You are currently viewing a new version of our website. To view the old version click .
Agriculture
  • Article
  • Open Access

21 July 2023

Temporal Dynamics of Biomarker Response in Folsomia candida Exposed to Azoxystrobin

,
,
and
Department of Biology, University of Osijek, Cara Hadrijana 8A, HR-31000 Osijek, Croatia
*
Author to whom correspondence should be addressed.
This article belongs to the Special Issue Impact of Agricultural Practices on the Environment

Abstract

Azoxystrobin (AZO) is widely used to prevent and treat fungal diseases in important crops but can also impact non-target organisms, including mammals, amphibians, aquatic, and soil organisms. Collembolans play important roles in ecosystems as decomposers, fungal feeders, and regulators of microbes. This study aimed to investigate the effects of AZO on Collembola Folsomia candida using a reproduction test and assess biomarker responses over different time intervals (3, 5, 7, 14, and 28 days). Results showed AZO negatively affected reproduction at concentrations of 50, 100, and 200 mg./kg, resulting in decreases of 48.3%, 64.5%, and 81.3%, respectively, compared to the control. Adult survival remained unaffected. The estimated EC50 (reproduction) in artificial soil was 61.28 mg kg−1. Biomarker responses varied with concentration and time. Protein and glycogen concentrations increased with exposure time, while lipid content was affected initially but returned to control levels by day 28. Oxidative stress biomarkers (CAT, SOD, GST, TBARS) indicated AZO induced oxidative stress, intensifying over time. After 28 days, MDA concentrations were significantly elevated compared to the control, suggesting the antioxidant system is overwhelmed which caused damage to lipid membranes. This study showed that azoxystrobin caused negative effects at molecular and population level on non-target species of Collembola.

1. Introduction

Increasing human population puts pressure on food production which in turn leads to increase in pesticide use worldwide. According to different scenarios it is estimated that total food consumption will have to increase by 35% to 56% between 2010 and 2050 []. Although negative effects of pesticides are well known, and despite global efforts, global consumption of pesticides is increasing, with estimated consumption of 4.2 million tons in 2019 []. Despite the benefits of using pesticides in food production, their intensive use leads to numerous negative effects such as soil pollution, surface water contamination, a decrease in soil fertility, and various negative effects on non-target organisms []. Azoxystrobin is a highly efficient strobilurin fungicide that is commonly used in the prevention and treatment of fungal diseases in a wide range of economically important crops []. Its primary mode of action is to bind to mitochondrial complex III of the electron transport chain which in turn leads to the inhibition of electron exchange from quinol to cytochrome c1, consequently causing impaired mitochondrial respiration []. It has attracted scientific attention because of its over-application and ecotoxicity. Its excessive application can lead to accumulation in soil and aquatic ecosystems. In European soils, its median concentration is estimated to 0.03 mg kg−1 with the maximum concentration reaching 0.25 mg kg−1 []. In Chinese soils, residues of azoxystrobin in concentrations up to 9.5 mg kg−1 were detected [].
Azoxystrobin has negative effects on various nontarget organisms, including mammals, amphibians, aquatic and soil organisms []. In fish, it induces various negative effects such as immune damage which leads to increased susceptibility to various pathogens [,]. Impairment of embryonic development and oxidative stress [], as well as DNA damage [] was also observed in fish. Increased mortality and teratogenic effects were observed in amphibians at concentrations of pesticides commonly used in agriculture according to recommended application dose prescribed by manufacturer’s instructions [,]. Extensive research has been conducted on earthworms, which has consistently shown negative impacts on their survival, reproduction, and induction of oxidative stress [,,]. Also, azoxystrobin affects enchytraeid survival, reproduction, and hatching success [], as well as strong oxidative stress []. Only one study performed by Leitão et al. [] considered the effects of azoxystrobin on Collembolan Folsomia candida and found 10% mortality at high concentrations (1000 mg kg−1). Therefore, there is a considerable gap about the impact of azoxystrobin fungicides on collembolans. Understanding the effect of pesticides on a wider range of taxons will allow better prediction of the indirect effects of azoxystrobin on the environment, as biodiversity influences numerous ecosystem functions directly linked to essential services and benefits provided to humans.
Collembolans are among the most abundant soil-dwelling arthropods, which occupy different niches in soil ecosystems []. They are an important component of the soil ecosystem, and their presence and abundance can provide valuable information about soil health and functioning. They are found in a wide range of soil types and environments, from agricultural fields to forests and grasslands []. Collembolans feed on a variety of organic material, including dead plant material and microorganisms, and help to break down and decompose this material, making nutrients available to other soil organisms and plants [,]. They also play a critical role in the soil food web as a food source for predators such as mites and other insects []. As a key group in soil ecosystems with specific sensitivity to pesticides collembolans are a good bioindicator of the pesticide ecotoxic effect []. Therefore, the impact of different pollutants and environmental stressors is often assessed in collembolan toxicity tests [,]. Most of the applied plant protection products affect non-target species, and soil-dwelling organisms are among the first in line of exposure []. Namely, due to specific life traits, collembolans come into direct contact with fungicides, which often leads to negative effects. In order to explain the mechanisms associated with negative effects, endpoints on the biochemical level as the oxidative stress response are assessed [].
Oxidative stress occurs when there is an imbalance between antioxidants and reactive oxidative species (ROS) or free radicals. During the initial phase of detoxification (Phase I), enzymes like superoxide dismutase (SOD) and catalase (CAT) play a crucial role. SOD converts superoxide radicals into harmless molecules (H2O2/alcohol and O2) [], while CAT converts H2O2 into water and oxygen. If harmful molecules are not adequately eliminated during this phase, the second phase of detoxification is activated. Glutathione-s-transferase (GST), a common enzyme involved in the second phase, is responsible for the detoxification of xenobiotics by catalyzing the conjugation of the thiol group of reduced glutathione (GSH). If the antioxidative defense mechanism fails, lipid peroxidation occurs, leading to long-term damage. Lipid peroxidation causes metabolic disorders and the production of malonaldehyde (MDA), which serves as an index for evaluating the degree of oxidative damage []. In general, biomarkers of oxidative stress provide valuable information on the effects of pollutants and serve as an early warning system before measurable effects occur at the individual or population level. Oxidative stress biomarkers have been applied to various soil species, mostly earthworms [,,,,,], enchytraeids [,,,,], arthropods Porcellionides pruinosus [,], and Folsomia candida [,,,].
The main aim of this study was to assess the temporal dynamics of the response of common oxidative stress biomarkers in Folsomia candida exposed to azoxystrobin in artificial soil. In addition to evaluating biochemical biomarkers, we also estimated adult survival and reproduction. This research not only fills the knowledge gap regarding the effects of strobilurin fungicides on collembolans but also represents the first investigation of oxidative stress biomarkers resulting from exposure to azoxystrobin.

2. Materials and Methods

2.1. Test Organisms

The culture of Folsomia candida (Willem, 1902) is continuously maintained at the Department of Biology (Osijek, Croatia). Organisms were reared on Petri dishes with a layer of moist plaster of Paris mixed with activated charcoal (10:1), and cultures are kept in a climate chamber at a constant temperature (20 ± 1 °C) with a relative humidity of 60%, and a photoperiod of 16:8 h (light: dark) []. Collembolans were fed with granulated dried baker’s yeast twice a week and distilled water was added weekly to maintain the moisture content. Prior to the experiment cultures were synchronized to obtain 10–12 days old juveniles according to OECD (2016) [].

2.2. Test Materials and Soil Spiking

All reagents used in the experiments were of analytical grade. For the preparation of exposure concentrations, a commercial product of azoxystrobin fungicide was used—Quadris® (Syngenta Agro Ltd., Zagreb, Croatia, 250 g/L azoxystrobin—AZO).
Concentrations of azoxystrobin are chosen based on its recommended application rate (1 L/ha, max. 4× per year). Control and six concentrations were used: C0 = 0 mg kg−1, C1 = 0.15 mg kg−1, C2 = 1.5 mg kg−1, C3 = 15 mg kg−1, C4 = 50 mg kg−1, C5 = 100 mg kg−1 and C6 = 200 mg kg−1. All the concentrations are expressed as mg of active ingredient per kg of dry weight of soil.
Artificial soil was used in the experiments and it consisted of 70% fine quartz sand, 20% kaolinite clay, and 10% sphagnum peat, with pH adjusted to 6.0 ± 0.5 with CaCO3 []. Quadris was diluted with distilled water to desired concentrators and added separately to each test vessel. Controls contained only distilled water. Soil moisture was adjusted to 60% of the water-holding capacity (WHC). After adding prepared fungicide solutions, the soil was homogeneously mixed and allowed to equilibrate for 24 h before the addition of springtails.

2.3. Experimental Design

Two sets of experiments were performed in parallel. First, the reproduction test according to the standardized test guidelines [,]. For the reproduction test, 10 synchronized juveniles (10–12 days old) were introduced into each test vessel containing 30 g artificial soil and dried baker’s yeast. Water (60% WHC) and food content were replenished weekly. After the end of the exposure time organisms were extracted using the Tullgren extraction method, and surviving adults and juveniles were counted.
The second experiment was adjusted to allow the extraction of enough organisms for biomarker measurements at several time intervals: 3, 5, 7, 14, and 28 days. Three replicates for each concentration and time sampling point were prepared, and 600 synchronized juveniles were introduced in each replicate. At each sampling point, from each replicate, three samples were taken, with nine samples for each concentration and time point. Sampling was destructive.
60% WHC was chosen as it was noted that higher values of WHC resulted in significantly lower variance in the reproduction test. Additionally, we found that the heat extraction process demonstrated significantly higher efficiency when higher moisture content was used. Heat extraction was selected due to its simplicity and precision in collecting organisms needed for measuring biomarkers. The reliability of animal counting was notably higher with heat extraction, and it offered the additional advantage of simplifying the collection of organisms for biomarker measurements. The extraction efficiency for adult organisms exceeded 95%, while for juveniles, it was consistently above 85%. Extraction time was 24 h, as it proved to be sufficient since only 30 g of soil was used in the experiments.

2.4. Biomarker Measurements

To conduct biochemical analyses, a total of 150 springtails were homogenized in a cold potassium phosphate buffer (0.1 mM, pH 7.4) using the OMNI TH homogenizer. From the homogenate, a 150 μL sample was isolated, and to prevent tissue oxidation, 2.5 μL of BHT (2,6-dieterbutyl-4-metylphenol) solution at a concentration of 4% in methanol was added. The remaining homogenates were then subjected to centrifugation at 10,000× g for 20 min at 4 °C (postmitochondrial fraction—PMS). Aliquots of the resulting PMS were stored at −80 °C until further analysis. In the homogenate, the levels of Malondialdehyde (MDA), lipid, and glycogen content were measured, while protein concentration, as well as the activities of superoxide dismutase (SOD), catalase (CAT), glutathione S-transferase (GST), and acetylcholinesterase (AChE), were measured in the PMS fraction. SOD activity was assessed following the procedure outlined by McCord and Fidovich [], while CAT activity was determined based on the method described by Claiborne [], and GST activity was measured according to the protocol by Habig et al. []. AChE activity was evaluated using the technique introduced by Ellman et al. []. To determine lipid peroxidation, the formation of thiobarbituric acid reactive substances was measured fluorometrically, following the method detailed by Gagne []. Lipid and glycogen content in the homogenate were determined using the methods described by Frings et al. [] and Roe and Daily [], respectively. The protein content was assessed using the Bradford [] method. Enzyme activities and lipid peroxidation levels were normalized to the protein content and expressed relative to their respective control samples, allowing for comparisons across multiple time points.

2.5. Statistical Analysis

Prior to analysis, data were tested for normality using the Shapiro–Wilk test and checked for variance homogeneity using Bartlett’s test. In some instances, the variance was found to be inhomogeneous. In the biomarker analysis, three samples were taken from the same test jar, potentially leading to pseudoreplication. To address this issue and account for unequal variances in some cases, we employed linear mixed-effects models (LMM) with random effects. The R package nlme [] was utilized to construct these models. The LMM was formulated with the biomarker response and concentration as fixed effects and the replicate ID as a random variable. By including replicate as a random effect, we considered the inherent variability within the samples taken from the same test jar. Subsequently, one-way ANOVA was performed on the LMM to assess the overall significance of the fixed effects in the model. The one-way ANOVA allowed us to determine if there were statistically significant differences between the groups defined by biomarker response and concentration. To further investigate specific group differences while controlling for multiple comparisons, we conducted Dunnett contrasts using the emmeans [] package. The Dunnett contrasts enabled us to compare each group to a control group, which is particularly useful when multiple groups need to be compared to a single reference. Additional information on the results of the statistical analysis can be found in Supplementary Material—Tables S1 and S2. The level of statistical significance was p < 0.05 throughout the study. Data analysis was performed using R statistical software version 4.2.3 [] and RStudio []. The package drc [] was used to estimate effect concentrations (ECX). For the estimation of EC50 values, a three-parameter logistic model was used. This model was selected based on Akaike’s information criterion (AIC).

3. Results

3.1. Reproduction Test

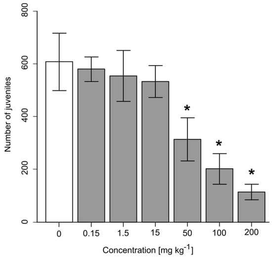
Performed reproduction test met all of the criteria of the OECD guideline [], as adult mortality did not exceed 20%, the number of juveniles in all tested vessels was higher than 100 and the coefficient of variation in the control treatments did not exceed 30%. Adult survival was not significantly affected by azoxystrobin, as survival was >90% at all tested concentrations. The results of the reproduction test (28 days of exposure) indicated that azoxystrobin did not affect the reproduction of Folsomia candida at lower, environmentally relevant concentrations (C1-C3). However, a significant reduction in the number of juveniles was observed at concentrations C4 (50 mg kg−1), C5 (100 mg kg−1), and C6 (200 mg kg−1) resulting in decreases of 48.3%, 64.5%, and 81.3% respectively, compared to the control (Figure 1) (ANOVA, F = 52.82, p < 0.001; Dunnett’s post hoc test, p < 0.05). Estimated EC10, EC50, and EC90 (reproduction) are summarized in Table 1.
Figure 1. Reproduction of Folsomia candida after exposure to strobilurin fungicide azoxystrobin in artificial soil. Results are expressed as mean ± SD. Significant differences compared to the control are labeled with * (p < 0.05).
Table 1. Estimated effect concentrations (ECx) for Folsomia candida after exposure to azoxystrobin (AZO) for 28 days in artificial soil.

3.2. Biomarker Response

3.2.1. Protein Concentration

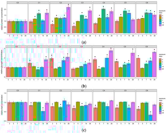
Protein concentration varied with the concentration of AZO as well as with the time of exposure. Initially, after 3 days, the concentration of proteins showed a slightly declining trend up to C3 concentration in which reduction was significant (42.2% reduction) compared to the control. At other AZO concentrations, there was no significant reduction in protein concentration compared to the control treatment (Figure 2a). After 5 days of exposure protein concentration increased significantly at all tested concentrations (except C3), with the highest increase of 37.0% observed at C5 compared to the control. Values were increased also after 7 and 14 days of exposure at almost all tested concentrations. After 28 days of exposure, protein concentration started to return to control values at C5, while at other concentrations, they remained significantly increased compared to the control.
Figure 2. Temporal dynamics of protein, glycogen, and lipid levels in Folsomia candida after exposure to azoxystrobin after 3, 5, 7, 14, and 28 days in artificial soil. All values are expressed as relative values. Results are expressed as mean ± SD. Significant differences compared to the control are labeled with * (p < 0.05): (a) Relative protein concentration; (b) Relative glycogen concentration; (c) Relative total lipid concentration.

3.2.2. Glycogen Concentration

Glycogen concentrations varied with time of exposure as well as with AZO concentration, showing an interesting “U” shaped temporal response (Figure 2b). Initially, after 3 days of exposure, glycogen levels increased compared to the control at all tested concentrations (except C3), with the highest increase at C6 (97.2% increase). After the initial increase, glycogen concentrations started to return to the control values (5 and 7 days of exposure), and then again, they significantly increased after 14 and 28 days. Values were, on average, 2.5 times the values in the control at concentrations C4, C5, and C6.

3.2.3. Total Lipids

“The concentration of lipids was significantly affected after 3 days of exposure at all tested concentrations, which showed a decrease of 18.9%, 22.0%, 31.8%, 29.2%, 29.3%, and 36.4% compared to the control, respectively (Figure 2c). After 14 days of exposure, significant decreases were observed only at concentrations C1 (47.8%), C5 (29.8%) and C6 (67.7%). At other time points and concentrations, total lipids did not differ significantly from the control values.”.

3.2.4. CAT Activity

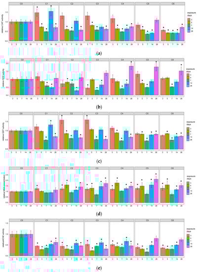
After 3 days of exposure, an increase in CAT activity was observed at lower, environmentally relevant AZO concentrations (C1, C2, and C3), although only the increase at C1 was significant (Figure 3a). At C4 and C5, catalase activity remained at control levels, while it was strongly inhibited at C6 (43.11%). Furthermore, induction of CAT occurred after 14 days of exposure at C1. However, at all other time points and concentrations, catalase activity was strongly inhibited compared to the control values.
Figure 3. Temporal dynamics of biomarker response in Folsomia candida after exposure to azoxystrobin after 3, 5, 7, 14, and 28 days in artificial soil. All values are expressed as relative. Results are expressed as mean ± SD. Significant differences compared to the control are labeled with * (p < 0.05): (a) Relative CAT activity; (b) Relative SOD activity; (c) Relative GST activity; (d) Relative malondialdehyde (MDA) concentration; (e) Relative AChE activity.

3.2.5. SOD Activity

The temporal response of SOD activity varied with AZO concentration and exposure time. SOD activity remained mostly unaffected at all almost concentrations after 3 and 5 days of exposure, except for significant inhibition at C3 after 3 days and at C2 after 5 days (Figure 3b). However, significant inhibition was observed after 7 days of exposure across all tested concentrations. After 14 days of exposure, significant inhibition persisted at lower AZO concentrations (C1–C4), with the strongest inhibition observed at C3 (68.1%). Surprisingly, after 28 days of exposure, a contrasting effect was observed. SOD activity returned to control levels at lower, environmentally relevant AZO concentrations (C1, C2, and C3), while significant induction occurred at C4, C5, and C6, nearly doubling the activity compared to the control

3.2.6. GST Activity

Opposite responses in GST activity compared to SOD were observed depending on the time point and AZO concentration. After 3 days of exposure, lower, environmentally relevant AZO concentrations (C2 and C3) significantly induced GST activity by 58.1% and 59.3%, respectively. At C4–C6, activities remained at the control level (Figure 3c). GST activities after 5 days of exposure were significantly inhibited at C2, C3, and C4, while after 7 days of exposure, significant inhibition was observed at all tested concentrations. After 14 days of exposure, GST activity remained significantly induced only at C1, while at other concentrations, it returned to control levels, except for C6, where it was significantly inhibited. After 28 days of exposure, significant inhibition of GST activity was observed at all tested concentrations

3.2.7. MDA Concentration

A “U”-shaped temporal response can also be observed in MDA concentration. After 3 days of exposure, MDA concentrations are significantly higher at all AZO concentrations compared to the control (Figure 3d). After 5 days, MDA concentrations remain significantly elevated at C2 to C6. Subsequently, after 7 days, MDA levels show a decrease compared to the control at all concentrations, although this decrease is not statistically significant. Once again, after 14 and 28 days, MDA levels are significantly elevated at all tested concentrations, except for C1, compared to the control.

3.2.8. AChE activity

Azoxystrobin exhibited strong inhibition of AChE activity at all tested concentrations. Similar to the trend observed in total lipids, a “U”- shaped temporal response was observed (Figure 3e). The strongest inhibition was observed after 5 and 7 days of exposure. The greatest inhibition of AChE activity, reaching 81.1% compared to the control, was observed after 7 days of exposure to C5. Although inhibition was still evident after 28 days at C5 and C6, it was not statistically significant.

4. Discussion

The results of the present study suggest that azoxystrobin cause adverse effects on F. candida at the molecular and population level. The biomarker response indicates that AZO induced significant oxidative stress, and the response varied depending on the duration of exposure and the applied concentration. Superoxide dismutase (SOD) and catalase (CAT) are crucial antioxidant enzymes that serve as the first line of defense against free radicals or reactive species in cells []. These enzymes work by dismutating superoxide radicals and breaking down hydrogen peroxide and hydroperoxides into harmless molecules such as oxygen (O2) and water (H2O). CAT and SOD exhibited distinct temporal responses. CAT was significantly induced at lower, environmentally relevant concentrations of AZO (C1–C3) after 3 days of exposure, while it was significantly inhibited at the highest concentration (C6). On the other hand, after 3 days of exposure, SOD remained unaffected. As the exposure duration progressed beyond 5 days, CAT activity was predominantly significantly inhibited. SOD showed a similar temporal response, but by the 28th day of exposure, its activity started to increase, and it was significantly induced at higher AZO concentrations (C4–C6) after 28 days of exposure. A similar temporal response of CAT was observed by Maria et al. [] in Folsomia candida exposed to copper and cadmium. CAT activity was initially induced on day 2 but gradually declined by the 10th day. A decrease in CAT activity with exposure duration was also observed by Han et al. [] in earthworms Eisenia fetida exposed to azoxystrobin, where CAT was induced after 7 days but inhibition occurred on days 14, 21, and 28. Authors suggested that in earthworms exposed to azoxystrobin, CAT probably plays an inferior role in eliminating oxidative stress, especially after longer exposure. Similarly, Zhang et al. [] also reported CAT inhibition with exposure time in earthworms exposed to fluoxastrobin and suggested that excess H2O2 produced by SOD probably inhibited CAT activity. Although this explanation partially aligns with our results, as SOD was significantly induced at the end of the exposure period (28 days) when CAT was significantly inhibited, it should be noted that at 5, 7, and 14 days of exposure, both enzymes were inhibited. SOD is an essential component in the first antioxidative defense mechanism, and it is expected first to respond; however, its significant induction occurred only after 28 days of exposure, which indicated that it took some time for AZO to activate this enzyme. An increase in SOD activity with the increase in exposure time was also observed by Xu et al. [] in earthworms (Eisenia fetida) exposed to azoxystrobin, as well as Han et al. [].
GST is an essential second-phase detoxifying enzyme that scavenges lipid hydroperoxides to reduce oxidative damage. In our research, GST was activated only at 3 days of exposure at lower, environmentally relevant AZO concentrations (C1–C3), while with a duration of exposure and increasing concentrations, activity was inhibited, which subsequently caused significant lipid damage visible through increased MDA levels. A higher level of MDA indicates a higher production of ROS and lipid peroxidation (LPO), and MDA content is a common biomarker of oxidative damage []. Xu et al. [] observed a decrease in GST activity with exposure time; however, these effects were only present in one type of soil (red clay soil). Depletion of GST is also observed in Enchytraeus albidus and Eisena fetida exposed to olive mill wastewater [,] and different earthworm species exposed to pesticides [,,]. Authors commonly attribute this type o GST response to the chemical compositions of the herbicide, which might influence the behavior of GST activity; changes in enzyme synthesis; or take it as a sign of its consumption due to the activation of detoxification mechanisms.
Proteins, glycogen, and lipids are the main energy compartments of an organism and indicate the energy status of an organism []. Protein and glycogen content showed a similar temporal response as a significant increase in protein and glycogen synthesis was observed with the duration of exposure. After 28 days, the protein content at higher concentrations (C4–C6) doubled, while the glycogen content almost tripled. While lipid content was mostly unaffected, a significant depletion of lipids was observed after 3 days of exposure at concentrations C2 to C6. After 7 days, significant depletion was observed at C2 and C3, and after 14 days, only at the highest concentration. However, by the end of the exposure period (28 days), the lipid content had returned to control levels. Organisms exposed to pollutants can have different resistance strategies: avoidance, neutralization, and excretion of damage repair []; however, all of these processes are metabolically costly in terms of energy and can reduce the energy available for growth, reproduction, or survival. Such changes in protein, carbohydrate, and lipid content are commonly considered as a stress response. Similar patterns of protein glycogen and lipid content after pollutant exposure are observed in Folsomia candida [] and several other species. Tripathi et al. [] reported an increase in protein content in three species of earthworms exposed to carbofuran, which authors attributed to an increase in the synthesis of stress proteins. De Coen and Janssen [] found a significant increase in protein levels in Daphnia magna exposed to cadmium, tributyltin, linear alkyl sulfonic acid, lindane, and 2,4-dichloro phenoxy acetic acid (2,4-D). Kovačević et al. [] reported an increase in protein and carbohydrate content in Enchytraeus albidus at the highest concentration of azoxystrobin, with the protein content showing a time and concentration-dependent pattern. Agbohessi et al. [] suggested that intermediate levels of pollution can stimulate increased protein synthesis, which is necessary for detoxification processes and other defense mechanisms when sufficient amounts of energy sources like glycogen and lipids are available. This would also explain the observed increase in glycogen synthesis, which began after 5 days of exposure and continued to rise until the 28th day.
AChE activity has been widely used as a sensitive stress biomarker of neurotoxicity. AZO caused significant inhibition of AChE activity in Folsomia candida in all tested concentrations and all time points. Its primary mode of action is the prevention of respiration due to the disruption of the electron transport chain, preventing ATP synthesis [], so the mechanism of AChE inhibition is not clear. It is known that oxidative stress plays a role in the regulation and activity of AChE []. Contrary to our results, several authors reported induction of AChE activity in other species exposed to azoxystrobin. AZO significantly elevated AChE activity in zebrafish larvae [] and crayfish (Astacus leptodactylus) []. However, as research on the effects of AZO on AChE is still quite scarce, mechanisms are still not clear.
AZO did not affect adult survival, however, it significantly inhibited reproduction at concentrations C4–C6 (50, 100, and 200 mg kg−1). This inhibition resulted in a decrease in the number of juveniles compared to the control, with reductions of 48.3%, 64.5%, and 81.3% for concentrations C4, C5, and C6, respectively. EC50 (reproduction) is estimated at 61.28 mg kg−1 [CI 48.05, 74.508]. The only study investigating the effects of AZO on Collembolas was performed by Leitão et al. [] and similar to our results, they did not find a significant effect on adult survival, although they did observe a decrease of 10% at very high concentrations of AZO (1000 mg kg−1). The most probable explanation for this difference in sensitivity is that juveniles are still undergoing growth and development, making them more vulnerable to external stressors like pesticides. Their physiological systems may be less mature, and their antioxidant defense mechanisms less developed, which makes them more susceptible to the toxic effects of pesticides. Leitão et al. [] also estimated the EC50 (reproduction) at 92.0 mg./kg (95% CI 57.9–126.1 mg kg−1), which is slightly higher than our estimate but still falls within the 95% confidence interval. The difference in the estimates could also be attributed to the author’s use of natural soil from a Mediterranean agricultural area. Soil properties play a crucial role in the fate, behavior, and dispersion of pesticides in the soil []. The toxicity of pesticides depends on the soil type used in the experiments [], and it is known that soil organic matter (SOM) [,], quantity and type of clay [,], moisture content, and pH all affect the toxicity of various pollutants. SOM is considered to be the most important factor affecting the sorption of chemicals in the environment [], as it can influence the sorption potential and capacity [,] and also influences pesticide retention and sorption in the soil []. In our study, artificial soil with 10% sphagnum peat was used. This soil is preferred in the standard ecotoxicological test over natural soils, as it provides reproducibility of results between different research. However, it is often criticized as the sphagnum peat in artificial soil does not represent the natural organic matter (OM) type [], and usually, OM content is significantly lower in most European agricultural soils, which typically have OM content less than 5% []. Wu et al. [] investigated the adsorption of AZO in three types of soils and showed that adsorption was positively correlated with SOM content. Xu et al. [] investigated the ecotoxicity of AZO on earthworm Eisenia fetida in four different soils and found that AZO had higher toxicity in natural soils compared to artificial soil, which had the highest OM content among all of the tested soils. Considering we used a quite high SOM content, it is reasonable to assume that the negative effects of AZO could be more intense in natural soils and that the effects are possibly underestimated. However, it is assumed that the main uptake route of chemicals in collembolans is associated with solid soil phases, while for soft-bodied species, like earthworms, uptake is mainly influenced by pore water []. Since AZO strongly adsorbs to SOM, further research is needed to precisely determine possible negative effects of AZO in natural soil systems.
Our results indicate that AZO did not affect the reproduction of Folsomia candida at lower, environmentally relevant concentrations (C1–C3); however, it is important to consider that some research suggests that although no negative effects are observed in the first generation, they may be detected in subsequent generations [,,,].

5. Conclusions

Although the usage of pesticides offers clear advantages in improving food safety and ensuring sufficient food supply for the growing human population, their intensive use can lead to soil and water pollution, thereby increasing environmental and health risks. The negative effects of pesticides on non-target organisms are overwhelming. This study showed that azoxystrobin, a fungicide, caused negative effects at molecular and population levels on non-target species of Collembola. Azoxystrobin induced significant oxidative stress, as well as impairment of reproduction at concentrations 50, 100, and mg kg−1. EC50 (reproduction) is estimated at 61.28 mg kg−1 (95% CI 48.05, 74.508). Temporal dynamics of biomarker response varied with concentration and time of exposure, which should be considered as an acute test that would probably fail to detect any negative effects. While no negative effects on reproduction could be observed at lower, environmentally relevant concentrations, cumulative effects, the presence of multiple stressors as well as studies indicating that effects may be observed in multigenerational studies all should be considered when estimating risks for non-target organisms.

Supplementary Materials

The following supporting information can be downloaded at: https://www.mdpi.com/article/10.3390/agriculture13071443/s1, Table S1: Results from the Linear mixed models (LMM); Table S2: Results from One-way ANOVA performed on LMM model.

Author Contributions

M.K.: investigation, writing—original draft N.S.: investigation, writing—original draft, L.Z.: investigation, validation, Ž.L.: conceptualization, methodology, investigation, formal analysis, funding acquisition, writing—review and editing, supervision. All authors have read and agreed to the published version of the manuscript.

Funding

This work was supported by the Josip Juraj Strossmayer University of Osijek, Department of Biology, grant number: 3105-10-21.

Institutional Review Board Statement

Not applicable.

Data Availability Statement

The datasets used and/or analyzed during the current study are available from the corresponding author upon reasonable request.

Conflicts of Interest

The authors declare that they have no known competing financial interests or personal relationships that could have appeared to influence the work reported in this paper.

References

  1. van Dijk, M.; Morley, T.; Rau, M.L.; Saghai, Y. A meta-analysis of projected global food demand and population at risk of hunger for the period 2010–2050. Nat. Food 2021, 2, 494–501. [Google Scholar] [CrossRef] [PubMed]
  2. FAO. World Food and Agriculture—Statistical Yearbook 2021; FAO: Rome, Italy, 2021. [Google Scholar] [CrossRef]
  3. Aktar, W.; Sengupta, D.; Chowdhury, A. Impact of pesticides use in agriculture: Their benefits and hazards. Interdiscip. Toxicol. 2009, 2, 1–12. [Google Scholar] [CrossRef] [PubMed]
  4. Rodrigues, E.T.; Lopes, I.; Pardal, M.Â. Occurrence, fate and effects of azoxystrobin in aquatic ecosystems: A review. Environ. Int. 2013, 53, 18–28. [Google Scholar] [CrossRef] [PubMed]
  5. Bartlett, D.W.; Clough, J.M.; Godwin, J.R.; Hall, A.A.; Hamer, M.; Parr-Dobrzanski, B. The strobilurin fungicides. Pest Manag. Sci. Former. Pestic. Sci. 2002, 58, 649–662. [Google Scholar] [CrossRef]
  6. Silva, V.; Mol, H.G.J.; Zomer, P.; Tienstra, M.; Ritsema, C.J.; Geissen, V. Pesticide residues in European agricultural soils—A hidden reality unfolded. Sci. Total Environ. 2019, 653, 1532–1545. [Google Scholar] [CrossRef] [PubMed]
  7. Hou, Z.; Wang, X.; Zhao, X.; Wang, X.; Yuan, X.; Lu, Z. Dissipation rates and residues of fungicide azoxystrobin in ginseng and soil at two different cultivated regions in China. Environ. Monit. Assess. 2016, 188, 440. [Google Scholar] [CrossRef]
  8. Zhang, C.; Zhou, T.; Xu, Y.; Du, Z.; Li, B.; Wang, J.; Wang, J.; Zhu, L. Ecotoxicology of strobilurin fungicides. Sci. Total Environ. 2020, 742, 140611. [Google Scholar] [CrossRef]
  9. Qiu, T.; Wang, H.; Liu, L.; Chen, J. Long-term exposure to azoxystrobin induces immunodeficiency in fish that are vulnerable to subsequent rhabdovirus infection. Ecotoxicol. Environ. Saf. 2022, 248, 114331. [Google Scholar] [CrossRef]
  10. Liu, L.; Wang, H.; Xu, M.; Qiu, T.X.; Chen, J. Azoxystrobin increases the infection of spring viraemia of carp virus in fish. Chemosphere 2021, 285, 131465. [Google Scholar] [CrossRef]
  11. Jia, W.; Mao, L.; Zhang, L.; Zhang, Y.; Jiang, H. Effects of two strobilurins (azoxystrobin and picoxystrobin) on embryonic development and enzyme activities in juveniles and adult fish livers of zebrafish (Danio rerio). Chemosphere 2018, 207, 573–580. [Google Scholar] [CrossRef]
  12. Crupkin, A.C.; Fulvi, A.B.; Iturburu, F.G.; Medici, S.; Mendieta, J.; Panzeri, A.M.; Menone, M.L. Evaluation of hematological parameters, oxidative stress and DNA damage in the cichlid Australoheros facetus exposed to the fungicide azoxystrobin. Ecotoxicol. Environ. Saf. 2021, 207, 111286. [Google Scholar] [CrossRef] [PubMed]
  13. Belden, J.; McMurry, S.; Smith, L.; Reilley, P. Acute toxicity of fungicide formulations to amphibians at environmentally relevant concentrations. Environ. Toxicol. Chem. 2010, 29, 2477–2480. [Google Scholar] [CrossRef] [PubMed]
  14. Wu, S.; Lei, L.; Liu, M.; Song, Y.; Lu, S.; Li, D.; Shi, H.; Raley-Susman, K.M.; He, D. Single and mixture toxicity of strobilurin and SDHI fungicides to Xenopus tropicalis embryos. Ecotoxicol. Environ. Saf. 2018, 153, 8–15. [Google Scholar] [CrossRef]
  15. Wang, Y.; Wu, S.; Chen, L.; Wu, C.; Yu, R.; Wang, Q.; Zhao, X. Toxicity assessment of 45 pesticides to the epigeic earthworm Eisenia fetida. Chemosphere 2012, 88, 484–491. [Google Scholar] [CrossRef]
  16. Han, Y.; Zhu, L.; Wang, J.; Wang, J.; Xie, H.; Zhang, S. Integrated assessment of oxidative stress and DNA damage in earthworms (Eisenia fetida) exposed to azoxystrobin. Ecotoxicol. Environ. Saf. 2014, 107, 214–219. [Google Scholar] [CrossRef] [PubMed]
  17. Xu, Y.; Li, B.; Hou, K.; Du, Z.; Allen, S.C.; Zhu, L.; Li, W.; Zhu, L.; Wang, J.; Wang, J. Ecotoxicity evaluation of azoxystrobin on Eisenia fetida in different soils. Environ. Res. 2021, 194, 110705. [Google Scholar] [CrossRef] [PubMed]
  18. Leitão, S.; Cerejeira, M.J.; Van den Brink, P.J.; Sousa, J.P. Effects of azoxystrobin, chlorothalonil, and ethoprophos on the reproduction of three terrestrial invertebrates using a natural Mediterranean soil. Appl. Soil Ecol. 2014, 76, 124–131. [Google Scholar] [CrossRef]
  19. Kovačević, M.; Stjepanović, N.; Hackenberger, D.K.; Lončarić, Ž.; Hackenberger, B.K. Toxicity of fungicide azoxystrobin to Enchytraeus albidus: Differences between the active ingredient and formulated product. Pestic. Biochem. Physiol. 2022, 187, 105198. [Google Scholar] [CrossRef]
  20. Hopkin, S.P. Biology of the Springtails (Insecta: Collembola); Oxford University Press Inc.: New York, NY, USA, 1997; 341p. [Google Scholar]
  21. Wallwork, J.A. The Distribution and Diversity of Soil Fauna; Academic Press: London, UK, 1976. [Google Scholar]
  22. Larink, O. Springtails and mites: Important knots in the food web of soils. In Fauna in Soil Ecosystems: Recycling Processes, Nutrient Fluxes, and Agricultural Production; Benckiser, G., Ed.; Marcel Dekker: New York, NY, USA, 1997; pp. 225–264. [Google Scholar]
  23. Joimel, S.; Chassain, J.; Artru, M.; Faburé, J. Collembola are Among the Most Pesticide-Sensitive Soil Fauna Groups: A Meta-Analysis. Environ. Toxicol. Chem. 2022, 41, 2333–2341. [Google Scholar] [CrossRef]
  24. OECD. Test No. 232: Collembolan Reproduction Test in Soil, OECD Guidelines for the Testing of Chemicals, Section 2; OECD Publishing: Paris, France, 2016. [Google Scholar]
  25. ISO—International Organization for Standardization. Soil Quality: Inhibition of Reproduction of Collembola (Folsomia candida) by Soil Contaminants; ISO: Geneva, Switzerland, 2014. [Google Scholar]
  26. Gomes, S.I.L.; Ammendola, A.; Casini, S.; Amorim, M.J.B. Toxicity of fungicides to terrestrial non-target fauna—Formulated products versus active ingredients (azoxystrobin, cyproconazole, prothioconazole, tebuconazole)—A case study with Enchytraeus crypticus (Oligochaeta). Sci. Total Environ. 2021, 754, 142098. [Google Scholar] [CrossRef]
  27. Maria, V.L.; Ribeiro, M.J.; Amorim, M.J. Oxidative stress biomarkers and metallothionein in Folsomia candida—Responses to Cu and Cd. Environ. Res. 2014, 133, 164–169. [Google Scholar] [CrossRef]
  28. Ighodaro, O.M.; Akinloye, O.A. First line defence antioxidants-superoxide dismutase (SOD), catalase (CAT) and glutathione peroxidase (GPX): Their fundamental role in the entire antioxidant defence grid. Alex. J. Med. 2018, 54, 287–293. [Google Scholar] [CrossRef]
  29. Duryee, M.J.; Klassen, L.W.; Schaffert, C.S.; Tuma, D.J.; Hunter, C.D.; Garvin, R.P.; Anderson, D.R.; Thiele, G.M. Malondialdehyde-acetaldehyde adduct is the dominant epitope after MDA modification of proteins in atherosclerosis. Free Radical Biol. Med. 2010, 49, 1480–1486. [Google Scholar] [CrossRef] [PubMed]
  30. Deng, S.; Wu, Y.; Duan, H.; Cavanagh, J.A.E.; Wang, X.; Qiu, J.; Li, Y. Toxicity assessment of earthworm exposed to arsenate using oxidative stress and burrowing behavior responses and an integrated biomarker index. Sci. Total Environ. 2021, 800, 149479. [Google Scholar] [CrossRef] [PubMed]
  31. Lackmann, C.; Velki, M.; Šimić, A.; Müller, A.; Braun, U.; Ečimović, S.; Hollert, H. Two types of microplastics (polystyrene-HBCD and car tire abrasion) affect oxidative stress-related biomarkers in earthworm Eisenia andrei in a time-dependent manner. Environ. Int. 2022, 163, 107190. [Google Scholar] [CrossRef]
  32. Xu, Z.; Zhang, Z.; Wang, X. Ecotoxicological effects of soil lithium on earthworm Eisenia fetida: Lethality, bioaccumulation, biomarker responses, and histopathological changes. Environ. Pollut. 2023, 330, 121748. [Google Scholar] [CrossRef]
  33. Bakr, Z.; Abdel-Wahab, M.; Thabet, A.A.; Hamed, M.; El-Aal, M.A.; Saad, E.; Faheem, M.; Sayed, A.E.-D.H. Toxicity of silver, copper oxide, and polyethylene nanoparticles on the earthworm Allolobophora caliginosa using multiple biomarkers. Appl. Soil Ecol. 2023, 181, 104681. [Google Scholar] [CrossRef]
  34. Sanchez-Hernandez, J.C.; Narváez, C.; Cares, X.A.; Sabat, P.; Naidu, R. Predicting the bioremediation potential of earthworms of different ecotypes through a multi-biomarker approach. Sci. Total Environ. 2023, 862, 160547. [Google Scholar] [CrossRef]
  35. Lackmann, C.; Šimić, A.; Ečimović, S.; Mikuška, A.; Seiler, T.-B.; Hollert, H.; Velki, M. Subcellular responses and avoidance behavior in Earthworm Eisenia andrei exposed to Pesticides in the Artificial Soil. Agriculture 2023, 13, 271. [Google Scholar] [CrossRef]
  36. Novais, S.C.; Gomes, S.I.L.; Gravato, C.; Guilhermino, L.; De Coen, W.; Soares, A.M.V.M.; Amorim, M.J.B. Reproduction and biochemical responses in Enchytraeus albidus (Oligochaeta) to zinc or cadmium exposures. Environ. Pollut. 2011, 159, 1836–1843. [Google Scholar] [CrossRef]
  37. Gomes, S.I.; Novais, S.C.; Gravato, C.; Guilhermino, L.; Scott-Fordsmand, J.J.; Soares, A.M.V.M.; Amorim, M.J.B. Effect of Cu-nanoparticles versus one Cu-salt: Analysis of stress biomarkers response in Enchytraeus albidus (Oligochaeta). Nanotoxicology 2012, 6, 134–143. [Google Scholar] [CrossRef] [PubMed]
  38. Patrício Silva, A.L.; Holmstrup, M.; Amorim, M.J.B. Worms from the Arctic are better adapted to freezing and high salinity than worms from temperate regions: Oxidative stress responses in Enchytraeus albidus. Comp. Biochem. Physiol. A Mol. Integr. Physiol. 2013, 166, 582–589. [Google Scholar] [CrossRef] [PubMed]
  39. Hackenberger, D.K.; Stjepanović, N.; Lončarić, Ž.; Hackenberger, B.K. Effects of single and combined exposure to nano and bulk zinc-oxide and propiconazole on Enchytraeus albidus. Chemosphere 2019, 224, 572–579. [Google Scholar] [CrossRef]
  40. Ferreira, N.G.; Santos, M.J.; Domingues, I.; Calhôa, C.F.; Monteiro, M.; Amorim, M.J.; Soares, A.M.; Loureiro, S. Basal levels of enzymatic biomarkers and energy reserves in Porcellionides pruinosus. Soil Biol. Biochem. 2010, 42, 2128–2136. [Google Scholar] [CrossRef]
  41. Ferreira, N.G.; Cardoso, D.N.; Morgado, R.; Soares, A.M.; Loureiro, S. Long-term exposure of the isopod Porcellionides pruinosus to nickel: Costs in the energy budget and detoxification enzymes. Chemosphere 2015, 135, 354–362. [Google Scholar] [CrossRef]
  42. Oliveira, M.; Cardoso, D.; Soares, A.; Loureiro, S. Toxic effects of human pharmaceuticals to Folsomia candida—A multigeneration approach. Sci. Total Environ. 2018, 625, 1225–1233. [Google Scholar] [CrossRef]
  43. Li, Y.; Guo, P.; Liu, Y.; Su, H.; Zhang, Y.; Deng, J.; Wu, Y. Effects of sulfur on the toxicity of cadmium to Folsomia candida in red earth and paddy soil in southern Fujian. J. Hazard. Mater. 2020, 387, 121683. [Google Scholar] [CrossRef]
  44. Kovačević, M.; Stjepanović, N.; Trigui, S.; Hackenberger, D.K.; Lončarić, Ž.; Glavaš, O.J.; Kallel, A.; Hackenberger, B.K. Assessment of adverse effects of olive mill waste water and olive mill waste contaminated soil on springtail Folsomia candida. Chemosphere 2022, 300, 134651. [Google Scholar] [CrossRef]
  45. McCord, J.M.; Fridovich, I. Superoxide dismutase: An enzymic function for erythrocuprein (hemocuprein). J. Biol. Chem. 1969, 244, 6049–6055. [Google Scholar] [CrossRef]
  46. Claiborne, A. Catalase activity. In CRC Handbook of Methods for Oxygen Radical Research; Greenwald, R.A., Ed.; CRC Press: Boca Raton, FL, USA, 1985; pp. 283–284. [Google Scholar]
  47. Habig, W.H.; Pabst, M.J.; Jakoby, W.B. Glutathione S-transferases: The first enzymatic step in mercapturic acid formation. J. Biol. Chem. 1974, 249, 7130–7139. [Google Scholar] [CrossRef]
  48. Ellman, G.L.; Courtney, K.D.; Andres, V., Jr.; Featherstone, R.M. A new and rapid colorimetric determination of acetylcholinesterase activity. Biochem. Pharmacol. 1961, 7, 88–95. [Google Scholar] [CrossRef] [PubMed]
  49. Gagne, F. Biochemical Ecotoxicology: Principles and Methods; Elsevier: Amsterdam, The Netherlands, 2014. [Google Scholar]
  50. Frings, C.S.; Fendley, T.W.; Dunn, R.T.; A Queen, C. Improved determination of total serum lipids by the sulfo-phospho-vanillin reaction. Clin. Chem. 1972, 18, 673–674. [Google Scholar] [CrossRef] [PubMed]
  51. Roe, J.H.; Dailey, R.E. Determination of glycogen with the anthrone reagent. Anal. Biochem. 1966, 15, 245–250. [Google Scholar] [CrossRef] [PubMed]
  52. Bradford, M.M. A rapid and sensitive method for the quantitation of microgram quantities of protein utilizing the principle of protein-dye binding. Anal. Biochem. 1976, 72, 248–254. [Google Scholar] [CrossRef]
  53. Pinheiro, J.C.; Bates, D.M. Mixed-Effects Models in S and S-PLUS; Springer Science & Business Media: New York, NY, USA, 2000. [Google Scholar] [CrossRef]
  54. Lenth, R. Emmeans: Estimated Marginal Means, Aka Least-Squares Means, R Package Version 1.8.2; American Statistical Association: Alexandria, VA, USA, 2022. [Google Scholar]
  55. R Core Team. R: A Language and Environment for Statistical Computing; R Foundation for Statistical Computing: Vienna, Austria, 2023. [Google Scholar]
  56. R Studio Team. RStudio. Integrated Development for R; RStudio, Inc.: Boston, MA, USA, 2021. [Google Scholar]
  57. Ritz, C.; Baty, F.; Streibig, J.C.; Gerhard, D. Dose-Response Analysis Using R. PLoS ONE 2015, 10, e0146021. [Google Scholar] [CrossRef]
  58. Zhang, C.; Zhu, L.; Wang, J.; Wang, J.; Du, Z.; Li, B.; Zhou, T.; Cheng, C.; Wang, Z. Evaluating subchronic toxicity of fluoxastrobin using earthworms (Eisenia fetida). Sci. Total Environ. 2018, 642, 567–573. [Google Scholar] [CrossRef]
  59. Trigui, S.; Hackenberger, D.K.; Stjepanović, N.; Lončarić, Ž.; Kovačević, M.; Hackenberger, B.K.; Kallel, A. Mitigation of OMW toxicity toward Enchytraeus albidus with application of additives. Environ. Sci. Pollut. Res. 2022, 29, 83426–83436. [Google Scholar] [CrossRef] [PubMed]
  60. Trigui, S.; Hackenberger, D.K.; Kovačević, M.; Stjepanović, N.; Palijan, G.; Kallel, A.; Hackenberger, B.K. Effects of olive mill waste (OMW) contaminated soil on biochemical biomarkers and reproduction of Dendrobaena veneta. Environ. Sci. Pollut. Res. 2021, 29, 24956–24967. [Google Scholar] [CrossRef]
  61. Tejada, M.; Gómez, I.; Franco-Andreu, L.; Benitez, C. Role of different earthworms in a soil polluted with oxyfluorfen herbicide. Short-time response on soil biochemical properties. Ecol. Eng. 2016, 86, 39–44. [Google Scholar] [CrossRef]
  62. Zhang, Y.; Zhang, L.; Feng, L.; Mao, L.; Jiang, H. Oxidative stress of imidaclothiz on earthworm Eisenia fetida. Comp. Biochem. Physiol. Part C Toxicol. Pharmacol. 2017, 191, 1–6. [Google Scholar] [CrossRef]
  63. Hackenberger, D.K.; Stjepanović, N.; Lončarić, Ž.; Hackenberger, B.K. Acute and subchronic effects of three herbicides on biomarkers and reproduction in earthworm Dendrobaena veneta. Chemosphere 2018, 208, 722–730. [Google Scholar] [CrossRef]
  64. De Coen, W.M.; Janssen, C.R. The missing biomarker link: Relationships between effects on the cellular energy allocation biomarker of toxicant-stressed Daphnia magna and corresponding population characteristics. Environ. Toxicol. Chem. Int. J. 2003, 22, 1632–1641. [Google Scholar] [CrossRef]
  65. Calow, P. Physiological costs of combating chemical toxicants: Ecological implications. Comparative biochemistry and physiology. Comp. Biochem. Physiol. Part C Comp. Pharmacol. 1991, 100, 3–6. [Google Scholar] [CrossRef]
  66. Staempfli, C.; Tarradellas, J.; Slooten, K.B.-V. Effects of dinoseb on energy reserves in the soil arthropod Folsomia candida. Ecotoxicol. Environ. Saf. 2007, 68, 263–271. [Google Scholar] [CrossRef]
  67. Tripathi, G.; Kachhwaha, N.; Dabi, I. Comparative studies on carbofuran-induced changes in some cytoplasmic and mitochondrial enzymes and proteins of epigeic, anecic and endogeic earthworms. Pestic. Biochem. Physiol. 2010, 96, 30–35. [Google Scholar] [CrossRef]
  68. Agbohessi, T.P.; Toko, I.I.; N’tcha, I.; Geay, F.; Mandiki, S.N.M.; Kestemont, P. Exposure to agricultural pesticides impairs growth, feed utilization and energy budget in African Catfish Clarias gariepinus (Burchell, 1822) fingerlings. Int. Aquat. Res. 2014, 6, 229–243. [Google Scholar] [CrossRef]
  69. Wang, X.; Li, X.; Wang, Y.; Qin, Y.; Yan, B.; Martyniuk, C.J. A comprehensive review of strobilurin fungicide toxicity in aquatic species: Emphasis on mode of action from the zebrafish model. Environ. Pollut. 2021, 275, 116671. [Google Scholar] [CrossRef] [PubMed]
  70. Rodríguez-Fuentes, G.; Rubio-Escalante, F.J.; Noreña-Barroso, E.; Escalante-Herrera, K.S.; Schlenk, D. Impacts of oxidative stress on acetylcholinesterase transcription, and activity in embryos of zebrafish (Danio rerio) following Chlorpyrifos exposure. Comp. Biochem. Physiol. Part C Toxicol. Pharmacol. 2015, 172–173, 19–25. [Google Scholar] [CrossRef] [PubMed]
  71. Vieira, R.S.; Venâncio, C.A.; Félix, L.M. Embryonic zebrafish response to a commercial formulation of azoxystrobin at environmental concentrations. Ecotoxicol. Environ. Saf. 2021, 211, 111920. [Google Scholar] [CrossRef] [PubMed]
  72. Uçkun, A.A.; Öz, B. Evaluation of the acute toxic effect of azoxystrobin on non-target crayfish (Astacus leptodactylus Eschscholtz, 1823) by using oxidative stress enzymes, ATPases and cholinesterase as biomarkers. Drug Chem. Toxicol. 2021, 44, 550–557. [Google Scholar] [CrossRef]
  73. Lewis, S.E.; Silburn, D.M.; Kookana, R.; Shaw, M. Pesticide behavior, fate, and effects in the tropics: An overview of the current state of knowledge. J. Agric. Food Chem. 2016, 64, 3917–3924. [Google Scholar] [CrossRef]
  74. Serafini, S.; Soares, J.G.; Perosa, C.F.; Picoli, F.; Segat, J.C.; Da Silva, A.S.; Baretta, D. Eprinomectin antiparasitic affects survival, reproduction and behavior of Folsomia candida biomarker, and its toxicity depends on the type of soil. Environ. Toxicol. Pharmacol. 2019, 72, 103262. [Google Scholar] [CrossRef] [PubMed]
  75. Liu, Z.; Guo, H.; He, H.; Sun, C. Sorption and cosorption of the nonionic herbicide mefenacet and heavy metals on soil and its components. J. Environ. Sci. 2012, 24, 427–434. [Google Scholar] [CrossRef] [PubMed]
  76. van Hall, B.G.; Sweeney, C.; Bottoms, M.; van Gestel, C.A.M. The influence of soil organic matter content on the toxicity of pesticides to soil invertebrates: A review. Integrated Environmental Assessment and Management. Integr. Environ. Assess. Manag. 2023. [Google Scholar] [CrossRef] [PubMed]
  77. Toniêto, T.A.P.; de Pierri, L.; Tornisielo, V.L.; Regitano, J.B. Fate of tebuthiuron and hexazinone in green-cane harvesting system. J. Agric. Food Chem. 2016, 64, 3960–3966. [Google Scholar] [CrossRef]
  78. Kim, Y.; Lim, S.; Han, M.; Cho, J. Sorption characteristics ofoxytetracycline, amoxicillin, and sulfathiazole in two different soil types. Geoderma 2012, 185–186, 97–101. [Google Scholar] [CrossRef]
  79. Clegg, H.; Riding, M.J.; Oliver, R.; Jones, K.C.; Semple, K.T. The impact of soil organic matter and soil sterilisation on the bioaccessibility of 14C-azoxystrobin determined by desorption kinetics. J. Hazard. Mater. 2014, 278, 336–342. [Google Scholar] [CrossRef]
  80. White, J.C.; Hunter, M.; Nam, K.; Pignatello, J.J.; Alexander, M. Correlation between biological and physical availabilities of phenanthrene in soils and soil humin in aging experiments. Environ. Toxicol. Chem. Int. J. 1999, 18, 1720–1727. [Google Scholar] [CrossRef]
  81. Pignatello, J.J. Slowly reversible sorption of aliphatic halocarbons in soils. II. Mechanistic aspects. Environ. Toxicol. Chem. Int. J. 1990, 9, 1117–1126. [Google Scholar] [CrossRef]
  82. Zhang, N.; Yang, Y.; Tao, S.; Liu, Y.; Shi, K.L. Sequestration of organochlorine pesticides in soils of distinct organic carbon content. Environ. Pollut. 2011, 159, 700–705. [Google Scholar] [CrossRef]
  83. Chelinho, S.; Domene, X.; Campana, P.; Andrés, P.; Römbke, J.; Sousa, J.P. Toxicity of phenmedipham and carbendazim to Enchytraeus crypticus and Eisenia andrei (Oligochaeta) in Mediterranean soils. J. Soils Sediments 2014, 14, 584–599. [Google Scholar] [CrossRef]
  84. Wu, P.; Wu, W.Z.; Han, Z.H.; Yang, H. Desorption and mobilization of three strobilurin fungicides in three types of soil. Environ. Monit. Assess. 2016, 188, 363. [Google Scholar] [CrossRef] [PubMed]
  85. Vijver, M.; Jager, T.; Posthuma, L.; Peijnenburg, W. Impact of metal pools and soil properties on metal accumulation in Folsomia candida (Collembola). Environ. Toxicol. Chem. Int. J. 2001, 20, 712–720. [Google Scholar] [CrossRef]
  86. Paumen, M.L.; Steenbergen, E.; Kraak, M.H.S.; van Straalen, N.M.; van Gestel, C.A.M. Multigeneration exposure of the springtail Folsomia candida to phenanthrene: From dose-response relationships to threshold concentrations. Environ. Sci. Technol. 2008, 42, 6985–6990. [Google Scholar] [CrossRef] [PubMed]
  87. van Gestel, C.A.; Silva, C.D.L.E.; Lam, T.; Koekkoek, J.C.; Lamoree, M.H.; Verweij, R.A. Multigeneration toxicity of imidacloprid and thiacloprid to Folsomia candida. Ecotoxicology 2017, 26, 320–328. [Google Scholar] [CrossRef]
  88. Szabó, B.; Seres, A.; Bakonyi, G. Distinct changes in the life-history strategies of Folsomia candida Willem (Collembola: Isotomidae) due to multi-and transgenerational treatments with an insecticide. Appl. Soil Ecol. 2020, 152, 103563. [Google Scholar] [CrossRef]
Disclaimer/Publisher’s Note: The statements, opinions and data contained in all publications are solely those of the individual author(s) and contributor(s) and not of MDPI and/or the editor(s). MDPI and/or the editor(s) disclaim responsibility for any injury to people or property resulting from any ideas, methods, instructions or products referred to in the content.

Article Metrics

Citations

Article Access Statistics

Multiple requests from the same IP address are counted as one view.