Risk Assessment of Rice Damage Due to Heavy Rain in Taiwan
Abstract
1. Introduction
2. Materials and Methods
2.1. Study Site
2.2. Meteorological Data Collection and Weather Characteristics
2.3. Definition of HR Damage and Control Events
2.4. Statistical Analysis
3. Results
3.1. Precipitation Characteristics of Different Geographical Locations in Taiwan
3.2. Frequency of Events during 2003–2021
3.3. Temporal, Spatial, and Weather Characteristics of Events
3.4. Risk Factors for Various HR Event Causes
3.5. Risk Factors for HR Damage Event Severity
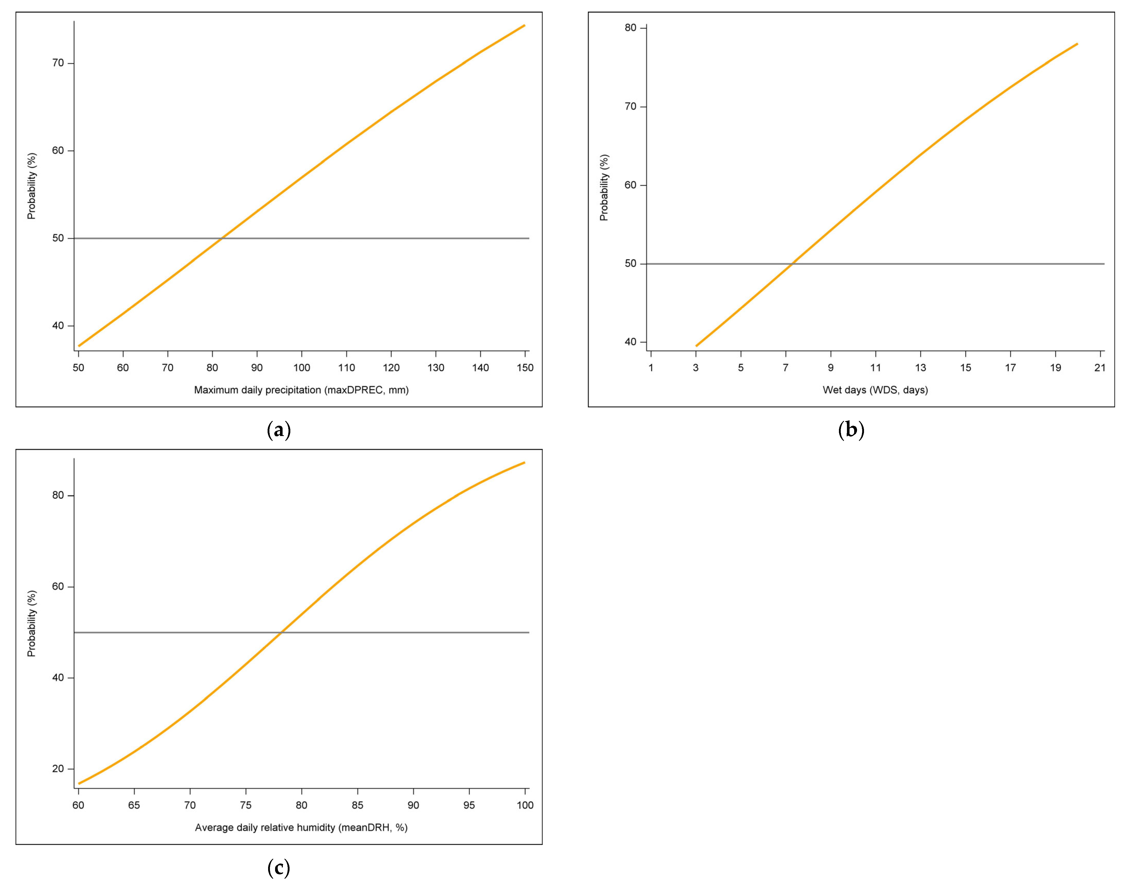
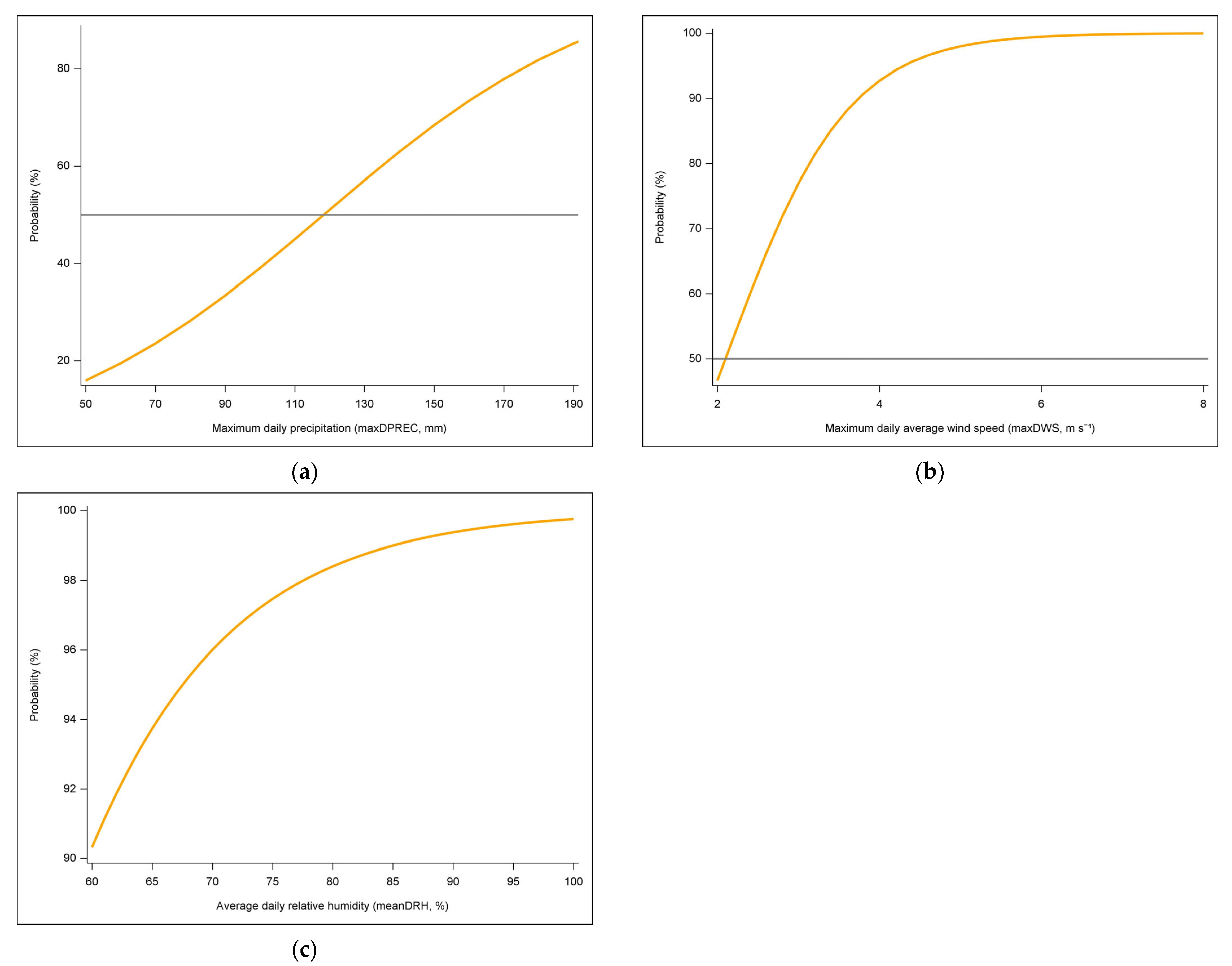
3.6. Simulation of the Effects of the Weather Characteristics on NTCHR and TCHR Damage Events
4. Discussion
5. Conclusions
Author Contributions
Funding
Institutional Review Board Statement
Informed Consent Statement
Data Availability Statement
Conflicts of Interest
References
- FAO. World Food and Agriculture—Statistical Yearbook 2021; FAO: Rome, Italy, 2021. [Google Scholar]
- Rosenzweig, C.; Tubiello, F.N.; Goldberg, R.; Mills, E.; Bloomfield, J. Increased crop damage in the US from excess precipitation under climate change. Glob. Environ. Chang. 2002, 12, 197–202. [Google Scholar] [CrossRef]
- Christina, M.; Jones, M.R.; Versini, A.; Mézino, M.; LeMézo, L.; Auzoux, S.; Soulié, J.C.; Poser, C.; Gérardeaux, E. Impact of climate variability and extreme rainfall events on sugarcane yield gap in a tropical Island. Field Crops Res. 2021, 274, 108326. [Google Scholar] [CrossRef]
- Li, M.F.; Luo, W.; Li, H.; Liu, E.; Li, Y. Daily extreme precipitation indices and their impacts on rice yield—A case study over the tropical island in China. Theor. Appl. Climatol. 2018, 132, 503–513. [Google Scholar] [CrossRef]
- Dore, M.H.I. Climate change and changes in global precipitation patterns: What do we know? Environ. Int. 2005, 31, 1167–1181. [Google Scholar] [CrossRef]
- Shah, A.N.; Tanveer, M.; Rehman, A.U.; Anjum, S.A.; Iqbal, J.; Ahmad, R. Lodging stress in cereal—Effects and management: An overview. Environ. Sci. Pollut. Res. 2017, 24, 5222–5237. [Google Scholar] [CrossRef]
- Baek, J.-S.; Chung, N.-J. Influence of rainfall during the ripening stage on pre-harvest sprouting, seed quality, and longevity of rice (Oryza sativa L.). Korean J. Crop Sci. 2014, 59, 406–412. [Google Scholar] [CrossRef]
- Talathi, M.S.; Patil, B.P.; Chavan, S.A.; Khadse, R.R.; Zagade, M.V. Rainfall characteristics, and crop planning with reference to rice in Konkan. J. Agrometeorol. 2008, 10, 101–103. [Google Scholar] [CrossRef]
- IPCC. Managing the Risks from Climate Extremes and Disasters to Advance Climate Change Adaptation: Special Report of the Intergovernmental Panel on Climate Change; Field, C.B., Barros, V., Stocker, T.F., Qin, D., Dokken, D.J., Ebi, K.L., Mastrandrea, M.D., Mach, K.J., Plattner, G.-K., Allen, S.K., et al., Eds.; Cambridge University Press: Cambridge, UK, 2012; Volume 9781107025, ISBN 9781139177245. [Google Scholar]
- Alexander, L.V.; Zhang, X.; Peterson, T.C.; Caesar, J.; Gleason, B.; Klein Tank, A.M.G.; Haylock, M.; Collins, D.; Trewin, B.; Rahimzadeh, F.; et al. Global observed changes in daily climate extremes of temperature and precipitation. J. Geophys. Res. Atmos. 2006, 111, D05109. [Google Scholar] [CrossRef]
- Rajeevan, M.; Bhate, J.; Jaswal, A.K. Analysis of variability and trends of extreme rainfall events over India using 104 years of gridded daily rainfall data. Geophys. Res. Lett. 2008, 35, L18707. [Google Scholar] [CrossRef]
- Wan Zin, W.Z.; Jamaludin, S.; Deni, S.M.; Jemain, A.A. Recent changes in extreme rainfall events in Peninsular Malaysia: 1971–2005. Theor. Appl. Climatol. 2010, 99, 303–314. [Google Scholar] [CrossRef]
- Naylor, R.L.; Battisti, D.S.; Vimont, D.J.; Falcon, W.P.; Burke, M.B. Assessing risks of climate variability and climate change for Indonesian rice agriculture. Proc. Natl. Acad. Sci. USA 2007, 104, 7752–7757. [Google Scholar] [CrossRef] [PubMed]
- Harkness, C.; Semenov, M.A.; Areal, F.; Senapati, N.; Trnka, M.; Balek, J.; Bishop, J. Adverse weather conditions for UK wheat production under climate change. Agric. For. Meteorol. 2020, 282–283, 107862. [Google Scholar] [CrossRef] [PubMed]
- Kogo, B.K.; Kumar, L.; Koech, R.; Langat, P. Modelling impacts of climate change on maize (Zea mays L.) growth and productivity: A review of models, outputs and limitations. J. Geosci. Environ. Prot. 2019, 7, 76–95. [Google Scholar] [CrossRef]
- Ahmad, S.; Abbas, G.; Fatima, Z.; Khan, R.J.; Anjum, M.A.; Ahmed, M.; Khan, M.A.; Porter, C.H.; Hoogenboom, G. Quantification of the impacts of climate warming and crop management on canola phenology in Punjab, Pakistan. J. Agron. Crop Sci. 2017, 203, 442–452. [Google Scholar] [CrossRef]
- Han, Z.; Zhang, B.; Hoogenboom, G.; Li, X.; He, C. Climate change impacts and adaptation strategies on rainfed and irrigated maize in the agro-pastoral ecotone of Northwestern China. Clim. Res. 2021, 83, 75–90. [Google Scholar] [CrossRef]
- Moriondo, M.; Giannakopoulos, C.; Bindi, M. Climate change impact assessment: The role of climate extremes in crop yield simulation. Clim. Chang. 2011, 104, 679–701. [Google Scholar] [CrossRef]
- Li, Y.; Guan, K.; Schnitkey, G.D.; DeLucia, E.; Peng, B. Excessive rainfall leads to maize yield loss of a comparable magnitude to extreme drought in the United States. Glob. Chang. Biol. 2019, 25, 2325–2337. [Google Scholar] [CrossRef]
- Wu, L.; Hu, F.; Pan, S. Characteristics of extreme rainfall in South China during the late rice growth period. Agron. J. 2020, 112, 5105–5114. [Google Scholar] [CrossRef]
- Yang, J.; Huo, Z.; Wu, L.; Wang, T.; Zhang, G. Indicator-based evaluation of spatiotemporal characteristics of rice flood in Southwest China. Agric. Ecosyst. Environ. 2016, 230, 221–230. [Google Scholar] [CrossRef]
- Bandumula, N. Rice production in Asia: Key to global food security. Proc. Natl. Acad. Sci. India Sect. B-Biol. Sci. 2018, 88, 1323–1328. [Google Scholar] [CrossRef]
- Welch, J.R.; Vincent, J.R.; Auffhammer, M.; Moya, P.F.; Dobermann, A.; Dawe, D. Rice yields in tropical/subtropical Asia exhibit large but opposing sensitivities to minimum and maximum temperatures. Proc. Natl. Acad. Sci. USA 2010, 107, 14562–14567. [Google Scholar] [CrossRef] [PubMed]
- Yang, J.; Huo, Z.; Li, X.; Wang, P.; Wu, D. Hot weather event-based characteristics of double-early rice heat risk: A study of Jiangxi province, South China. Ecol. Indic. 2020, 113, 106148. [Google Scholar] [CrossRef]
- Rötter, R.P.; Appiah, M.; Fichtler, E.; Kersebaum, K.C.; Trnka, M.; Hoffmann, M.P. Linking modelling and experimentation to better capture crop impacts of agroclimatic extremes—A review. Field Crops Res. 2018, 221, 142–156. [Google Scholar] [CrossRef]
- Anandan, A.; Kumar Pradhan, S.; Kumar Das, S.; Behera, L.; Sangeetha, G. Differential responses of rice genotypes and physiological mechanism under prolonged deepwater flooding. Field Crops Res. 2015, 172, 153–163. [Google Scholar] [CrossRef]
- Kato, Y.; Collard, B.C.Y.; Septiningsih, E.M.; Ismail, A.M. Physiological analyses of traits associated with tolerance of long-term partial submergence in rice. AoB Plants 2014, 6, plu058. [Google Scholar] [CrossRef]
- Abbas, S.; Mayo, Z.A. Impact of temperature and rainfall on rice production in Punjab, Pakistan. Environ. Dev. Sustain. 2021, 23, 1706–1728. [Google Scholar] [CrossRef]
- Henny, L.; Thorncroft, C.D.; Hsu, H.H.; Bosart, L.F. Extreme rainfall in Taiwan: Seasonal statistics and trends. J. Clim. 2021, 34, 4711–4731. [Google Scholar] [CrossRef]
- Kuo, B.-J.; Hong, M.-C.; Thseng, F.-S. The relationship between the amylographic characteristics and eating quality of japonica rice in Taiwan. Plant Prod. Sci. 2001, 4, 112–117. [Google Scholar] [CrossRef]
- Lai, L.W. The relationship between extreme weather events and crop losses in central Taiwan. Theor. Appl. Climatol. 2018, 134, 107–119. [Google Scholar] [CrossRef]
- Mahmood, N.; Ahmad, B.; Hassan, S.; Bakhsh, K. Impact of temperature and precipitation on rice productivity in rice-wheat cropping system of Punjab province. J. Anim. Plant Sci. 2012, 22, 993–997. [Google Scholar]
- Pratiwi, E.P.A.; Hartono, A.O.; Wijdan, H.Z.; Nurrochmad, F.; Setyawan, C. Precipitation and flood impact on rice paddies: Statistics in Central Java, Indonesia. IOP Conf. Ser. Earth Environ. Sci. 2020, 612, 012040. [Google Scholar] [CrossRef]
- Subash, N.; Singh, S.S.; Priya, N. Extreme rainfall indices and its impact on rice productivity-A case study over sub-humid climatic environment. Agric. Water Manag. 2011, 98, 1373–1387. [Google Scholar] [CrossRef]
- Hitaka, N. Studies on the lodging of rice plant. J. Agric. Meteorol. 1966, 22, 59–64. [Google Scholar] [CrossRef]
- Dulbari, D.; Santosa, E.; Sulistyono, E.; Koesmaryono, Y. Adaptation of wetland rice to extreme weather. J. Trop. Crop Sci. 2017, 4, 70–77. [Google Scholar] [CrossRef]
- Ishimaru, K.; Togawa, E.; Ookawa, T.; Kashiwagi, T.; Madoka, Y.; Hirotsu, N. New target for rice lodging resistance and its effect in a typhoon. Planta 2008, 227, 601–609. [Google Scholar] [CrossRef] [PubMed]
- Hori, K.; Sugimoto, K.; Nonoue, Y.; Ono, N.; Matsubara, K.; Yamanouchi, U.; Abe, A.; Takeuchi, Y.; Yano, M. Detection of quantitative trait loci controlling pre-harvest sprouting resistance by using backcrossed populations of japonica rice cultivars. Theor. Appl. Genet. 2010, 120, 1547–1557. [Google Scholar] [CrossRef] [PubMed]
- Lee, J.; Chebotarov, D.; Mcnally, K.L.; Pede, V.; Setiyono, T.D.; Raquid, R.; Hyun, W.; Jeung, J.; Kohli, A.; Mo, Y. Novel sources of pre-harvest sprouting resistance for japonica rice improvement. Plants 2021, 10, 1709. [Google Scholar] [CrossRef]
- Lee, H.S.; Choi, M.G.; Hwang, W.H.; Jeong, J.H.; Yang, S.Y.; Lee, C.G. Occurrence of rice preharvest sprouting varies greatly depending on past weather conditions during grain filling. Field Crops Res. 2021, 264, 108087. [Google Scholar] [CrossRef]
- Dong, Y.; Tsuzuki, E.; Kamiunten, H.; Terao, H.; Lin, D.; Matsuo, M.; Zheng, Y. Identification of quantitative trait loci associated with pre-harvest sprouting resistance in rice (Oryza sativa L.). Field Crops Res. 2003, 81, 133–139. [Google Scholar] [CrossRef]
- King, R.W. Manipulation of grain dormancy in wheat. J. Exp. Bot. 1993, 44, 1059–1066. [Google Scholar] [CrossRef]
- Liu, D.; Zeng, M.; Wu, Y.; Du, Y.; Liu, J.; Luo, S.; Zeng, Y. Comparative transcriptomic analysis provides insights into the molecular basis underlying pre-harvest sprouting in rice. BMC Genom. 2022, 23, 771. [Google Scholar] [CrossRef] [PubMed]
- Shrestha, B.B.; Kawasaki, A.; Zin, W.W. Development of flood damage functions for agricultural crops and their applicability in regions of Asia. J. Hydrol. Reg. Stud. 2021, 36, 100872. [Google Scholar] [CrossRef]
- Setter, T.L.; Laureles, E.V.; Mazaredo, A.M. Lodging reduces yield of rice by self-shading and reductions in canopy photosynthesis. Field Crops Res. 1997, 49, 95–106. [Google Scholar] [CrossRef]
- Berry, P.M.; Griffin, J.M.; Sylvester-Bradley, R.; Scott, R.K.; Spink, J.H.; Baker, C.J.; Clare, R.W. Controlling plant form through husbandry to minimise lodging in wheat. Field Crops Res. 2000, 67, 59–81. [Google Scholar] [CrossRef]
- Agusta, H.; Santosa, E.; Dulbari; Guntoro, D.; Zaman, S. Continuous heavy rainfall and wind velocity during flowering affect rice production. Agrivita 2022, 44, 290–302. [Google Scholar] [CrossRef]
- Wu, D.H.; Chen, C.T.; Yang, M.D.; Wu, Y.C.; Lin, C.Y.; Lai, M.H.; Yang, C.Y. Controlling the lodging risk of rice based on a plant height dynamic model. Bot. Stud. 2022, 63, 25. [Google Scholar] [CrossRef]
- dosSantos, C.A.C.; Neale, C.M.U.; Mekonnen, M.M.; Gonçalves, I.Z.; deOliveira, G.; Ruiz-Alvarez, O.; Safa, B.; Rowe, C.M. Trends of extreme air temperature and precipitation and their impact on corn and soybean yields in Nebraska, USA. Theor. Appl. Climatol. 2022, 147, 1379–1399. [Google Scholar] [CrossRef]
- Zahiri, E.P.; Bamba, I.; Famien, A.M.; Koffi, A.; Ochou, A. Mesoscale extreme rainfall events in West Africa: The cases of Niamey (Niger) and the Upper Ouémé Valley (Benin). Weather Clim. Extrem. 2016, 13, 15–34. [Google Scholar] [CrossRef]
- Goswami, B.N.; Venugopal, V.; Sengupta, D.; Madhusoodanan, M.S.; Xavier, P.K. Increasing trend of extreme rain events over India in a warming environment. Science 2006, 314, 1442–1445. [Google Scholar] [CrossRef]
- Jian, Y.; Fu, J.; Li, B.; Zhou, F. Increased extreme hourly precipitation over China’s rice paddies from 1961 to 2012. Sci. Rep. 2020, 10, 10609. [Google Scholar] [CrossRef]
- Shiu, C.J.; Liu, S.C.; Chen, J.P. Diurnally asymmetric trends of temperature, humidity, and precipitation in Taiwan. J. Clim. 2009, 22, 5635–5649. [Google Scholar] [CrossRef]
- Wu, Y.; Wang, S.S.; Yu, Y.; Kung, C.; Wang, A.; Los, S.A.; Huang, W. Climatology and change of extreme precipitation events in Taiwan based on weather types. Int. J. Climatol. 2019, 39, 5351–5366. [Google Scholar] [CrossRef]
- Chen, T.C.; Wang, S.Y.; Yen, M.C. Interannual variation of the tropical cyclone activity over the western North Pacific. J. Clim. 2006, 19, 5709–5720. [Google Scholar] [CrossRef]
- Jiang, H.; Zipser, E.J. Contribution of tropical cyclones to the global precipitation from eight seasons of TRMM Data: Regional, seasonal, and interannual variations. J. Clim. 2010, 23, 1526–1543. [Google Scholar] [CrossRef]
- Du, Y.; Yang, L.; Xie, S.P. Tropical Indian Ocean influence on Northwest Pacific tropical cyclones in summer following strong El Niño. J. Clim. 2011, 24, 315–322. [Google Scholar] [CrossRef]
- Tian, J.; Liu, J.; Wang, J.; Li, C.; Nie, H.; Yu, F. Trend analysis of temperature and precipitation extremes in major grain producing area of China. Int. J. Climatol. 2017, 37, 672–687. [Google Scholar] [CrossRef]
- Lehmann, J.; Coumou, D.; Frieler, K. Increased record-breaking precipitation events under global warming. Clim. Chang. 2015, 132, 517–518. [Google Scholar] [CrossRef]
- Tung, Y.S.; Chen, C.T.; Min, S.K.; Lin, L.Y. Evaluating extreme rainfall changes over Taiwan using a standardized index. Terr. Atmos. Ocean. Sci. 2016, 27, 705–715. [Google Scholar] [CrossRef]
- Tung, Y.S.; Wang, C.Y.; Weng, S.P.; Yang, C.D. Extreme index trends of daily gridded rainfall dataset (1960–2017) in Taiwan. Terr. Atmos. Ocean. Sci. 2022, 33, 8. [Google Scholar] [CrossRef]
- Chen, P.Y.; Tung, C.P.; Tsao, J.H.; Chen, C.J. Assessing future rainfall intensity–duration–frequency characteristics across Taiwan using the k-nearest neighbor method. Water 2021, 13, 1521. [Google Scholar] [CrossRef]






| Weather Characteristics | ID | Description | Unit | 
|---|---|---|---|
| Total precipitation | tPREC | Total precipitation during the event period. | Mm | 
| Maximum daily precipitation | maxDPREC | Maximum daily precipitation during the event period. | Mm day−1 | 
| Average daily precipitation | meanDPREC | Average daily precipitation on wet days during the event. | Mm day−1 | 
| Residual average daily precipitation | rmeanDPREC | Average daily precipitation on wet days excluding the day of maximum daily precipitation during the event period. | Mm day−1 | 
| Wet days | WDS | Number of days with a precipitation level of ≥0.1 mm during the event period. | Days | 
| Maximum daily average wind speed | maxDWS | Maximum daily average wind speed during the event period. | M s−1 day−1 | 
| Mean daily average relative humidity | meanDRH | Mean daily average relative humidity during the event period. | % day−1 | 
| Categorical Variables | Control (N = 5315) | NTCHR (N = 143) | TCHR (N = 274) | p Value | |||
|---|---|---|---|---|---|---|---|
| n | % | n | % | n | % | ||
| Crop season | <0.001 | ||||||
| 1st | 2183 | 41.07 | 120 | 83.92 | 84 | 30.66 | |
| 2nd | 3132 | 58.93 | 23 | 16.08 | 190 | 69.34 | |
| Growth stage | <0.001 | ||||||
| Vegetative stage | 1937 | 36.44 | 12 | 8.39 | 120 | 43.8 | |
| Reproductive stage | 1173 | 22.07 | 29 | 20.28 | 59 | 21.53 | |
| Ripening stage | 2205 | 41.49 | 102 | 71.33 | 95 | 34.67 | |
| Geographical location | <0.001 | ||||||
| Central | 1366 | 25.7 | 57 | 39.86 | 71 | 25.91 | |
| Eastern | 1131 | 21.28 | 13 | 9.09 | 58 | 21.17 | |
| Northern | 850 | 15.99 | 6 | 4.2 | 52 | 18.98 | |
| Southern | 1968 | 37.03 | 67 | 46.85 | 93 | 33.94 | |
| Numeric Variables | Control | NTCHR | TCHR | p Value | |||
|---|---|---|---|---|---|---|---|
| Mean | SD | Mean | SD | Mean | SD | ||
| tPREC | 34.1 | 61.75 | 355 | 237.2 | 256.2 | 181.6 | <0.001 | 
| maxDPREC | 17.94 | 27.57 | 124.8 | 67.15 | 161.1 | 106 | <0.001 | 
| meanDPREC | 7.03 | 10.35 | 38.29 | 34.63 | 68.49 | 48.15 | <0.001 | 
| rmeanDPREC | 3.36 | 6.35 | 23.71 | 19.41 | 31.67 | 29.12 | <0.001 | 
| WDS | 4.36 | 4.6 | 14.19 | 9.75 | 3.86 | 1.48 | <0.001 | 
| maxDWS | 2.23 | 0.97 | 2.88 | 1.05 | 5.55 | 2.5 | <0.001 | 
| meanDRH | 79.53 | 5.74 | 85.76 | 6.05 | 85.24 | 5.57 | <0.001 | 
| Damage percent | 0 | 0 | 17.94 | 11.44 | 22.2 | 13.33 | <0.001 † | 
| Yield loss | 0 | 0 | 1109.59 | 3904.63 | 2326.63 | 5958.98 | 0.004 † | 
| Variables | Odds Ratios (95% CIs) | ||
|---|---|---|---|
| HR Events | NTCHR | TCHR | |
| Crop season | |||
| 1st | 1 (Reference) | 1 (Reference) | 1 (Reference) | 
| 2nd | 0.52 (0.32–0.87) * | 0.91 (0.37–2.28) | 0.34 (0.12–0.95) * | 
| Growth stage | |||
| Vegetative stage | 1 (Reference) | 1 (Reference) | 1 (Reference) | 
| Reproductive stage | 2.12 (1.21–3.69) ** | 4.33 (1.14–16.5) * | 1.63 (0.77–3.45) | 
| Ripening stage | 2.1 (1.16–3.82) * | 4.17 (1.23–14.17) * | 1.88 (0.64–5.57) | 
| Geographical location | |||
| Northern | 1 (Reference) | 1 (Reference) | 1 (Reference) | 
| Central | 1.25 (0.75–2.08) | 4.37 (1.47–12.95) ** | 0.69 (0.33–1.44) | 
| Eastern | 0.9 (0.5–1.61) | 1.09 (0.29–4.09) | 0.91 (0.43–1.92) | 
| Southern | 0.71 (0.43–1.17) | 3.99 (1.34–11.85) * | 0.39 (0.18–0.82) * | 
| maxDPREC | 1.02 (1.02–1.03) *** | 1.02 (1.01–1.02) *** | 1.03 (1.02–1.03) *** | 
| rmeanDPREC | 1.04 (1.02–1.05) *** | 1.07 (1.04–1.1) *** | 1.03 (1.01–1.05) ** | 
| WDS | 1.03 (1.01–1.06) ** | 1.1 (1.07–1.14) *** | 0.86 (0.72–1.03) | 
| maxDWS | 2.4 (2.13–2.71) *** | 1 (0.79–1.28) | 3.67 (3.06–4.41) *** | 
| meanDRH | 1.1 (1.07–1.13) *** | 1.09 (1.04–1.15) *** | 1.1 (1.06–1.15) *** | 
| Variables | Odds Ratios (95% CIs) | |||||
|---|---|---|---|---|---|---|
| HR Events | NTCHR | TCHR | ||||
| 1 vs. 0 | 2 vs. 0 | 1 vs. 0 | 2 vs. 0 | 1 vs. 0 | 2 vs. 0 | |
| Crop season | ||||||
| 1st | 1 (Reference) | 1 (Reference) | 1 (Reference) | 1 (Reference) | 1 (Reference) | 1 (Reference) | 
| 2nd | 0.42 (0.23–0.76) ** | 0.73 (0.37–1.43) | 1.04 (0.36–3.03) | 0.71 (0.17–2.97) | 0.31 (0.1–0.98) * | 0.4 (0.11–1.38) | 
| Growth stage | ||||||
| Vegetative stage | 1 (Reference) | 1 (Reference) | 1 (Reference) | 1 (Reference) | 1 (Reference) | 1 (Reference) | 
| Reproductive stage | 1.76 (0.94–3.27) | 2.73 (1.38–5.39) ** | 9.8 (1.93–49.75) ** | 0.86 (0.12–6.29) | 1.19 (0.52–2.73) | 2.37 (1.02–5.52) * | 
| Ripening stage | 1.75 (0.89–3.43) | 2.76 (1.28–5.94) ** | 8.41 (1.89–37.53) ** | 1.08 (0.18–6.51) | 1.69 (0.51–5.67) | 2.21 (0.6–8.15) | 
| Geographical location | ||||||
| Northern | 1 (Reference) | 1 (Reference) | 1 (Reference) | 1 (Reference) | 1 (Reference) | 1 (Reference) | 
| Central | 1.72 (0.95–3.09) | 0.74 (0.38–1.41) | 20 (2.5–160.23) ** | 0.78 (0.2–3.06) | 0.79 (0.36–1.78) | 0.57 (0.24–1.34) | 
| Eastern | 1.04 (0.53–2.06) | 0.74 (0.36–1.51) | 2.08 (0.2–21.96) | 1.06 (0.21–5.34) | 1.05 (0.46–2.44) | 0.75 (0.31–1.8) | 
| Southern | 0.98 (0.55–1.76) | 0.44 (0.24–0.82) ** | 17.59 (2.18–141.66) ** | 0.94 (0.25–3.51) | 0.49 (0.21–1.12) | 0.28 (0.12–0.66) ** | 
| maxDPREC | 1.02 (1.02–1.03) *** | 1.02 (1.02–1.03) *** | 1.01 (1.01–1.02) *** | 1.02 (1.01–1.03) *** | 1.03 (1.02–1.03) *** | 1.03 (1.02–1.03) *** | 
| rmeanDPREC | 1.03 (1.02–1.05) *** | 1.04 (1.03–1.06) *** | 1.07 (1.04–1.1) *** | 1.07 (1.04–1.11) *** | 1.02 (1–1.04) * | 1.03 (1.01–1.05) *** | 
| WDS | 1.04 (1.01–1.06) ** | 1.03 (1–1.06) | 1.12 (1.08–1.16) *** | 1.08 (1.02–1.13) ** | 0.88 (0.73–1.07) | 0.84 (0.68–1.03) | 
| maxDWS | 2.28 (2.01–2.59) *** | 2.61 (2.28–3) *** | 0.9 (0.68–1.19) | 1.28 (0.9–1.83) | 3.53 (2.92–4.27) *** | 3.88 (3.19–4.71) *** | 
| meanDRH | 1.11 (1.07–1.14) *** | 1.09 (1.05–1.13) *** | 1.09 (1.03–1.15) ** | 1.1 (1.01–1.2) * | 1.11 (1.06–1.17) *** | 1.09 (1.04–1.15) *** | 
| Disclaimer/Publisher’s Note: The statements, opinions and data contained in all publications are solely those of the individual author(s) and contributor(s) and not of MDPI and/or the editor(s). MDPI and/or the editor(s) disclaim responsibility for any injury to people or property resulting from any ideas, methods, instructions or products referred to in the content. | 
© 2023 by the authors. Licensee MDPI, Basel, Switzerland. This article is an open access article distributed under the terms and conditions of the Creative Commons Attribution (CC BY) license (https://creativecommons.org/licenses/by/4.0/).
Share and Cite
Su, Y.-C.; Kuo, B.-J. Risk Assessment of Rice Damage Due to Heavy Rain in Taiwan. Agriculture 2023, 13, 630. https://doi.org/10.3390/agriculture13030630
Su Y-C, Kuo B-J. Risk Assessment of Rice Damage Due to Heavy Rain in Taiwan. Agriculture. 2023; 13(3):630. https://doi.org/10.3390/agriculture13030630
Chicago/Turabian StyleSu, Yuan-Chih, and Bo-Jein Kuo. 2023. "Risk Assessment of Rice Damage Due to Heavy Rain in Taiwan" Agriculture 13, no. 3: 630. https://doi.org/10.3390/agriculture13030630
APA StyleSu, Y.-C., & Kuo, B.-J. (2023). Risk Assessment of Rice Damage Due to Heavy Rain in Taiwan. Agriculture, 13(3), 630. https://doi.org/10.3390/agriculture13030630
 
        


 
       