Abstract
Cultivar, habitat conditions and agrotechnology have an influence on the yield and chemical composition of rye grain. The main anti-nutritional substances present in rye grain include alkylresorcinols, water-soluble pentosans and trypsin inhibitors. The aim of this study was to determine the variability in yield and the concentration of anti-nutritional compounds in the grain of selected winter rye cultivars in relation to nitrogen fertilisation levels and weather conditions. Field studies were conducted at the Experimental Station of IUNG-PIB in Osiny (Poland) in two growing seasons (2018/2019 and 2019/2020). The experiment was located on pseudo-polylic soil using the randomised sub-block method in three replications. The first factor of the experiment was the level of nitrogen fertilisation (0, 70 and 140 kg N∙ha−1) and the second was the population (Dańkowskie Skand, Piastowskie) and hybrid (KWS Vinetto, SU Performer) winter rye cultivars. The study showed that the yield of winter rye depended on the genotype and the level of nitrogen fertilisation. The hybrid cultivars yield ed 17.9% higher in relation to the population cultivars. The content of anti-nutritional compounds in rye grain depended significantly on genotype, level of nitrogen fertilisation and weather conditions. The reason for the higher synthesis of anti-nutrients in rye grain was the stressful weather conditions occurring in the 2019/2020 season. Nitrogen fertilisation influenced the content of alkylresorcinols, water-soluble pentosans and trypsin inhibitor activity in grain. The interaction of cultivar and fertilisation was also found to shape the content of the aforementioned anti-nutrients.
Keywords:
alkylresorcinols; cultivars; grain yield; nitrogen fertilisation; pentosans; rye; trypsin inhibitors 1. Introduction
Rye (Secale cereale L.) is a cereal grown in Europe in a large area of the so-called “rye belt”, which includes countries such as Germany, Poland, Ukraine and Belarus. In recent years, rye production in the European Union has been around 8 million tonnes per year [1]. In the food industry, rye grain serves mainly as a raw material for the production of different types of flour from which bread (rye, mixed) is made [2]. Products made from rye flour, especially whole-grain flour, are characterised by their high nutritional and health-promoting values [3]. Ongoing breeding work focused on improving grain yield and quality further increases the potential for the use of rye grain in both human and animal nutrition [4]. The breeding of new cultivars aims to increase grain yield and quality by using cultivars with stable yields under variable climatic conditions [5]. A particular direction of progress in breeding cultivars with high yield potential is to obtain hybrid cultivars of rye [6,7]. The heterosis effect occurring in hybrid cultivars allows for higher grain yields resulting from higher ear density [8,9,10]. Hybrid cultivars, as a result of transgressive segregation of alleles, may show a different grain chemical composition [11]. Higher grain yield and better grain quality influence the increased interest in the cultivation of hybrid cultivars. There is considerable interest in the cultivation of hybrid rye cultivars in Western European countries in particular, which account for 81% of total rye grain production, with population cultivars accounting for the remainder [12]. The main factors in favour of rye cultivation are its low soil requirements, resistance to low winter temperatures and relatively high grain yield. Yield and its quality are determined by weather conditions during the growing season and appropriately selected agrotechnics, including the level of nitrogen fertilisation, as well as by the cultivar [13,14].
A significant proportion of rye grain is used in the feeding of various animal species; mainly pigs and poultry [4]. However, a limitation to its wider use is its content of anti-nutritional substances that have a negative impact on animal health and development. These include alkylresorcinols, water-soluble pentosans and trypsin inhibitors. However, due to the varietal variation associated with the content of these substances, the grain of some modern rye cultivars may have a higher feed value [15]. The rye grain of hybrid cultivars can be used in poultry feed at a higher proportion than population cultivars [16,17,18,19].
The main anti-nutritional substances found in rye grain include alkylresorcinols, non-starch polysaccharides and trypsin inhibitors [19]. Alkylresorcinols are a group of phenolic lipids. Most of these compounds are located in the central parts of the fruit and seed coat. These compounds were found in the largest amount in rye grain (360–2180 mg∙kg−1), followed by triticale grain (294–1145 mg∙kg−1) and wheat (268–943 mg∙kg−1) [20]. Literature data indicate that alkylresorcinols interact with other compounds present in grain to reduce animal weight gain [21]. Feeding animals cereal grain from which alkylresorcinols have been extracted increases production effects [22]. Compared to other cereals, rye grain contains the highest amount of these compounds [23]. The high water-binding capacity of NSP and the resulting swelling hinders the penetration of digestive contents by enzymes that hydrolyse starch, proteins and fats. Compared to other cereals, rye grain contains the highest amount of these compounds, which swell in the digestive tract, causing reduced feed intake, poorer utilisation of the nutrients and energy contained in the feed, and ultimately lower body weight [24]. The only method to neutralise their anti-nutritional effect is to add xylanase enzymes to the feed [25]. Climate change and the resulting requirements to reduce the environmental impact of feed production are the main challenges in animal nutrition. In the case of wheat, the grain of which is widely used for the production of feed, rye uses a natural solution, primarily water and phosphorus, and its production produces a carbon footprint [26]. However, a large amount of non-starch polysaccharides used in rye grain may increase intestinal fermentation, which may affect the intestinal life, especially in young monogastric animals, such as piglets and chickens for fattening. Among the available anti-nutritional agents against the action of pentosans and alkylresorcinols are geese, in which hybrid rye grains are fed with a nutritional value comparable to oats [27]. In older animals, the anti-nutritional effect of alkylresorcinols and water-soluble pentosans is no longer as strong, and may even have an impact on health by acting prebiotically. The strongest anti-nutritional effect in animals, both young and adult, involves inhibiting trypsins. They inhibit one of the proteolytic enzymes (proteases) by use, which causes it to work more intensively and cause an increase in mass [28].
Higher trypsin inhibitor activities are found in rye grain than in the grains of other cereal types (wheat and triticale). These compounds are found in both endosperm and embryos. Their activity is associated with low molecular weight cereal proteins, which include albumin and globulins [29]. The adverse effects of inhibitors on the animal body are mainly due to a reduction in the activity of digestive enzymes and a decrease in digestibility, as well as the utilisation of nutrients, especially protein, leading to a reduction in animal weight gain [30].
The amount of anti-nutritional compounds in cereal grain depends mainly on the type, species and variety of cereal. However, it is also largely shaped by climatic, soil and agrotechnical conditions, as well as by the time and conditions of grain storage after harvest [31,32]. Among the agrotechnical factors, nitrogen fertilisation has the greatest impact on the yield and chemical composition of grain. The use of nitrogen by cereals depends on genetic and environmental factors [33]. Research carried out so far shows that rye varieties use increasing doses of nitrogen unequally [34]. Individual varieties differ significantly in terms of the rate of growth of vegetative mass and nitrogen accumulation, especially with abundant fertilisation with this element. The uptake and remobilization of nitrogen by cereal plants is largely influenced by weather conditions during the growing season. Climate changes, and especially droughts, cause cereal plants to less effective use nitrogen more, which leads to lower yields, and therefore the concentration of nitrates in the dry matter of grain is higher than in wet years [35,36]. The few available pieces of literature on this subject [17,37,38] indicate that nitrogen fertilisation affects the concentration of anti-nutritional compounds in cereal grains, such as alkylresorcinols, pentosans and the activity of trypsin inhibitors. Safar-Noori et al. [39] showed that, as the level of nitrogen fertilisation increases, the content of protein and pentosans in wheat grain increases. The literature on the subject lacks research results on the influence of the level of nitrogen fertilisation on the synthesis of anti-nutritional compounds in the grain of population and hybrid varieties of winter rye; however, the obtained research results will fill the gap regarding this issue. The research hypothesis assumed that both the nitrogen fertilisation dose and weather conditions during the growing season would differentiate the content of anti-nutritional compounds in the grain of the tested winter rye varieties.
The aim of the study was to determine the yield and variability in the concentration of anti-nutritional compounds in the grain of selected winter rye cultivars in relation to the level of nitrogen fertilisation and weather conditions.
2. Materials and Methods
2.1. Site Characteristic, Experimental Design, and Agronomic Practices
The field experiment was conducted in the growing seasons 2018/2019 and 2019/2020 at the Experimental Station in Osiny (51°27′ N; 22°2′ E), belonging to the Institute of Soil Science and Plant Cultivation—State Research Institute (IUNG–PIB) in Pulawy (Poland). The experiment was located on pseudo-loamy soil, good wheat complex, quality class IIIa and IIIb. The soil of pH 6.5 contained 181 mg K∙kg−1 and 173 mg P∙kg−1. Before applying nitrogen fertilisation, the content of mineral nitrogen (NH4+, NO3−) in the soil was determined in early spring, which in 2019 was 39.6 kg N∙ha−1 and 32.6 kg N∙ha−1 in 2020, respectively. The two-factor experiment was set up using the randomised sub-block method in triplicate. The sowing of rye was carried out beetwen 20th–30th of September, and the crop was cultivated after winter oilseed rape in a crop rotation with 75% share of cereals in the sowing structure. The experiment was conducted with a ploughing system. After harvesting the forecrop, straw was shredded and ploughed to a depth of 8–10 cm, then harrowed with a heavy harrow, followed by pre-sowing ploughing to a depth of 20–22 cm.
The first factor of the experiment was the level of nitrogen fertilisation: 0, 70 and 140 kg N∙ha−1. A nitrogen dose of 70 kg N∙ha−1 was applied at two dates: 40 kg N∙ha−1 in spring at the start of vegetation and 30 kg N∙ha−1 at the stalk shooting stage (BBCH 31). A nitrogen dose of 140 kg N∙ha−1 was applied at three dates: 70 kg N∙ha−1 in spring at the start of vegetation, 50 kg N∙ha−1 at the stalk shooting stage (BBCH 31) and 20 kg N∙ha−1 at the earing stage (BBCH 57). Nitrogen was applied in a form NH4NO3.
The second factor of the experiment was the winter rye cultivars. Two population cultivars were included, Dańkowskie Skand and Piastowskie, and two hybrid cultivars, KWS Vinetto and SU Performer.
Dańkowskie Skand—Hodowla Danko—cultivated since 2017 https://danko.pl/en/odmiany-type/dankowskie-skand-2/ (accesed on 21 February 2024).
Piastowskie—Poznańska Hodowla Roślin—cultivated since 2017 https://phr.pl/produkty/zboza-ozime/zyto-ozime-piastowskie/ (accessed on 21 February 2024).
KWS Vinetto—KWS cultivated since 2017—https://www.kws.com/pl/pl/produkty/zboza/zyto/przeglad-odmian-zyto/kws-vinetto/ (accessed on 21 February 2024).
SU Performer—Saaten Union cultivated since 2014 https://www.saaten-union.pl/zyto/zyto-ozime-hybrydowe/su-performer/ (accessed on 21 February 2024).
The area of the experimental plot to be harvested was 20.0 m2. The population rye was sown at 2.5 million grains∙ha−1, and hybrid rye at 2.0 million grains∙ha−1. Pre-sowing mineral fertilisation was applied in the form of superphosphate at a rate of 60 kg P2O5∙ha−1 and potassium salt at a rate of 90 kg K2O∙ha−1. Protection against diseases, pests and weeds was carried out according to the integrated method of reducing weeds and disease and pest pathogens after exceeding the threshold of harmfulness. Immediately after harvest, the grain yield per unit area was assessed.
2.2. Meteorological Conditions
The course of weather conditions was described on the basis of monthly mean values of air temperature and total precipitation in comparison with climatic norms and mean values for the period 1981–2010. Meteorological data were obtained from the Agro-meteorological Station located near the experimental fields at the Experimental Station IUNG–PIB in Osiny (φ = 51.469 N, λ = 22.052 E). The years in which the study was conducted differed in terms of thermal conditions and precipitation amounts. The 2018/2019 growing season was characterised by lower precipitation, while at the same time there were large temperature fluctuations (Figure 1a). During the autumn period (September to December), precipitation was average and temperatures were slightly higher compared to multi-year averages (1980–2010). An exceptionally warm period was February (3.4 °C) and March (4.5 °C), in these months the average temperature was 4.1 and 3.2 °C higher, respectively, compared to the multi-year period (1981–2010). In May, there was a change in the trend of thermal conditions. After an exceptionally warm spring, May was cool (12.9 °C) and characterised by high precipitation (86.1 mm). June saw another change in weather trends; it was a hot month with low rainfall. The temperature in June was 21.7 °C, 5.1 °C higher than the multi-year period (1981–2010), while precipitation was low at 38.7 mm, which was only 62% of normal.
Figure 1.
(a) Monthly air temperature (°C) and monthly of precipitation (mm) in years 2018/2019. The arrow in the graph indicates the date of nitrogen application in a given BBCH phase at the dose indicated in Section 2.1. (b) Monthly air temperature (°C) and monthly of precipitation (mm) in years 2019/2020. The arrow in the graph indicates the date of nitrogen application in a given BBCH phase at the dose indicated in Section 2.1.
The second growing season 2019/2020 from autumn to spring (September to March) was characterised by higher air temperatures compared to the 1981–2010 multi-year average (Figure 1b). A particularly outstanding period was winter (December to February), which was very warm with high precipitation. The temperature during this period was: in December 3.1 °C, in January 1.8 °C and in February 3.4 °C, compared to the multi-year average (1981–2010) it was higher by, respectively: 4.0, 4.1 and 4.9 °C. In addition, the period was characterised by high precipitation totalling 153 mm, which was 180% of the precipitation compared to the multi-year average (1981–2010). A change in the trend of weather conditions occurred in March and April. During this period, precipitation totals were very low, amounting to only 34 mm, which was 54% of the precipitation compared to the multi-year average (1980–2010). After a period with low precipitation, the next two months (May and June) were characterised by high precipitation. In May, the precipitation was 112 mm, while in June it was even higher, at 189 mm; compared to the multi-year period, precipitation was 101 and 206% higher, respectively. In contrast, thermal conditions in these months were different. May was cold (11.1 °C), while June was warm (18.4 °C). Compared to the multi-year period (1981–2010), the temperature in May was 2.8 °C lower, while in June it was 1.8 °C higher.
2.3. Chemical Analyses
2.3.1. Determination of Alkylresorcinol Content
The analysis was performed by the spectrophotometer method [40]. Grains were ground to a particle size of <0.5 mm. Alkylresorcinols were extracted with acetone from the weighed amount of 1 g in the time of 3 h at 55 °C in a water bath. The content of alkylresorcinols was determined using acetone extracts after developing a colour reaction with the two-phase p-nitroaniline and measuring the absorbance of the coloured solution at 435 nm. For preparing the calibration curve, the orcinol was used.
2.3.2. Determination of Soluble Pentosans
The orcinol-hydrochloric acid method of Albaum and Umbreit [41] for pentose determination was used. It consisted of heating in boiling water for 30 min a solution containing 3 mL of pentose, 3 mL of 0.1% ferric chloride in concentrated hydrochloric acid, and 0.3 mL of 1.0% orcinol in 100% ethanol, cooling, and determining absorbance at 670 nm.
2.3.3. Determination of the Activity of Tripsin Inhibitors
Tripsin inhibitors were determined by the method of PN-EN ISO 14902 [42], which were extracted from the sample at pH 9.5. The residual trypsin activity was measured by adding benzoyl-L-arginine-p-nitroanilide (L-BABA) as a substrate. The amount of p-nitroanilide released was measured spectrometrically.
2.4. Statistical Analysis
Results recorded in the course of conducted chemical analyses were subjected to statistical analysis with the use of R 4.3.0 [43]. In order to compare the grain yield and contents of alkylresorcinol, soluble pentosans and tripsin inhibitors between the cultivars and N fertilisation effects, we used two-way ANOVA as a post hoc test, and Tukey’s multiple comparison procedure was also used, with identical letters denoting a lack of differences at the significance level α = 0.05. The assumption of normality of the layouts was checked using the QQ Plots for residuals and the homogeneity of variances using the Levene’s test. Moreover, a principal component analysis (PCA) was used to evaluate the relationship between study traits and factors.
3. Results and Discussion
Winter rye yields depended on the cultivar and nitrogen fertilisation rate. In both 2019 and 2020, the highest grain yield was obtained from hybrid cultivars. On average, hybrid cultivars yielded 17.9% higher than population cultivars during the study years. In 2019, the hybrid cultivar KWS Vinetto had the highest yield (8.44 t∙ha−1), and in 2020 the hybrid cultivar SU Performer (8.33 t∙ha−1) had the highest yield (Figure 2). Literature data [44,45,46] also indicate that hybrid winter rye cultivars achieve higher grain yields compared to population cultivars. In a study by Latusek and Bujak [44], the grain yield of hybrid cultivars was 17.7% higher, while in a study by Wyzińska et al. [45] it was 11.2% higher in relation to population cultivars. Maciorowski et al. [34] found that hybrid cultivars yielded 9% higher compared to population cultivars. Also, a comparative study by Szuleta et al. [46] on 24 population and hybrid rye cultivars showed a yield advantage for the hybrid cultivars, especially in years with less favourable weather conditions. The higher grain yield of hybrid rye cultivars shown in both years of the study compared to population cultivars may have been due to the higher tolerance of these cultivars to lower rainfall, especially in March and April, which were lower than the multi-year average. Hybrid cultivars characterised by higher tillering and vegetative mass structure provided more stable yields than population cultivars [47]. The reduction in rye grain yields as a result of unstable weather conditions in spring could reach up to 17.1% [48,49].
Figure 2.
Grain yield of winter rye depending on the cultivar (average for a change). a, b, c, d—the same letters indicate no significant differences at significance level α = 0.05.
A significant effect of nitrogen fertilisation level on winter rye yield was found. In 2019, a significant increase in grain yield occurred at a dose of 70 kg N∙ha−1, and further increases in nitrogen dose did not cause a significant increase in grain yield. In contrast, in 2020, grain yield increased significantly alongside the growing nitrogen fertilisation rates. The highest rye grain yield was obtained at the application of 140 kg N∙ha−1, and it was 4.6% higher with respect to the dose of 70 kg N∙ha−1 (Figure 3). Latusek and Bujak [44] and Dopierała et al. [50], comparing rye yield at two agrotechnical levels, observed a positive response of both hybrid and population cultivars to higher levels of nitrogen fertilisation. In contrast, a study by Noland [51] showed that a significant increase in rye yield occurred only up to an application rate of 67 kg N∙ha−1. Population cultivars, however, showed a weaker yield response to nitrogen fertilisation than hybrid cultivars [52]. Szuleta et al. [53] found no significant differences in the grain yield of rye population cultivars as a result of doubling the nitrogen dose. The efficiency with which rye utilises the supplied nitrogen dose depends on weather conditions, especially the amount of rainfall during the growing season, but also the content of organic matter, which accumulates in the water reserve [48,54,55].
Figure 3.
Grain yield of winter rye depending on the dose of nitrogen (average for nitrogen fertilisation). a, b, c—the same letters indicate no significant differences at significance level α = 0.05.
It was found that the content of the tested anti-nutritional substances in rye grain was significantly influenced by the cultivar, nitrogen fertilisation rate and weather conditions during the period of field cultivation, i.e., 2018–2020.
The differences in the content of anti-nutritional compounds in rye grain from the different harvest years gave us an incentive to analyze the weather conditions during the different growing seasons (Figure 2 and Figure 3). Significantly, the grain harvested in 2019 had the lowest content of anti-nutrients (Table 1). In rye grain from 2019, the average content of alkylresorcinols was 533.0 mg∙kg−1, soluble pentosans was 1.29% d.m. and trypsin inhibitor activity was 1.19 mg∙g−1. A higher content of anti-nutritional compounds was found in rye grain from 2020. The average content of alkylresorcinols was 658.2 mg∙kg−1, water-soluble pentosans was 1.46% of d.m. and trypsin inhibitor activity was 1.32 mg∙g−1. Increased synthesis of anti-nutritional compounds was ascribed to stress conditions during the growing season. In the 2019/2020 growing season, the stress was caused by high precipitation in the months of May and June, which was well above normal, resulting in high levels of fungal diseases in the rye plantation. Previous studies [17] have also shown that the content of anti-nutritional substances in rye grain (alkylresorcinols, water-soluble pentosans, trypsin inhibitors) is strongly influenced by weather conditions during the plant growing season. Increased synthesis of the aforementioned anti-nutritional compounds in the grain occurred when stress conditions for plant development occurred during the growing season. The highest levels of anti-nutritional substances were synthesised when plants experienced stress caused by a shortage of rainfall during their intensive growth period (at the stalk shooting stage), as well as too much rainfall in May and June (at the earing and flowering stages). On the other hand, Jaśkiewicz and Szczepanek [38], investigating the content of alkylresorcinols in winter triticale grain, found that lower accumulation of these compounds was favoured by limited precipitation at the stalk shooting stage and excess precipitation during grain maturation. Similarly, Bellato et al. [55] showed that durum wheat grain contained more alkylresorcinols when there was less rainfall during the growing years. Weather conditions during the growing season also affect the accumulation of water-soluble pentosans in rye grain. Less rainfall during the growing season favours higher content in rye grain [49,53]; in winter wheat, on the other hand, a higher accumulation of pentosans in the grain is favoured by a lower temperature at the grain pouring stage [56]. Marentes-Culma and Coy-Barrera [57] showed that grain of the same cultivar of triticale from cultivation under different environmental and weather conditions contains different amounts of alkylresorcinols.
Table 1.
Compounds of selected anti-nutritional substances in the grain of winter rye varieties depending on the growing season, variety and nitrogen fertilisation.
The grain of the winter rye cultivars tested was characterised by different contents of anti-nutritional compounds. The highest content of alkylresorcinols in rye grain in both 2019 and 2020 was found in the grain of the KWS Vinetto hybrid cultivar, reaching 555.2 and 674.2 mg∙kg−1, respectively (Figure 4A). In 2019, the lowest content of alkylresorcinols was found in the grain of the rye population cultivars Dańkowskie Skand (510.3 mg∙kg−1) and Piastowskie (532.0 mg∙g−1). In 2020, the least amount of these compounds was contained in the grain of the hybrid cultivar SU Performer (643.3 mg∙kg−1). On average, over the years of the study, the grain of the KWS Vinetto hybrid cultivar had the highest content of alkylresorcinols (614.70 mg·kg−1) (Table 1). Similarly, other authors [48,49,54] have shown that the content of alkylresorcinols in cereal grain is mainly determined by a genetic factor. Grabiński et al. [17] showed that, during the three-year study period, the highest alkylresorcinol content was found in grain of the hybrid cultivar Visello (mean 563 mg∙kg−1) and the lowest in the grain of the hybrid cultivar Brasetto (mean 535 mg∙kg−1). A study by Kulawianek et al. [58] showed that the highest accumulation of these compounds was in the grain of the hybrid cultivar Gradan (1152 mg∙kg−1 d.m.) and the lowest in the grain of the population cultivar Amilo (1058 mg∙kg−1 d.m.). Studies by Targońska-Karasek et al. [59] also showed the influence of the genetic factor on the synthesis of alkylresorcinols, while the lowest potential for alkylresorcinol synthesis was demonstrated by the population cultivar Dańkowskie Złote in comparison to the hybrid cultivar Daniello and the population cultivar L 318. Jaśkiewicz and Szczepanek [38] showed that, for both winter and spring triticale, there are varietal differences in the content of alkylresorcinols in grain. Similar relationships were found for winter wheat [57,59,60,61].

Figure 4.
Content of selected anti-nutritive components: alkylresorcinols (A), water-soluble pentosans (B) and tripsin inhibitors (C) in grain cultivars in 2019–2020. a, b, c—the same letters indicate no significant differences at significance level α = 0.05.
The content of water-soluble pentosans, like alkylresorcinols, was shaped by the genetic factor. In 2019, the content of water-soluble pentosans in rye grain ranged from 1.21 to 1.34% d.m., and in 2020 from 1.31 to 1.56% d.m. (Figure 4B). In 2019, the most water-soluble pentosans were contained in the grain of the hybrid cultivars KWS Vinetto and SU Performer. On the other hand, in 2020, the highest concentration of these compounds was found in the grain of the hybrid cultivar SU Performer and the population cultivar Piastowskie. On average, over the years of the study, the grain of the SU Performer hybrid variety had the highest content of soluble pentosans (1.47% d.m.) (Table 1). Studies by other authors [17,55,62] also showed that the content of soluble pentosans in rye grain depends on the cultivar. Buksa et al. [37] showed that there is a very high variation in the content of water-soluble pentosans in the grain of population cultivars of winter rye. According to Grabiński et al. [17], the most water-soluble pentosans are contained in the grain of hybrid rye cultivars. However, Kulichova et al. [62] showed no significant differences between rye cultivars in the content of water-soluble pentosans in grain. The varietal factor also has a strong influence on the content of pentosans in wheat and barley grain [50].
In 2019, the activity of the trypsin inhibitors in rye grain was shaped by a genetic factor. The grain of the population cultivar Dańkowskie Skand (1.27 mg∙g−1) and the hybrid cultivar KWS Vinetto (1.27 mg∙g−1) had significantly higher activity of these substances than the grain of the population cultivar Piastowskie (1.09 mg∙g−1) and the hybrid cultivar SU Performer (1.10 mg∙g−1) (Figure 4C). In 2020, there were no significant differences in the activity of trypsin inhibitors in the grain of the rye cultivars tested; there was only a trend towards lower activity in the grain of the population cultivar Dańkowskie Skand. Over the years, it was shown that the grain of the KWS Vinetto hybrid cultivar was characterized on average by the highest activity of trypsin inhibitors (1.31 mg∙g−1) (Table 1). In a study by Grabiński et al. [17], it was shown that the activity of trypsin inhibitors depended on the genetic factor. The authors obtained the highest trypsin inhibitor activity (2.80 mg∙g−1) in the grain of the hybrid cultivar Visello, and the lowest (2.01 mg∙g−1) in the grain of the population cultivar Dańkowskie Diament. Kulichova et al. [62], in examining 19 rye cultivars, showed that most of them had similar trypsin inhibitor activity, but also found the occurrence of two cultivars with significantly lower activity of this parameter, indicating genetic variation. In addition, Simonetti et al. [63] showed that the activity of trypsin inhibitors in wheat grain depends on the species and cultivar, and also that environmental conditions also have a significant effect.
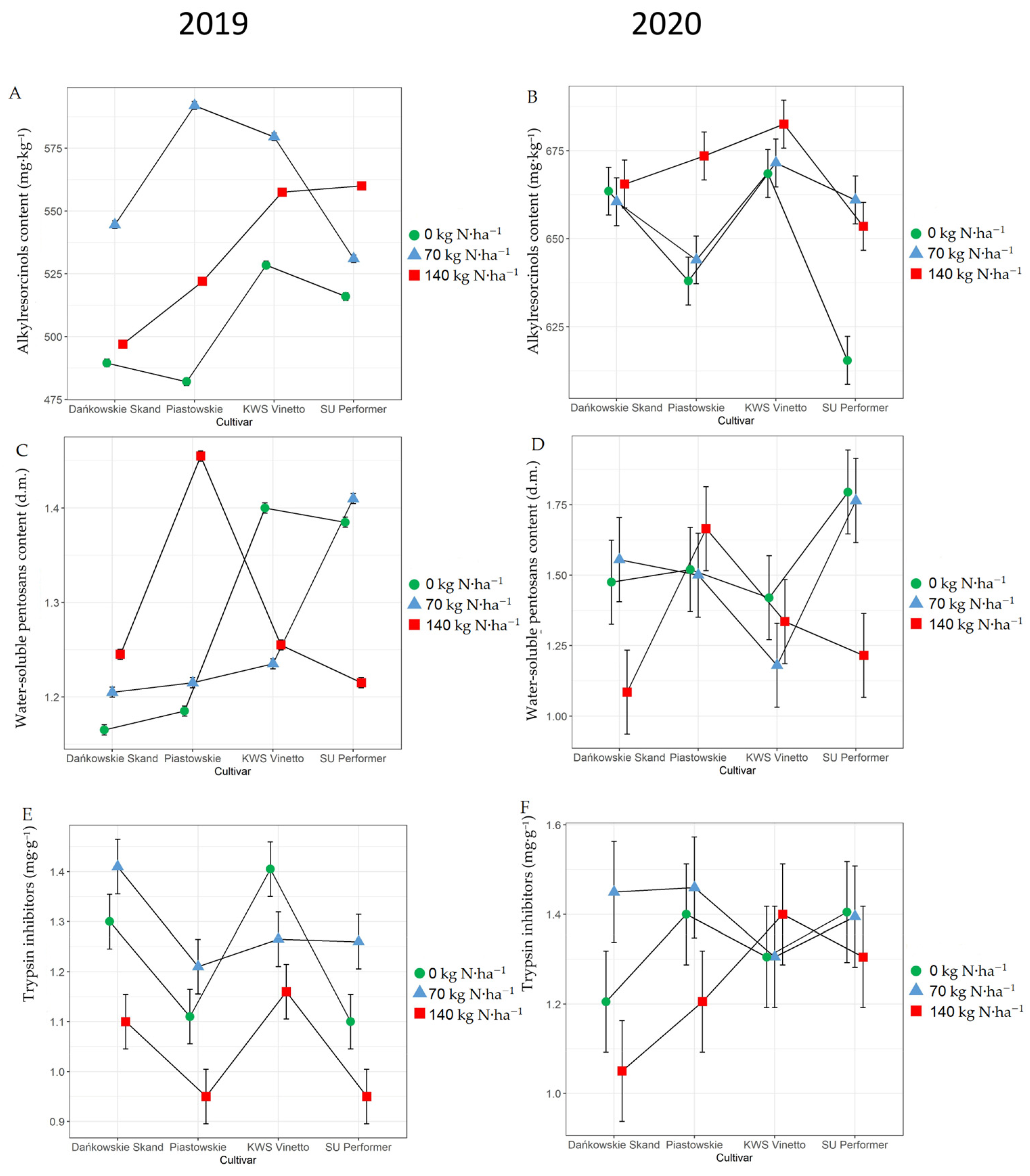
Our own research has shown the interaction of cultivar and nitrogen fertilisation rates in shaping the content of anti-nutrients in winter rye grain (Figure 5A–F). In 2019, a significant increase in the content of alkylresorcinols was obtained in the grain of the population cultivars Dańkowskie Skand and Piastowskie, as well as the hybrid cultivar KWS Vinetto, when a dose of 70 kg N∙ha−1 was applied; further increasing the dose to 140 N∙ha−1 did not result in an increase in the concentration of these substances in the grain (Figure 5A). In contrast, in the case of the hybrid cultivar SU Performer, grain with the highest alkylresorcinol content was obtained using a fertilisation rate of 140 kg N∙ha−1. In 2020, there was no significant effect of increasing the nitrogen fertilisation rate on the content of alkylresorcinols in the grain of the population cultivar Dańkowskie Skand (Figure 5B). In contrast, the population cultivar Piastowskie and the hybrid cultivar KWS Vinetto reacted with a significant increase in the content of these compounds when fertilized with 140 kg N∙ha−1. In the grain of the hybrid cultivar SU Performer, the highest content of alkylresorcinols was found after fertilisation at a dose of 70 kg N∙ha−1. Literature reports indicate that cereal cultivars show a differentiated response in alkylresorcinol content to increasing doses of nitrogen fertilisation [17,53,61]. Grabiński et al. [17] showed that an increase in the intensity of production technology, including nitrogen fertilisation, caused a significant increase in alkylresorcinol content by 7%. According to Jaśkiewicz and Ochman [64], nitrogen fertilisation at a dose of 100 kg∙ha−1 favoured AR (alkylresorcinols) accumulation in spring triticale grain, especially under conditions of higher rainfall in April and May. On the other hand, under conditions of limited rainfall at the tillering stage and the beginning of stalk shooting, AR content in grain was similar at both fertilisation levels of 70 and 100 kg N∙ha−1. Takač et al. [65], found that spelt wheat grain contained more alkylresorcinols in organic cultivation compared to conventional cultivation where increased mineral nitrogen fertilisation is applied.
Figure 5.
Interaction of nitrogen fertilisation and cultivar in the content of alkylresorcinols (A,B), water-soluble pentosans (C,D) and trypsin inhibitors (E,F) in rye grain.
In 2019, the highest concentration of water-soluble pentosans was characterised by the grain of the population cultivar Piastowskie from the crop where the highest nitrogen fertilizer rate was applied (140 kg N∙ha−1). However, for the other rye cultivars, increasing nitrogen doses caused a decrease in the content of these compounds in the grain (Figure 5C). In 2020, as in 2019, the grain of the hybrid cultivars KWS Vinetto and SU Performer had the highest concentration of pentosans on the sites where no nitrogen fertilisation was applied, reaching 1.42 and 1.89% d.m., respectively. Population cultivars, on the other hand, responded with a significant increase in the content of water-soluble pentosans when the highest level of nitrogen fertilisation was applied, the content of these compounds being 1.67% d.m. (Figure 5D). Grabiński et al. [17] showed that higher nitrogen fertilisation increased water-soluble pentosans by 8.7%. A study by Noori [66] showed that both weather conditions, especially the amount of rainfall, as well as cultivar and nitrogen fertilisation, condition the pentosan content of wheat grain. Under drought conditions, despite higher fertilisation levels, the author obtained a lower pentosan content in grain than under higher nitrogen rates and optimum rainfall.
In 2019, grain of all rye cultivars tested showed the lowest trypsin inhibitor activity at the highest nitrogen fertilisation level applied in the experiment, of 140 N∙ha−1 (Figure 5E). Grain of the hybrid cultivar KWS Vinetto had the highest trypsin inhibitor activity on the site without nitrogen fertilisation, as well as grain of the other cultivars after an application rate of 70 kg N∙ha−1. In 2020, with the exception of the hybrid cultivar KWS Vinetto, the grain with the lowest trypsin inhibitor activity was obtained similarly to 2019 after a fertilisation application of 140 N∙ha−1 (Figure 5F). In the case of the population cultivars Dańkowskie Skand and Piastowskie, the highest trypsin inhibitor activity was shown by the grain after an application rate of 70 kg N∙ha−1 in the case of the hybrid cultivar KWS Vinetto 140 N∙ha−1, and in the case of the hybrid cultivar SU Performer from a crop without nitrogen fertilisation. Studies on soybeans have shown that increasing rates of mineral nitrogen fertilisation result in a proportional decrease in trypsin inhibitor activity [67]. Xue et al. [68] found that dividing the nitrogen dose in relation to its single application resulted in a decrease in trypsin inhibitor activity in wheat grain. Grabiński et al. [17] showed that increasing the intensity of production technology, including nitrogen fertilisation, did not differentiate trypsin inhibitor activity in rye grain.
Figure 6 shows the results of the PCA principal component analysis of the content of individual anti-nutrients in the grain of the rye cultivars tested in relation to the level of nitrogen fertilisation. We observe a strong positive correlation between yield and the content of alkylresorcinols in the grain. The hybrid cultivar KWS Vinetto showed the strongest correlation related to the application of a higher nitrogen dose and increased yield and alkylresorcinol content in grain. In contrast, the SU Performer hybrid variety showed the most-favourable response to fertilisation without significant changes in the content of water-soluble pentosans in the grain. We also observe a negative correlation between water-soluble pentosan content and trypsin inhibitor activity.
Figure 6.
Biplot plot for PCA principal components for cultivar and nitrogen fertilisation as a function of alkylresorcinols, water-soluble pentosans and trypsin inhibitor activity and yield.
4. Conclusions
Our study showed that the contents of alkylresorcinols, water-soluble pentosans and trypsin inhibitors in rye grain depend on a cultivar. They are also affected by weather conditions and the level of nitrogen fertilisation. There was a correlation between cultivar and the rate of nitrogen fertilisation. A significantly greater synthesis of anti-nutritional substances in rye grain occurred in the growing season with high rainfall. The interaction of nitrogen fertilisation and cultivar affected the content of anti-nutritional substances in rye grain. The use of a higher nitrogen rate increased the content of alkylresorcinols to the largest degree at the KWS Vinetto hybrid cultivar. The Piastowskie population cultivar had the highest content of water-soluble pentosans in the grain at the highest nitrogen fertilisation rate used, while the Dańkowskie Skand population variety exhibited the highest activity of trypsin inhibitors in the grain at the low nitrogen fertilisation rate.
Author Contributions
Conceptualization, A.S. and J.G., methodology A.S. and M.W.; statistical analysis, A.S. and M.S., weather conditions analysis, A.N., Writing—original draft, A.S., G.C.-P. and M.R., Writing—revive and editing, A.S., J.G., G.C.-P. and M.W. All authors have read and agreed to the published version of the manuscript.
Funding
This research received no external funding.
Institutional Review Board Statement
Not applicable.
Data Availability Statement
Data available on request due to restrictions, e.g., privacy or ethical. The data presented in this study are available on request from the first author.
Conflicts of Interest
The authors declare no conflicts of interest.
References
- AGRI Food. Available online: https://agridata.ec.europa.eu/ (accessed on 12 December 2023).
- Stępniewska, S.; Słowik, E.; Cacak-Pietrzak, G.; Romankiewicz, D.; Szafrańska, A.; Dziki, D. Prediction of rye flour baking quality based on parameters of swelling curve. Eur. Food Res. Technol. 2018, 244, 989–997. Available online: https://link.springer.com/article/10.1007/s00217-017-3014-z (accessed on 21 February 2024). [CrossRef]
- Stępniewska, S.; Hassoon, W.H.; Szafrańska, A.; Cacak-Pietrzak, G.; Dziki, D. Procedures for Breadmaking Quality Assessment of Rye Wholemeal Flour. Foods 2019, 8, 331. [Google Scholar] [CrossRef]
- Brzozowski, L.J.; Szuleta, E.; Phillips, T.D.; Van Sanford, D.A.; Clark, A.J. Breeding cereal rye (Secale cereale) for quality traits. Crop Sci. 2023, 63, 1964–1987. [Google Scholar] [CrossRef]
- Miedaner, T.; Korzun, V.; Wilde, P. Effective Pollen-Fertility Restoration Is the Basis of Hybrid Rye Production and Ergot Mitigation. Plants 2022, 11, 1115. [Google Scholar] [CrossRef] [PubMed]
- Hackauf, B.; Siekmann, D.; Fromme, F.J. Improving Yield and Yield Stability in Winter Rye by Hybrid Breeding. Plants 2022, 11, 2666. [Google Scholar] [CrossRef] [PubMed]
- Wilde, P.; Miedaner, T. Hybrid rye breeding. In Compendium of Plant Genomes—Rye Genome; Springer Publishing House: Berlin/Heidelberg, Germany, 2021; pp. 13–41. [Google Scholar]
- Galán, R.J.; Bernal-Vasquez, A.M.; Jebsen, C.; Piepho, H.P.; Thorwarth, P.; Steffan, P.; Miedaner, T. Integration of genotypic, hyperspectral, and phenotypic data to improve biomass yield prediction in hybrid rye. Theor. Appl. Genet. 2020, 133, 3001–3015. [Google Scholar] [CrossRef] [PubMed]
- Pomortsev, A.V.; Dorofeev, N.V.; Zorina, S.Y.; Katysheva, N.B.; Sokolova, L.G.; Zhuravkova, A.S.; Mikhailova, E.V. Evaluation of Population and Hybrid Varieties of Winter Rye in the Conditions of Eastern Siberia. Agronomy 2023, 13, 1431. [Google Scholar] [CrossRef]
- Mackay, I.J.; Cockram, J.; Howell, P.; Powell, W. Understanding the classics: The unifying concepts of transgressive segregation, inbreeding depression and heterosis and their central relevance for crop breeding. Plant Biotechnol. J. 2021, 19.1, 26–34. [Google Scholar] [CrossRef]
- Klimek-Kopyra, A.; Bacior, M.; Neugschandtner, R. Hybrid rye (Secale cereale L.) as a good crop component to enhance yield stability in a winter cereal mixture. Acta Agrobot. 2023, 76, 172670. [Google Scholar] [CrossRef]
- Macholdt, J.; Honermeier, B. Impact of highly varying seeding densities on grain yield and yield stability of winter rye cultivars under the influence of delayed sowing under sandy soil conditions. Arch. Agron. Soil Sci. 2017, 63, 1977–1992. [Google Scholar] [CrossRef]
- Linina, A.; Kunkulberga, D.; Kronberga, A.; Locmele, I. Winter rye grain quality of hybrid and population cultivars. Agron. Res. 2019, 17, 1380–1389. [Google Scholar] [CrossRef]
- Schwarz, T.; Kuleta, W.; Turek, A.; Tuz, R.; Nowicki, J.; Rudzki, B.; Bartlewski, M. Assessing the efficiency of using a modern hybrid rye cultivar for pig fattening, with emphasis on production costs and carcass quality. Anim. Prod. Sci. 2014, 55, 467–473. [Google Scholar] [CrossRef]
- Milczarek, A.; Osek, M.; Skrzypek, A. Effectiveness of using a hybrid rye cultivar in feeding broiler chickens. Can. J. Anim. Sci. 2020, 100, 502–509. [Google Scholar] [CrossRef]
- Janiszewski, P.; Lisiak, D.; Borzuta, K.; Grześkowiak, E.; Schwarz, T.; Siekierko, U.; Andres, K.; Świątkiewicz, S. The Effect of Feeding Chicken and Geese Broilers with Different Cereals on the Fatty Acids Profile in Meat. Foods 2021, 10, 2879. [Google Scholar] [CrossRef] [PubMed]
- Grabiński, J.; Sułek, A.; Wyzinska, M.; Stuper-Szablewska, K.; Cacak-Pietrzak, G.; Nieróbca, A.; Dziki, D. Impact of genotype, weather conditions and production technology on the quantitative profile of anti-nutritive compounds in rye grains. Agronomy 2021, 11, 151. [Google Scholar] [CrossRef]
- Boros, D. Alkylresorcinols of cereal grains—Their importance in food and feed. Biul. IHAR 2015, 277, 7–20. (In Polish) [Google Scholar] [CrossRef]
- Ciurescu, G.; Vasilachi, A.; Lavinia, I.; Dumitru, M.; Reta, D. Assessing the efficiency of using a local hybrid of rye for broiler chickens aged 1–42 d, with emphasis on performance and meat quality. Arch Zootech. 2022, 25, 5–21. [Google Scholar] [CrossRef]
- Ismagilov, R.; Ayupov, D.; Nurlygayanov, R. Ways to reduce anti-nutritional substances in winter rye grain. Physiol. Mol. Biol. Plants 2020, 26, 1067–1073. [Google Scholar] [CrossRef]
- Skrzypek, A.; Makarska, E.; Kociuba, W.; Studziński, M. Antioxidant activity and content of resorcinol of lipids in hybrids strain of winter triticale. Żywn. Nauka Technol. Jakość 2007, 2, 51–59. (In Polish) [Google Scholar]
- Dynkowska, W.M. Rye (Secale cereale L.) Phenolic compounds as health-related factors. Plant Breed. Seed Sci. 2019, 79, 9–24. [Google Scholar] [CrossRef]
- Boros, D. Influence of R genome on the nutritional value of triticale for broiler chicks. Anim. Feed Sci. Tech. 1999, 76, 219–226. [Google Scholar] [CrossRef]
- Lagaert, S.; Pollet, A.; Courtin, C.M.; Volckaert, G. β-Xylosidases and α-l-arabinofuranosidases: Accessory enzymes for arabinoxylan degradation. Biotechnol. Adv. 2014, 32, 316–332. [Google Scholar] [CrossRef] [PubMed]
- Wilke, V.; Kamphues, J. Effects of substituting wheat by rye in diets for young fattening pigs on nutrient digestibility, performance, products of intestinal fermentation, and fecal characteristics. Front. Vet. Sci. 2023, 10, 1199505. [Google Scholar] [CrossRef]
- Lisiak, D.; Janiszewski, P.; Grześkowiak, E.; Borzuta, K.; Lisiak, B.; Samardakiewicz, Ł.; Schwarz, T.; Powałowski, K.; Andres, K. Research on the Effects of Gender and Feeding Geese Oats and Hybrid Rye on Their Slaughter Traits and Meat Quality. Animals 2021, 11, 672. [Google Scholar] [CrossRef]
- Aderibigbe, A.; Cowieson, A.J.; Sorbara, J.O.; Pappenberger, G.; Adeola, O. Growth performance and amino acid digestibility responses of broiler chickens fed diets containing purified soybean trypsin inhibitor and supplemented with a monocomponent protease. Poult. Sci. 2020, 99, 5007–5017. [Google Scholar] [CrossRef]
- Lexhaller, B.; Colgrave, M.L.; Scherf, K.A. Characterization and relative quantitation of wheat, rye, and barley gluten protein types by liquid chromatography–tandem mass spectrometry. Front. Plant Sci. 2019, 10, 1530. [Google Scholar] [CrossRef] [PubMed]
- Katoch, R. Nutritional and Anti-Nutritional Constituents in Forages. In Nutritional Quality Management of Forages in the Himalayan Region; Springer: Singapore, 2022. [Google Scholar] [CrossRef]
- Piasecka-Kwiatkowska, D.; Warchlewski, J. The cereal protein inhibitors of hydrolytic enzymes and their role. Part I Protein inhibitors of alpha-amylase. Żywn. Nauka Technol. Jakość 2000, 3, 110–119. (In Polish) [Google Scholar]
- Piasecka-Kwiatkowska, D.; Warchlewski, J. The cereal protein inhibitors of hydrolytic enzymes and their role. Part II Protein inhibitors of proteinases. Żywn. Nauka Technol. Jakość 2000, 3, 33–38. (In Polish) [Google Scholar]
- Korbas, M.; Mrówczyński, M. Integrated Production of Winter and Spring Wheat; IOR-PIB: Poznań, Poland, 2009; pp. 1–166. (In Polish) [Google Scholar]
- Sharma, S.; Kumar, T.; Foulkes, M.J.; Orfor, S.; Singh, A.M.; Wingen, L.U.; Karnam, V.; Nari, L.S.; Mandal Kumar, P.; Griffiths, S.; et al. Nitrogen uptake and remobilization from pre-and post-anthesis stages contribute towards grain yield and grown in limited nitrogen conditions. CABI Agric. Biosci. 2023, 4, 12. [Google Scholar] [CrossRef]
- Maciorowski, R.; Stankowski, S.; Piech, M. Reaction of hybrid and open-pollinated rye cultivars to nitrogen fertilization and growth regulator. Part I. Grain yield, yield components and selected physiological traits. Biul. IHAR 2000, 215, 109–120. (In Polish) [Google Scholar]
- Wojcieska, U. The physiological role of nitrogen in shaping plant yield. The influence of nitrogen on the yield of plants. Postępy Nauka Rol. 1994, 1.94, 115–127. (In Polish) [Google Scholar]
- Faber, A.; Jarosz, Z.; Król, A. The impact of climate change on the efficiency of nitrogen use and its losses. Probl. Rol. Swiat. 2019, 19, 37–46. (In Polish) [Google Scholar]
- Buksa, K.; Nowotna, A.; Gambuś, H.; Krawontka, J.; Sabat, R.; Noga, M. Technological evaluation and chemical composition of rye grain of selected varieties cultivated by 3 consecutive years. Acta Agroph. 2012, 19, 265–276. (In Polish) [Google Scholar]
- Jaśkiewicz, B.; Szczepanek, M. Crop mangament and variety have influence on alkylresolcinol content in triticale grain. Acta Agric. Scand. 2016, 66, 570–574. [Google Scholar] [CrossRef]
- Safar-Noori, M.; Dong, Q.; Saneoka, H. Improvement of grain yield, nutritional and anti-nutritional quality, and seed physiological performance of wheat by NPK fertilization. Agric. Sci. Technol. 2018, 20, 1467–1477. Available online: http://jast.modares.ac.ir/article-23-17204-en.html (accessed on 24 January 2024).
- Tłuścik, F. Localization of the alkylresorcinols in rye and wheat caryopses. Acta Soc. Bot. Pol. 1978, 47, 211–2018. [Google Scholar] [CrossRef]
- Album, H.G.; Umbereit, W.W. Differentiation between ribose-3phosphate and ribose-5 phosphate by means of the orcinol-pentose reaction. J. Biol. Chem. 1947, 167, 369–376. [Google Scholar] [CrossRef]
- PN-EN ISO 14902:2001; Animal Feeding Stuffs—Determination of Trypsin Inhibitor Activity of Soya Products. International Organization for Standardization: Geneva, Switzerland, 2001.
- R Core Team. R: A Language and Environment for Statistical Computing; R Foundation for Statistical Computing: Vienna, Austria, 2003. [Google Scholar]
- Latusek, A.; Bujak, H. Genotype-environment interaction for yield of winter rye cultivars cultivated with the two levels of agricultural technology in climate conditions of Lower Silesia. Biul. IHAR 2012, 265, 47–57. (In Polish) [Google Scholar] [CrossRef]
- Wyzińska, M.; Grabiński, J.; Sułek, A. Comparison on the profitability of cultivation of winter rye depending on the different production technology. Agron. Sci. 2022, LXXVII 1, 45–52. [Google Scholar] [CrossRef]
- Szuleta, E.; Phillips, T.; Knott, C.A.; Lee, C.D.; Van Sanford, D.A. Influence of Planting Date on Winter Rye Performance in Kentucky. Agronomy 2022, 12, 2887. [Google Scholar] [CrossRef]
- Hadasch, S.; Laidig, F.; Macholdt, J.; Bönecke, E.; Piepho, H.P. Trends in mean performance and stability of winter wheat and winter rye yields in a long-term series of variety trials. Field Crops Res. 2020, 252, 107792. [Google Scholar] [CrossRef]
- Miedaner, T.; Haffke, S.; Siekmann, D.; Fromme, F.J.; Roux, S.R.; Hackauf, B. Dynamic quantitative trait loci (QTL) for plant height predict biomass yield in hybrid rye (Secale cereale L.). Biomass Bioenergy 2018, 115, 10–18. [Google Scholar] [CrossRef]
- Goncharov, A.A.; Safonov, T.A.; Malko, A.M.; Bocharov, G.A.; Goncharov, S.V. Climate change expected to increase yield of spring cereals and reduce yield of winter cereals in the Western Siberian grain belt. Field Crops Res. 2023, 302, 109038. [Google Scholar] [CrossRef]
- Dopierała, P.; Bujak, H.; Kaczmarek, J.; Dopierała, A. Ocena interakcji genotypowo-środowiskowej plonu populacyjnych odmian żyta ozimego. Biul. IHAR 2003, 230, 243–253. (In Polish) [Google Scholar]
- Noland, R.L. Rye grain response to nitrogen fertilizer and seeding rate. Agrosyst. Geosci. Environ. 2022, 5, e20239. [Google Scholar] [CrossRef]
- Tupits, I.; Tamm, I.; Magistrali, A.; Rempelos, L.; Cakmak, I.; Leifert, C.; Grausgruber, H.; Wilkinson, A.; Butler, G.; Bilsborrow, P. Evaluating the effect of nitrogen fertilizer rate and source on the performanceof open-pollinated rye (Secale cereale L.) cultivars incontrasting European environments. Crop Sci. 2022, 62, 928–946. [Google Scholar] [CrossRef]
- Szuleta, E.; Shockley, J.M.; Knott, C.; Phillips, T.; Van Sanford, D.A. Influence of nitrogen rate on yield and profitability of rye grain production. Crop Forage Turfgrass Manag. 2023, 9, e20243. [Google Scholar] [CrossRef]
- Studnicki, M.; Macholdt, J.; Macdonald, A.; Stępień, W. Effects of Fertilizers and Manures on Temporal Yield Variability of Winter Rye. Agronomy 2021, 11, 519. [Google Scholar] [CrossRef]
- Bellato, S.; CIccoritti, R.; Del Frate, V.; Sqrulletta, D.M.; Carbone, K. Influence of genotype and environment on the content of 5-n alkylresorcinols, total phenols and on the antiradical activity of whole durum wheat grains. J. Cereal Sci. 2013, 57, 162–169. [Google Scholar] [CrossRef]
- Korge, M.; Alaru, M.; Keres, I.; Khaleghdoust, B.; Möll, K.; Altosaar, I.; Loit, E. The influence of cropping system, weather conditions and genotype on arabinoxylan content in wheat and barley grains. J. Cereal Sci. 2023, 110, 103650. [Google Scholar] [CrossRef]
- Marentes-Culma, R.; Coy-Barrera, E. Effect of Soil Type on the Temporal and Spatial 5-n-alk (en) ylresorcinol Variation in Triticale Grown Under Greenhouse Conditions. J. Soil Sci. Plant Nutr. 2022, 22, 4428–4437. [Google Scholar] [CrossRef]
- Kulawianek, M.; Jaromin, A.; Kozubek, A.; Zarnowski, R. Alkylresorcinols in selected Polish rye and wheat cereals and whole-grain products. J. Agric. Food Chem. 2008, 56, 7236–7242. [Google Scholar] [CrossRef]
- Targońska-Karasek, M.; Kwiatek, M.; Groszyk, J.; Walczewski, J.; Kowalczyk, M.; Pawelec, S.; Boczkowska, M.; Rucińska, A. Characteristic of the gene candidate SecARS encoding alkylresorcinol synthase in Secale. Mol. Biol. Rep. 2023, 50, 8373–8383. [Google Scholar] [CrossRef]
- Sun, T.; Zhang, Y.; Yang, O.; Ban, J.; Guo, B.; Zhang, B.; Zhao, H. Study on the spatio-temporal variation of arabinoxylan and alkylresorcinol in wheat grains. J. Food Compos. Anal. 2023, 117, 105103. [Google Scholar] [CrossRef]
- Zhi, L.; Wang, F.; Xu, K.; Zhang, Z.; Zhu, Q.; Zhang, Y.; He, Z. Effects of nitrogen fertilization rate and environment on the composition of alkylresorcinols in three elite winter wheat cultivars. J. Cereal Sci. 2023, 112, 103718. [Google Scholar] [CrossRef]
- Kulichová, K.; Sokol, J.; Nemeček, P.; Maliarová, M.; Maliar, T.; Havrlentová, M.; Kraic, J. Phenolic compounds and biological activities of rye (Secale cereale L.) grains. Open Chem. 2019, 17, 988–999. [Google Scholar] [CrossRef]
- Simonetti, E.; Bosi, S.; Negri, L.; Dinelli, G. Amylase Trypsin Inhibitors (ATIs) in a Selection of Ancient and Modern Wheat: Effect of Genotype and Growing Environment on Inhibitory Activities. Plants 2022, 11, 3268. [Google Scholar] [CrossRef] [PubMed]
- Jaśkiewicz, B.; Ochmian, I. Alkylresorcinol content in grains of spring triticale cultivars depending on the soil tillage system and nitrogen fertilization level. Agron. Sci. 2022, 77, 27–35. [Google Scholar] [CrossRef]
- Takač, V.; Tóth, V.; Rakszegi, M.; Mikó, P.; Mikić, S.; Mirosavljević, M. The Influence of Farming Systems, Genotype and Their Interaction on Bioactive Compound, Protein and Starch Content of Bread and Spelt Wheat. Foods 2022, 11, 4028. [Google Scholar] [CrossRef] [PubMed]
- Noori, M.S. Alleviation of drought stress in wheat (Triticum aestivum L.) by mineral fertilization. J. Stress Physiol. Biochem. 2021, 17.1, 82–93. [Google Scholar]
- Perić, V.; Srebrić, M.; Jankuloski, L.; Jankulovska, M.; Žilić, S.; Kandić, V.; Mladenović Drinić, S. The effects of nitrogen on protein, oil and trypsin inhibitor content of soybean. Genetika 2009, 41, 137–144. [Google Scholar] [CrossRef]
- Xue, C.; Matros, A.; Mock, H.P.; Mühling, K.H. Protein composition and baking quality of wheat flour as affected by split nitrogen application. Front. Plant Sci. 2019, 10, 642. [Google Scholar] [CrossRef] [PubMed]
Disclaimer/Publisher’s Note: The statements, opinions and data contained in all publications are solely those of the individual author(s) and contributor(s) and not of MDPI and/or the editor(s). MDPI and/or the editor(s) disclaim responsibility for any injury to people or property resulting from any ideas, methods, instructions or products referred to in the content. |
© 2024 by the authors. Licensee MDPI, Basel, Switzerland. This article is an open access article distributed under the terms and conditions of the Creative Commons Attribution (CC BY) license (https://creativecommons.org/licenses/by/4.0/).






