Numerical Simulation of Subaerial Granular Landslide Impulse Waves and Their Behaviour on a Slope Using a Coupled Smoothed Particle Hydrodynamics–Discrete Element Method
Abstract
1. Introduction
2. Numerical Simulation
2.1. Establishment of Numerical Model
2.2. Simulation Conditions
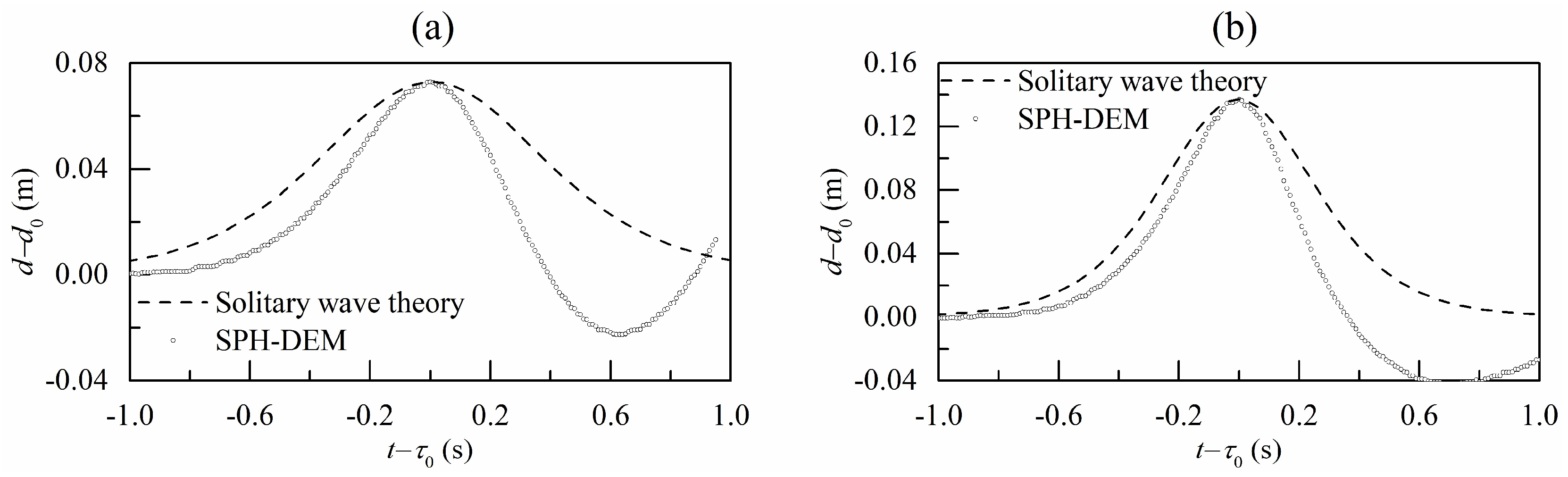
2.3. Validation
3. Results and Discussion
3.1. Slide Shape
3.2. Maximum Wave Amplitude
3.3. Waves Interaction with the Slope
3.3.1. Incident Wave Characteristics
3.3.2. Maximum Run-Up and Wave Force
4. Conclusions
Author Contributions
Funding
Institutional Review Board Statement
Informed Consent Statement
Data Availability Statement
Acknowledgments
Conflicts of Interest
References
- Huang, B.L.; Yin, Y.P.; Wang, S.C.; Chen, X.T.; Liu, G.L.; Jiang, Z.B.; Liu, J.Z. A physical similarity model of an impulsive wave generated by Gongjiafang landslide in Three Gorges Reservoir, China. Landslides 2014, 11, 513–525. [Google Scholar] [CrossRef]
- Huang, B.L.; Yin, Y.P.; Chen, X.T.; Liu, G.N.; Wang, S.C.; Jiang, Z.B. Experimental modeling of tsunamis generated by subaerial landslides: Two case studies of the Three Gorges Reservoir, China. Environ. Earth Sci. 2014, 71, 3813–3825. [Google Scholar]
- Liu, Y.R.; Wang, X.M.; Wu, Z.S.; He, Z.; Yang, Q. Simulation of landslide-induced surges and analysis of impact on dam based on stability evaluation of reservoir bank slope. Landslides 2018, 15, 2031–2045. [Google Scholar] [CrossRef]
- Wang, X.L.; Shi, C.Q.; Liu, Q.Q.; An, Y. Numerical study on near-field characteristics of landslide-generated impulse waves in channel reservoirs. J. Hydrol. 2021, 595, 126012. [Google Scholar] [CrossRef]
- Ataie-Ashtiani, B.; Yavari-Ramshe, S. Numerical simulation of wave generated by landslide incidents in dam reservoirs. Landslides 2011, 8, 417–432. [Google Scholar] [CrossRef]
- Tan, J.M.; Huang, B.L.; Zhao, Y.B. Pressure characteristics of landslide-generated impulse waves. J. Mt. Sci. 2019, 16, 1774–1787. [Google Scholar] [CrossRef]
- Heller, V.; Hager, W.H. A universal parameter to predict subaerial landslide tsunamis? J. Mar. Sci. Eng. 2014, 2, 400–412. [Google Scholar] [CrossRef]
- Huang, B.L.; Wang, S.C.; Zhao, Y.B. Impulse waves in reservoirs generated by landslides into shallow water. Coast Eng. 2017, 123, 52–61. [Google Scholar] [CrossRef]
- Heller, V.; Spinneken, J. Improved landslide-tsunami prediction: Effects of block model parameters and slide model. J. Geophys. Res. 2013, 118, 1489–1507. [Google Scholar] [CrossRef]
- Kamphuis, J.W.; Bowering, R.J. Impulse waves generated by landslides. Coast. Eng. 1972, 1972, 575–588. [Google Scholar]
- Panizzo, A.; De Girolamo, P.; Petaccia, A. Forecasting impulse waves generated by subaerial landslides. J. Geophys. Res. 2005, 110, C12025. [Google Scholar] [CrossRef]
- Walder, J.S.; Watts, P.; Sorensen, O.E.; Janssen, K. Tsunamis generated by subaerial mass flows. J. Geophys. Res. 2003, 108, 1–2. [Google Scholar] [CrossRef]
- Wang, W.; Chen, G.Q.; Yin, K.L.; Wang, Y.; Zhou, S.H.; Liu, Y.L. Modeling of landslide generated impulsive waves considering complex topography in reservoir area. Environ. Earth Sci. 2016, 75, 372. [Google Scholar] [CrossRef]
- Lee, C.H.; Huang, Z.H. Effects of grain size on subaerial granular landslides and resulting impulse waves: Experiment and multi-phase flow simulation. Landslides 2022, 19, 137–153. [Google Scholar] [CrossRef]
- Miller, G.S.; Take, W.A.; Mulligan, R.P.; McDougall, S. Tsunamis generated by long and thin granular landslides in a large flume. J. Geophys. Res. 2017, 122, 653–668. [Google Scholar] [CrossRef]
- Heller, V.; Hager, W.H. Impulse product parameter in landslide generated impulse waves. J. Waterw. Port Coast. Ocean Eng. 2010, 136, 145–155. [Google Scholar] [CrossRef]
- Xu, W.J.; Yao, Z.G.; Luo, Y.T.; Dong, X.Y. Study on landslide-induced wave disasters using a 3D coupled SPH-DEM method. Bull. Eng. Geol. Environ. 2020, 79, 467–483. [Google Scholar] [CrossRef]
- Fritz, H.M.; Hager, W.H.; Minor, H.E. Near field characteristics of landslide generated impulse waves. J. Waterw. Port Coast. Ocean Eng. 2004, 130, 287–302. [Google Scholar] [CrossRef]
- Lindstrøm, E.K. Waves generated by subaerial slides with various porosities. Coast. Eng. 2016, 116, 170–179. [Google Scholar] [CrossRef]
- Zweifel, A.; Hager, W.H.; Minor, H. Plane impulse waves in reservoirs. J. Waterw. Port Coast. Ocean Eng. 2006, 132, 358–368. [Google Scholar] [CrossRef]
- Mohammed, F.; Fritz, H.M. Physical modeling of tsunamis generated by three-dimensional deformable granular landslides. J. Geophys. Res. 2012, 117, C11. [Google Scholar] [CrossRef]
- Ataie-Ashtiani, B.; Nik-Khah, A. Impulsive waves caused by subaerial landslides. Environ. Fluid Mech. 2008, 8, 263–280. [Google Scholar] [CrossRef]
- Heller, V.; Hager, W.H.; Minor, H.E. Scale effects in subaerial landslide generated impulse waves. Exp. Fluids 2008, 44, 691–703. [Google Scholar] [CrossRef]
- Tan, H.; Chen, S.H. A hybrid DEM-SPH model for deformable landslide and its generated surge waves. Adv. Water Resour. 2017, 108, 256–276. [Google Scholar] [CrossRef]
- Crespo, A.J.C.; Domínguez, J.M.; Rogers, B.D.; Gómez-Gesteira, M.; Longshaw, S.; Canelas, R.; Vacondio, R.; Barreiro, A.; García-Feal, O. DualSPHysics: Open-source parallel CFD solver based on Smoothed Particle Hydrodynamics (SPH). Comput. Phys. Commun. 2015, 187, 204–216. [Google Scholar] [CrossRef]
- Canelas, R.; Ferreira, R.M.L.; Crespo, A.J.C.; Domínguez, J.M. A generalized SPH-DEM discretization for the modelling of complex multiphasic free surface flows. In Proceedings of the 8th International SPHERIC Workshop, Trondheim, Norway, 4–6 June 2013. [Google Scholar]
- Canelas, R.B.; Crespo, A.J.C.; Dominguez, J.M.; Ferreira, R.M.L.; Gómez-Gesteira, M. SPH–DCDEM model for arbitrary geometries in free surface solid–fluid flows. Comput. Phys. Commun. 2016, 202, 131–140. [Google Scholar] [CrossRef]
- Zhang, S.; Kuwabara, S.; Suzuki, T.; Kawano, Y.; Morita, K.; Fukuda, K. Simulation of solid–fluid mixture flow using moving particle methods. J. Comput. Phys. 2009, 228, 2552–2565. [Google Scholar] [CrossRef]
- Boussinesq, J.V. Théorie de l’intumescence appelée onde solitaire ou de translation se propageant dans un canal rectangulaire. Comptes-Rendus L’acad. Sci. 1871, 72, 755–759. [Google Scholar]
- Montes, J.S. Hydraulics of Open Channel Flow; ASCE Press: New York, NY, USA, 1998. [Google Scholar]
- Hughes, S.A. Estimation of wave run-up on smooth, impermeable slopes using the wave momentum flux parameter. Coast. Eng. 2004, 51, 1085–1104. [Google Scholar] [CrossRef]
- Li, Y.; Raichlen, F. Solitary wave runup on plane slopes. J. Waterw. Port Coast. Ocean Eng. 2001, 127, 33–44. [Google Scholar] [CrossRef]











| Case | α (°) | d0 (m) | hc0 (m) | ls0 (m) | s0 (m) | Slide Shape Type | Vsc0 (ms−1) | Vsc1 (ms−1) | S | M |
|---|---|---|---|---|---|---|---|---|---|---|
| R1 | 30 | 0.2 | 0.3 | 0.2 | 0.10 | B | 0.96 | 1.22 | 0.364 | 1.060 |
| R2 | 30 | 0.4 | 0.6 | 0.4 | 0.20 | B | 1.16 | 1.57 | 0.343 | 1.060 |
| R3 | 30 | 0.6 | 0.9 | 0.5 | 0.25 | B | 1.39 | 1.81 | 0.197 | 0.736 |
| R4 | 30 | 0.8 | 1.2 | 0.6 | 0.30 | B | 1.51 | 1.95 | 0.177 | 0.596 |
| R5 | 40 | 0.2 | 0.6 | 0.5 | 0.30 | B | 1.35 | 2.18 | 1.054 | 7.952 |
| R6 | 40 | 0.4 | 0.3 | 0.6 | 0.25 | A | 0.42 | 1.75 | 0.574 | 1.988 |
| R7 | 40 | 0.6 | 1.2 | 0.2 | 0.20 | C | 2.17 | 2.71 | 0.130 | 0.236 |
| R8 | 40 | 0.8 | 0.9 | 0.4 | 0.10 | C | 2.00 | 2.55 | 0.111 | 0.133 |
| R9 | 50 | 0.2 | 0.9 | 0.6 | 0.20 | B | 2.12 | 3.14 | 0.853 | 6.362 |
| R10 | 50 | 0.4 | 1.2 | 0.5 | 0.10 | C | 2.77 | 3.49 | 0.248 | 0.663 |
| R11 | 50 | 0.6 | 0.3 | 0.4 | 0.30 | A | 0.77 | 1.89 | 0.450 | 0.707 |
| R12 | 50 | 0.8 | 0.6 | 0.2 | 0.25 | B | 1.82 | 2.46 | 0.160 | 0.166 |
| R13 | 60 | 0.2 | 1.2 | 0.4 | 0.25 | B | 3.08 | 3.96 | 0.790 | 5.301 |
| R14 | 60 | 0.4 | 0.9 | 0.2 | 0.30 | B | 2.64 | 3.28 | 0.364 | 0.795 |
| R15 | 60 | 0.6 | 0.6 | 0.6 | 0.10 | B | 1.84 | 2.86 | 0.161 | 0.353 |
| R16 | 60 | 0.8 | 0.3 | 0.5 | 0.20 | A | 0.72 | 2.04 | 0.232 | 0.331 |
| Description | Selected Value |
|---|---|
| Interaction kernel function | Wendland |
| Time-stepping algorithm | Symplectic |
| Viscosity formulation method | Laminar + Sub-particle-scale |
| Kinematic viscosity | 10−6 m2s−1 |
| Density filter | Delta-SPH formulation |
| Initial distance between particles | 0.0005 m |
| Object | Material | Young’s Modulus (Nm−2) | Poisson Ratio | Kinetic Friction Coefficient | Restitution Coefficient |
|---|---|---|---|---|---|
| Cylinders | Aluminium | 69 × 109 | 0.30 | 0.45 | 0.886 |
| Tank | PVC | 30 × 108 | 0.30 | 0.45 | 0.65 |
Disclaimer/Publisher’s Note: The statements, opinions and data contained in all publications are solely those of the individual author(s) and contributor(s) and not of MDPI and/or the editor(s). MDPI and/or the editor(s) disclaim responsibility for any injury to people or property resulting from any ideas, methods, instructions or products referred to in the content. |
© 2024 by the authors. Licensee MDPI, Basel, Switzerland. This article is an open access article distributed under the terms and conditions of the Creative Commons Attribution (CC BY) license (https://creativecommons.org/licenses/by/4.0/).
Share and Cite
Zheng, F.; Liu, Q.; Xu, J.; Ming, A.; Dong, J. Numerical Simulation of Subaerial Granular Landslide Impulse Waves and Their Behaviour on a Slope Using a Coupled Smoothed Particle Hydrodynamics–Discrete Element Method. J. Mar. Sci. Eng. 2024, 12, 1692. https://doi.org/10.3390/jmse12101692
Zheng F, Liu Q, Xu J, Ming A, Dong J. Numerical Simulation of Subaerial Granular Landslide Impulse Waves and Their Behaviour on a Slope Using a Coupled Smoothed Particle Hydrodynamics–Discrete Element Method. Journal of Marine Science and Engineering. 2024; 12(10):1692. https://doi.org/10.3390/jmse12101692
Chicago/Turabian StyleZheng, Feidong, Qiang Liu, Jinchao Xu, Aqiang Ming, and Jia Dong. 2024. "Numerical Simulation of Subaerial Granular Landslide Impulse Waves and Their Behaviour on a Slope Using a Coupled Smoothed Particle Hydrodynamics–Discrete Element Method" Journal of Marine Science and Engineering 12, no. 10: 1692. https://doi.org/10.3390/jmse12101692
APA StyleZheng, F., Liu, Q., Xu, J., Ming, A., & Dong, J. (2024). Numerical Simulation of Subaerial Granular Landslide Impulse Waves and Their Behaviour on a Slope Using a Coupled Smoothed Particle Hydrodynamics–Discrete Element Method. Journal of Marine Science and Engineering, 12(10), 1692. https://doi.org/10.3390/jmse12101692

