Structure Optimization of Gliding Arc Electrodes for Seed Treatment Based on the Study of Plasma Distribution Characteristics
Abstract
1. Introduction
2. Materials and Methods
2.1. Source of Plasma Production
2.2. Design of Electrode Structure
2.3. Experiment Design of Plasma Distribution Characteristics
2.3.1. Experimental Design of Electrode Shape
2.3.2. Experimental Design of Discharge Distance and Electrode Opening Angle
2.4. Dimensional Characterization of Plasma Distribution
2.5. Seed Germination Method
3. Results and Analysis
3.1. Effect of the Electrode Shape on the Plasma Distribution
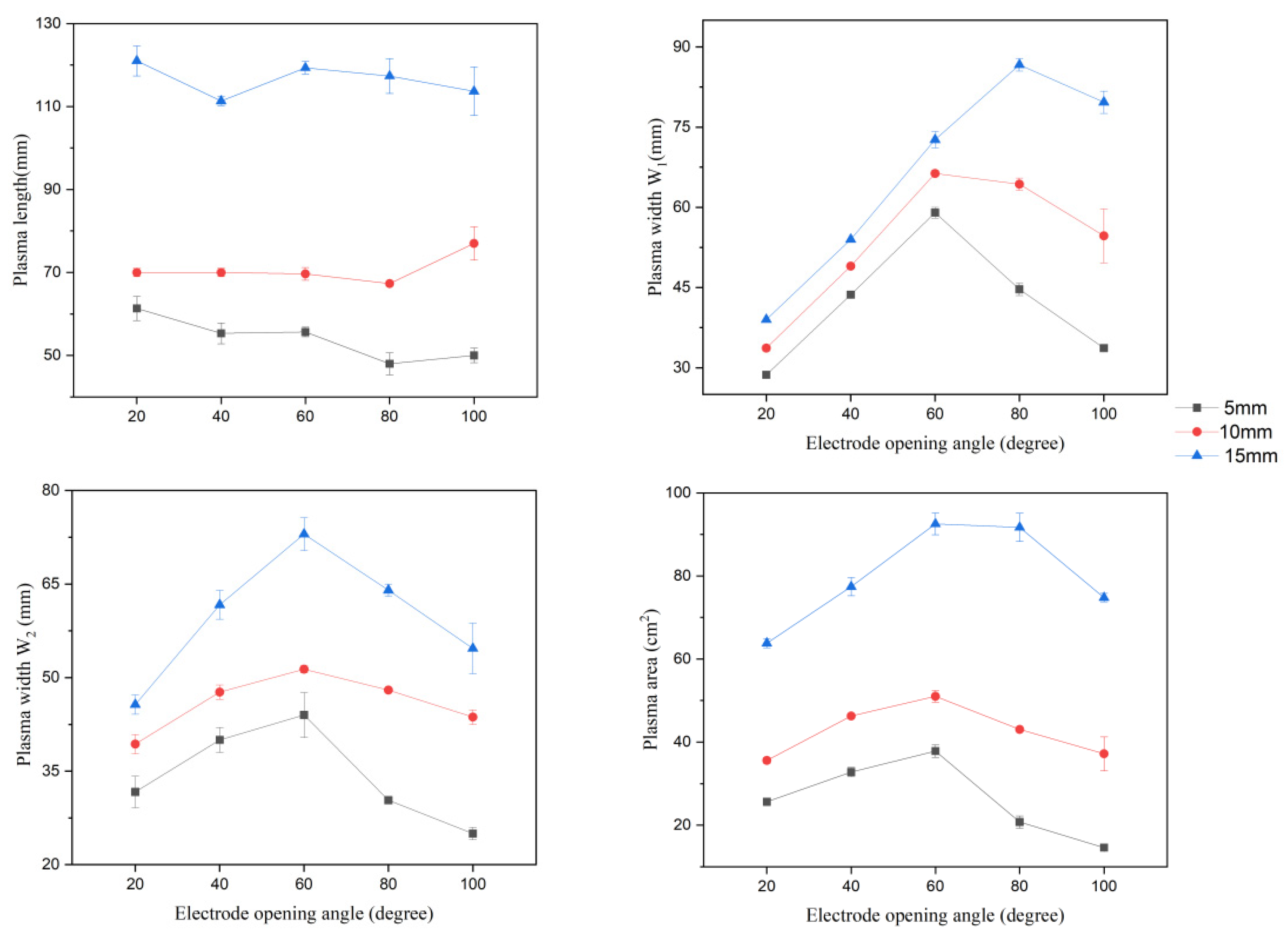
3.2. Effect of Discharge Distance and Electrode Opening Angle on the Plasma Distribution
3.3. Effect of Interaction between Discharge Distance and Electrode Opening Angle on Plasma Distribution
3.4. Results and Analysis of the Plasma Seed Treatment Test
4. Discussion
5. Conclusions
- Electrode structure optimization is an important method for improving the treatment space of gliding arc plasma. Based on the dimensional characterization of plasma distribution, the influence of electrode structure such as electrode size, electrode shape, discharge distance, and electrode opening angle on the gliding arc plasma was studied. Comparing the three electrode shapes, it was found that the triangular electrode had the best gliding arc guiding ability.
- According to the dimensional characteristic test of plasma distribution, the discharge distance is an important factor affecting the plasma length, and the electrode opening angle is an important parameter regulating the plasma width. When the input parameters of plasma power supply are determined, the reasonable matching of the discharge distance and electrode opening angle is an effective way to improve the gliding arc guiding ability of the discharge electrode.
- This study has established a regression model between discharge distance, electrode opening angle, and plasma dimensions (L, W1, W2, Aera). The triangular electrode structure is optimized as follows: the discharge distance is 15mm and the electrode open angle is 76°. At this point, the electrode structure parameters of the plasma seed treatment are matched to achieve the best processing capacity.
Author Contributions
Funding
Institutional Review Board Statement
Data Availability Statement
Acknowledgments
Conflicts of Interest
References
- Shelar, A.; Nile, S.H.; Singh, A.V.; Dirk, R.; Bill, J.; Xiao, J.B.; Chaskar, M.; Kai, G.Y.; Patil, R. Recent Advances in Nano-Enabled Seed Treatment Strategies for Sustainable Agriculture: Challenges, Risk Assessment, and Future Perspectives. Nano-Micro Lett. 2023, 15, 54. [Google Scholar] [CrossRef]
- Rongsangchaicharean, T.; Srisonphan, S.; Onwimol, D. Responses of Rice Seed Quality to Large-Scale Atmospheric Nonthermal Plasmas. Plasma Chem. Plasma Process. 2022, 42, 1127–1141. [Google Scholar] [CrossRef]
- Yang, W.G.; Liu, P.P.; Yuan, G.X.; Mao, P.S.; Qi, D.M.; Dong, X.B.; Liu, H.; Li, X.X.; Liu, G.S. Effects of germplasm and changing temperature on seed germination of Leymus chinensis. Acta Pratacult. Sin. 2018, 27, 103–111. [Google Scholar]
- Nile, S.H.; Thiruvengadam, M.; Wang, Y.; Samynathan, R.; Shariati, M.A.; Rebezov, M.; Nile, A.; Sun, M.; Venkidasamy, B.; Xiao, J.B.; et al. Nano-priming as emerging seed priming technology for sustainable agriculture—Recent developments and future perspectives. J. Nanobiotechnol. 2022, 20, 254. [Google Scholar] [CrossRef] [PubMed]
- Ussenov, Y.A.; Akildinova, A.; Kuanbaevich, B.A.; Serikovna, K.A.; Gabdullin, M.; Dosbolayev, M.; Daniyarov, T.; Ramazanov, T. The Effect of Non-Thermal Atmospheric Pressure Plasma Treatment of Wheat Seeds on Germination Parameters and α-Amylase Enzyme Activity. IEEE Trans. Plasma Sci. 2022, 50, 330–340. [Google Scholar] [CrossRef]
- Barjasteh, A.; Lamichhane, P.; Dehghani, Z.; Kaushik, N.; Gupta, R.; Choi, E.H.; Kaushik, N.K. Recent Progress of Non-thermal Atmospheric Pressure Plasma for Seed Germination and Plant Development: Current Scenario and Future Landscape. J. Plant Growth Regul. 2023, 42, 5417–5432. [Google Scholar] [CrossRef]
- Hendeniya, N.; Sandanuwan, T.; Amarasinghe, D.A.S.; Attygalle, D.; Weragoda, S.C.; Ranaweera, B.; Rathnayake, K.; Lalanka, M. Atmospheric Pressure Plasma Treatment as a Cost-Effective and Eco-Friendly pretreatment Method to Enhance Seed Perfomance in Germination and Early Seedling Growth. In Proceedings of the 2021 Moratuwa Engineering Research Conference (MERCon), Moratuwa, Sri Lanka, 27–29 July 2021; IEEE: Piscataway, NJ, USA, 2021; pp. 643–648. [Google Scholar]
- Krishnasamy, R.; Natesh, R.; Obbineni, J.M. Efficient ROS Scavenging Improves the Growth and Yield in Black Gram (Vigna mungo (L.) Hepper) after Seed Priming and Treatment using Biosynthesized Silver Nanoparticles with Pongamia pinnata (L.) Pierre Leaf Extract. J. Plant Growth Regul. 2024, 43, 2422–2438. [Google Scholar] [CrossRef]
- Velichko, I.; Gordeev, I.; Shelemin, A.; Nikitin, D.; Brinar, J.; Pleskunov, P.; Choukourov, A.; Pazderu, K.; Pulkrábek, J. Plasma Jet and Dielectric Barrier Discharge Treatment of Wheat Seeds. Plasma Chem. Plasma Process. 2019, 39, 913–928. [Google Scholar] [CrossRef]
- Terebun, P.; Kwiatkowski, M.; Starek, A.; Reuter, S.; Mok, Y.S.; Pawlat, J. Impact of Short Time Atmospheric Plasma Treatment on Onion Seeds. Plasma Chem. Plasma Process. 2021, 41, 559–571. [Google Scholar] [CrossRef]
- Mildaziene, V.; Ivankov, A.; Sera, B.; Baniulis, D. Biochemical and Physiological Plant Processes Affected by Seed Treatment with Non-Thermal Plasma. Plants 2022, 11, 856. [Google Scholar] [CrossRef]
- Bafoil, M.; Yousfi, M.; Dunand, C.; Merbahi, N. Effects of Dielectric Barrier Ambient Air Plasma on Two Brassicaceae Seeds: Arabidopsis thaliana and Camelina sativa. Int. J. Mol. Sci. 2021, 22, 9923. [Google Scholar] [CrossRef]
- Ahmed, N.; Masood, A.; Mumtaz, R.; Wee, M.F.M.R.; Chan, K.M.; Patra, A.; Siow, K.S. Quad-atmospheric Pressure Plasma Jet (q-APPJ) Treatment of Chilli Seeds to Stimulate Germination. Plasma Chem. Plasma Process. 2024, 44, 509–522. [Google Scholar] [CrossRef]
- Sery, M.; Zahoranová, A.; Kerdík, A.; Será, B. Seed Germination of Black Pine (Pinus nigra Arnold) After Diffuse Coplanar Surface Barrier Discharge Plasma Treatment. IEEE Trans. Plasma Sci. 2020, 48, 939–945. [Google Scholar] [CrossRef]
- Waskow, A.; Howling, A.; Furno, I. Mechanisms of Plasma-Seed Treatments as a Potential Seed Processing Technology. Front. Phys. 2021, 9, 617345. [Google Scholar] [CrossRef]
- Le, T.Q.X.; Nguyen, L.N.; Nguyen, T.T.; Choi, E.H.; Nguyen, Q.L.; Kaushik, N.K.; Dao, N.T. Effects of Cold Plasma Treatment on Physical Modification and Endogenous Hormone Regulation in Enhancing Seed Germination and Radicle Growth of Mung Bean. Appl. Sci. 2022, 12, 10308. [Google Scholar] [CrossRef]
- Svubová, R.; Kyzek, S.; Medvecká, V.; Slováková, L.; Gálová, E.; Zahoranová, A. Novel insight at the Effect of Cold Atmospheric Pressure Plasma on the Activity of Enzymes Essential for the Germination of Pea (Pisum sativum L. cv. Prophet) Seeds. Plasma Chem. Plasma Process. 2020, 40, 1121–1240. [Google Scholar] [CrossRef]
- Attri, P.; Koga, K.; Okumura, T.; Shiratani, M. Impact of atmospheric pressure plasma treated seeds on germination, morphology, gene expression and biochemical responses. Jpn. J. Appl. Phys. 2021, 60, 040502. [Google Scholar] [CrossRef]
- Supakitthanakorn, S.; Ruangwong, O.U.; Sawangrat, C.; Srisuwan, W.; Boonyawan, D. Potential of Nonthermal Atmospheric-Pressure Dielectric Barrier Discharge Plasma for Inhibition of Athelia rolfsii Causing Southern Blight Disease in Lettuce. Agriculture 2023, 13, 167. [Google Scholar] [CrossRef]
- Pizá, M.C.P.; Prevosto, L.; Zilli, C.; Cejas, E.; Kelly, H.; Balestrasse, K. Effects of non-thermal plasmas on seed-borne Diaporthe/Phomopsis complex and germination parameters of soybean seeds. Innov. Food Sci. Emerg. Technol. 2018, 49, 82–91. [Google Scholar] [CrossRef]
- Roshan, C.; Prabin, B.; Sangat, S.; Suresh, B.; Deepak, P.S.; Raju, K. Enhancement of wheat yield by atmospheric pressure plasma treatment. AIP Adv. 2023, 13, 065104. [Google Scholar] [CrossRef]
- Mekarun, J.; Watthanaphanit, A. In-situ plasma treatment of tomato and rice seeds in-liquid to promote seed germination and seedling growth. Plasma Process. Polym. 2022, 19, e2100238. [Google Scholar] [CrossRef]
- Feng, J.K.; Wang, D.C.; Shao, C.Y.; Zhang, L.L.; Tang, X. Effects of cold plasma treatment on alfalfa seed growth under simulated drought stress. Plasma Sci. Technol. 2018, 20, 133–139. [Google Scholar] [CrossRef]
- Wang, M.; Yang, S.Z.; Chen, Q.Y.; Gao, L.H.; Chen, G.L.; Liu, X.J. Effects of atmospheric pressure plasma on seed germination and seedling growth of cucumber. Trans. CSAE 2007, 23, 195–200, (In Chinese with English Abstract). [Google Scholar]
- Vlasta, S.; Pavel, S.; Jakub, K.; Jan, P.; Milan, S.; Monika, S.; Jana, J.; Mirko, C. Atmospheric pressure plasma treatment of agricultural seeds of cucumber (Cucumis sativus L.) and pepper (Capsicum annuum L.) with effect on reduction of diseases and germination improvement. Plasma Process. Polym. 2018, 15, e1700076. [Google Scholar] [CrossRef]
- Brust, H.; Nishime TM, C.; Wannicke, N.; Mui TS, M.; Horn, S.; Quade, A.; Weltmann, K.D. A medium-scale volume dielectric barrier discharge system for short-term treatment of cereal seeds indicates improved germination performance with long-term effects. J. Appl. Phys. 2021, 129, 044904. [Google Scholar] [CrossRef]
- Singh, R.; Kishor, R.; Singh, V.; Singh, V.; Prasad, P.; Aulakh, N.S.; Tiwari, U.K.; Kumar, B. Radio-frequency (RF) room temperature plasma treatment of sweet basil seeds (Ocimum basilicum L.) for germination potential enhancement by immaculation. J. Appl. Res. Med. Aromat. Plants 2022, 26, 100350. [Google Scholar] [CrossRef] [PubMed]
- Priatama, R.A.; Pervitasari, A.N.; Park, S.; Park, S.J.; Lee, Y.K. Current Advancements in the Molecular Mechanism of Plasma Treatment for Seed Germination and Plant Growth. Int. J. Mol. Sci. 2022, 23, 4609. [Google Scholar] [CrossRef]
- Waskow, A.; Avino, F.; Howling, A.; Furno, I. Entering the plasma agriculture field: An attempt to standardize protocols for plasma treatment of seeds. Plasma Process. Polym. 2022, 19, e2100152. [Google Scholar] [CrossRef]
- Teerakawanich, N.; Kasemsuwan, V.; Jitkajornwanich, K.; Kanokbannakorn, W.; Srisonphan, S. Microcorona Discharge-Mediated Nonthermal Atmospheric Plasma for Seed Surface Modification. Plasma Chem. Plasma Process. 2018, 38, 817–830. [Google Scholar] [CrossRef]
- Yan, Y.F.; Han, S.Q.; Song, Z.H.; Li, F.D.; Zhang, C.Q.; Zhang, X.H.; Song, H.L. Effects of frequency and voltage of high voltage pulsed electric field on improving vigor of aged cotton seed. Trans. Chin. Soc. Agric. Eng. 2017, 33, 310–314, (In Chinese with English Abstract). [Google Scholar]
- Starič, P.; Grobelnik Mlakar, S.; Junkar, I. Response of Two Different Wheat Varieties to Glow and Afterglow Oxygen Plasma. Plants 2021, 10, 1728. [Google Scholar] [CrossRef]
- Holc, M.; Gselman, P.; Primc, G.; Vesel, A.; Mozetič, M.; Recek, N. Wettability and Water Uptake Improvement in Plasma-Treated Alfalfa Seeds. Agriculture 2022, 12, 96. [Google Scholar] [CrossRef]
- Brandenburg, R. Dielectric Barrier Discharges: Progress on Plasma Sources and on the Understanding of Regimes and Single Filaments. Plasma Sources Sci. Technol. 2017, 26, 053001. [Google Scholar] [CrossRef]
- Ďurčányová, S.; Slováková, Ľ.; Klas, M.; Tomeková, J.; Ďurina, P.; Stupavská, M.; Kováčik, D.; Zahoranová, A. Efficacy comparison of three atmospheric pressure plasma sources for soybean Seed treatment: Plasma characteristics, seed properties, germination. Plasma Chem. Plasma Process. 2023, 43, 1863–1885. [Google Scholar] [CrossRef]
- Mazandarani, A.; Goudarzi, S.; Ghafoorifard, H.; Eskandari, A. Evaluation of DBD Plasma Effects on Barley Seed Germination and Seedling Growth. IEEE Trans. Plasma Sci. 2020, 48, 3115–3121. [Google Scholar] [CrossRef]
- Rabinovich, A.; Nirenberg, G.; Kocagoz, S.; Surace, M.; Sales, C.; Fridman, A. Scaling Up of Non-Thermal Gliding Arc Plasma Systems for Industrial Applications. Plasma Chem. Plasma Process. 2017, 27, 35–50. [Google Scholar] [CrossRef]
- Píchal, J.; Cerman, J.; Šourková, H.; Špatenka, P. Plasma pretreatment of polypropylene surface for industrial purposes. Mater. Manuf. Process. 2022, 37, 1483–1489. [Google Scholar] [CrossRef]
- Liu, C.C.; Cui, J.F.; Zhang, D.; Tang, H.W.; Gong, B.; Zu, S.X.; Zhong, C.S. Decontamination of infected plant seeds utilizing atmospheric gliding arc discharge plasma treatment. Plasma Sci. Technol. 2021, 23, 105501. [Google Scholar] [CrossRef]
- Lewis, A.J.; Joyce, T.; Hadaya, M.; Ebrahimi, F.; Dragiev, I.; Giardetti, N.; Yang, J.C.; Fridman, G.; Rabinovich, A.; Fridman, A.A.; et al. Rapid degradation of PFAS in aqueous solutions by reverse vortex flow gliding arc plasma. Environ. Sci. Water Res. Technol. 2020, 6, 1044–1057. [Google Scholar] [CrossRef]
- Será, B.; Vanková, R.; Rohácek, K.; Sery, M. Gliding Arc Plasma Treatment of Maize (Zea mays L.) Grains Promotes Seed Germination and Early Growth, Affecting Hormone Pools, but Not Significantly Photosynthetic Parameters. Agronomy 2021, 11, 2066. [Google Scholar] [CrossRef]
- Roy, N.C.; Hasan, M.M.; Kabir, A.H.; Reza, M.A.; Talukder, M.R.; Chowdhury, A.N. Atmospheric pressure gliding arc discharge plasma treatments for improving germination, growth and yield of wheat. Plasma Sci. Technol. 2018, 20, 115501. [Google Scholar] [CrossRef]
- Gharagozalian, M.; Dorranian, D.; Ghoranneviss, M. Water treatment by the AC gliding arc air plasma. J. Theor. Appl. Phys. 2017, 11, 171–180. [Google Scholar] [CrossRef]
- Zhang, R.B.; Luo, G.; Huang, H.C.; Li, S.; Fu, Y.Q.; Jiang, Y.Z. Influence of Electrode Structure on the Dimension Parameters of Gliding Arc Discharge Plasma. High Volt. Eng. 2019, 45, 3357–3364, (In Chinese with English Abstract). [Google Scholar]
- Li, L.; Zhang, H.; Li, X.D.; Huang, J.Y.; Kong, X.Z.; Xu, R.Y.; Tu, X. Magnetically enhanced gliding arc discharge for CO2 activation. J. CO2 Util. 2020, 35, 28–37. [Google Scholar] [CrossRef]
- Zheng, Q.Y.; Li, L.Y.; Xue, Z.H.; Liu, Y.B.; Zang, D.H.; Wang, Z.F.; Qu, H.W.; Yin, J.X.; Wang, L.D. Plasma Agricultural Nitrogen Fixation Using Clean Energies: New Attempt of Promoting PV Absorption in Rural Areas. Processes 2023, 11, 2030. [Google Scholar] [CrossRef]
- Sharma, S.; Chalise, R.; Basnet, S.; Lamichhane, H.P.; Khanal, R. Development of a low-cost plasma source using fly-back transformer for atmospheric pressure gliding arc discharge. Phys. Plasmas 2024, 31, 043509. [Google Scholar] [CrossRef]
- Suriyasak, C.; Hatanaka, K.; Tanaka, H.; Okumura, T.; Yamashita, D.; Attri, P.; Koga, K.; Shiratani, M.; Hamaoka, N.; Ishibashi, Y. Alterations of DNA Methylation Caused by Cold Plasma Treatment Restore Delayed Germination of Heat-Stressed Rice (Oryza sativa L.) Seeds. Am. Chem. Soc. Agric. Sci. Technol. 2021, 1, 5–10. [Google Scholar] [CrossRef]
- Gómez-Ramírez, A.; López-Santos, C.; Cantos, M.; Garcia, J.L.; Molina, R.; Cotrino, J.; Espinos, J.P.; Gonzalez-Elipe, A.R. Surface chemistry and germination improvement of Quinoa seeds subjected to plasma activation. Sci. Rep. 2017, 7, 5924. [Google Scholar] [CrossRef]
- Wang, X.Q.; Zhou, R.W.; Groot Gd Bazaka, K.; Murphy, A.B.; Ostrikov, K. Spectral characteristics of cotton seeds treated by a dielectric barrier discharge plasma. Sci. Rep. 2017, 7, 5601. [Google Scholar] [CrossRef]
- Misnal, M.F.I.; Redzuan, N.; Zainal, M.N.F.; Ibrahim, R.K.R.; Ahmad, N.; Agun, L. Emerging cold plasma treatment on rice grains: A mini review. Chemosphere 2021, 274, 129972. [Google Scholar] [CrossRef]
- Los, A.; Ziuzina, D.; Boehm, D.; Cullen, P.J.; Bourke, P. Investigation of mechanisms involved in germination enhancement of wheat (Triticum aestivum) by cold plasma: Effects on seed surface chemistry and characteristics. Plasma Process. Polym. 2019, 16, e1800148. [Google Scholar] [CrossRef]
- Feizollahi, E.; Iqdiam, B.; Vasanthan, T.; Thilakarathna, M.S.; Roopesh, M.S. Effects of Atmospheric-Pressure Cold Plasma Treatment on Deoxynivalenol Degradation, Quality Parameters, and Germination of Barley Grains. Appl. Sci. 2020, 10, 3530. [Google Scholar] [CrossRef]
- Ji, S.H.; Kim, T.; Panngom, K.; Hong, Y.J.; Pengkit, A.; Park, D.H.; Kang, M.H.; Lee, S.H.; Im, J.S.; Kim, J.S.; et al. Assessment of the Effects of Nitrogen Plasma and Plasma-Generated Nitric Oxide on Early Development of Coriandum sativum. Plasma Process Polym. 2015, 12, 1164–1173. [Google Scholar] [CrossRef]
- Guo, Q.; Meng, Y.R.; Qu, G.Z.; Wang, T.C.; Yang, F.N.; Liang, D.L.; Hu, S.B. Improvement of wheat seed vitality by dielectric barrier discharge plasma treatment. Bioelectromagnetics 2018, 39, 120–131. [Google Scholar] [CrossRef] [PubMed]
- Kanazawa, S.; Kogoma, M.; Moriwaki, T.; Okazaki, S. Stable glow plasma at atmospheric pressure. J. Phys. D Appl. Phys. 1988, 21, 838–840. [Google Scholar] [CrossRef]
- Wang, X.X.; Li, C.R. Review of homogenous dielectric barrier discharge in nitrogen at atmospheric pressure. High Volt. Eng. 2011, 37, 1405–1415, (In Chinese with English Abstract). [Google Scholar]









| References | Electrical Characteristics | Discharge Electrode | Significant Findings |
|---|---|---|---|
| Our preliminary work [39] | Peak-to-peak voltage = 40 kV Power = 270 W | Circular electrode Radius = 23 mm | Seed surface temperature <63 °C |
| Gharagozalian, M., et al. [43] | Peak-to-peak voltage = 15 kV | Circular electrode Radius = 40 mm | Active substances include OH; plasma temperature = 0.2 eV |
| Zhang, R.B., et al. [44] | Power = 130 W Peak-to-peak voltage = 12 kV Discharge period = 10 ms | Rod electrodes Length = 10, 20, 30, 40, 50 mm | The electrode length can affect the plasma size |
| Li, L., et al. [45] | 0.34–2.46 kV, 209.2–236.4 mA Discharge period = 22 ms | Elliptic electrode Length = 17 mm | Plasma length = 70 mm |
| Zheng, Q.Y., et al. [46] | Peak-to-peak voltage = 13 kV peak current = 1–2 A Discharge period = 10.1–48.5 ms | Triangular electrode Length = 170 mm | Increasing electrode length can increase plasma power |
| Sharma, S., et al. [47] | Peak-to-peak voltage = 26 kV 5.28–6.39 mA Power = 8.55–18.34 W | Rod electrodes Gas gap = 139 mm | Plasma temperature = 1.19−1.36 eV; electron density = 0.66 × 1017−4.85 × 1017 cm−3 |
| Electrode Shape | Plasma Dimensions | Electrode Size | ||||
|---|---|---|---|---|---|---|
| 20 mm | 30 mm | 40 mm | 50 mm | 60 mm | ||
| Circular electrode | L | 101 ± 2.0 | 111 ± 3.5 | 113 ± 1.2 | 120 ± 0.6 | 121 ± 1.2 |
| W1 | 57 ± 0.6 | 65 ± 0.9 | 71 ± 0.9 | 77 ± 0.9 | 82 ± 1.2 | |
| W2 | 51 ± 0.6 | 58 ± 1.3 | 61 ± 2.8 | 66 ± 0.7 | 63 ± 1.7 | |
| Area | 52 ± 1.1 | 68 ± 1.3 | 73 ± 2.0 | 83 ± 0.6 | 86 ± 0.6 | |
| Elliptic electrode | L | 115 ± 0.7 | 116 ± 1.7 | 116 ± 1.9 | 120 ± 1.5 | 105 ± 0.9 |
| W1 | 56 ± 0.3 | 70 ± 0.6 | 83 ± 0.6 | 88 ± 1.0 | 91 ± 0.9 | |
| W2 | 56 ± 65 | 65 ± 1.2 | 65 ± 2.0 | 65 ± 1.5 | 60 ± 1.2 | |
| Area | 64 ± 1.0 | 78 ± 1.4 | 93 ± 2.5 | 104 ± 2.0 | 104 ± 2.1 | |
| Triangular electrode | L | 107 ± 1.6 | 107 ± 3.3 | 118 ± 0.4 | 114 ± 0.5 | 120 ± 1.7 |
| W1 | 48 ± 1.0 | 60 ± 0.6 | 73 ± 1.3 | 86 ± 0.29 | 101 ± 0.18 | |
| W2 | 57 ± 1.7 | 63 ± 2.4 | 66 ± 0.4 | 80 ± 2.4 | 80 ± 1.5 | |
| Area | 61 ± 1.8 | 70 ± 0.6 | 92 ± 2.0 | 103 ± 2.7 | 131 ± 2.7 | |
| Plasma Length (L) | Plasma Width (W1) | Plasma Width (W2) | Plasma Area (Area) | |||||
|---|---|---|---|---|---|---|---|---|
| F-Value | p-Value | F-Value | p-Value | F-Value | p-Value | F-Value | p-Value | |
| Model | 44.19 | 0.0004 | 52.70 | 0.0003 | 18.24 | 0.0032 | 137.03 | <0.0001 |
| d | 197.51 | <0.0001 | 70.65 | 0.0004 | 53.66 | 0.0007 | 538.27 | <0.0001 |
| θ | 0.1427 | 0.7211 | 59.22 | 0.0006 | 0.2450 | 0.6416 | 0.0920 | 0.7739 |
| dθ | 0.5481 | 0.4924 | 24.30 | 0.0044 | 3.31 | 0.1287 | 18.25 | 0.0079 |
| d2 | 18.31 | 0.0079 | 0.0037 | 0.9539 | 0.9114 | 0.3836 | 48.36 | 0.0009 |
| θ2 | 0.7948 | 0.4135 | 101.88 | 0.0002 | 33.63 | 0.0021 | 109.95 | 0.0001 |
| R2 | 0.9779 | 0.9814 | 0.9480 | 0.9879 | ||||
| Plasma Treatment Time/(s) | Seed Germination/(%) | T50 | Germination Index |
|---|---|---|---|
| 0 | 15 ± 1.3 | 10.7 ± 1.2 | 9.5 ± 3.5 |
| 10 | 20 ± 1.3 | 10 ± 5.0 | 10.7 ± 3.4 |
| 20 | 18 ± 2.3 | 11 ± 4.4 | 9.5 ± 5.2 |
| 30 | 14 ± 1.1 | 14 ± 4.6 | 5.1 ± 1.4 |
| 40 | 13 ± 4.4 | 13 ± 1.7 | 6.1 ± 1.5 |
| 50 | 15 ± 2.4 | 14 ± 5 | 5.2 ± 1.6 |
| References | Plasma Discharge Method | Power Consumption | Treatment Time | Technical Dimension (Reactor Capacity) |
|---|---|---|---|---|
| Wang, T.C., et al. [55] | Dielectric barrier discharge | 9–17 kV | 4 min | Diameter = 35 mm, 50 seeds |
| Sera, B., et al. [41] | Dielectric barrier discharge | 400 W | 1, 3, 5, 10, 30, 60 s | plasma region = 200 mm × 80 mm × 0.3 mm |
| Roy, N.C., et al. [42] | Glide arc discharge | 6 W | 3, 6, 9, 12, 15 min | Diameter = 20 mm |
| Liu, C.C., et al. [39] | Glide arc discharge | 270 W | 30, 90, 150, 210, 270 s | 50 seeds |
| Our work | Glide arc discharge | 270 W | 10, 20, 30, 40, 50 s | Plasma treatment width = 110 mm, seed continuous treatment |
Disclaimer/Publisher’s Note: The statements, opinions and data contained in all publications are solely those of the individual author(s) and contributor(s) and not of MDPI and/or the editor(s). MDPI and/or the editor(s) disclaim responsibility for any injury to people or property resulting from any ideas, methods, instructions or products referred to in the content. |
© 2024 by the authors. Licensee MDPI, Basel, Switzerland. This article is an open access article distributed under the terms and conditions of the Creative Commons Attribution (CC BY) license (https://creativecommons.org/licenses/by/4.0/).
Share and Cite
Hao, L.; You, Y.; Hui, Y.; Wang, D.; Shao, C. Structure Optimization of Gliding Arc Electrodes for Seed Treatment Based on the Study of Plasma Distribution Characteristics. Agriculture 2024, 14, 1379. https://doi.org/10.3390/agriculture14081379
Hao L, You Y, Hui Y, Wang D, Shao C. Structure Optimization of Gliding Arc Electrodes for Seed Treatment Based on the Study of Plasma Distribution Characteristics. Agriculture. 2024; 14(8):1379. https://doi.org/10.3390/agriculture14081379
Chicago/Turabian StyleHao, Linjie, Yong You, Yunting Hui, Decheng Wang, and Changyong Shao. 2024. "Structure Optimization of Gliding Arc Electrodes for Seed Treatment Based on the Study of Plasma Distribution Characteristics" Agriculture 14, no. 8: 1379. https://doi.org/10.3390/agriculture14081379
APA StyleHao, L., You, Y., Hui, Y., Wang, D., & Shao, C. (2024). Structure Optimization of Gliding Arc Electrodes for Seed Treatment Based on the Study of Plasma Distribution Characteristics. Agriculture, 14(8), 1379. https://doi.org/10.3390/agriculture14081379

