by the rapeseed seeder, sowing six rows. The rapeseed variety was Chuanyou 36 (B. napus L., provided by Chengdu Damei Seeds Co., Ltd., Chengdu, China), with the row spacing of 300 mm and theoretical ridge spacing of 120 mm. The inclination angle of the seeder was tested by the altitude and inclination MEMS sensor. For each field, the inclination angle of five points was tested and the seedling spacing was measured for six rows (Figure 6b). Twenty consecutive ridges were sampled in each row with three replications.
Figure 6.
Field experiment of the rapeseed seeder (a) and seedling growth and measurement (b). Note: (1) tractor, (2) fertilizer box, (3) centralized seed-metering device, (4) controller, (5) fertilizer-metering device, (6) seed tube, and (7) double-disc opener.
3. Results and Discussion
3.1. Effect of Inclination Angle on Seed-Filling Quantity
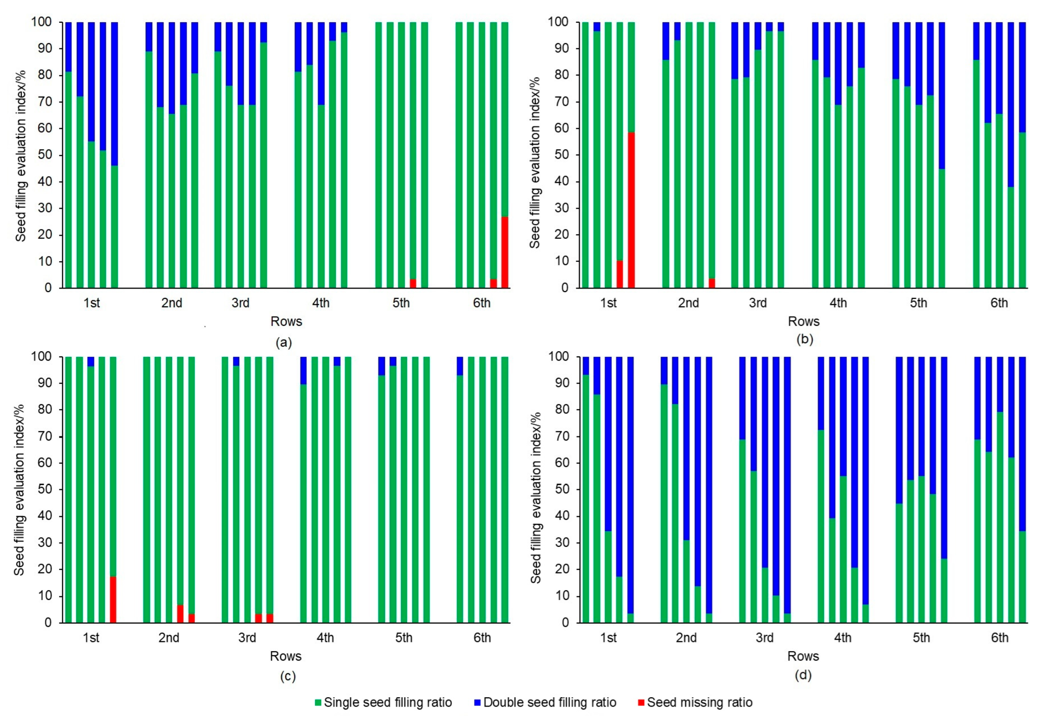
Figure 7 shows that inclination angle had a significant effect on seed-filling characteristics. When a centralized seed-metering device inclined to a lateral angle, the missing seeds ratio increased with an increase in inclination angle. When a flat status of the seedbed was observed (e.g., θ = 0°, 2°), the ratio of single seed-filling was significantly decreased by 6.90–9.20% at θ = 4°, 8.05–10.92% at θ =6°, 8.62–11.49% at θ = 8°, and 8.82–19.13% at θ = 10°. The inclination angle significantly increased the double seed-filling ratio of the rows for both −X and X sides (Figure 8a,b). The largest double seed-filling ratio and lowest single seed-filling ratio were observed in the 1st row tilting to −X direction and the 6th row tilting to X direction. The missing seeds ratio significantly increased in the 6th row tilting to −X direction and the 1st row tilting to X direction for larger inclination angles (e.g., 8°, 10°). The difference in seeding evaluation indexes was due to the seed-filling angle. Compared with those of horizontal control (θ = 0°), the seed-filling angle was significantly increased by 0.54–8.89° at θ = 2°, 6.90–14.12° at θ = 4°, 17.67–28.21° at θ = 6°, 25.27–33.85° at θ = 8°, and 42.96–19.16° at θ = 10° for the tilt direction. The inclination angle resulted in a 0.77–7.35°, 3.45–14.28°, 11.85–21.63°, 20.01–25.94°, and 29.39–35.66° reduction in inclination angle of 2°, 4°, 6°, 8°, and 10° in the opposite inclination direction, respectively (Figure 9a). The results indicated that the seed-filling angle increased with an increase in the inclination angle near the inclination side, thereby increasing the double seed-filling ratio. The inclination angle appeared to markedly increase the deviation of seed layer height between the left side and the right side.
Figure 7.
Effects of inclination angle on seed-filling performance: (a) lateral inclination angle and (b) axial inclination angle.
Figure 8.
Effects of inclination angle on seed-filling performance for different rows: (a) tilting to −X direction, (b) tilting to X direction, (c) tilting to −Y direction, and (d) tilting to Y direction. The seeding indexes for each row from left to right represent the evaluation index of the inclination angles of 2°, 4°, 6°, 8°, and 10°.
Figure 9.
Effects of inclination angle on seed-filling angle: (a) lateral inclination angle and (b) axial inclination angle.
With a centralized seed-metering device inclined to an axial angle, the single seed-filling ratio increased first and then decreased with an increase in the inclination angle in −Y direction (Figure 7b). The missing seeds ratio increased and the double seed-filling ratio reduced with an increase in the inclination angle in −Y direction. Compared with that in the inclination angle at θ = 0°, a 17.24%, 26.54%, 44.25%, 61.91%, and 77.59% increase in double seed-filling ratio was recorded at inclination angles of 2°, 4°, 6°, 8°, and 10° in Y direction, respectively. The majority of single seed-filling ratios in different rows were more than 90% inclined towards −Y direction (Figure 8c). The seed-filling angle increased significantly from θ = 10° in −Y direction to θ = 10° in Y direction, thereby increasing seed-filling layer height (Figure 9a). Compared with that at θ = 0°, the seed-filling angle significantly reduced by 0.15–2.51°, 5.98–6.50°, 7.58–7.70°, 9.85–9.88°, and 12.36–14.00° at inclination angles of 2°, 4°, 6°, 8°, and 10° in −Y direction, respectively. The −2.92–15.02°, −1.74–17.52°, 5.09–20.88°, 4.90–25.37°, and 12.89–32.77° increases in seed-filling angle were observed at inclination angles of 2°, 4°, 6°, 8°, and 10° in Y direction, respectively. Lower seed-filling angles resulted in an increase in the single seed-filling ratio and a larger seed-filling angle increased the double seed-filling ratio. In addition, seeds would pass through the seed-metering wheel at a larger seed layer height, thereby causing poor seeding performance and increasing the seed damage rate at larger inclination angles (e.g., 8°, 10°) in the −X, X, or Y directions. Therefore, the seeding performance became worse when the inclination angle was larger than 8°.
3.2. Effects of Inclination Angle on Seed Performance in the Bench Test
Table 3 presents the effect of inclination angle on seeding performance at an angular velocity of 20 rpm in bench tests and a seed layer height of 15 mm. Compared with no-inclination treatment (CK), the ratio of qualified seed-filling quantity per ridge decreased and varied between 86.0% and 93.0% when tilted in −X and X directions. The qualified ratio decreased with an increase in inclination angle. The seed missing ratio was the largest at 8° and decreased significantly at 10°, which may be due to seeds crossing the metering wheel. It is noticeable that the ridge diameter and variance coefficient of ridge spacing significantly increased. Ridge spacing significantly increased in the 6th row in the −X direction (Figure 10a) and the 1st row in the X direction (Figure 10b). When the seed-metering device tilted to one side, seed layer height decreased and seed ridge spacing increased in the rows close to the opposite tilting direction. The ridge spacing was 105–120 mm, with a variance coefficient of ridge spacing less than 30% at 2–8°.
Table 3.
Effects of inclination angle on seeding performance in bench tests.
Figure 10.
Effects of inclination angle on ridge spacing: (a) tilting to −X direction, (b) tilting to X direction, (c) tilting to −Y direction, and (d) tilting to Y direction.
The seed missing ratio, ridge spacing, and its variance coefficient increased significantly with the increase of the inclination angle in −Y direction. The ratio of qualified seed-filling quantity decreased sharply due to the lower seed layer height at θ > 6°, resulting in an increase in the seed missing ratio and ridge spacing. When the centralized seed-metering device inclined in the Y direction, the ratio of qualified seed-filling quantity decreased with an increase in the inclination angle. Seeds in each model-hole were larger than 3 seeds because of the high seed layer height. The qualified ratio, ridge spacing, and its variance coefficient ranged 92–96%, 107–110 mm, and 16.0–23.0%, respectively, at θ < 8°. Moreover, seeds passed through the metering wheel and seeding performance significantly reduced when θ > 8°. Figure 11 shows the seed distribution in the no-inclination treatment and the inclination angle of 6° on the oiled belt. The seed quantity increased on the inclination side in the −X and X direction. Seeds were missing in some rows in −Y direction and seed quantity increased in Y direction.
Figure 11.
Seed distribution on oiled belt: (a) θ = 0°, (b) tilting to −X direction at θ = 6°, (c) tilting to X direction at θ = 6°, (d) tilting to −Y direction at θ = 6°, and (e) tilting to Y direction at θ = 6°. Note that circles in white and yellow represent missing seeds and ≥2 seeds per ridge, respectively.
3.3. Seeding Performance under Various Angular Velocities and Cleaning Treatment
Table 4 illustrates seeding performance under various angular velocities at θ = 6°. When inclined to −Y direction, the ratio of qualified seed-filling quantity and qualified ratio first increased and then decreased. The results of Wang et al. observed that the seed feeding quantity and variance coefficient were increased with an increase in the inclination angle [7]. At 10 rpm, the seed missing ratio was largest due to a slight disturbance of the seed layer. The variance coefficient of ridge spacing was more than 30% and the seed missing ratio was more than 10%. The ratio of qualified seed-filling quantity and the qualified ratio were larger than 94.0%, and average ridge spacing ranged from 104 to 110 mm when tilting in the Y direction. The variance coefficient of ridge spacing was less than 25.0%, indicating that ridge spacing was stable with a lower seed missing ratio at an angular velocity of 10–40 rpm. When tilted in the −Y direction, the increase in the missing seeds ratio may be due to a reduction in the seed layer height [17].
Table 4.
Seeding performance under various angular velocities (θ = 6°).
To prevent seeds from flowing through the seed-metering wheel and to improve seeding performance at large inclination angles, a seed-cleaning brush was installed in the centralized seed-metering device. Table 5 presents the seeding performance when inclined in X direction, −Y direction, and Y direction with a seed-cleaning brush. The ratio of qualified seed-filling quantity and the qualified ratio of the seed-cleaning brush were obviously increased compared with those without the seed-cleaning brush treatment. When tilted in the X direction, the qualified seed-filling quantity and qualified ratio increased by 3.27 and 1.98 percentage points at a seed layer height of 20 mm. The missing seeds ratio was significantly reduced by 16.91-46.91 percentage points in the −Y direction and the qualified seed-filling quantity and qualified ratios were more than 95.0% at a seed layer height of 25 mm. Seed-cleaning treatment contributed to improve seeding performance at an inclination angle of 10–16°, i.e., a qualified ratio (90.19–97.04%), compared with the qualified ratio (92.78–96.48%) at an inclination angle of 2–8°. The phenomenon of seeds passing through the seed-metering wheel disappeared. Therefore, the use of a seed-cleaning brush was an effective method to prevent seed collection and crossing the seed-metering wheel, and the seed-filling and seeding performance were improved by adjusting the seed layer height. Wang et al. and Luo et al. designed a seed-cleaning brush to develop the seed feeding performance [3,28].
Table 5.
Seeding performance under seed-cleaning treatment in −Y and X inclination directions.
3.4. Results and Analysis of Field Experiment
The seedling distribution in the field experiment is shown in Table 6. The results showed that the average seedling spacing increased with the increase of the inclination angle. The ratio of qualified seedling spacing was 86.30% for ascending 2.88°, 82.78% for ascending 5.63°, 78.33% for descending 7.79°, and 76.67% for descending 9.52°. For the seeder ascending (Y direction) at θ < 6°, the seedling spacing was 114.84–151.45 mm. The seedling spacing and its variance coefficient were significantly increased at a larger inclination angle for seeder descending (−Y direction). Compared with the results at descending inclinations in the bench test (qualified ratio < 71.0%), the ratio of qualified seedling spacing increased, i.e., 68.89–83.33%. This may be due to the vibration of the seeder in the field, causing an increase in the seed layer height. The seedlings’ distribution was more uniform at a lower inclination angle (<6°) and seedling uniformity required further investigation to improve seed-filling and seeding performance. Larger inclination angles are known to markedly decrease the seeding performance and seedling distribution uniformity [7,29].
Table 6.
Field experiment results of centralized metering device for rapeseed.
4. Conclusions
The effect of the inclination angle on seeding performance was investigated by DEM simulation and bench tests. The characteristics of seed-filling and seeding performance in the centralized seed-metering system of rapeseed were analyzed, and the conclusions can be drawn as follows:
(a) Simulation results indicated that the inclination angle had a significant effect on seed-filling characteristics. Seed-filling angle and double seed-filling ratio increased on the inclination side with the increase of the inclination angle. The missing seeds ratio and the deviation of the seed layer height on two sides increased with an increase in the lateral inclination angle (−X and X directions). When inclined to the forward direction (−Y direction), the seed-filling angle and double seed-filling ratio significantly decreased, and the missing seeds ratio increased with the increasing inclination angle. The increase of the inclination angle in the back direction (Y direction) increased the seed-filling angle, double seed-filling ratio, and seed layer height, causing poor seeding performance at θ > 8°.
(b) Based on bench tests, the ratio of qualified seed-filling quantity and qualified ratio decreased as the inclination angle increased, and the seed missing ratio increased significantly at 8° when inclined in a lateral direction. The ridge spacing was 105–120 mm with a variance coefficient of ridge spacing less than 30% at 2–8°. The ratio of qualified seed-filling quantity decreased and the seed missing ratio and ridge spacing increased significantly at an inclination angle > 6° when inclined in the −Y direction. The qualified ratio, ridge spacing, and variance coefficient ranged 92–96%, 107–110 mm, and 16.0–23.0%, respectively, at θ < 6°, and seeding performance reduced significantly at θ > 8° when inclined in the Y direction.
(c) The ratio of qualified seed-filling quantity and the qualified ratio were more than 94.0% at θ = 6° and an angular velocity of 10–40 rpm. Seed-cleaning treatment and adjusting seed layer height contributed to the increase in the qualified ratio. The qualified ratio was more than 91.0% at a seed layer height of 20 mm in the X direction. The missing seeds ratio significantly decreased by 16.91–46.91 percentage points in the −Y direction and the phenomenon of seeds passing through the seed-metering wheel disappeared with a qualified ratio larger than 90.0% in the Y direction. Field experiment results indicated that the ratio of qualified seedling spacing was greater than 80.0% with a seedling spacing of 110–152 mm at θ < 6°.
This work should be helpful in clarifying the seed-filling characteristics and improving seeding performance under different inclination angles by adjusting the seed layer height and installing a seed-cleaning brush in the centralized seed-metering device for rapeseed. Future work will explore the approaches to improve seeding performance under inclination and vibration conditions.
Author Contributions
Conceptualization, X.L. and W.R.; methodology, X.L., W.W., C.C., Z.Z., J.G. and P.Z.; investigation, H.C. and Y.W.; data curation, T.L.; writing—original draft preparation, X.L.; writing—review and editing, J.H., W.Z., F.D., Y.C. and W.R.; project administration, X.L.; funding acquisition, X.L. All authors have read and agreed to the published version of the manuscript.
Funding
This research was funded by the National Natural Science Foundation of China (31901413).
Institutional Review Board Statement
Not applicable.
Informed Consent Statement
Informed consent was obtained from all subjects involved in the study.
Data Availability Statement
The data presented in this study are available upon request from the authors.
Conflicts of Interest
The authors declare no conflict of interest.
References
- Liao, Q.X.; Lei, X.L.; Liao, Y.T.; Ding, Y.C.; Zhang, Q.S.; Wang, L. Research progress of precision seeding for rapeseed. Chin. Soc. Agric. Mach. 2017, 48, 1–16. [Google Scholar]
- Barbosaa, F.T.; Bertol, I.; Wolschick, N.H.; Vázquezc, E.V. The effects of previous crop residue, sowing direction and slope length on phosphorus losses from eroded sediments under no-tillage. Soil. Till. Res. 2021, 206, 104780. [Google Scholar] [CrossRef]
- Norma, ISO 7256/1. Sowing Equipment-Test Methods-Part 1: Single Seed Drills (Precision Drills); Technical Committee ISO/TC 23: Tractors and machinery for agriculture and forestry: Saint-Denis, France, 1984. [Google Scholar]
- Yatskul, A.; Lemiere, J.P.; Cointault, F. Influence of the divider head functioning conditions and geometry on the seed’s distribution accuracy of the air-seeder. Biosys. Eng. 2017, 161, 120–134. [Google Scholar] [CrossRef]
- Searle, C.L.; Kocher, M.F.; Smith, J.A.; Blankenship, E.E. Field slope effects on uniformity of corn seed spacing for three precision planter metering systems. Appl. Eng. Agric. 2008, 24, 581–586. [Google Scholar] [CrossRef]
- Correia, T.; Sousa, S.; Silva, P.; Dias, P.P.; Gomes, A. Sowing performance by a metering mechanism of continuous flow in different slope conditions. Eng. Agric. 2016, 36, 839–845. [Google Scholar] [CrossRef][Green Version]
- Wang, L.; Xi, R.J.; Liao, Y.T.; Zhang, Q.S.; Xiao, W.L.; Liao, Q.X. Effects of land slope on seeding performance of a broad width precision no-tillage planter for rapeseed. Transact. Chin. Soc. Agric. Eng. 2020, 36, 11–21. [Google Scholar]
- Wang, L.; Liao, Y.T.; Zhang, Q.S.; Liu, H.; Wang, B.S.; Liao, Q.X. Experiments and analysis on seeding performance of seed feeding device of rapeseed centralized metering device under lateral tilt. Transact. Chin. Soc. Agric. Eng. 2020, 36, 1–10. [Google Scholar]
- Wang, L.; Liao, Y.T.; Liao, Q.X.; Qi, T.X.; Zhang, Q.S.; Wang, B.S. Design and test on centralized metering seed feeding device of air-assisted planter for rapeseed. Chin. Soc. Agric. Mach. 2021, 52, 75–85. [Google Scholar]
- Jia, H.L.; Zhang, S.W.; Chen, T.Y.; Zhao, J.L.; Guo, M.Z.; Yuan, H.F. Design and experiment of self-suction Mung bean precision seed metering device. Chin. Soc. Agric. Mach. 2020, 51, 51–60. [Google Scholar]
- Cao, X.Y.; Liao, Y.T.; Liao, Q.X.; Li, Z.D.; Lei, X.L. Design and experiment on valve-branch distributor of centrifugal precision metering device for rapeseed. Chin. Soc. Agric. Mach. 2015, 46, 77–84. [Google Scholar]
- Zhang, M.H.; Wang, Z.M.; Luo, X.W.; Jiang, E.C.; Dai, Y.Z.; Xing, H.; Wang, B.L. Effect of double seed-filling chamber structure of combined type-hole metering device on filling properties. Transact. Chin. Soc. Agric. Eng. 2018, 34, 8–15. [Google Scholar]
- Li, J.J.; Zhang, H.P.; Bi, X.S.; Wang, J.; Hu, B.; Li, S.Z. Simulation analysis and test on the filling performance of rotary type-hole precision seed-metering device for cotton. Transact. Chin. Soc. Agric. Eng. 2020, 36, 38–49. [Google Scholar]
- Qin, W.; Yu, Y.J.; Lai, Q.H.; Yuan, H.K.; Zhan, C.X.; Sun, K. Effect of panax notoginseng seed size on seed-filling performance of the socket-roller seeding apparatus. J. South China Agric. Univ. 2019, 40, 126–132. [Google Scholar]
- Shi, S.; Zhang, D.X.; Yang, L.; Cui, T.; Li, K.H.; Yin, X.W. Simulation and verification of seed-filling performance of pneumatic-combined holes maize precision seed-metering device based on EDEM. Transact. Chin. Soc. Agric. Eng. 2015, 31, 62–69. [Google Scholar]
- Shi, S.; Liu, H.; Wei, G.J.; Zhou, J.L.; Jian, S.C.; Zhang, R.F. Optimisation and experiment of pneumatic seed metering device with guided assistant filling based on EDEM-CFD. Chin. Soc. Agric. Mach. 2020, 51, 54–66. [Google Scholar]
- Lei, X.L.; Liao, Y.T.; Li, Z.D.; Zhang, W.Y.; Cao, X.Y.; Li, S.S.; Liao, Q.X. Effects of seed layer thickness on seed filling performance of seed feeding device for rapeseed and wheat. Transact. Chin. Soc. Agric. Eng. 2016, 32, 11–19. [Google Scholar]
- Lei, X.L.; Liao, Y.T.; Li, Z.D.; Zhang, W.Y.; Li, S.S.; Liao, Q.X. Design of seed churning device in air-assisted centralized metering device for rapeseed and wheat and experiment on seed filling performance. Transact. Chin. Soc. Agric. Eng. 2016, 32, 26–34. [Google Scholar]
- Cong, J.L.; Liao, Q.X.; Cao, X.Y.; Liao, Y.T.; Yu, J.J.; Wang, L. Seed filling performance of dual-purpose seed plate in metering device for both rapeseed & wheat seed. Transact. Chin. Soc. Agric. Eng. 2014, 30, 30–39. [Google Scholar]
- Karayel, D.; Wiesehoff, M.; Ozmerzi, A.; Muller, J. Laboratory measurement of seed drill seed spacing and velocity of fall of seeds using high-speed camera system. Comput. Elect. Agric. 2006, 50, 89–96. [Google Scholar] [CrossRef]
- Abdolahzare, Z.; Mehdizadeh, S.A. Real time laboratory and field monitoring of the effect of the operational parameters on seed falling speed and trajectory of pneumatic planter. Comput. Elect. Agric. 2018, 145, 187–198. [Google Scholar] [CrossRef]
- Liu, H.X.; Xu, X.M.; Liu, J.X.; Wang, C. Working characteristics of vertical shallow-basin type seed-metering device based on high-speed photography and virtual simulation. Transact. Chin. Soc. Agric. Eng. 2016, 32, 13–19. [Google Scholar]
- Tao, G.X.; Yi, S.J.; Wang, C.; Mao, X. Analysis on dropping processing of precision sowing device in rice seeding bowl by high-speed photography. Transact. Chin. Soc. Agric. Eng. 2012, 28, 197–201. [Google Scholar]
- Lei, X.L.; Hu, H.J.; Wu, W.C.; Liu, H.N.; Liu, L.Y.; Yang, W.H.; Zhou, Z.L.; Ren, W.J. Seed motion characteristics and seeding performance of a centralized seed metering system for rapeseed investigated by DEM simulation and bench testing. Biosys. Eng. 2021, 203, 22–33. [Google Scholar] [CrossRef]
- Hu, H.J.; Zhou, Z.L.; Wu, W.C.; Yang, W.H.; Li, T.; Chang, C.; Ren, W.J.; Lei, X.L. Distribution characteristics and parameter optimisation of an air-assisted centralized seed-metering device for rapeseed using a CFD-DEM coupled simulation. Biosys. Eng. 2021, 208, 246–259. [Google Scholar] [CrossRef]
- Hou, Q.F.; Dong, K.J.; Yu, A.B. DEM study of the flow of cohesive particles in a screw feeder. Powder Technol. 2014, 256, 529–539. [Google Scholar] [CrossRef]
- Lei, X.L.; Yang, W.H.; Yang, L.J.; Liu, L.Y.; Liao, Q.X.; Ren, W.J. Design and experiment of seed hill-seeding centralized metering device for rapeseed. Chin. Soc. Agric. Mach. 2020, 51, 54–64. [Google Scholar]
- Luo, X.W.; Jiang, E.C.; Wang, Z.M.; Tang, X.R.; Li, J.H.; Chen, W.T. Precision rice hill-drop drilling machine. Transact. Chin. Soc. Agric. Eng. 2008, 24, 52–56. [Google Scholar]
- Wang, Y.J.; Qiao, J.Y.; Ji, W.Y.; Sun, J.; Huo, D.X.; Liu, Y.P.; Chen, H.T. Effects of crop residue managements and tillage practices on variations of soil penetration resistance in sloping farmland of Mollisols. Int. J. Agric. Biol Eng. 2022, 15, 164–171. [Google Scholar] [CrossRef]
Publisher’s Note: MDPI stays neutral with regard to jurisdictional claims in published maps and institutional affiliations. |
© 2022 by the authors. Licensee MDPI, Basel, Switzerland. This article is an open access article distributed under the terms and conditions of the Creative Commons Attribution (CC BY) license (https://creativecommons.org/licenses/by/4.0/).










