Abstract
Sustainable plant production requires less use of synthetic chemicals in plant nutrition and protection. Microbial products are among the most promising substitutes for chemicals. With the increasing popularity and availability of such products, it has become obligatory to use different microbes together. The effect of this has been tested in several studies, but their results have sometimes been contradictory depending on the microbial strains tested and the mode of application. We tested the effect of two commercially available antagonists and Funneliformis mosseae alone and in combination on tomato. Mycorrhizal treatment increased plant growth and yield, both alone and combined with the antagonists; however, mycorrhizal root colonization was not influenced by the antagonist. This treatment also led to a slight decrease in the occurrence of Trichoderma spp. on tomato roots but did not impede the colonization of roots by the applied Trichoderma strain. Our result confirmed that Trichoderma asperellum (T34) and Streptomyces griseoviridis (K61) can be safely combined with arbuscular mycorrhizal fungi (AMF), namely with F. mosseae.
1. Introduction
Tomato (Solanum lycopersicum L.) is one of the most important vegetables in the world, with a total production of about 186 million tons in 2022. Its growing area worldwide is approximately 4,920,000 hectares, and in the EU, it has varied around 250,000 hectares in recent years. This cultivation is characterized by intensive growing technology both in greenhouses and in field conditions [1]. From this area, 1683 hectares were arable in Hungary in 2022 [2]. This requires regular plant nutrition and plant protection due to the potential yield loss caused by pests and pathogens. Consecutive chemical treatments impose a significant risk not only for consumers but also for growers and the environment. To reduce these potential harms, the use of synthetic chemicals in plant production must be gradually reduced in the near future [3,4,5].
This can be achieved through the implementation of integrated pest management strategies, including the use of biological control agents, using bio-stimulants based on natural materials that promote plant health and reduce the reliance on synthetic agrochemicals [6]. Worldwide, the use of environmentally friendly, pesticide-reducing, beneficial organisms such as Streptomyces, Trichoderma, and mycorrhizae is becoming increasingly widespread, with their mechanisms of action requiring further research [7,8,9].
Various microbial inoculants can serve as effective substitutes for synthetic plant nutrition and plant protection agents, improving soil fertility, reducing high plant pest levels, and decreasing micro-climate change. Plant-beneficial microorganisms (or their metabolites), with their ability to improve crop productivity and resilience, offer multiple opportunities to ameliorate agricultural sustainability.
Arbuscular mycorrhizal fungi can improve nutrient and water transport to their host plant roots, enhancing stress tolerance [10,11,12]; therefore, mycorrhizal inoculation is becoming a common practice in the sustainable production of horticultural crops. At the same time, AMF, as important microbes of the soil ecosystem, can form synergistic and even antagonistic relationships with other microorganisms, bacteria, and fungi. The external hyphae of AMF serve as conduits facilitating nutrient exchange between the target plant roots and soil-inhabiting microorganisms including Trichoderma and Streptomyces spp. [13].
Antagonist microbes such as strains of Trichoderma spp. and Streptomyces spp. could be used for the control of various diseases of tomatoes, either as a registered plant protection product or soil inoculant [14,15,16]. Moreover, their beneficial effects on nutrient mobilization are also known, thereby increasing the uptake of micro- and macroelements and taking part in nutrient cycling [17], aiding in the decomposition of organic materials and/or production of different growth hormones [18] and other active metabolites [19,20,21].
Arbuscular mycorrhizal fungi typically form synergistic relationships with only a limited number of Streptomyces and/or Trichoderma spp. underscoring the importance of investigating such interactions. Designing microbial consortia is a major challenge, as the cross-compatibility of strains and their additive or synergistic effects on plants must be taken into account. Based on our hypothesis, we would like to demonstrate that there are AMF-favorable cooperating strains that are suitable for the production of mixed inoculants, even among strains that are independently antagonistic and used as biocontrol agents. Therefore, the objective of this study was to assess the effectiveness of inoculation with AMF together with other beneficial fungi showing saprophytic and plant-protective abilities.
2. Materials and Methods
Experiments took place in the greenhouse of the Department of Integrated Plant Protection, MATE, in June 2022. Seeds of the tomato cultivar Moneymaker were sown in a commercial horticultural substrate (Florimo, 80% white sphagnum peat and 20% frozen black sphagnum peat, slow-release 14N–16P–18K (w/w/w) fertilizer, pH 6.00). Seedlings with 3–4 leaves (BBCH 13–14) were transplanted one by one in 15 cm pots filled with the mixture of the above horticultural substrate (1/3) and washed sand (2/3), both sterilized before starting. Microbial inoculants were added to the potting hole before transplantation. The relative humidity was 60%, plants were irrigated daily, and no additional nutrients were applied. The temperature in the greenhouse varied between 18 and 33 °C during the experiment.
2.1. Microbial Inoculant and Measurements during Plant Growth
Plants were treated with two antagonist biocontrol microorganisms (Streptomyces strain K61, formerly known as S. griseoviridis and T. asperellum T34), both registered in the EU as a plant protection substance [22] alone or in combination with arbuscular mycorrhizal (AM) fungi. AM specifically identified as F. mosseae (Glomerales, Glomeraceae) was obtained from MATE at the Institute of Genetics and Biotechnology. F. mosseae was propagated on maize (Zea mays L. ‘Golda F1’) growing on sterilized peat (Klasmann TS3, 100 mg L−1 P2O5) mixed with sand in a ratio of 1:3 (v/v). This propagation process spanned three successive cycles, each lasting 5 months. The abundance of infective propagules was estimated using the Most Probable Number (MPN) technique, yielding approximately 35 infective propagules per gram of substrate, as determined by the method developed by Feldmann and Idczak [23]. Control plants received the same quantity of sterilized mycorrhizal inoculant.
The Streptomyces K61 strain (DSM 7206) was cultured on nutrient agar plates (GranuCult) at 25 °C. One-week-old cultures were washed with sterilized tap water and the resulting suspension was adjusted to 108 cells/mL immediately prior to plant inoculation.
The T. asperellum T34 strain (CECT No. 20417) was cultured on PDA agar plates (Difco) at 25 °C for a week until full sporulation. Conidia from the agar plates were washed with sterilized tap water on the day of plant treatment and the suspension was subsequently diluted to 107 spore/mL.
An amount of 10 mL of the above suspensions was added to the tomato seedlings during transplantation, alone or in combination with the mycorrhizal inoculation. The treatments were as follows: C—control, M—mycorrhizae, T—Trichoderma, S—Streptomyces, M+T—mycorrhizae and Trichoderma, and M+S—mycorrhizae and Streptomyces. All treatments were conducted in 15 replicates. Pots were arranged in a randomized complete block design in the greenhouse and left for 60 days.
Plant height was measured on the 30th day post-transplanting (BBCH 34-36), from the ground to the uppermost node of the stem. The fresh shoot and root weight on five plants from each treatment were measured at the same time. Shoot weight was measured immediately after cutting them at the soil surface. Roots were removed from the pots and washed in tap water to remove soil particles, and the root samples were allowed to dry on filter paper for an hour before weight measurement. Representative root samples were used for the determination of AM and Trichoderma colonization rates from each treatment. Root samples were stored at 4 °C until processing.
The mycorrhizal colonization rate was determined in all treatments. Approximately 0.5 g of fine roots of each sample (5 plants/treatment) was stained with Trypane blue according to Vierheilig et al. [24]. Internal fungal structures (hyphae, arbuscules, vesicles) were examined under a stereomicroscope at ×100 magnification and the percentage of root length colonized was calculated using the gridline intersect method [25].
Root samples for measuring Trichoderma colonization were collected as described above. Small pieces (2–4 mm long) of the thoroughly washed, fine roots were cut with a pair of sterilized scissors, and 20 pieces from each sample were evenly distributed in Petri dishes (90 mm diameter) containing Trichoderma-selective medium [26]. Plates were incubated at 25 °C and the proportion of root pieces from which Trichoderma colonies emerged was determined after 5 days.
The yield of 10 plants in each treatment was collected until harvesting (the 90th day after transplanting). Each fruit was individually measured and the accumulated values per plant were recorded.
2.2. Measurement of Glutathione-S-Transferase (GST) Activity
Plant leaves (the third leaf from the top of the plant) at 90D were collected from the greenhouse randomly in five replications and immediately placed in liquid nitrogen. Then, they were held at approximately −80 °C until enzyme activities were measured. Approx. 500 mg of the leaf was resuspended in 100 µL of Cell Lysis Buffer and homogenized very quickly following the protocol of the Glutathione-S-Transferase (GST.N CS0410) assay kit [27].
All data were evaluated by one-way analysis of variance (ANOVA) and Tukey’s Post hoc test at p < 0.05.
3. Results
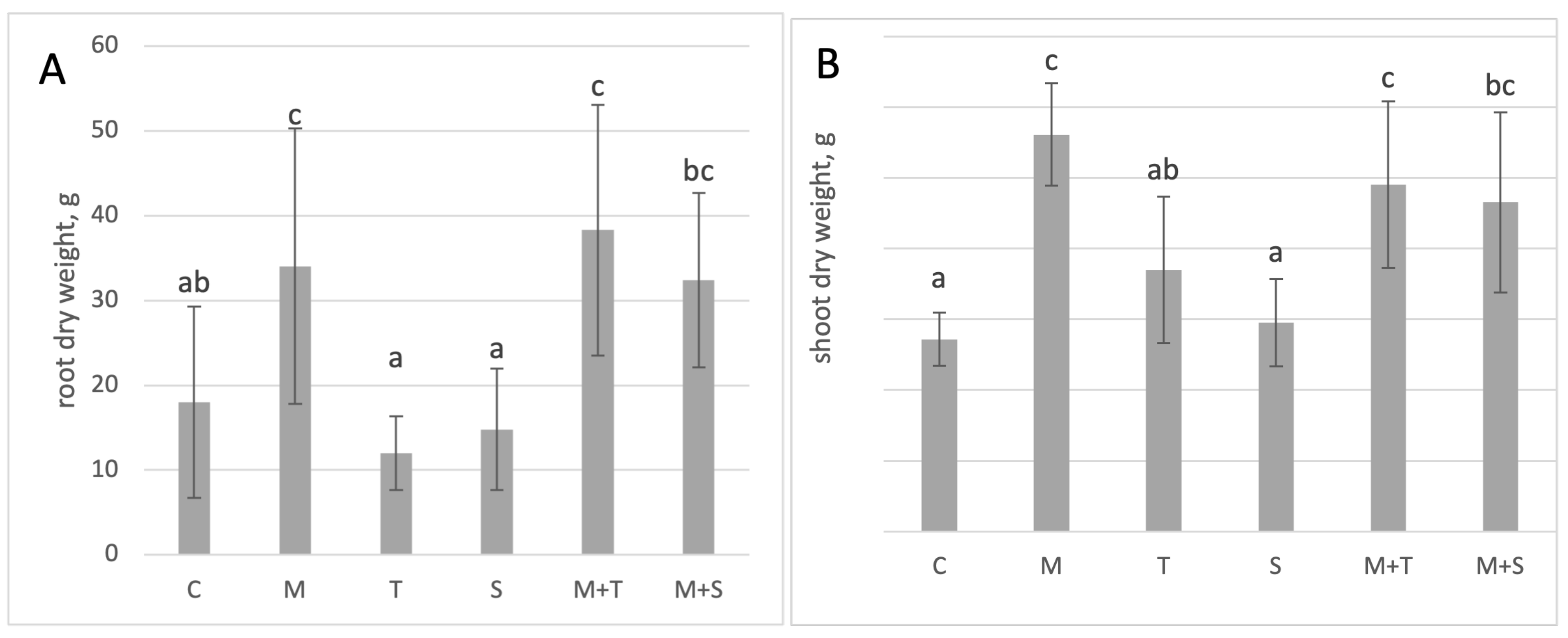
Mycorrhizal inoculation increased the development of vegetative parts (shoot and root) during the first 50 days after inoculation (Figure 1A,B and Figure 2A,B). Both root and shoot weights of the AMF-treated plants were doubled as compared to the untreated control or to the plants treated with antagonist microbes only (Figure 1 and Figure 2). The antagonists did not affect the plant-growth-promoting effect of the AM treatment either. The change in plant height showed a similar tendency, with the mycorrhizal-treated plants (either alone or in combination with antagonists) growing higher but with insignificant differences.
Figure 1.
Root (A) and shoot (B) fresh weight of mycorrhizae, Trichoderma spp. and Streptomyces spp. treated plants after 50 days of treatment (transplanting). Treatments marked with the same letter are significantly not different (p < 0.05). Vertical bars represent standard deviation. Legend: C—control, M—mycorrhizal treatment, T—Trichoderma spp., S—Streptomyces spp., M+T—Mycorrhizae and Trichoderma spp., M+S—Mycorrhizae and Streptomyces spp.
Figure 2.
Root (A) and shoot (B) dry weight assessment following treatment with mycorrhizae, Trichoderma spp., and Streptomyces spp. over a 50-day period post-transplantation. Treatments labeled with the same letter are statistically non-significant (p < 0.05). Vertical bars represent standard deviation. Legend: C—control, M—mycorrhizal treatment, T—Trichoderma spp., S—Streptomyces spp., M+T—Mycorrhizae and Trichoderma spp., M+S—Mycorrhizae and Streptomyces spp.
Mycorrhizae could be detected in all mycorrhizal-inoculated plants but not in non-inoculated plants. Mycorrhizal colonization was not influenced by the Trichoderma or Streptomyces treatments, and the minimal observed differences were not significant (Figure 3A).
Figure 3.
Mycorrhizae (A) and Trichoderma spp. (B) colonization of the tomato roots. Treatments marked with the same letter are significantly not different (p < 0.05). Vertical bars represent standard deviation. Treatments showing 0 colonization were not presented. Legend: C—control, M—mycorrhizal treatment, T—Trichoderma spp., S—Streptomyces spp., M+T—Mycorrhizae and Trichoderma spp., M+S—Mycorrhizae and Streptomyces spp.
Mycorrhizae treatment slightly reduced the Trichoderma colonization of the roots, but the difference was not significant either. Trichoderma fungi from the natural microbiota of the horticultural soil also colonized the roots, but at a much lower level than on Trichoderma-treated plants. In the former case, the mycorrhizae-only treatment significantly reduced the presence of Trichoderma fungi (Figure 3B). A similar but much weaker, insignificant inhibition was observed in the Trichoderma-treated plants.
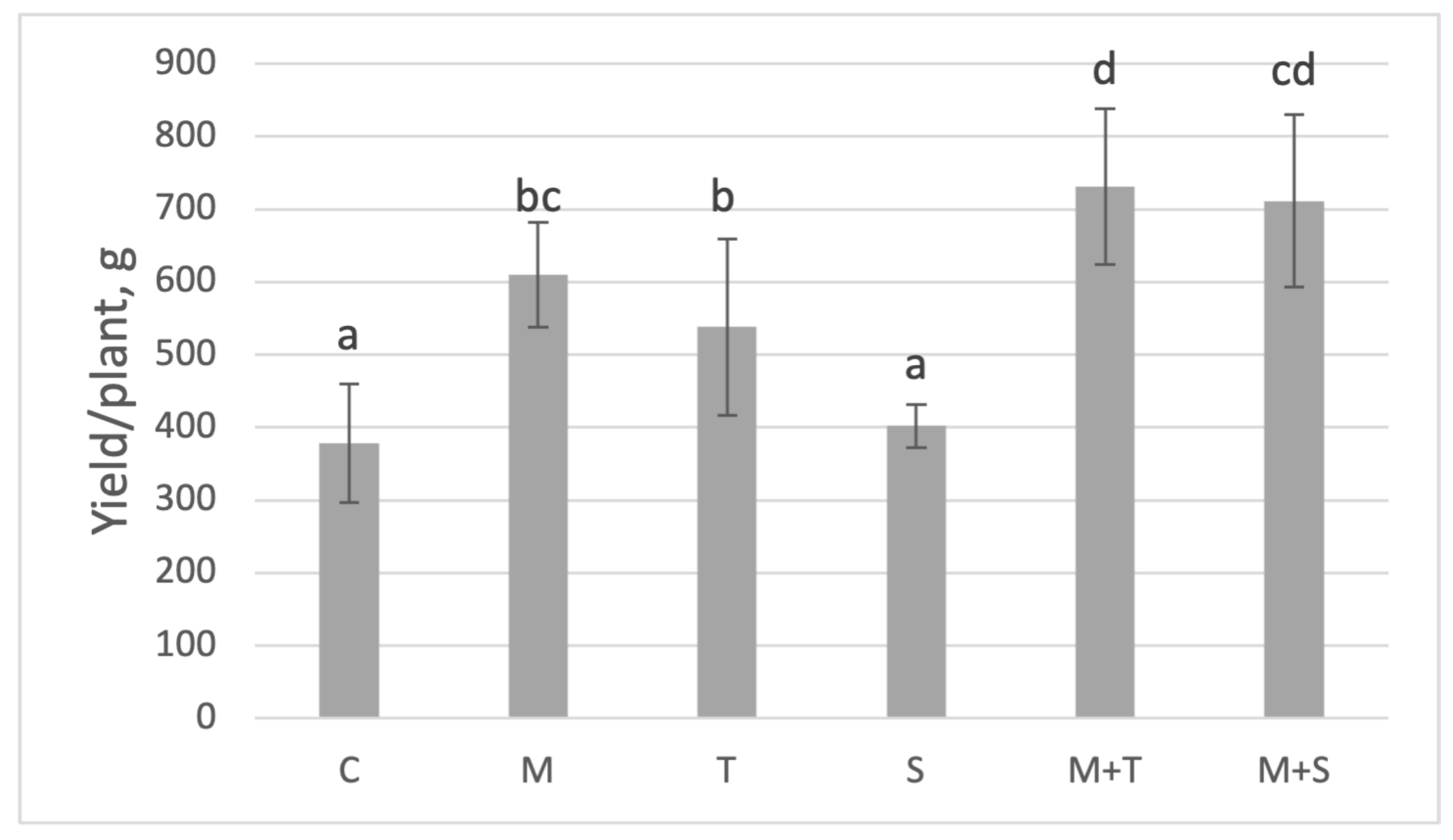
The cumulative yield was significantly increased by all but the Streptomyces-only treatment as compared to the control. The best results were observed in the case of combined applications, followed by mycorrhizae and Trichoderma treatments alone (Figure 4).
Figure 4.
Cumulative yield of tomato plants during the experiment. Treatments marked with the same letter are significantly not different (p < 0.05). Vertical bars represent standard deviation. Legend: C—control, M—mycorrhizal treatment, T—Trichoderma spp., S—Streptomyces spp., M+T—Mycorrhizae and Trichoderma spp., M+S—Mycorrhizae and Streptomyces spp.
The GST enzyme activities of all treatments were compared to the control one on samples on D90. Based on the results, the control plants showed significantly lower enzyme activities compared to the inoculated ones (‘M’, ‘T’, ‘S’, ‘M+T’) except for treatment ‘M+S’. Interestingly, treated plants with separate microorganisms had the highest defense enzyme concentrations than the plants inoculated with the mixed inoculant (M+T, M+S) (Figure 5).
Figure 5.
Average GST enzyme (µmol ml−1min−1). Treatments marked with the same letter are not significantly different (p < 0.05). Legend: C—control, M—mycorrhizal treatment, T—Trichoderma spp., S—Streptomyces spp., M+T—Mycorrhizae and Trichoderma spp., M+S—Mycorrhizae and Streptomyces spp.
4. Discussion
The use of beneficial microbes, including mixed inoculants, in plant production has become an everyday practice in promoting sustainability and demonstrating more environmentally friendly farming [2]. Therefore, their interactions as well as the effect of combined application on the treated plants must be clarified. The present data confirmed our reinforced hypothesis that although cross-inhibition among biological control agents is very likely, some of them cooperate well with F. mosseae.
Competition among some Trichoderma spp., Streptomyces spp., and AMF can occur in nature despite some evidence of peaceful coexistence, and this is worth investigating for designing the best microbial consortia.
Trichoderma spp. and AMF interactions in the tomato have been intensively studied [11,14,28,29] with various results. In some cases, inhibition of the mycorrhizal colonization of roots caused by Trichoderma was recorded [30], and many experiments showed no inhibition or enhancement in the colonization level [31]. However, many studies have reported an increase in colonization with the combined application of mycorrhizae and Trichoderma due to their synergistic effect [28,32]. The effects on the plant development, yield, enzyme activity, or nutrient content of fruits also differed significantly [11,12].
In this study, mycorrhizal fungus F. mosseae combined with antagonist strains T34 and K61 showed significant differences in the root and shoot weight compared with the single inoculated fungus and the control. Similar results were reported in an Italian study wherein Trichoderma treatment led to a significant increase in dry weight, whereas mycorrhizal treatment resulted in a significant enhancement in both dry and wet biomass [33]. A positive effect of AM inoculum alone and in combined treatments (M+T, M+S) was found with all measured parameters. Dual inoculation with AMF and Trichoderma spp. or Streptomyces spp. was previously reported to significantly enhance growth compared to if each fungus was inoculated alone [34], as AMF enhances the effect of Streptomyces and Trichoderma through its external hyphae. In contrast to our expectations, as S. griseoviridis increases plant yield, this treatment resulted in a lower yield in our work. These differences can potentially be attributed to the variations in application timing, method, and the specific microbial strains used. However, it is worth noting that none of the treatments hindered plant growth.
Despite previous reports of Trichoderma spp. treatment promoting plant growth [35,36], we did not observe this effect in our study, only regarding yield quantity compared to the control one.
Although mycorrhizal colonization did not significantly change with the AM+T and AM+S treatments compared to AM alone, it is still reflected in the yield. Increased crop yields are likely to be due to the nutrient-mobilizing effect of inoculants, facilitated further by the external hyphae of AMF. While this transmission occurs only in the presence of both mycorrhizal and antagonistic agents, its use is preferred. These particularly small consortia could stabilize self-organization and increase the connectivity of multi-kingdom networks, thereby increasing yield [37,38].
When stress occurs, whether biotic or abiotic, elevated levels of reactive oxygen species (ROS) prompt an increase in GST activity. Subsequently, GSTs aid in metabolizing toxic products of lipid peroxidation, damaged DNA, and other molecules [39,40,41], offering beneficial effects to plants.
In this study, GST increased significantly in all treatments except for M+S compared to the control one. Similar results were reported for mycorrhizal fungi [39,42], Trichoderma [43] treatments in tomatoes, as well as Streptomyces treatment in tobacco [44]. Even though the GST level did not correlate with the other measured parameters, microbes had a beneficial effect on it in all treatments. Interestingly, dual inoculation caused a decrease in this defense enzyme compared to single inoculants, suggesting their suppressed influence on plants as stress factors. This can be attributed to the induction of different defense mechanisms in the plant due to the occurrence of various biocontrol agents. Moreover, some Streptomyces and Trichoderma species produce secondary metabolites, directly inhibiting the activity of GST enzymes in the plant [45,46,47]. These metabolites encompass various classes, categorized as follows: (a) compounds involved in regulatory activities, which encompass growth factors, morpho-genic agents, siderophores, and agents promoting plant–rhizobia interaction; (b) antagonistic agents, consisting of those with antiprotozoan, antibacterial, antifungal, and antiviral effects; (c) agrobiological agents, including insecticides, pesticides, and herbicides; and (d) pharmacological agents, which comprise neurological agents, immunomodulators, those with antitumoral effects, and enzyme inhibitors [48]. If these mechanisms interact in a way that reduces the need for GST activity, it could lead to a decrease in GST enzyme levels. It is possible that the reduced energy spent on defense enzyme synthesis of the combined inoculated plants compared to the single inoculation, as well as the combined effect of the micro-organisms on nutrient uptake, could have resulted in the increase in yield in our work [49].
These findings underscore the complexity of microbial interactions in influencing plant growth and yield and highlight the need for further research, such as transcriptomics and proteomics, to elucidate these relationships.
5. Conclusions
In light of the pivotal and global economic importance of tomatoes, our research concentrated on employing environmentally sustainable and biologically driven approaches to augment productivity. Our findings underscore the compatibility of two antagonists utilized in our experiments, T. asperellum (T34) and S. griseoviridis (K61), with the F. mosseae mycorrhizal fungus. Encouragingly, these treatments exhibited notable enhancements in plant growth and yield without compromising each other’s efficacy. However, it is imperative to subject these treatments to diverse environmental conditions to discern their broader applicability in open-field settings. By considering these microbial inoculants as potential biofertilizers, our study underscores their role in ensuring food production, safety, security, and agricultural sustainability. Furthermore, future investigations should delve into elucidating the molecular mechanisms governing the interaction between mycorrhizal fungi and beneficial microorganisms, thus providing deeper insights into sustainable agricultural practices.
Author Contributions
K.P. and G.T.: Supervision, Conceptualization, Formal analysis, Writing—Original Draft, Writing—Review and Editing, and Resources; B.K. and S.E.A.N.: Formal Analysis and Writing; A.A.A.A.: Data Curation, Formal Analysis, Investigation, Methodology, Methods, and Writing. All authors have read and agreed to the published version of the manuscript.
Funding
This work was funded by Stipendium Hungaricum Scholarship ID: 253945.
Institutional Review Board Statement
This study did not involve human participants or Animals. The current study complies with relevant institutional, national, and international guidelines and legislation for experimental research and field studies on plants (either cultivated or wild) and fungi, including the collection of plant and fungal materials.
Data Availability Statement
The associated dataset of this study is available upon request from the corresponding author.
Conflicts of Interest
The authors declare no conflict of interest.
References
- FAO—Food and Agriculture Organization. FAOSTAT—Crops and Livestock Products. Available online: https://www.fao.org/faostat/en/#data/QCL (accessed on 30 March 2024).
- KSH—Központi Statisztikai Hivatal. Most Important Vegetables’ Crop Area. Available online: https://www.ksh.hu/stadat_files/mez/hu/mez0013.html (accessed on 30 March 2024).
- Mattoo, A.; Handa, A. Achieving Sustainable Cultivation of Tomatoes; Burleigh Dodds Science Publishing: Cambridge, UK, 2017; pp. xxii + 542. ISBN 978-1-78676-040-1. [Google Scholar]
- Kiss, J.; Delos, M. Implementing biopesticides as part of an integrated pest management (ipm) programme. In Biopesticides for Sustainable Agriculture; Birch, N., Travis, G., Eds.; Burleigh Dodds Science Publishing: London, UK, 2020; pp. 21–44. [Google Scholar] [CrossRef]
- Jalal, A.; Oliveira, C.E.D.S.; Rosa, P.A.L.; Galindo, F.S.; Teixeira Filho, M.C.M. Beneficial Microorganisms Improve Agricultural Sustainability under Climatic Extremes. Life 2023, 13, 1102. [Google Scholar] [CrossRef] [PubMed]
- Fasusi, O.A.; Babalola, O.O.; Adejumo, T.O. Harnessing of plant growth-promoting rhizobacteria and arbuscular mycorrhizal fungi in agroecosystem sustainability. CABI Agric. Biosci. 2023, 4, 26. [Google Scholar] [CrossRef]
- Hazra, S.; Dey, J.; Mukherjee, S.; Kalam, A.; Mal, C. Identification of Novel Microbial Strains for Reduced Pesticide Use in Millets. In Millet Rhizosphere; Springer: Singapore, 2023; pp. 97–120. [Google Scholar]
- Sweeney, C.J.; Bottoms, M.; Ellis, S.; Ernst, G.; Kimmel, S.; Loutseti, S.; Schimera, A.; Carniel, L.S.C.C.; Sharples, A.; Staab, F.; et al. Arbuscular Mycorrhizal Fungi and the Need for a Meaningful Regulatory Plant Protection Product Testing Strategy. Environ. Toxicol. Chem. 2022, 41, 1808–1823. [Google Scholar] [CrossRef] [PubMed]
- Wang, R.; Liu, C.; Jiang, X.; Tan, Z.; Li, H.; Xu, S.; Zhang, S.; Shang, Q.; Deising, H.; Behrest, S.-V.; et al. The Newly Identified Trichoderma harzianum Partitivirus (ThPV2) Does Not Diminish Spore Production and Biocontrol Activity of Its Host. Viruses 2022, 14, 1532. [Google Scholar] [CrossRef]
- van der Heijden, M.G.A.; Martin, F.M.; Selosse, M.-A.; Sanders, I.R. Mycorrhizal ecology and evolution: The past, the present, and the future. New Phytol. 2015, 205, 1406–1423. [Google Scholar] [CrossRef]
- Duc, N.H.; Csintalan, Z.; Posta, K. Arbuscular mycorrhizal fungi mitigate negative effects of combined drought and heat stress on tomato plants. Plant Physiol. Biochem. 2018, 32, 297–307. [Google Scholar] [CrossRef]
- Szentpéteri, V.; Mayer, Z.; Posta, K. Mycorrhizal symbiosis-induced abiotic stress mitigation through phosphate transporters in Solanum lycopersicum L. Plant Growth Regul. 2023, 99, 265–281. [Google Scholar] [CrossRef]
- Barea, J.M. Rhizosphere and Mycorrhiza of Field Crops. In Biological Resource Management Connecting Science and Policy; Springer: Berlin/Heidelberg, Germany, 2000; pp. 81–92. [Google Scholar]
- Srivastava, R.; Khalid, A.; Singh, U.S.; Sharma, A.K. Evaluation of arbuscular mycorrhizal fungus, fluorescent Pseudomonas and Trichoderma harzianum formulation against Fusarium oxysporum f. sp. lycopersici for the management of tomato wilt. Biol. Control 2010, 53, 24–31. [Google Scholar] [CrossRef]
- Dias, M.P.; Bastos, M.S.; Xavier, V.B.; Cassel, E.; Astarita, L.V.; Santarém, E.R. Plant growth and resistance promoted by Streptomyces spp. in tomato. Plant Physiol. Biochem. 2017, 118, 479–493. [Google Scholar] [CrossRef]
- Sood, M.; Kapoor, D.; Kumar, V.; Sheteiwy, M.S.; Ramakrishnan, M.; Landi, M.; Araniti, F.; Sharma, A. Trichoderma: The “Secrets” of a Multitalented Biocontrol Agent. Plants 2020, 9, 762. [Google Scholar] [CrossRef]
- Olamrewaju, O.A.; Babalola, O.O. Streptomyces: Implications and interactions in plant growth promotion. Appl. Microbiol. Biotechnol. 2019, 103, 1179–1188. [Google Scholar] [CrossRef] [PubMed]
- Suryaminarsih, P.; Harijani, W.S.; Mindari, W.; Wurjani, W. Study of Humic Acid and Multiantagonis of Streptomyces Sp, Trichoderma Sp Application Techniques for Horticulture Plant on Marginal Soil. In Proceedings of the International Conference on Science and Technology (ICST 2018), Bali, Indonesia, 18–19 October 2018. [Google Scholar] [CrossRef]
- Harman, G.E. Trichoderma—Not just for biocontrol anymore. Phytoparasitica 2011, 39, 103–108. [Google Scholar] [CrossRef]
- Tarigan, S.I.; Toth, S.; Szalai, M.; Kiss, J.; Turoczi, G.; Toepfer, S. Biological control properties of microbial plant biostimulants. A review. Biocontrol Sci. Technol. 2022, 32, 1351–1371. [Google Scholar] [CrossRef]
- Contreras-Cornejo, H.A.; Marcías-Rodrígeuez, L.; del-Val, E.; Larsen, J. Ecological functions of Trichoderma spp. and their secondary metabolites in the rhizosphere: Interactions with plants. FEMS Microbiol. Ecol. 2016, 92, fiw036. [Google Scholar] [CrossRef]
- Available online: https://ec.europa.eu/food/plant/pesticides/eu-pesticides-database/start/screen/active-substancesions (accessed on 23 February 2024).
- Felmann, F.; Idczak, E. Inoculum production of vesicular-arbuscular mycorrhizal fungi for use in tropical nurseries. In Methods in Microbiology; Harwood, C., Ed.; Elsevier: Amsterdam, The Netherlands, 1992; pp. 339–357. [Google Scholar]
- Vierheilig, H.; Coughlan, A.P.; Wyss, U.; Piché, Y. Ink and vinegar, a simple staining technique for arbuscular-mycorrhizal fungi. Appl. Environ. Microbiol. 1998, 64, 5004–5007. [Google Scholar] [CrossRef] [PubMed]
- Giovannetti, M.; Mosse, B. An evaluation of techniques for measuring vesicular-arbuscular mycorrhizal infection in roots. New Phytol. 1980, 84, 489–500. [Google Scholar] [CrossRef]
- Elad, Y.; Chet, I. Improved selective media for isolation of Trichoderma spp. or Fusarium spp. Phytoparasitica 1983, 11, 55–58. [Google Scholar] [CrossRef]
- Habig, W.H.; Pabst, M.J.; Jakoby, W.B. Glutathione S-transferases. The first enzymatix step in mercapturic acid formation. J. Biol. Chem. 1974, 249, 7130–7139. [Google Scholar] [CrossRef]
- Meddad-Hamza, A.; Benzina, F.; Meddad, C.; Hamza, N.; Reghmit, A.; Ziane, H.; Ksentini, H. Biological control of arbuscular mycorrhizal fungi and Trichoderma harzianum against Fusarium oxysporum and Verticillium dahliae induced wilt in tomato plants. Egypt. J. Biol. Pest Control 2023, 33, 91. [Google Scholar] [CrossRef]
- Mwangi, M.W.; Monda, E.O.; Okoth, S.A.; Jefwa, J.M. Inoculation of tomato seedlings with Trichoderma harzianum and Arbuscular Mycorrhizal Fungi and their effect on growth and control of wilt in tomato seedlings. Braz. J. Microbiol. 2011, 42, 508–513. [Google Scholar] [CrossRef]
- Martinez, A.; Obertello, M.; Pardo, A.; Godea, A. Interactions between Trichoderma pseudokoningii strains and the arbuscular mycorrhizal fungi Glomus mosseae and Gigaspora rosea. Mycorrhiza 2004, 14, 79–84. [Google Scholar] [CrossRef]
- Metwally, R.A.; Al-Amri, S.M. Individual and interactive role of Trichoderma viride and arbuscular mycorrhizal fungi on growth and pigment content of onion plants. Lett. Appl. Microbiol. 2020, 70, 79–86. [Google Scholar] [CrossRef] [PubMed]
- Metwally, R.A.; Soliman, S.A.; Lafet, A.A.H.A.; Abdelhameed, R.E. The individual and interactive role of arbuscular mycorrhizal fungi and Trichoderma viridae on growth, protein content, amino acids fractionation, and phosphatases enzyme activities of onion plants amended with fish waste. Ecotoxicol. Environ. Saf. 2021, 214, 112072. [Google Scholar] [CrossRef]
- Iula, G.; Miras-Moreno, B.; Lucini, L.; Trevisan, M. The Mycorrhiza-and Trichoderma-Mediated Elicitation of Secondary Metabolism and Modulation of Phytohormone Profile in Tomato Plants. Horticulturae 2021, 7, 394. [Google Scholar] [CrossRef]
- Wang, Y.; Liu, Y.; He, B.; Li, M.; Lin, X.; Wu, F.; Hu, J. Screening of Streptomyces strains helping arbuscular mycorrhizal symbiosis against pepper (Capsicum annuum L.) Phytophthora blight. Pedosphere 2024, 34, 438–446. [Google Scholar] [CrossRef]
- Ousley, M.A.; Lynch, J.M.; Whipps, J.M. Potential of Trichoderma spp. as consistent plant growth stimulators. Biol. Fertil. Soils 1994, 17, 85–90. [Google Scholar] [CrossRef]
- Stewart, A.; Hill, R. Applications of Trichoderma in Plant Growth Promotion. In Biotechnology and Biology of Trichoderma; Gupta, V.K., Schmoll, M., Herrera-Estrella, A., Upadhyay, R.S., Druzhinina, I., Tuohy, M.G., Eds.; Elsevier: Amsterdam, The Netherlands, 2014; pp. 415–418. [Google Scholar] [CrossRef]
- Pozo, M.J.; Zabalgogeazcoa, I.; Vazquez de Aldana, B.R.; Martinez-Medina, A. Untapping the potential of plant mycobiomes for applications in agriculture. Curr. Opin. Plant Biol. 2021, 60, 102034. [Google Scholar] [CrossRef]
- Yang, T.; Tedersoo, L.; Liu, X.; Gao, G.-F.; Dong, K.; Adams, J.M.; Chu, H. Fungi stabilize multi-kingdom community in a high elevation timberline ecosystem. iMeta 2022, 1, e49. [Google Scholar] [CrossRef]
- García-Sánchez, M.; Palma, J.M.; Ocampo, J.A.; García-Romera, I.; Aranda, E. Arbuscular mycorrhizal fungi alleviate oxidative stress induced by ADOR and enhance antioxidant responses of tomato plants. J. Plant Physiol. 2014, 171, 421–428. [Google Scholar] [CrossRef]
- Estévez, I.H.; Hernández, M.R. Plant Glutathione S-transferases: An overview. Plant Gene 2020, 23, 100233. [Google Scholar] [CrossRef]
- Liu, D.; Liu, Y.; Rao, J.; Wang, G.; Li, H.; Ge, F.; Chen, C. Overexpresssion of the glutathione S transferase Gene from Pyrus pyrifolia fruit improves tolerance to abiotic stress in transgenic tobacco plants. Mol. Biol. 2013, 47, 515–523. [Google Scholar] [CrossRef]
- Mayer, Z.; Dug, N.H.; Sasvári, Z.; Posta, K. How arbuscular mycorrhizal fungi influence the defense system of sunflower during different abiotic stresses. Acta Biol. Gungarica 2017, 68, 376–387. [Google Scholar] [CrossRef]
- Chen, S.; Yan, Y.; Wang, Y.; Wu, M.; Mao, Q.; Chen, Y.; Ren, J.; Liu, A.; Lin, X.; Ahammed, G. Trichoderma asperellum reduces phoxim residue in roots by promoting plant detoxification potential in Solanum lycopersicum L. Environ. Pollut. 2020, 259, 113893. [Google Scholar] [CrossRef] [PubMed]
- Ahsan, T.; Chen, J.; Zhao, X.; Irfan, M.; Wu, Y. Exometabolomix study of extracellular metabolites is tobacco plant induced by ethyl acetate extracts of Streptomyces diastatochromogenes KX852460. J. Radiat. Res. Appl. Sci. 2019, 12, 157–165. [Google Scholar] [CrossRef]
- El-Skarkawy, H.H.A.; Rashad, Y.M.; Elazab, N.T. Induction of multiple defense responses in wheat plants against stripe rust using mycorrhizal fungi and Streptomyces viridosporus HH1. Biocontrol 2023, 68, 525–535. [Google Scholar] [CrossRef]
- Rashad, Y.M.; Al-Askar, A.A.; Ghoneem, K.M.; Saber, W.; Hafez, E.E. Chitinolytic Streptomyces griseorubens E44G enhances the biocontrol efficacy against Fusarium wilt disease of tomato. Phytoparasitica 2017, 45, 227–237. [Google Scholar] [CrossRef]
- Rashad, Y.M.; Moussa, T.A.A. Biocontrol agents for fungal plant diseases management. In Cottage Industry of Biocontrol Agents and Their Applications: Practical Aspects to Deal Biologically with Pests and Stresses Facing Strategic Crops; El-Wakeil, N., Saleh, M., Abu-hashim, M., Eds.; Springer International Publishing: Cham, Switzerland, 2020; pp. 337–363. [Google Scholar]
- Harir, M.; Bendif, H.; Bellahcene, M.; Fortas, Z.; Pogni, R. Streptomyces Secondary Metabolites. In Basid Biology and Applications of Actinobacteria; Enany, S., Ed.; IntechOpen: London, UK, 2018; pp. 99–122. [Google Scholar] [CrossRef]
- Szczałba, M.; Kopta, T.; Gąstoł, M.; Sękara, A. Comprehensive insight into arbuscular mycorrhizal fungi, Trichoderma spp. and plant multilevel interactions with emphasis on biostimulation of horticultural crops. J. Appl. Microbiol. 2019, 127, 630–647. [Google Scholar] [CrossRef]
Disclaimer/Publisher’s Note: The statements, opinions and data contained in all publications are solely those of the individual author(s) and contributor(s) and not of MDPI and/or the editor(s). MDPI and/or the editor(s) disclaim responsibility for any injury to people or property resulting from any ideas, methods, instructions or products referred to in the content. |
© 2024 by the authors. Licensee MDPI, Basel, Switzerland. This article is an open access article distributed under the terms and conditions of the Creative Commons Attribution (CC BY) license (https://creativecommons.org/licenses/by/4.0/).




