Abstract
When wide-width sowing wheat after rice stubble (WRS) in a rice-wheat rotation area, there is a problem of poor uniform of seed distribution. To solve the problem, this study designed the seed distribution plate (SDP) structure and optimized its critical structure parameters. Firstly, combined with the operating principles of the wide-width seeder and the agricultural standards for WRS, the main structural parameters affecting seed movement were determined by a theoretical analysis of seed grain dynamics and SDP structure. Secondly, the operational performance of six different structures of SDP under different structural parameters was compared using discrete element simulation technology. The structure of SDP most suitable for WRS wide-width seeding and the value ranges of key structural parameters that have a significant impact on the coefficient of the variation of seed lateral uniformity (CVLU) were determined. Finally, the pattern and mechanism of the influence of key structural parameters of SDP on the CVLU were analyzed. The optimum parameter combination was obtained and a field validation test was conducted on this. The results showed that the anti-arc ridge and arc bottom structure (S6) is more suitable for the agronomy standards of WRS wide-width seeding. The chord length of ridge, installation inclination, angle between the chord and tangent of the end of ridge line (ACT), span, and bottom curve radius are determined as the key structural parameters affecting the CVLU, and there is a lower CVLU (42.8%) when the ACT is 13°. The primary and secondary order of the influence of each factor on CVLU is the chord length of the ridge, span, installation inclination, and bottom curve radius. The corresponding parameter values after optimization are 140 mm, 40°, 75 mm and 50 mm, respectively. A field test was conducted on the SDP after optimizing parameters, and the CVLU was 30.27%, which was significantly lower than the CVLU before optimization.
1. Introduction
The rice-wheat rotation agronomic model with two crops per year is widely practiced in the middle and lower Plain of the Yangtze River in China. The rice-wheat rotation agronomic model is characterized by sowing wheat immediately after the rice harvest, that is, wheat after rice stubble (WRS). The annual planting area of WRS is about five million hectares, accounting for about 20% of the total wheat planting area in China [1,2]. So, the promotion and development of WRS are crucial to stabilize the total yield of wheat in China. The WRS sowing time is from late October to early November each year. The traditional sowing technology is “straw crushing–burying and returning to field-rotary ploughing–sowing and fertilizing–suppression” [3,4]. Under this background, there are many constraints to the mechanized sowing of WRS [5]. The major points of constraints are as follows: (a) With the postponement of rice harvesting, the sowing period of WRS is further shortened. However, the mechanized sowing process of WRS is complicated. (b) The rice straw content in the field is huge, and the rice straw on the seed strip cannot be handled well, resulting in poor sowing quality. (c) The paddy soil is wet and sticky due to high moisture content, which reduces the smoothness of mechanized sowing. Combined with the agronomic conditions of WRS production in the middle and lower plain of the Yangtze River in China, the agronomic model of straw inter-row mulching and wide-width sowing of WRS was proposed. This technical model can solve the above-mentioned WRS sowing problems. However, the poor uniformity of wheat sown in the wide seed strips is the main reason that the popularization of this technology at present is restricted.
Many agricultural experts have studied the mechanized strip-sowing technology of grain. Wang [6,7] designed a noncontact self-suction wheat shooting device, analyzed the working principle of this device, and designed the dimensions of key components. On this basis, by analyzing the accelerating process of wheat seeds inside the seed discharger and the seed casting process, the seeding performance of the device was investigated, to obtain the factors that affect the wheat seeding effect [8]. Wang et al. [9,10,11] proposed a non-contact pneumatic WRS seeding technology. After analyzing the injection speed required for qualified seeding under soil conditions with different water contents through bench tests, a WRS seeding device with high-pressure accelerating airflow was designed; subsequently, the characteristics of the airflow field and the influence relationship of various structural parameters on sowing quality were analyzed based on CFD techniques, and the key parameters of the seeding device were optimized. Xing et al. [12] designed a high-speed strip seeding device. Through CFD-DEM coupled simulation, the aerodynamic characteristics and distribution law of the gas-phase flow field inside the device, as well as the influence law of the structural parameters on the operation quality, were analyzed. Wang et al. [13] analyzed the influence mechanism of fluted force-feed seeder parameters on sowing uniformity, and optimized the structural parameters of the feeding mechanism of the wheat planter. Through a theoretical analysis, numerical simulation and actual experiment, Li [14], Xi [15], and Han [16] analyzed and optimized the effects of structure and operation parameters of a rotary-tillage sowing device, wide strip seed guiding device and non-tube sowing device on sowing uniformity and sowing depth. Compared with traditional seeders, it is shown that these optimized devices have better operating performance and economic benefits. These devices are mainly used on land without straw, and the seeds are distributed in a narrow strip shape. Lei [17,18] and Tang [19] simulated the motion characteristics of seeds in a pneumatic seed metering device based on CFD-DEM simulation technology. The effects of the seed metering tube, seed distribution device structure and air flow on the sowing performance were analyzed by simulation. The optimized parameters of the device structure and airflow were determined to improve the seeding quality. Liu [20] analyzed the effects of factors (rotational speed, adjusting plate height and eyelet length) on the operational performance of the seed wide dispensing device with eyelet wheeled through experiments, and comprehensively optimized the performance of the dispensing device [21]. Niu [22] proposed a technical solution for WRS seeding with a straw covering on the surface after sowing, and studied the operational performance of the whole machine through a theoretical analysis and field test. Hu [23] proposed the technical scheme of combining “seed-fertilizer-seed” type wide seeding and belt rotary tillage, and conducted theoretical design and field experiments on key components such as furrow openers and floating soil covering plates. The sowing width of this sowing technique is about 70 mm, and the qualified rate of sowing depth is about 85%. Taking the sowing uniformity as the index, Zhu [24] analyzed the effect relationship between the spherical radius, installation angle and span on the index, and optimized the performance of the wide seed distribution plate by an orthogonal rotary combination test. These studies mainly focus on the performance analysis and optimization of hole-sowing and narrow strip-sowing techniques. However, there are few studies on the uniform seed distribution mechanism and structure optimization of WRS wide-width sowing.
The purpose of this study is to design and optimize a wide-width seed uniform distribution device for WRS to solve the problem of the poor sowing uniformity of wide-width (240 mm) wheat. This research is based on an agronomic model of straw inter-row mulching and wide-width sowing. The first research task is to simulate the working process of different structures of seed uniform distribution device with a wide width to obtain the optimal structural form and the corresponding key parameter range. The second research task is to conduct a comprehensive optimization of the structural parameters of the seed uniform distribution device, to obtain the optimal combination of structural parameters. By achieving this goal, mechanical technology and agronomy of WRS are integrated, thus promoting the advancement of a full-process mechanized production technology of WRS.
2. Material and Methods
2.1. WRS Agronomic Model with Wide Width
An appropriate sowing period is one of the crucial guarantees for high wheat yield [25]. However, with the postponement of rice harvest time, the WRS sowing period is further delayed. WRS sowing with a wide width can optimize the wheat population structure and help stabilize the yield when sowing dates are delayed.
Combined with the agronomic conditions of WRS production in the middle and lower plain of the Yangtze River in China, the agronomic model of straw inter-row mulching and the wide-width sowing of WRS was proposed. The practice shows that the yield by this technology is basically the same as that sown by conventional methods, but the operation procedure is more simplified, the operation smoothness is higher, and the efficiency is higher [26]. This sowing method has the following characteristics: (a) We complete all processes at one time, including rice straw crushing, seed strip straw removal, wide sowing, and suppression. (b) The width of the seed strip is 240 mm, and the row spacing is 300 mm. (c) We fertilize and rotary till the seed strip, which allows for both belt arrangement and reduced soil disturbance. (d) After the operation, seeds are evenly distributed in the seed strip of 240 mm, and all the crushed straw is placed in a gap of 300 mm. As shown in Figure 1, the operation effect of the technique with straw inter-row mulching and wide-width sowing WRS is shown.
Figure 1.
Operation effect of technique with straw inter-row mulching and wide-width sowing WRS: (a) untreated rice straw land after rice harvest; (b) field after operation.
2.2. Structure and Principle
The equipment with straw inter-row mulching and wide-width sowing mainly performs three processes: seed strip manufacturing, wide-width sowing, and suppression. The overall structure of the equipment is shown in Figure 2, which is mainly composed of a straw-crushing device, straw diversion device, seed strip rotary tillage device, and seed uniform distribution device with a wide width and press wheel.
Figure 2.
The overall structure of a wide-width planter with crushed straw inter-row mulching: 1. Straw-crushing device; 2. straw diversion device; 3. seed strip rotary tillage device; 4. seed uniform distribution device with wide width; 5. press wheel.
The technical principle of seed strip manufacturing is as follows: the high-speed rotating straw-crushing device crushes rice straw and throws it to the straw diversion device; the crushed straw sprayed at high speed is coupled with the wedge-shaped straw diversion device for movement so that the straw originally located in the seed strip is forced to slide into the gap between rows. The technical principle of wide-width sowing is as follows: when the strip tillage device rotates the seed strip without straw, the soil is thrown up to a certain height; the seed uniform distribution device performs sowing between the thrown soil particles and the ground surface; most of the soil thrown up crosses over the seed uniform distribution device and falls back to the ground surface by the blocking plate of the strip tillage device, to realize the mulching of seeds; and there is press wheel compaction of the ground after sowing. After operation, 240 mm seed strip and 300 mm crushed straw strip were alternately arranged longitudinally in the field, as shown in Figure 1b.
The seed uniform distribution device with a wide width is the key component of the WRS wide-width sowing system. The seed uniform distribution device mainly consists of a feed tube, seed distribution plate (SDP), seed-retaining plate, and soil-retaining plate. The seed discharger, seed transporting tube, and seed equalizer are connected up and down sequentially, as shown in Figure 3. The seed uniform distribution device is installed between the strip rotary cutter roller and the rear cover. The installation of the seed uniform distribution device needs a certain height from the ground, which can be adjusted according to the demand of sowing depth. Each seed strip is equipped with two seed uniform distribution devices, each with a sowing width of 120 mm. The operation principle of the seed uniform distribution device is as follows: when sowing, the wheat seeds pass through the seed transporting tube to SDP. Wheat seeds fall uniformly on the seed strip after collision and slip on SDP. While controlling the trajectory of the seed, the seed-retaining plate and soil-retaining plate can prevent the thrown-up soil from falling into SDP to avoid clogging.
Figure 3.
Structure of seed uniform distribution device with wide width.
2.3. Analysis of the Relationship between Seed Distribution Plate Structure and Particle Motion
A mathematical structural model of SDP is shown in Figure 4. The SDP is a convex circular arc shape, which is formed by the movement of the bottom arc CD along the ridge arc AB. Point A is located at the midpoint of the arc CD and point B is the highest point of the SDP. The distance of AB is the chord length of ridge, which is l. Line EQ is the mid-perpendicular of chord AB, and Q is the center position of arc AB. Points C and D are the two boundary points of the SDP at the bottom, and the distance of CD is the span of the plate, which is 2b.
Figure 4.
Mathematical structural model of the seed distribution plate.
Through theoretical analysis, it can be observed that the coordinates of point A are (, 0, 0), the coordinates of point B are (0, 0, ) and the coordinates of the midpoint E on the string are (, 0, ).
The slope of the line EQ is as follows:
where is the installation inclination.
So, the Equation of line EQ is as follows:
Assume that the center coordinate corresponding to the arc ridge is Q (m, 0, n), and the radius is R; then, the following relationship holds:
The slope corresponding to the tangent of the ridge line at point A is shown in Equation (3).
where is the angle between the chord and tangent of the end of the ridge line (ACT).
Moreover, point Q (m, 0, n) is on the line EQ, so through the simultaneous Equations (2)–(4), the parameter values (m, n, and R) of the ridge can be obtained.
Taking any point P (px, py, pz) on the SDP surface as the research object, at this point the following relationship holds.
where r is the bottom curve radius, mm.
The tangents of the two curves at point P are both on the tangent plane of the SDP surface at point P, and the slopes of the two tangents are shown in Equation (8).
where k1 and k2 are the slopes of two tangents, respectively. These two tangents respectively belong to the section curves parallel to the ridge arc and the bottom arc.
These direction vectors corresponding to the two tangents are shown in Equation (9). Then, the normal vector of the tangent plane of the SDP surface at that point is shown in Equation (10).
Ignore air resistance and discretize the point particle for study. The dynamic differential equation along the coordinate axis is established for the particles at any point P.
It can be observed from Equation (11) that the mechanical relationship of particles on SDP is closely related to the curve’s shape in longitudinal and transverse positions. Therefore, when the initial velocity of seeds and the installation position of SDP are determined, the distribution of seeds on the ground is mainly affected by the structural parameters of SDP. Equations (1)–(7) shows that the structure of SDP is determined by the chord length of the ridge, installation inclination, the angle between the chord and tangent of the end of the ridge (ACT), span and bottom curve radius.
2.4. Simulation System Settings
Experiments and data statistics can be efficiently carried out through discrete element numerical simulation methods. The discrete element simulation system of this experiment includes a wheat particle model, device model, and soil plate used to host seeding and statistical data. By actually measuring the three-dimensional dimensions of wheat, a wheat particle model with a length of 6.9 mm and a maximum height of 3.4 mm was composed of spheres. The particle distribution ranged from 0.95 to 1.05 [27]. The simplified model of the device was imported into EDEM (2019) software, and then a flat plate with a length of 2000 mm and a width of 200 mm was built under it. The simulation platform of the device–seed-statistic plate is built as shown in Figure 5. Considering the convenience of manufacturing, the device is made of PLA polymer material. The discrete element parameters refer to the related literature and measurements [28,29,30], as shown in Table 1. The operating speed of wheat seeders is generally 0.8~1.2 m/s. In this study, the operating speed is set to 1 m/s. The wheat-seeding dose in the rice-wheat rotation area is generally 180~270 kg/hm2. In this study, the wheat-seeding dosage was set to 225 kg/hm2, that is, the wheat production speed of the particle factory is set to 6 g/s.
Figure 5.
Using EDEM software post-processing module for data statistics: (a) DEM model of wheat; (b) test and statistical method of CVLU.
Table 1.
Material property parameters of the simulation model.
2.5. Evaluation Index Calculation Method
The experiments described in Section 2.4 and Section 2.5 are implemented through numerical simulations of the discrete element method. The test results can be easily counted directly through the post-processing module of EDEM software. The data need to be counted under the stable operating; thus, the middle position of the simulated seed strip was used as the counting area. The section of the long 500 mm is randomly selected in the area where the operation is stable. Considering the length of wheat particles and the unity of the statistics of field trials, the statistical area was divided into 6 rows for the CVLU statistics. The size of each test cell is 20 × 100 mm, and the number of seeds in each cell is counted. The CVLU statistical method is shown in Equation (12). Figure 6 shows the statistical diagram of CVLU.
where Q is the average number of seeds in each column of grid cells; Qij is the number of seeds in the ijth statistical cell; M denotes the number of grids per row; N represents the number of grids per column; Y is the CVLU value, %.
Figure 6.
Schematic diagram of data statistics in the sampling area.
When conducting sampling for CVLU in field trials, steel plates are inserted into the soil according to the edge line of the cell shown in Figure 6, and all the soil in the steel plate is dug to count the number of seeds in each cell. In the statistics of sowing depth, taking the symmetrical plane of the SDP as the datum plane, 5 seed depths were randomly measured in each group of symmetrical rows, and the average value was calculated.
2.6. The Effect of SDP Structure on the Seed Uniform Distribution Performance
The SDP structure is the main factor affecting the wheat distribution uniformity in the seed belt. Considering the installation limitation of SDP and agronomic conditions, six structures of SDP were designed to analyze the effect of SDP structure on seeding performance, as shown in Table 2. The corresponding structural characteristic parameters of SDP include the chord length of ridge, installation inclination, ACT, span, and bottom curve radius. These parameters of SDP were changed to analyze the effect of the structure of SDP on the seed uniform distribution performance. The variation of these parameters of SDP is shown in Table 3, and when one of the parameters is varied, the others are at an intermediate level.
Table 2.
The different structures of the seed distribution plate.
Table 3.
Structural parameters and test levels for performance testing.
2.7. Comprehensive Optimization of Crucial Structural Parameters of SDP
Combined with Section 2.3 and the analysis result of Section 2.4, a comprehensive optimization simulation test was conducted on the crucial parameters that affect seed uniform distribution performance, including chord length of ridge, installation inclination, span, and bottom curve radius. Considering the actual sowing situation in the field, the seeds are regarded as evenly distributed longitudinally. At the same time, the SDP will hinder the movement of the soil, which will have a certain impact on the smoothness of the operation. Therefore, the coefficient of the variation of seed lateral uniformity (CVLU) through SDP is used as an evaluation indicator. A four-factor central combination test was implemented. Its test scheme and results are shown in Table 4.
Table 4.
The scheme and result for comprehensive optimization test.
2.8. Verification Test
To verify the accuracy of the results of optimizing SDP by numerical simulation, the optimized SDP was compared with simulations and bench tests under different operating parameters. The wheat seed variety used is Ningmai No. 31, and the sowing dosage is 180, 225 and 270 kg/hm2, respectively. The forward speed of the bench test is set to 0.8, 1.0 and 1.2 m/s, respectively. After the bench test is completed, the seeds on the surface are collected according to the zones shown in Figure 6. Each level test was repeated three times and the average value was taken. In addition, to further verify the field operation performance and smoothness of the optimized SDP, a field verification test was conducted at the rice-wheat rotation test base of the Nanjing Institute of Agricultural Mechanization, Ministry of Agriculture and Rural Affairs. The soil type was clayey, and no treatment was done in the field after the rice harvest. The average height of the rice straw is ≥400 mm. A WRS wide-width planter with crushed straw inter-row mulching was used as the test platform, and an optimized SDP was configured after its rotary tillage device to conduct the field trial, as shown in Figure 7. The forward speed and seeding dosage are set to be the same as those of the bench test, and the other working parameters of the machine were matched at the same time; that is, the rotational speed of the crushing device was 2000 r/min, and the rotational speed of the rotary tillage device was 300 r/min. Each level test was repeated three times and the average value was taken. The performance of the SDP is evaluated according to the method of Section 2.5.
Figure 7.
Performance verification test of SDP: (a) bench test to verify the accuracy of simulation results; (b) field performance verification test.
3. Results and Discussion
3.1. The Effect Law of the SDP Structure Parameter on the CVLU
3.1.1. The Effect of Ridge Parameters on the CVLU
Figure 8a shows the variation trend of the CVLU of SDP at different chord lengths of ridge. S1 and S4 have a similar change rule. With the increase in the chord length of the ridge, the CVLU shows a trend of decreasing and then increasing, and there is a minimum value (51.28% and 47.20%) when the chord length of the ridge is 130 mm. S2 and S5 have a similar change rule. With the increase in the chord length of the ridge, the CVLU shows a tendency to increase and then decrease, and it reaches the maximum value (84.74% and 76.87%) when the chord length of the ridge is 90 mm. S3 and S6 have a similar pattern of change, and the CVLU has a larger value at both smaller and larger chord lengths of the ridge. When the chord length of the ridge is 70–130 mm, the CVLU shows a fluctuating change trend. Overall, the CVLU order from low to high is S6, S3, S4, S1, S5 and S2. In other words, the seed distribution performance of the anti-arc ridge type is the best, the linear type is the second, and the arc is the worst.
Figure 8.
The effect of ridge parameters on CVLU: (a) the effect of the chord length of the ridge on CVLU; (b) the effect of installation inclination on CVLU; (c) the effect of ACT on CVLU.
Figure 8b shows the variation trend of the CVLU of SDP at different installation inclinations. With the increase in the installation inclination, the corresponding variation rule of CVLU of each structure is as follows. S1-S4, S2-S5 and S3-S6 have similar variation rules, respectively, and the CVLU value from small to large is sorted as S6, S3, S4, S2, S5 and S1. Overall, with the increase in the installation inclination, the CVLU shows a decreasing trend. When the installation inclination is small, the CVLU decreases greatly, but when the installation inclination is greater than 30°, the CVLU decreases slowly with the increase in the angle.
Figure 8c shows the variation trend of the CVLU of SDP at a different ACT. SDP with a straight ridge does not have the characteristic parameter of the ACT, so no test was conducted. As the ACT increases, S3 and S6 show a trend of first decreasing and then increasing, but S2 and S5 show a trend of first increasing and then decreasing. When the ACT ranges from 5° to 25°, each structure has a relatively stable change pattern. Overall, the ranking of the CVLU performance of SDP is S6, S3, S5 and S2. Compared with other parameters, the amplitude of the CVLU with the ACT is smaller. Therefore, the curve of the ACT–CVLU in the range of 5° to 20° was fitted to establish a mathematical model. The abscissa corresponding to the extreme value of the fitting curve is the ACT value corresponding to the minimum value of the CVLU, which is 13.35 degrees. Therefore, the ACT value was set to 13°, and the corresponding CVLU is 42.98%. When the ACT is too large, the flat surface at the bottom end of the curved SDP is increased, the seed contact time with the SDP surface is increased, and the CVLU of S2 and S5 are decreased under the combined effect of seed rotation and lateral slip. When the ACT is too large, the seeds are more likely to detach from the lower half of the plate and fly directly out, so that the CVLU of S3 and S6 increase.
3.1.2. The Effect of Bottom Parameters on the CVLU
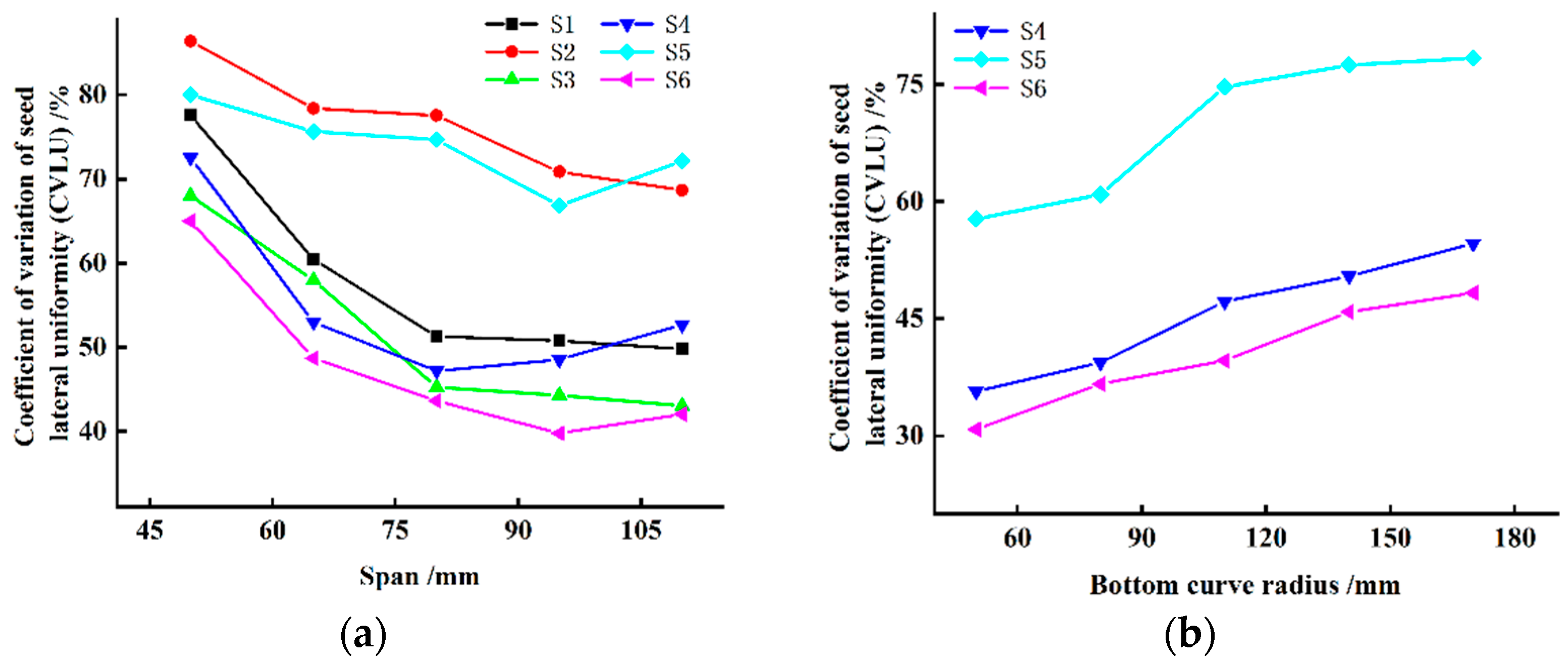
Figure 9a shows the variation trend of the CVLU of SDP at different span values. With the increase in the span value, the variation rules of the corresponding CVLU of each structure are as follows. S1-S2-S3 and S4-S5-S6 have similar patterns of change, respectively, but the CVLU of S2 and S5 are significantly higher than that of other structures. With the increase in span, the CVLU of S1, S2, and S3 all show the trend of first rapid decrease and then slow decrease, and the cut-off point of the change of the curve decreasing trend is at the span of 80 mm. S1, S2, and S3 obtain the minimum value at the span of 110 mm, which is 49.80%, 68.68% and 43.05%, respectively. With the increase in span, the CVLU of S4, S5, and S6 showed a rapid decrease followed by a slow increase with minimum values of 52.69%, 72.18%, and 42.05%, respectively. The variation trend of the CVLU curve of SDP with different structures is mainly affected by the shape of the bottom, while the variation range of the value is mainly affected by the shape of the ridge.
Figure 9.
The effect of ridge parameters on CVLU: (a) the effect of span on CVLU; (b) the effect of bottom transverse radius on CVLU.
Figure 9b shows the variation trend of the CVLU of SDP at different bottom curve radii. The ridge shapes of S1, S2, and S3 are linear, and the tests for analyzing the influence law of the bottom transverse radius on CVLU were carried out only for S4, S5, and s6. The CVLU increased for all test groups as the bottom transverse radius increased. S4 and S6 have closer CVLU values and similar curve patterns. However, the CVLU of S5 is much larger than the other groups and the trend of the curve change is different. The CVLU value from small to large is sorted as S6, S4, S5. In addition, when the bottom transverse radius is greater than 110 mm, the CVLU increases slowly as the radius increases.
3.2. Results Analysis of Response Surface Test
3.2.1. Results of Variance Analysis
The simulation results based on the center combination test are shown in Table 4. Design-expert 8.0 software is used to analyze the variance of the statistical data in Table 4. The analysis results are shown in Table 5. We establish a regression fitting model between CVLU and the four factors, as shown in Equation (13).
Table 5.
Model and variance analysis results of CVLU.
It can be observed from Table 5 that the regression model is extremely significant (p < 0.01), and the lack of fit item is not significant (p = 0.2328 > 0.1). Meanwhile, the model regression coefficient R2 = 0.94, and the adjusted R2 = 0.90. It shows that the model is well-fitted and high reliability. Comparing the F-value and p-value of each factor term, the following conclusions were obtained. The order of the main effect relationships of the four factors is A > C > B > D. The extremely significant items are ordered from large to small as A, C, B, C2, A2, D, BC. The significant items ordered from large to small are AB, AC, and CD.
3.2.2. Analysis of Interaction Effects of Factors
The ANOVA table shows that the interaction terms AB, AC, BC and CD have different degrees of significant effect on CVLU. To more intuitively display the impact of interaction terms on CVLU, response surface plots were drawn, as shown in Figure 10.
Figure 10.
Effect of interaction between factors on CVLU. (a) Y = f (A, B, 0, 0); (b) Y = f (A, 0, C, 0); (c) Y = f (0, B, C, 0); (d) Y = f (0, 0, C, D).
The interaction effect of AB item is shown in Figure 10a. When the installation inclination is low, the CVLU shows a quadratic trend of decreasing and then increasing with the increase in the chord length of the ridge. Moreover, when the installation inclination is larger, CVLU shows a large decrease followed by a slow increase as the chord length of the ridge increases. When the chord length of the ridge is larger or smaller, the CVLU shows a decreasing trend with increasing the installation inclination, but the decrease is larger when the chord length of the ridge is larger.
The interaction effect of AC item is shown in Figure 10b. When the chord length of the ridge is smaller or larger, the CVLU shows a tendency to decrease and then increase with increasing the span, but the decrease in CVLU is greater when the chord length of the ridge is smaller. When the span is smaller or larger, the CVLU shows a quadratic trend of decreasing and then increasing with the increase in the chord length of the ridge, but the change of the CVLU is greater when the span is smaller.
The interaction effect of the BC item is shown in Figure 10c. When the installation inclination is small, the CVLU shows a trend of rapid decrease with the increase in span. When the installation inclination is large, the CVLU shows a quadratic trend of first decreasing and then slowly increasing as the span increases. When the span is small or large, the CVLU decreases with the increase in the installation inclination, and the amplitude of change is larger when the span is small.
The interactive effect of the CD item is shown in Figure 10d. When the span is small or large, the CVLU decreases as the bottom curve radius increases, but when the span is small, the CVLU decreases more. When the bottom curve radius is small or large, the CVLU shows a quadratic trend that decreases rapidly and then increases slowly as the span increases.
3.2.3. Acquisition and Verification of Optimal Parameter Combination
To optimize the performance of SDP, the parameters are comprehensively optimized based on the above analysis. According to the actual working conditions of the seeder, operational requirements, and relevant theoretical analysis, the objective function and constraints of comprehensive optimization are established, as shown in Equation (13). Design-expert software is used to optimize and solve the four parameters in the objective function. Combined with the agronomic demand of the WRS sowing and installation process, the best parameter combination after optimization was obtained as a chord length of a ridge of 140 mm, installation inclination of 40°, span of 75 mm and bottom curve radius of 50 mm, corresponding to a CVLU of 21.42%.
3.3. Results Analysis of Verification Tests
The data statistical of the field test is shown in Figure 11. By comparing the results of simulation tests, bench tests and field tests under different operating parameters, the following conclusions can be drawn. It can be observed from Figure 12a that when the forward speed is 0.8 m/s and the seeding dosage is 270 kg/hm2, the CVLU of the simulation, bench and field tests all reach the minimum value, which are 16.47%, 18.77% and 22.62%, respectively; when the forward speed is 1.2 m/s and the seeding dosage is 180 kg/hm2, the CVLU of the simulation, bench and field tests all reach the maximum value, which are 25.89%, 29.28% and 33.28%, respectively; as the forward speed increases or the dosage decreases, CVLU gradually increases, but the effect of dosage on CVLU is greater than that of the forward speed. The possible reason for this is that with the increase in forward speed, the wheat mass flow through the SDP increases, and the stacking between wheat particles increases, resulting in a decrease in distribution uniformity. With the increase in sowing dosage, the number of seeds in each test cell increases, which reduces the CVLU value. Under the conditions of different forward speeds and sowing dosage, the results of the simulation test and the bench test at each factor level are relatively close, but the simulation test has better uniformity than the bench test. This is mainly because the three-dimensional dimensions of the wheat particles in the simulation test are the same, but there is a small deviation in the actual wheat size. What is more, in the simulation test, wheat particles remain relatively stationary with the receiving plate after contact with the particles, while in the actual test, there are different degrees of rebounds due to the difference in phase angle and falling velocity. Overall, the comparison between the bench test and the simulation test proves the accuracy of the optimization results through simulation.
Figure 11.
Data statistics of field trials.
Figure 12.
Statistical results of actual verification tests: (a) Comparison of the results of CVLU at different levels; (b) comparison of the results of sowing depth at different levels. Note: Q1, Q2, and Q3 mean 180, 225, and 270 kg/hm2, respectively.
It can be observed from Figure 12b that when the forward speed is 0.8 m/s and the seeding dosage is 180 kg/hm2, the average sowing depth has a maximum value of 44.6 mm, while when the forward speed is 1.2 m/s and the dosage is 270 kg/hm2, the average sowing depth has a minimum value of 33.2 mm. With the increase in forward speed or sowing dosage, the average sowing depth decreased gradually, and the influence of the forward speed on sowing depth is greater than that of the sowing dosage. The possible reason for this is that the absolute velocity of soil particles throwing backward decreases with the increase in forward speed, which leads to the weakening of soil movement ability, thus reducing the ability of soil to cross the SDP. With the increase in sowing dosage, the collision between soil particles and seeds increased, which led to a decrease in the spanning ability of some soil particles, so the sowing depth decreased slightly. In addition, a phenomenon was noticed; that is, the consistency of the sowing depth was more variable than that of the ordinary furrow sowing method. This is because there is no trench opener in the seeding device, and the soil thrown by rotary tillage directly covers the seeds across the SDP; thus, the consistency of the sowing depth is not as consistent as the conventional operation mode. However, due to the special planting environment of WRS sowing, agronomic experts have reached a consensus that even if wheat seeds are not completely covered by the soil, they can be regarded as qualified; that is, there is no strict requirement for the consistency of sowing depth. From this perspective, the uniform seed device meets agronomic requirements for WRS sowing in full rice straw and stubble.
In addition, under the condition that the forward speed is 1 m/s and the sowing dosage is 225 kg/hm2, the seed uniformity performance of the SDP before and after optimization was compared. The results of the field test showed that the CVLU was 30.27%. This has a certain variability from the theoretical value (21.42%), which is mainly due to the poor leveling of the site ground and the interference of soil particles on the movement of seed grains. However, comparing the results of the field test before optimization (63%), the CVLU was significantly reduced after optimization, which indicates the accuracy of the parameter optimization.
4. Discussions
The influence mechanism of the chord length of ridge on CVLU may be as follows. With the change in the shape of the ridge, the contact time between the seed and the arc surface is changed. The shorter contact time makes the seeds not uniformly dispersed, and the longer contact time makes the seeds too dispersed to both sides of the seed belt. The influence mechanism of installation inclination on CVLU may be as follows. The installation inclination affects the collision position between the seed and the SDP surface, the coupling time, and the velocity of the seed. When the installation inclination is small, the collision position is at the lower end of the SDP surface, the coupling time with the surface is short, and the seed movement speed is large, which leads to a CVLU. On the contrary, the CVLU is small. The possible reasons why the ACT affects performance are as follows. When other parameters remain unchanged, as ACT increases, the corresponding ridge curvature also increases. As a result, the seed collecting ability of SDP with a curved ridge is strengthened, while the ability of SDP with an anti-arc is weakened. The influence mechanism of the span on CVLU may be as follows. The smaller span results in a smaller lateral movement distance for the seeds, which causes the seed falling point to concentrate in the center of the seed strip. For larger spans, under the action of the bottom arc curve, the seeds are easily dispersed to the boundary of the SDP. The reason for the influence of the bottom curve radius on the CVLU may be that as the bottom curve radius increases, the plate surface curvature decreases, which increases the lateral sliding of seeds in varying degrees.
The influence of the installation inclination on CVLU is similar to that of reference [4]. However, the research results of reference [4] show that the uniform seed distribution performance is better when the arc radius is 141.26 mm and the installation angle is 35.53°, which is different from the results of this study. The main reason is that the structure and manufacturing requirements of the uniform seed device are different. In addition, by comparing the working effect of the same type of strip-sowing device without a trench opener, it can be found that the uniform seeding device in this study has good seed uniformity in wide seed strips [14,15]. Compared with the strip-sowing method using the trench opener, it can be found that the uniform seed distribution device can reduce the operation smoothness problem caused by the dense arrangement of the trench opener [16,18,26]. In addition, this sowing technique is more suitable for sowing wheat in fields with high straw content, because this technique can cover the rice straw neatly in the gap between the seed strips [16,20].
To take into account the operation indexes such as sowing efficiency, economic benefit and sowing depth, the seeder operating parameters, such as rotary ploughing knife speed, are designed to be fixed. At present, only the influence of the structural parameters of the SDP on the operation performance is considered under the fixed operating parameters. However, these operating parameters, which are designed as fixed values, may also have a certain impact on the sowing uniformity. For example, the machine vibration caused by these parameters affects the performance of sowing uniformity. Future research can further evaluate the impact of machine operating parameters on sowing uniformity. The specific method is to evaluate the effects of different forward speeds, rotary tillage speeds, sowing dosage, and wheat varieties on sowing uniformity, emergence rate, and yield through bench tests or field experiments. Moreover, we learn how to adjust the structural parameters of the SDP to adapt to the operation of different crops and different soil conditions.
In addition, this study did not consider the effects of machine operation parameters, field straw content, wheat varieties, soil inclination, and other factors on operation quality. However, it is found that the factors such as land inclination have a certain influence on the sowing uniformity. It is necessary to comprehensively study the effects of soil parameters, seed parameters, and machine operation parameters on sowing performance, to further develop a real-time control device with soil inclination and machine operation parameters as independent variables.
5. Conclusions
To solve the problem of heap soil around the opener due to the sticky and wet nature of soil, the structural design and parameter optimization of SDP were carried out through a theoretical analysis, structural comparative analysis test, parameter comprehensive optimization test, and field verification test. The specific conclusions are as follows.
- 1.
- Combined with agronomic standards, the structural design and theoretical analysis of the SDP were carried out. The key factors (chord length of ridge, installation inclination, ACT, span, and bottom curve radius) affecting CVLU value are identified.
- 2.
- Through simulation tests, six structures of SDP were compared, and the structure of S6 was determined to be the optimal structural model. The influence of key parameters on performance was analyzed. Four factors (chord length of ridge, installation inclination, span, and bottom curve radius) were determined as factors for a comprehensive optimization. In addition, the ACT was determined to be 13°, and the corresponding CVLU is 42.98%.
- 3.
- Through comprehensive optimization experiments, the influence of parameters on the CVLU is analyzed, and parameters are comprehensively optimized. The order of the main effect relationships of the four factors is A > C > B > D. The best parameter combination after optimization was obtained as the chord length of a ridge of 140 mm, installation inclination of 40°, span of 75 mm and` bottom curve radius of 50 mm. The corresponding theoretical CVLU value is 21.42%, and the corresponding field test value is 30.27%.
Author Contributions
Conceptualization, W.L. and Z.H.; methodology, F.G. and K.G.; software, J.L. and X.C.; validation, W.L. and X.C.; formal analysis, W.L. and F.G.; investigation, K.G. and X.C.; resources, M.Q.; data curation, W.L.; writing—original draft preparation, W.L.; writing—review and editing, W.L.; visualization, J.L.; supervision, M.Q.; project administration, Z.H.; funding acquisition, F.G. All authors have read and agreed to the published version of the manuscript.
Funding
This work was financially supported by the Natural Science Foundation of Jiangsu Province (Grant No. BK 20221187).
Institutional Review Board Statement
Not applicable.
Data Availability Statement
The data presented in this study are available in the article.
Conflicts of Interest
The authors declare no conflict of interest.
References
- Cao, W. Study on Mechanization Production Pattern and Efficiency of Rice-Wheat Double Cropping in Jiangsu Province. Ph.D. Thesis, China Agricultural University, Beijing, China, 2015. [Google Scholar]
- Singh, A.; Phogat, V.K.; Dahiya, R.; Batra, S.D. Impact of Long-Term Zero till Wheat on Soil Physical Properties and Wheat Productivity under Rice–Wheat Cropping System. Soil Tillage Res. 2014, 140, 98–105. [Google Scholar] [CrossRef]
- Ahmad, F.; Weimin, D.; Qishou, D.; Rehim, A.; Jabran, K. Comparative Performance of Various Disc-Type Furrow Openers in No-Till Paddy Field Conditions. Sustainability 2017, 9, 1143. [Google Scholar] [CrossRef]
- Ding, J.; Li, F.; Le, T.; Xu, D.; Zhu, M.; Li, C.; Zhu, X.; Guo, W. Tillage and Seeding Strategies for Wheat Optimizing Production in Harvested Rice Fields with High Soil Moisture. Sci. Rep. 2021, 11, 119. [Google Scholar] [CrossRef] [PubMed]
- He, J.; Li, H.; Chen, H.; Lu, C.; Wang, Q. Research Progress of Conservation Tillage Technology and Machine. Trans. Chin. Soc. Agric. Mach. 2018, 49, 1–19. [Google Scholar] [CrossRef]
- Wang, Y.; Li, H.; Hu, H.; He, J.; Wang, Q.; Lu, C.; Liu, P.; Yang, Q.; He, D.; Jiang, S. A Noncontact Self-Suction Wheat Shooting Device for Sustainable Agriculture: A Preliminary Research. Comput. Electron. Agric. 2022, 197, 106927. [Google Scholar] [CrossRef]
- Wang, Y.; Li, H.; He, J.; Wang, Q.; Lu, C.; Liu, P.; Yang, Q. Design and Experiment of Wheat Mechanical Shooting Seed-Metering Device. Trans. Chin. Soc. Agric. Mach. 2020, 51, 73–84. [Google Scholar] [CrossRef]
- Wang, Y.; Li, H.; He, J.; Wang, Q.; Lu, C.; Liu, P.; Yang, Q. Parameters Optimization and Experiment of Mechanical Wheat Shooting Seed-Metering Device. Trans. Chin. Soc. Agric. Eng. 2020, 36, 1–10. [Google Scholar] [CrossRef]
- Wang, C.; Li, H.; He, J.; Wang, Q.; Lu, C.; Yang, H. Optimization Design of a Pneumatic Wheat-Shooting Device Based on Numerical Simulation and Field Test in Rice–Wheat Rotation Areas. Agriculture 2022, 12, 56. [Google Scholar] [CrossRef]
- Wang, C.; Lu, C.; Li, H.; He, J.; Wang, Q.; Cheng, X. Preliminary Bench Experiment Study on Working Parameters of Pneumatic Seeding Mechanism for Wheat in Rice-Wheat Rotation Areas. Int. J. Agric. Biol. Eng. 2020, 13, 66–72. [Google Scholar] [CrossRef]
- Wang, C.; Li, H.; Wang, J.; He, J.; Wang, Q.; Lu, C. CFD Simulation and Optimization of a Pneumatic Wheat Seeding Device. IEEE Access 2020, 8, 214007–214018. [Google Scholar] [CrossRef]
- An, X.; Cheng, X.; Wang, X.; Han, Y.; Li, H.; Liu, L.; Liu, M.; Liu, M.; Zhang, X. Design and Experimental Testing of a Centrifugal Wheat Strip Seeding Device. Agriculture 2023, 13, 1883. [Google Scholar] [CrossRef]
- Wang, J.; Sun, W.; Simionescu, P.A.; Ju, Y. Optimization of the Fluted Force-Feed Seeder Meter with the Helical Roller Using the Discrete Element Method and Response Surface Analysis. Agriculture 2023, 13, 1400. [Google Scholar] [CrossRef]
- Li, C.; Tang, Y.; McHugh, A.D.; Wu, X.; Liu, M.; Li, M.; Xiong, T.; Ling, D.; Tang, Q.; Liao, M.; et al. Development and Performance Evaluation of a Wet-Resistant Strip-till Seeder for Sowing Wheat Following Rice. Biosyst. Eng. 2022, 220, 146–158. [Google Scholar] [CrossRef]
- Xi, X.; Gao, W.; Gu, C.; Shi, Y.; Han, L.; Zhang, Y.; Zhang, B.; Zhang, R. Optimisation of No-Tube Seeding and Its Application in Rice Planting. Biosyst. Eng. 2021, 210, 115–128. [Google Scholar] [CrossRef]
- Han, J.; Du, J.; Gu, X.; Liu, L.; Li, Z.; Liu, C. Design and test of the separate and combined double row wide strip seedguiding device for wheat. Trans. Chin. Soc. Agric. Eng. 2023, 39, 35–46. [Google Scholar] [CrossRef]
- Lei, X.; Liao, Y.; Liao, Q. Simulation of Seed Motion in Seed Feeding Device with DEM-CFD Coupling Approach for Rapeseed and Wheat. Comput. Electron. Agric. 2016, 131, 29–39. [Google Scholar] [CrossRef]
- Lei, X.; Liao, Y.; Zhang, Q.; Wang, L.; Liao, Q. Numerical Simulation of Seed Motion Characteristics of Distribution Head for Rapeseed and Wheat. Comput. Electron. Agric. 2018, 150, 98–109. [Google Scholar] [CrossRef]
- Tang, H.; Xu, F.; Xu, C.; Zhao, J.; Wang, Y.-J. The Influence of a Seed Drop Tube of the Inside-Filling Air-Blowing Precision Seed-Metering Device on Seeding Quality. Comput. Electron. Agric. 2023, 204, 107555. [Google Scholar] [CrossRef]
- Liu, C.; Wei, D.; Du, X.; Jiang, M.; Song, J.; Zhang, F. Design and Test of Wide Seedling Strip Wheat Precision Hook-hole Type Seed-metering Device. Trans. Chin. Soc. Agric. Mach. 2019, 50, 75–84. [Google Scholar]
- Jiang, M.; Liu, C.; Wei, D.; Du, X.; Cai, P.; Song, J. Design and test of wide seedling strip wheat precision planter. Trans. Chin. Soc. Agric. Mach. 2019, 50, 53–62. [Google Scholar] [CrossRef]
- Niu, Q.; Wang, Q.; Chen, L.; Li, H.; He, J.; Li, W. Design and Experiment on Straw Post-covering Wheat Planter. Trans. Chin. Soc. Agric. Mach. 2017, 48, 52–59. [Google Scholar]
- Hu, H.; Li, H.; Li, C.; Wang, Q.; He, J.; Li, W.; Zhang, X. Design and Experiment of Broad Width and Precision Minimal Tillage Wheat Planter in Rice Stubble Field. Trans. Chin. Soc. Agric. Eng. 2016, 32, 24–32. [Google Scholar] [CrossRef]
- Zhu, Q.; Wu, G.; Chen, L.; Zhao, C.; Meng, Z.; Shi, J. Structural design and optimization of seed separated plate of wheat wide-boundary sowing device. Trans. Chin. Soc. Agric. Eng. 2019, 35, 1–11. [Google Scholar] [CrossRef]
- Shi, Y.; Chu, J.; Yin, L.; He, M.; Deng, S.; Zhang, L.; Sun, X.; Tian, Q.; Dai, X. Wide-range sowing improving yield and nitrogen use efficiency of wheat sown at different dates. Trans. Chin. Soc. Agric. Eng. 2018, 34, 127–133. [Google Scholar] [CrossRef]
- Luo, w.; Gu, F.; Wu, F.; Xu, H.; Chen, Y.; Xu, H. Design and Experiment of Wheat Planter with Straw Crushing and Inter-Furrow Collecting Mulching under Full Amount Of Straw and Root Stubble Cropland. Trans. Chin. Soc. Agric. Mach. 2019, 50, 42–52. [Google Scholar] [CrossRef]
- Sun, K.; Yu, J.; Liang, L.; Wang, Y.; Yan, D.; Zhou, L.; Yu, Y. A DEM-Based General Modelling Method and Experimental Verification for Wheat Seeds. Powder Technol. 2022, 401, 117353. [Google Scholar] [CrossRef]
- Lu, C.; Gao, Z.; Li, H.; He, J.; Wang, Q.; Wei, X.; Wang, X.; Jiang, S.; Xu, J.; He, D. An Ellipsoid Modelling Method for Discrete Element Simulation of Wheat Seeds. Biosyst. Eng. 2023, 226, 1–15. [Google Scholar] [CrossRef]
- Liu, F.; Zhang, J.; Li, B.; Chen, J. Calibration of Parameters of Wheat Required in Discrete Element Method Simulation Based on Repose Angle of Particle Heap. Trans. Chin. Soc. Agric. Eng. 2016, 32, 247–253. [Google Scholar] [CrossRef]
- Lei, X. Design and Working Mechanism of Air-Assisted Centralized Metering Device for Rapeseed and Wheat. Ph.D. Thesis, Huazhong Agricultural University, Wuhan, China, 2017. [Google Scholar]
Disclaimer/Publisher’s Note: The statements, opinions and data contained in all publications are solely those of the individual author(s) and contributor(s) and not of MDPI and/or the editor(s). MDPI and/or the editor(s) disclaim responsibility for any injury to people or property resulting from any ideas, methods, instructions or products referred to in the content. |
© 2023 by the authors. Licensee MDPI, Basel, Switzerland. This article is an open access article distributed under the terms and conditions of the Creative Commons Attribution (CC BY) license (https://creativecommons.org/licenses/by/4.0/).

















