Screening of Maize Varieties with High Biomass and Low Accumulation of Pb and Cd around Lead and Zinc Smelting Enterprises: Field Experiment
Abstract
1. Introduction
2. Materials and Methods
2.1. Materials
2.1.1. Experimental Site
2.1.2. Maize Varieties
2.1.3. Maize Variety Screening and Classification
2.2. Experimental Design
2.3. Sample Collection and Determination
2.4. Statistical Analysis of Data
3. Results
3.1. Effects of Pb and Cd in Soil on the Growth of Maize Varieties
3.2. Pb and Cd Contents in Different Plant Parts of Maize
3.3. Biological Enrichment and Transport of Pb and Cd in Maize Varieties
3.3.1. Biological Enrichment of Pb and Cd in Maize Varieties
3.3.2. Transport of Pb and Cd in Maize Varieties
3.4. Extraction Efficiency of Pb and Cd in Maize Varieties and Accumulation of Different Parts
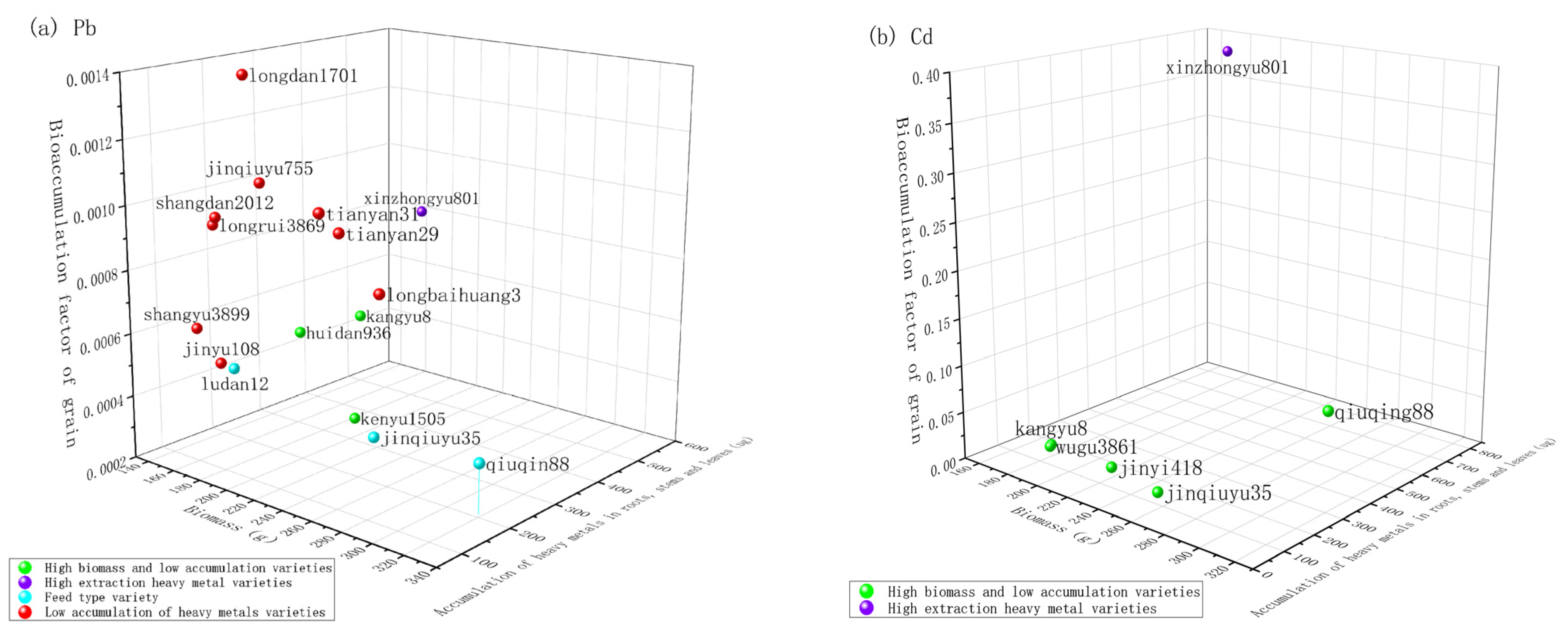
3.5. Cluster Analysis of Maize Biomass, Grain Bioenrichment Coefficient, Heavy Metal Accumulation, and Extraction Efficiency
3.5.1. Cluster Analysis of the Biomass of Each Part of Maize
3.5.2. Cluster Analysis of Maize Grain Bioenrichment Coefficient
3.5.3. Cluster Analysis of Heavy Metal Accumulation in Each Part of Maize (Roots, Stems, and Leaves)
3.5.4. Cluster Analysis of Heavy Metal Extraction Efficiency of Maize
4. Discussion
4.1. Selection of Varieties with High Biomass and Low Accumulation of Heavy Metals
4.2. Selection of Maize Varieties with High Accumulation of Heavy Metals
4.3. Selection of Forage Maize Varieties
4.4. Selection of Maize Varieties with Low Heavy Metal Accumulation
5. Conclusions
Author Contributions
Funding
Institutional Review Board Statement
Data Availability Statement
Conflicts of Interest
References
- Pott, U.; Turpin, D.H. Assessment of Atmospheric Heavy Metals by Moss Monitoring with Isothecium Stoloniferum Brid. in the Fraser Valley, B.C. Canada. Water Air Soil Pollut. 1998, 101, 25–44. [Google Scholar] [CrossRef]
- Li, J.H. Soil Remediation of Heavy Metal Contaminated Farmland in a Mine in Yunnan Engineering Demonstration. Ph.D. Thesis, Nanjing Agricultural University, Nanjing, China, 2019. [Google Scholar]
- Tong, S.; Yang, L.; Gong, H.; Wang, L.; Li, H.; Yu, J.; Li, Y.; Deji, Y.; Nima, C.; Zhao, S.; et al. Bioaccumulation characteristics, transfer model of heavy metals in soil-crop system and health assessment in plateau region, China. Ecotoxicol. Environ. Saf. 2022, 241, 113733. [Google Scholar] [CrossRef]
- Xie, T.; Shi, Z.; Gao, Y.; Tan, L.; Meng, L. Modeling analysis of the characteristics of selenium-rich soil in heavy metal high background area and its impact on main crops. Ecol. Inform. 2021, 66, 101420. [Google Scholar] [CrossRef]
- Liu, R.P.; Xu, Y.N.; Zhang, J.H.; Wang, W.K.; Elwardany, R.M. Effects of heavy metal pollution on farmland soils and crops: A case study of the Xiaoqinling Gold Belt, China. China Geol. 2020, 3, 402–410. [Google Scholar]
- Masona, C.; Mapfaire, L.; Mapurazi, S.; Makanda, R. Assessment of Heavy Metal Accumulation in Wastewater irrigated Soil and Uptake by Maize plants (Zea mays L.) at Firle Farm in Harare. J. Sustain. Dev. 2011, 4, 132–137. [Google Scholar] [CrossRef][Green Version]
- Singh, R.; Singh, P.K.; Madheshiya, P.; Khare, A.K.; Tiwari, S. Heavy Metal Contamination in the Wastewater Irrigated Soil and Bioaccumulation in Cultivated Vegetables: Assessment of Human Health Risk. J. Food Compos. Anal. 2024, 128, 106054. Available online: http://gfbfh81f8000da3924570s006oq6k6ow9f6oqw.fgac.kust.cwkeji.cn/10.1016/j.jfca.2024.106054 (accessed on 4 February 2024). [CrossRef]
- Moradi, A.; Honarjoo, N.; Najafi, P.; Fallahzade, J. A human health risk assessment of soil and crops contaminated by heavy metals in industrial regions, central Iran. Hum. Ecol. Risk Assess. 2016, 22, 153–167. [Google Scholar] [CrossRef]
- Girum, H.; Nibret, M.; Gulelat, D.; Girma, K. Heavy metal contamination and health risk assessment of horticultural crops in two sub-cities of Addis Ababa, Ethiopia. Toxicol. Rep. 2023, 11, 420–432. [Google Scholar]
- Wan, M.; Hu, W.; Wang, H.; Tian, K.; Huang, B. Comprehensive assessment of heavy metal risk in soil-crop systems along the Yangtze River in Nanjing, Southeast China. Sci. Total Environ. 2021, 780, 146567. [Google Scholar] [CrossRef] [PubMed]
- Kharazi, A.; Leili, M.; Khazaei, M.; Alikhani, M.Y.; Shokoohi, R. Human health risk assessment of heavy metals in agricultural soil and food crops in Hamadan, Iran. J. Food Compos. Anal. 2021, 100, 103890. [Google Scholar] [CrossRef]
- Wang, X.; Li, W.; Wang, D.; Wu, S.; Yan, Z.; Han, J. Trinity assessment method applied to heavy-metal contamination in peri-urban soil–crop systems: A case study in northeast China. Ecol. Indic. 2021, 132, 108329. [Google Scholar] [CrossRef]
- Xiang, M.; Li, Y.; Yang, J.; Lei, K.; Li, Y.; Li, F.; Zheng, D.; Fang, X.; Cao, Y. Heavy metal contamination risk assessment and correlation analysis of heavy metal contents in soil and crops. Environ. Pollut. 2021, 278, 116911. [Google Scholar] [CrossRef] [PubMed]
- Nawab, J.; Khan, S.; Shah, M.T.; Gul, N.; Ali, A.; Khan, K.; Huang, Q. Heavy Metal Bioaccumulation in Native Plants in Chromite Impacted Sites: A Search for Effective Remediating Plant Species. Clean-Soil Air Water 2016, 44, 37–46. [Google Scholar] [CrossRef]
- Hu, P.; Tu, F.; Li, S.; Pan, Y.; Kong, C.; Zhang, X.; Wang, S.; Sun, Y.; Qiu, D.; Wu, L.; et al. Low-Cd wheat varieties and soil Cd safety thresholds for local soil health management in south Jiangsu province, east China. Agric. Ecosyst. Environ. Int. J. Sci. Res. Relatsh. Agric. Food Prod. Biosph. 2023, 341, 108211. [Google Scholar] [CrossRef]
- Zhang, K.; Ding, S.; Yan, Y.; Huang, X.; Li, S.; Zhao, W.; Chen, X.; Dai, J. Screening of peanut cultivars with low-cadmium accumulation assisted by cadmium resistance: Promoting safe utilization of cadmium contaminated soils. Appl. Soil Ecol. 2024, 193, 105109. [Google Scholar] [CrossRef]
- Hu, Z.; Wang, Y.; Fang, Z.; Shi, G.; Lou, L.; Ren, K.; Cai, Q. Italian ryegrass-rice rotation system for biomass production and cadmium removal from contaminated paddy fields. Soils Sediments 2020, 20, 874–882. [Google Scholar] [CrossRef]
- Xu, M.; Yang, L.; Chen, Y.; Jing, H.; Wu, P.; Yang, W. Selection of rice and maize varieties with low cadmium accumulation and derivation of soil environmental thresholds in karst. Ecotoxicol. Environ. Saf. 2022, 247, 114244. [Google Scholar] [CrossRef] [PubMed]
- Mancinelli, R.; Radicetti, E.; Muleo, R.; Marinari, S.; Bravo, I.; Papetti, P. Can Hairy Vetch Cover Crop Affects Arsenic Accumulation in Vegetable Crops? Agriculture 2019, 9, 89. [Google Scholar] [CrossRef]
- Yang, N.; Wang, H.; Wang, H.; Wang, Z.; Ran, J.; Guo, S.; Peng, Y. Screening maize (Zea mays L.) varieties with low accumulation of cadmium, arsenic, and lead in edible parts but high accumulation in other parts: A field plot experiment. Environ. Sci. Pollut. Res. 2021, 28, 33583–33598. [Google Scholar] [CrossRef]
- Zha, Y.; Zhao, L.; Niu, T.; Yue, E.; Wang, X.; Shi, J. Multi-Target Element-Based Screening of Maize Varieties with Low Accumulation of Heavy Metals (HMs) and Metalloids: Uptake, Transport, and Health Risks. Agriculture 2023, 13, 1123. [Google Scholar] [CrossRef]
- GB 2762-2022; National Standard for Food Safety Food Pollutant Limit. National Health Commission of the People’s Republic of China, State Administration for Market Regulation: Beijing, China, 2022.
- GB 13078-2017; Hygienical Standard for Feeds. General Administration of Quality of Quality Supervision. Inspection and Quarantine of the People’s Republic of China, Standardization Administration: Beijing, China, 2017.
- Shahid, M.; Dumat, C.; Khalid, S.; Schreck, E.; Xiong, T.; Niazi, N.K. Foliar heavy metal uptake, toxicity and detoxification in plants: A comparison of foliar and root metal uptake. J. Hazard. Mater. 2017, 325, 36–58. [Google Scholar] [CrossRef]
- Anjum, S.A.; Tanveer, M.; Hussain, S.; Shahzad, B.; Ashraf, U.; Fahad, S.; Hassan, W.; Jan, S.; Khan, I.; Saleem, M.F.; et al. Osmoregulation and antioxidant production in maize under combined cadmium and arsenic stress. Environ. Sci. Pollut. Res. 2016, 23, 11864–11875. [Google Scholar] [CrossRef] [PubMed]
- Cao, F.; Cai, Y.; Liu, L.; Zhang, M.; He, X.; Zhang, G.; Wu, F. Differences in photosynthesis, yield and grain cadmium accumulation as affected by exogenous cadmium and glutathione in the two rice genotypes. Plant Growth Regul. 2015, 75, 715–723. [Google Scholar] [CrossRef]
- Ashraf, U.; Mahmood, M.H.U.R.; Hussain, S.; Abbas, F.; Anjum, S.A.; Tang, X. Lead (Pb) distribution and accumulation in different plant parts and its associations with grain Pb contents in fragrant rice. Chemosphere 2020, 248, 126–133. [Google Scholar] [CrossRef]
- Ching, J.A.; Binag, C.A.; Alejandro, G.J.D. Uptake and distribution of some heavy metals in peanut (Arachis hypogaea L.) grown in artificially contaminated soils. Philipp. Agric. 2009, 91, 134–142. [Google Scholar]
- Chen, W.; Kang, Z.; Yang, Y.; Li, Y.; Qiu, R.; Qin, J.; Li, H. Interplanting of rice cultivars with high and low Cd accumulation can achieve the goal of “repairing while producing” in Cd-contaminated soil. Sci. Total Environ. 2022, 851, 158229. [Google Scholar] [CrossRef]
- Yuan, L.; Liu, Y.; Lan, Y.S. Variations of Cadmium Absorption and Accumulation among Corn Cultivars of Metal Pollution in Soil from Lead-Zinc Mining Area. J. Sichuan Agric. Univ. 2018, 36, 6. [Google Scholar] [CrossRef]
- Liao, C.; Li, Y.; Wu, X.; Wu, W.; Zhang, Y.; Zhan, P.; Meng, X.; Hu, G.; Yang, S.; Lin, H. ZmHMA3, a Member of the Heavy-Metal-Transporting ATPase Family, Regulates Cd and Zn Tolerance in Maize. Int. J. Mol. Sci. 2023, 24, 13496. [Google Scholar] [CrossRef]
- Zhang, C.H.; Wang, Z.S.; Liu, L.; Liu, Y. Comprehensive Quality Assessment of Soil-Maize Heavy Metals in High Geological Background Area. Environ. Sci. 2023, 44, 4142–4150. [Google Scholar]








| Properties and Contents | Maximum Value | Minimum Value | Mean Value |
|---|---|---|---|
| pH | 6.5 | 4.3 | 5.3 |
| Organic matter (%) | 4.8 | 1.0 | 2.9 |
| Total nitrogen (N) (mg/kg) | 1810 | 28.9 | 920 |
| Total phosphorus (P) (mg/kg) | 3730 | 659 | 1582.6 |
| Available phosphorus (mg/kg) | 37.8 | 6.2 | 20.7 |
| Rapidly available potassium (mg/kg) | 240 | 50.6 | 126.8 |
| Cation exchange capacity (cmol/kg) | 27.5 | 3.6 | 11.4 |
| Total potassium (mg/kg) | 27.2 | 6.9 | 16.0 |
| Hg (mg/kg) | 4.1 | 0.003 | 0.3 |
| As (mg/kg) | 303 | 0.3 | 20.4 |
| Pb (mg/kg) | 7761 | 2.3 | 367.8 |
| Cu (mg/kg) | 266 | 3.0 | 41.0 |
| Ni (mg/kg) | 672 | 3.0 | 49.7 |
| Zn (mg/kg) | 5490 | 18.0 | 266.1 |
| Cd (mg/kg) | 139 | 0.1 | 5.1 |
| Cr (mg/kg) | 498 | 1.0 | 116.2 |
| Serial Number | Variety Origin | Varieties | Quantity (PCS) | Environmental Characteristics | Pollution Characteristics |
|---|---|---|---|---|---|
| 1 | Research on the main varieties provided by the regional agricultural technology extension center in the past 3 years | Hongdan 6, Lushan 12, Jinyi 418, Xikang 18, Kangnong 2, Dika 7, Shangshan 2012, Wugu 1790, Zhengda 615, Wugu 3861, Longbai 1, Xianda 901, Longdan 1604, Longyu 1708, Yaoyu 4126, Ruishan 26, Dingdan 6789, Zhengda 719 | 18 | It is 1600~2090 m above sea level and belongs to the subtropical mountain monsoon climate. The soil type is mainly red and red soil argillaceous rock. The soil pH value is 3.92~8.09, and the soil is generally acidic | Mercury, arsenic, lead, copper, nickel, zinc, chromium, and cadmium; a total of 8 heavy metals in the regional agricultural land exceeded the standard, and the main pollutants were cadmium and lead. |
| 2 | Site survey, the main varieties sold in local shops | Qinrui 47, Qinrui 119, Qinrui 3817, Jixiang Jade 2199, Jingdian 8, Qingqing 9, Qingqing 515, Tianyan 8, Tianyan 29, Tianyan 31, Kebei 1409, Qiuqing 1, Qiuqing 88, Funong jade 1, Longrui 3869, Ziyu 88, Kangyu 8, Yiyu 8, Yayu 719, Yayu 1281, Jindan 208, Kenyu 1505, Jinyu 98, Jinyu 108, Shangyu 3899, Huizan 936, Xinzhongyu 801, Kongyu 829, Dandan 908, Kebei 1409, Lushan 12, Jinyi 418, Fengdeng 2025, Hongshan 6, Xikang 18, Kangnong 2, Dicka 007, Shangshan 2012, Shangshan 3721, Shangshan 365, Wugu 1790, Zhengda 615, Wugu 3861, Longbai 1, Xianda 901, Longdan 1604, Longdan 1609, Longdan 1701, Longyu 1708, Yaoyu 4123, Yaoyu 4126, Ruidan 26, Dingdan 6789, Zhengda 719, Longhuangbai 3, Jingdian 8, Yuanyu 093, Yunrui 119, Yunrui 668, and Yudan 8 | 60 | It is 1600~2090 m above sea level and belongs to the subtropical mountain monsoon climate. The soil type is mainly red and red soil argillaceous rock. The soil pH value is 3.92~8.09, and the soil is generally acidic. | Mercury, arsenic, lead, copper, nickel, zinc, chromium, and cadmium; a total of 8 heavy metals in the regional agricultural land exceeded the standard, and the main pollutants were cadmium and lead. |
| 3 | Low-accumulation varieties screened in a project on soil pollution remediation and control of cultivated land in Zhehai Town, Huize County | Luodan 566, Xuanhui 7, Diwo 2, Xianyu 696, Xuanhuang Dan 5, and Huaxing 7 | 6 | It is about 2050 m above sea level and belongs to the south temperate monsoon climate. The soil types are mainly red loam and red clay. The pH value of the soil ranges from 4.17 to 7.77, and the soil is generally acidic and slightly acidic. | There are Cd, Pb, Zn, Hg, As, Cu, and Ni pollutants in the cultivated soil of the project area. Cd is categorized as heavy pollution, Pb and Zn are mainly heavy pollution, and the rest are light and moderate pollution. |
| 4 | Low-accumulation varieties selected by “Lanping County Cultivated land Soil Pollution Control and Restoration Demonstration Project” | Xuanhuangdan 5, Quchen 11, Jingdian 4, Lushan No. 16, Chengxin 1, Chengxin 5, Longsheng 16, Qiangsheng 103, Yunrui 8, Huidan 4, Lushan 7, Xidan 8, Lushan 2, Lushan 6, and Qiushuoyu 6 | 15 | It is about 2240 m above sea level and belongs to the subtropical, mountain main type of monsoon climate. The soil type is mainly purple soil, with a soil pH of 4.42~8.79, and the soil is generally acidic. | The soil Pb, Cd, Zn, and As in the project area severely exceed the standard; this is mainly due to the combined pollution of Cd and Pb. |
| 5 | Low-accumulation varieties selected in the pilot project of the Application of Soil Pollution Control and Remediation Technology for Agricultural Land in Haojia River Basin, Muding County | Luodan 299, Dayan 6, Enyu 8, Zhuoyu 299, Xianyu 696, Jinnong 109, Shengyu 6, Luodan 297, Jinqiuyu 35, Wugu 3861, Shengyu 8, Luodan 299, and Kenyu 1505 | 13 | It is 1678~1880 m above sea level, which belongs to the subtropical monsoon climate area. The soil is mainly purple sandy mudstone soil, with a soil pH of 6.56~8.50, and the soil is generally alkaline. | The main pollution elements in the soil of the agricultural land in the project area are Cd and Cu. |
| Number | Maize Variety | Plant Height (cm) | 100-Grain Weight (g) | Production per 0.067 Hectare (kg) | Weight of Different Parts of Maize (g/plant) | |||
|---|---|---|---|---|---|---|---|---|
| Root | Stem | Leaf | Grain | |||||
| 1 | Fengdeng 2025 | 254 ± 10.0 cdefg | 40.0 ± 1.5 cde | 550 ± 38.3 cde | 18.2 ± 0.9 efg | 31.9 ± 0.5 def | 27.4 ± 2.7 ef | 85.9 ± 6.6 lmn |
| 2 | Hongdan 6 | 236 ± 15.5 efghij | 40.7 ± 0.5 cd | 527 ± 25.3 cdef | 17.7 ± 1.1 fgh | 25.3 ± 0.7 ghij | 21.0 ± 2.4 ghij | 75.2 ± 6.2 no |
| 3 | Huidan 936 | 255 ± 11.7 cdef | 30.5 ± 0.9 mn | 323 ± 11.1 l | 14.0 ± 0.1 mn | 19.8 ± 0.8 lmn | 19.3 ± 0.8 jklm | 123.6 ± 3.7 ef |
| 4 | Jinqiuyu 35 | 263 ± 4.5 abcd | 31.5 ± 1.4 klm | 349 ± 17.4 kl | 15.4 ± 0.2 k | 57.1 ± 7.9 a | 51.1 ± 3.3 a | 131.4 ± 1.2 de |
| 5 | Jinqiuyu 755 | 221 ± 9.5 ijkl | 35.8 ± 1.2 ghij | 565 ± 22.6 cd | 19.4 ± 0.8 d | 26.3 ± 2.2 ghij | 24.8 ± 2.1 efg | 99.8 ± 10.0 hij |
| 6 | Jinyi 418 | 263 ± 4.9 abcd | 38.2 ± 2.4 defg | 536 ± 27.3 cde | 17.2 ± 0.6 hi | 46.4 ± 3.7 b | 33.9 ± 0.9 d | 131.3 ± 2.2 de |
| 7 | Jinyu 108 | 249 ± 16.0 defgh | 42.6 ± 1.2 bc | 640 ± 17.2 b | 18.8 ± 0.7 de | 25.1 ± 1.0 ghijk | 21.1 ± 2.7 ghij | 98.4 ± 4.4 hijk |
| 8 | Jingdian 8 | 257 ± 11.7 bcde | 37.6 ± 2.2 efg | 493 ± 8.4 efgh | 16.3 ± 0.1 ijk | 25.8 ± 0.6 ghij | 20.3 ± 1.4 hijkl | 71.4 ± 2.3 o |
| 9 | Kangyu 8 | 249 ± 5.6 defgh | 36.5 ± 0.4 fghi | 659 ± 5.0 b | 21.8 ± 0.7 b | 22.7 ± 0.2 jkl | 19.8 ± 0.2 ijkl | 126.4 ± 5.1 e |
| 10 | Kenyu 1505 | 225 ± 27.0 hijk | 30.6 ± 0.4 mn | 380 ± 11.3 jkl | 14.4 ± 0.1 lm | 29.9 ± 1.6 efg | 25.1 ± 3.3 ef | 137.6 ± 2.6 d |
| 11 | Kongyu 829 | 235 ± 3.5 efghij | 36.9 ± 1.1 fghi | 559 ± 33.2 cd | 17.1 ± 0.7 hi | 25.8 ± 0.5 ghij | 23.5 ± 0.6 fghi | 75.7 ± 6.3 mno |
| 12 | Longbai 1 | 215 ± 10.6 jklm | 28.3 ± 1.0 n | 355 ± 14.0 kl | 14.3 ± 0.2 m | 16.4 ± 1.7 n | 13.7 ± 0.4 n | 74.7 ± 3.1 o |
| 13 | Longdan 1604 | 193 ± 7.8 m | 39.3 ± 2.3 def | 567 ± 21.7 cd | 20.6 ± 0.3 c | 17.4 ± 1.0 mn | 15.6 ± 1.8 mn | 102.7 ± 10.4 hi |
| 14 | Longdan 1701 | 230 ± 7.2 ghij | 39.3 ± 3.4 def | 549 ± 27.0 cde | 17.5 ± 0.1 gh | 23.7 ± 0.3 ijkl | 18.4 ± 1.0 jklm | 107.0 ± 2.5 gh |
| 15 | Longhuanbai 3 | 260 ± 15.3 abcd | 48.4 ± 1.5 a | 783 ± 6.4 a | 21.2 ± 0.6 bc | 40.3 ± 1.5 c | 35.5 ± 2.4 d | 164.4 ± 4.1 bc |
| 16 | Longrui 3869 | 197 ± 6.6 lm | 37.1 ± 1.4 efgh | 463 ± 15.9 ghi | 15.4 ± 0.3 kl | 22.2 ± 2.1 jklm | 19.2 ± 1.1 jklm | 88.4 ± 1.5 kl |
| 17 | Longyu1 708 | 281 ± 12.1 ab | 38.4 ± 1.2 defg | 647 ± 48.6 b | 19.4 ± 0.05 d | 29.6 ± 0.8 efgh | 18.1 ± 1.9 jklm | 113.8 ± 5.5 fg |
| 18 | Ludan 12 | 236 ± 9.0 efghij | 37.7 ± 1.3 defg | 410 ± 70.2 ijk | 13.1 ± 0.5 n | 20.3 ± 0.4 klmn | 17.0 ± 0.95 klmn | 124.7 ± 2.8 e |
| 19 | Qinrui 3817 | 244 ± 12.7 defghi | 36.5 ± 2.5 fghi | 521 ± 43.9 cdefg | 18.2 ± 0.1 efg | 22.6 ± 0.9 jkl | 16.0 ± 1.7 lmn | 173.2 ± 7.0 b |
| 20 | Qinrui 47 | 205 ± 8.0 klm | 33.9 ± 1.5 ijkl | 471 ± 25.8 fghi | 15.5 ± 0.3 k | 23.8 ± 0.2 ijkl | 18.0 ± 1.0 jklm | 69.0 ± 0.9 o |
| 21 | Qiuqing 88 | 216 ± 11.1 jklm | 43.8 ± 0.6 b | 773 ± 13.5 a | 18.3 ± 0.1 efg | 61.0 ± 1.9 a | 43.6 ± 2.2 b | 195.0 ± 7.9 a |
| 22 | Shangdan 2012 | 274 ± 6.8 abc | 36.9 ± 0.6 fghi | 539 ± 17.4 cde | 19.3 ± 0.2 d | 28.2 ± 0.3 fghi | 20.6 ± 1.0 hijk | 90.2 ± 2.9 jkl |
| 23 | Shangyu 3899 | 247 ± 4.5 defgh | 34.4 ± 1.9 hijk | 493 ± 42.8 efgh | 18.2 ± 0.1 efg | 23.4 ± 1.4 ijkl | 19.7 ± 0.8 ijkl | 86.0 ± 8.1 lm |
| 24 | Tianyan 29 | 222 ± 14.0 ijk | 33.2 ± 1.1 jklm | 506 ± 43.0 defg | 16.5 ± 0.3 ij | 33.8 ± 2.7 de | 26.8 ± 2.1 ef | 163.5 ± 1.2 bc |
| 25 | Tianyan 31 | 254 ± 11.9 cdef | 30.2 ± 0.2 mn | 436 ± 24.9 hij | 15.7 ± 0.4 jk | 36.2 ± 3.2 cd | 27.4 ± 2.9 ef | 159.6 ± 4.7 c |
| 26 | Wugu 1790 | 240 ± 8.50 defghi | 32.3 ± 1.2 klm | 463 ± 9.7 ghi | 15.8 ± 0.2 jk | 26.5 ± 2.4 ghij | 23.8 ± 1.9 fgh | 158.8 ± 2.9 c |
| 27 | Wugu 3861 | 231 ± 8.5 fghij | 31.2 ± 1.0 lmn | 363 ± 16.9 kl | 13.8 ± 0.6 mn | 24.7 ± 2.1 hijk | 19.7 ± 1.2 ijkl | 132.4 ± 5.7 de |
| 28 | Xinzhongyu 801 | 201 ± 18.8 klm | 36.1 ± 0.4 ghij | 576 ± 16.9 c | 18.6 ± 0.1 def | 31.6 ± 4.6 def | 28.6 ± 2.7 e | 100.8 ± 4.7 hij |
| 29 | Yayu 719 | 281 ± 15.7 a | 33.9 ± 1.2 ijkl | 563 ± 56.3 cd | 27.4 ± 0.3 a | 47.3 ± 2.8 b | 39.6 ± 1.2 c | 92.1 ± 5.5 ijkl |
| Number | Maize Variety | Pb Accumulation (ug) | Cd Accumulation (ug) | Pb Extraction Efficiency (%) | Cd Extraction Efficiency (%) | ||||||
|---|---|---|---|---|---|---|---|---|---|---|---|
| Root | Stem | Leaf | Grain | Root | Stem | Leaf | Grain | ||||
| 1 | Fengdeng 2025 | 99.6 ± 17.1 hijk | 65.2 ± 3.7 fghi | 76.8 ± 10.6 def | 6.04 ± 1.2 jkl | 8.6 ± 2.3 jkl | 4.95 ± 0.3 hij | 34.6 ± 5.9 efghi | 1.30 ± 0.3 l | 0.0102 ± 0.001 hijk | 0.194 ± 0.03 ghi |
| 2 | Hongdan 6 | 236 ± 54.4 cd | 143 ± 8.7 b | 68.9 ± 11.7 efgh | 10.9 ± 1.9 fgh | 12.9 ± 1.8 ghij | 4.94 ± 0.3 hij | 12.8 ± 2.1 i | 2.02 ± 0.1 ijkl | 0.0189 ± 0.002 b | 0.128 ± 0.009 i |
| 3 | Huidan 936 | 130 ± 9.8 gh | 49.4 ± 5.7 ghij | 83.7 ± 5.7 de | 9.44 ± 1.6 ghijk | 10.1 ± 1.7 ijk | 4.88 ± 0.5 hij | 32.2 ± 3.7 efghi | 3.75 ± 0.3 ghijk | 0.0112 ± 0.0008 fghi | 0.200 ± 0.008 fghi |
| 4 | Jinqiuyu 35 | 32.8 ± 7.0 p | 66.8 ± 12.1 fghi | 88.9 ± 8.8 cd | 6.56 ± 1.3 ijkl | 24.6 ± 8.1 ab | 13.8 ± 4.2 cd | 71.8 ± 13.1 cdef | 1.97 ± 0.3 ijkl | 0.00802 ± 0.0006 lmno | 0.439 ± 0.04 cd |
| 5 | Jinqiuyu 755 | 66.2 ± 16.6 lmno | 32.7 ± 2.1 jkl | 104 ± 30.3 c | 14.7 ± 2.9 ef | 7.1 ± 0.7 kl | 7.59 ± 0.8 defghij | 28.4 ± 2.1 efghi | 3.78 ± 0.8 ghijk | 0.00893 ± 0.00130 jklm | 0.184 ± 0.005 hi |
| 6 | Jinyi 418 | 168 ± 18.1 ef | 211 ± 34.6 a | 150 ± 4.8 a | 22.8 ± 2.9 abc | 10.0 ± 0.9 ijk | 15.0 ± 2.6 c | 71.8 ± 12.8 cde | 4.34 ± 0.5 gh | 0.0227 ± 0.001 a | 0.396 ± 0.06 cde |
| 7 | Jinyu 108 | 66.7 ± 13.2 lmno | 44.8 ± 4.1 ijk | 26.3 ± 8.3 mn | 6.87 ± 0.8 ijkl | 13.0 ± 1.6 ghij | 6.99 ± 0.8 efghij | 41.7 ± 6.7 efghi | 2.06 ± 0.5 ijkl | 0.00595 ± 0.0009 pq | 0.250 ± 0.03 efghi |
| 8 | Jingdian 8 | 114 ± 2.9 ghi | 39.1 ± 6.0 jkl | 43.2 ± 6.8 jklmn | 10.0 ± 0.9 ghi | 15.7 ± 0.5 efgh | 7.24 ± 1.0 efghij | 33.0 ± 1.0 efghi | 1.04 ± 0.2 l | 0.00848 ± 0.0006 klm | 0.223 ± 0.008 efghi |
| 9 | Kangyu 8 | 230 ± 37.6 cd | 48.5 ± 4.4 hij | 73.1 ± 8.4 defg | 10.1 ± 0.8 ghi | 10.1 ± 0.5 ijk | 7.44 ± 0.3 defghij | 71.8 ± 0.7 cdef | 4.79 ± 1.4 fgh | 0.0149 ± 0.001 cd | 0.369 ± 0.003 def |
| 10 | Kenyu 1505 | 47.3 ± 4.9 nop | 113 ± 29.3 cd | 130 ± 18.7 b | 5.50 ± 1.4 kl | 12.0 ± 0.3 hij | 13.4 ± 0.8 cde | 44.3 ± 6.7 efghi | 5.54 ± 0.7 efg | 0.0122 ± 0.002 efg | 0.295 ± 0.03 defghi |
| 11 | Kongyu 829 | 120 ± 6.4 gh | 39.1 ± 4.0 jkl | 58.7 ± 3.7 fghijk | 11.4 ± 1.6 fg | 10.0 ± 0.9 ijk | 9.23 ± 1.5 cdefghij | 37.7 ± 6.7 efghi | 1.81 ± 0.04 jkl | 0.00944 ± 0.0002 ijkl | 0.230 ± 0.03 efghi |
| 12 | Longbai 1 | 234 ± 4.7 cd | 25.0 ± 2.6 kl | 37.6 ± 1.6 lmn | 9.68 ± 1.1 ghij | 11.9 ± 0.3 hij | 6.63 ± 1.5 fghij | 31.6 ± 5.1 efghi | 2.70 ± 0.3 hijkl | 0.0126 ± 0.0001 ef | 0.207 ± 0.02 fghi |
| 13 | Longdan 1604 | 214 ± 9.5 d | 46.2 ± 1.7 hijk | 56.7 ± 9.3 ghijkl | 10.9 ± 1.1 fgh | 17.1 ± 0.4 defg | 6.24 ± 0.6 ghij | 14.7 ± 2.1 i | 2.99 ± 0.5 hijkl | 0.0135 ± 0.00008 de | 0.161 ± 0.01 i |
| 14 | Longdan 1701 | 70.5 ± 13.4 klmno | 37.8 ± 10.6 jkl | 75.1 ± 14.6 defg | 20.7 ± 3.8 bcd | 14.4 ± 1.0 ghi | 3.63 ± 1.2 j | 32.6 ± 5.6 efghi | 3.03 ± 0.2 hijkl | 0.00840 ± 0.001 ghij | 0.210 ± 0.02 fghi |
| 15 | Longhuangbai 3 | 73.7 ± 2.7 jklmno | 45.0 ± 2.1 ijk | 62.3 ± 4.1 fghij | 18.7 ± 3.6 de | 15.4 ± 0.6 fgh | 10.1 ± 0.6 cdefghi | 102 ± 4.9 c | 15.5 ± 0.6 c | 0.00821 ± 0.0004 lmn | 0.562 ± 0.02 c |
| 16 | Longrui 3869 | 69.6 ± 5.5 klmno | 80.6 ± 10.1 ef | 23.6 ± 3.3 n | 11.2 ± 1.2 fg | 10.2 ± 1.4 ijk | 3.50 ± 0.3 j | 18.2 ± 1.1 i | 7.24 ± 0.6 de | 0.00761 ± 0.0007 lmnop | 0.153 ± 0.008 i |
| 17 | Longyu 1708 | 105 ± 4.8 hij | 49.6 ± 4.0 ghij | 24.2 ± 1.1 n | 3.77 ± 0.4 l | 20.4 ± 2.1 bcde | 7.61 ± 1.4 defghij | 39.9 ± 6.1 efghi | 2.99 ± 0.1 hijkl | 0.00753 ± 0.0003 mnopq | 0.278 ± 0.03 defghi |
| 18 | Ludan 12 | 46.3 ± 7.4 nop | 45.6 ± 2.5 hijk | 41.4 ± 1.4 klmn | 8.75 ± 1.4 ghijk | 4.80 ± 0.3 l | 4.40 ± 0.2 ij | 24.4 ± 1.0 ghi | 3.83 ± 0.3 ghij | 0.00584 ± 0.0004 pq | 0.147 ± 0.006 i |
| 19 | Qinrui 3817 | 176 ± 4.5 e | 45.6 ± 11.7 hijk | 60.1 ± 9.9 fghijk | 9.21 ± 0.6 ghijk | 24.0 ± 3.3 abc | 5.59 ± 0.6 hij | 27.3 ± 4.1 fghi | 8.27 ± 0.8 d | 0.0120 ± 0.0009 efgh | 0.256 ± 0.02 efghi |
| 20 | Qinrui 47 | 143 ± 3.1 fg | 39.2 ± 6.2 jkl | 57.8 ± 5.2 fghijk | 11.7 ± 1.3 fg | 13.5 ± 1.3 ghi | 8.57 ± 1.0 cdefghij | 47.1 ± 3.4 efghi | 5.84 ± 0.2 efg | 0.0103 ± 0.0005 ghij | 0.294 ± 0.02 defghi |
| 21 | Qiuqing 88 | 52.3 ± 1.2 mnop | 92.5 ± 11.9 de | 63.6 ± 8.6 fghi | 9.74 ± 1.8 ghij | 20.9 ± 2.4 bcd | 70.6 ± 13.5 a | 227 ± 20.7 b | 28.6 ± 3.5 b | 0.00897 ± 0.0008 jklm | 1.360 ± 0.09 b |
| 22 | Shangdan 2012 | 83.5 ± 1.0 ijklm | 18.1 ± 0.6 l | 44.3 ± 3.5 ijklm | 12.0 ± 0.8 fg | 26.2 ± 5.6 a | 12.9 ± 0.7 cdef | 97.9 ± 8.9 cd | 6.68 ± 0.3 def | 0.00650 ± 0.0001 nopq | 0.563 ± 0.03 c |
| 23 | Shangyu 3899 | 78.6 ± 2.2 jklmn | 24.7 ± 1.4 kl | 29.7 ± 3.0 mn | 7.19 ± 1.1 hijkl | 10.4 ± 0.1 ijk | 8.09 ± 1.2 defghij | 23.0 ± 3.2 hi | 2.85 ± 0.5 hijkl | 0.00577 ± 0.0001 q | 0.174 ± 0.02 i |
| 24 | Tianyan 29 | 66.9 ± 13.9 lmno | 50.6 ± 6.4 ghij | 45.4 ± 3.5 ijklm | 22.3 ± 2.4 abcd | 10.3 ± 0.3 ijk | 11.0 ± 1.0 cdefgh | 42.9 ± 2.8 efghi | 4.14 ± 0.7 ghi | 0.00762 ± 0.0003 lmnop | 0.268 ± 0.02 defghi |
| 25 | Tianyan 31 | 45.7 ± 7.8 op | 33.6 ± 1.8 jkl | 50.8 ± 3.8 hijkl | 23.4 ± 1.6 ab | 14.5 ± 0.7 ghi | 12.4 ± 2.3 cdefg | 63.2 ± 6.6 cdefgh | 8.67 ± 0.5 d | 0.00632 ± 0.0002 opq | 0.387 ± 0.03 de |
| 26 | Wugu 1790 | 308 ± 16.0 a | 68.6 ± 11.6 fgh | 70.2 ± 6.8 defgh | 24.9 ± 4.0 a | 10.2 ± 0.3 ijk | 5.29 ± 0.8 hij | 68.6 ± 6.2 cdefg | 8.20 ± 0.2 d | 0.0194 ± 0.0002 defghi | 0.362 ± 0.02 defg |
| 27 | Wugu 3861 | 248 ± 12.5 bc | 39.9 ± 6.5 jkl | 69.8 ± 1.2 defgh | 19.4 ± 0.4 cd | 20.8 ± 1.2 bcd | 8.87 ± 1.1 cdefghij | 55.3 ± 10.1 defghi | 4.76 ± 0.4 fgh | 0.0155 ± 0.0008 b | 0.352 ± 0.04 defgh |
| 28 | Xinzhongyu 801 | 276 ± 8.8 ab | 122 ± 19.0 bc | 128 ± 8.8 b | 11.8 ± 2.3 fg | 16.3 ± 2.6 defgh | 42.8 ± 6.9 b | 704 ± 109 i | 57.2 ± 3.8 a | 0.0221 ± 0.001 c | 3.21 ± 0.4 a |
| 29 | Yayu 719 | 98.1 ± 12.3 hijkl | 72.8 ± 11.7 efg | 104 ± 8.7 c | 6.42 ± 0.7 ijkl | 19.7 ± 2.0 cdef | 7.49 ± 0.5 defghij | 44.0 ± 6.5 efghi | 1.56 ± 0.244 kl | 0.0116 ± 0.0004 a | 0.0255 ± 0.01 defghi |
Disclaimer/Publisher’s Note: The statements, opinions and data contained in all publications are solely those of the individual author(s) and contributor(s) and not of MDPI and/or the editor(s). MDPI and/or the editor(s) disclaim responsibility for any injury to people or property resulting from any ideas, methods, instructions or products referred to in the content. |
© 2024 by the authors. Licensee MDPI, Basel, Switzerland. This article is an open access article distributed under the terms and conditions of the Creative Commons Attribution (CC BY) license (https://creativecommons.org/licenses/by/4.0/).
Share and Cite
Zeng, P.; He, S.; He, L.; Yang, M.; Zhu, X.; Wu, M. Screening of Maize Varieties with High Biomass and Low Accumulation of Pb and Cd around Lead and Zinc Smelting Enterprises: Field Experiment. Agriculture 2024, 14, 423. https://doi.org/10.3390/agriculture14030423
Zeng P, He S, He L, Yang M, Zhu X, Wu M. Screening of Maize Varieties with High Biomass and Low Accumulation of Pb and Cd around Lead and Zinc Smelting Enterprises: Field Experiment. Agriculture. 2024; 14(3):423. https://doi.org/10.3390/agriculture14030423
Chicago/Turabian StyleZeng, Peiyi, Shujuan He, Liping He, Muqing Yang, Xian Zhu, and Min Wu. 2024. "Screening of Maize Varieties with High Biomass and Low Accumulation of Pb and Cd around Lead and Zinc Smelting Enterprises: Field Experiment" Agriculture 14, no. 3: 423. https://doi.org/10.3390/agriculture14030423
APA StyleZeng, P., He, S., He, L., Yang, M., Zhu, X., & Wu, M. (2024). Screening of Maize Varieties with High Biomass and Low Accumulation of Pb and Cd around Lead and Zinc Smelting Enterprises: Field Experiment. Agriculture, 14(3), 423. https://doi.org/10.3390/agriculture14030423

