Abstract
Liner shipping accounts for over of the global transportation volume, making substantial contributions to world trade and economic development. To advance global economic integration further, it is essential to link the flows of global liner shipping routes with the complex system of international trade, thereby supporting liner shipping as an effective framework for analyzing international trade and geopolitical trends. Traditional methods based on first-order global liner shipping networks, operating at a single scale, lack sufficient descriptive power for multi-variable sequential interactions and data representation accuracy among nodes. This paper proposes an effective methodology termed “Multi-Scale Higher-Order Dependencies (MSHOD)” that adeptly reveals the complexity of higher-order interactions among multi-scale nodes within the global liner shipping network. The key step of this method is to construct high-order dependency networks through multi-scale attributes. Based on the critical role of high-order interactions, a method for key node identification has been proposed. Experiments demonstrate that, compared to other methods, MSHOD can more effectively identify multi-scale nodes with regional dependencies. These nodes and their generated higher-order interactions could have transformative impacts on the network’s flow and stability. Therefore, by integrating multi-scale analysis methods to mine high-order interactions and identify key nodes with regional dependencies, this approach provides robust insights for assessing policy implementation effects, preventing unforeseen incidents, and revealing regional dual-circulation economic models, thereby contributing to strategies for global, stable development.
1. Introduction
Liner shipping [1], which operates according to fixed routes and schedules primarily using container ships, has become the preferred mode for the large-scale transportation of goods and raw materials globally due to its cost effectiveness [2]. According to Statista (https://www.statista.com/ (accessed on 15 March 2024)), approximately of the global trade volume is conducted via sea transport, with these goods being handled by ports worldwide [3]. Liner shipping effectively connects global markets and plays a crucial role in supporting international trade activities and analyzing complex international situations [4]. It is a key component in achieving sustainable global economic development [5,6].
The shuttle of ships between ports and their associated logistics facilities constitutes Global Liner Shipping Route Flows (GLSRFs), which converge into thousands of routes daily [1,7]. These GLSRFs intertwine to form a vast, self-organized Global Liner Shipping Network (GLSN) [8,9]. The GLSN plays a crucial role in the global economy, reflecting regional economic conditions and relevant policy support. During periods of robust regional economic growth, GLSRFs tend to concentrate in economically active areas to meet production and consumption demands. Conversely, during economic crises or severe sanctions, GLSRFs adapt by reducing interactions with the affected regions [10]. Initiatives such as the “Maritime Silk Road” significantly alter the structure and scale of the GLSN, enhancing the economic interdependence among the involved countries [11,12]. Moreover, changes in any national trade policy impact the GLSRFs of other countries, necessitating global cooperation and coordination to ensure the stability and development of the GLSN [13]. Additionally, the accuracy of data representation in the GLSN greatly influences the mining of higher-order dependencies and the identification of key nodes in the system [13].
Traditional network construction methods typically rely on a first-order Markov assumption, which presumes that node movement in the network is memoryless [14]. This limitation confines their ability to represent only simple binary interactions and fails to capture more complex dynamical characteristics of the system, significantly reducing the accuracy of real data representation [15]. Past studies have predominantly utilized First-Order Dependency Networks (FODNs) to analyze the GLSN [16,17,18]. While these studies have offered initial insights, their limitations are quite apparent. The FODN primarily analyzes relationships between directly connected nodes and is unable to reveal higher-order interactions in complex systems. Moreover, nodes and connections in the GLSN are not confined to a single scale but span multiple scales. Existing analytical methods for the GLSN often overlook multi-scale dependencies, failing to fully grasp their complexity, which leads to a one-sided understanding of the network’s structure and function, thereby affecting the mining of interaction relationships and the identification of key nodes [19]. Thus, developing innovative network science methodologies to characterize the structural and organizational complexity of the GLSN reveals complex system interactions in international trade, and, more accurately, identifying key nodes with regional dependencies remains a significant scientific pursuit [20]. Advances in this direction will strengthen our understanding of higher-order relationships in the GLSN and their correlation with changes in the international situation [5].
This study aims to explore how to accurately extract higher-order interactions within GLSRF and their impacts and principles on key nodes identification. In data representation methods, mapping dependency relationships onto the network’s structural topology is crucial, as it helps quantify the role of higher-order interactions within the network structure [21,22]. This investigation addresses a practical problem in the liner shipping industry: seemingly inconspicuous nodes within the GLSN might play crucial roles in its higher-order structure due to their complex connections with other nodes, thus influencing the network’s flow and stability [23]. The practical significance of this issue lies in using the analysis of GLSRFs to gain insights into current and past global international situations, and strategically selecting nodes with stronger dependencies as partners to promote local trade prosperity [24]. Methodologically, by studying the higher-order Markov properties of GLSRFs, we can represent dependency relationships more accurately and delve deeper into the effects of higher-order dependencies across various scales of the GLSN. In practice, we propose using the BuildMSHODN algorithm to construct Multi-Scale Higher-Order Dependency Networks (MSHODNs) and Multi-Scale First-Order Dependency Networks (MSFODNs), thus exploring higher-order interactions at different scales within the GLSN. Furthermore, we have developed the higher-order dependency pagerank centrality and logarithmic higher-order dependency pagerank centrality, using these metrics to correlate and compare identified key nodes with functionally significant outcomes in GLSN.
Here, we reveal significant higher-order Markov properties within GLSRFs. We examine higher-order interactions at various scales (ports, countries, and organizations) and identified key nodes in the MSHODN. We emphasize that mining higher-order interactions can serve as a quantifiable indicator of policy impact, and it is noted that higher-order dependencies commonly occur in closed-loop routing. Moreover, as the scale expands, the degree of higher-order dependencies in GLSN decreases gradually. Our findings indicate that MSHOD method can identify nodes with significant regional dependencies within the GLSN, and the variations in higher-order interactions across different scales can reveal the dual circulation economic model of national or regional complex trade systems (for more results, see Section 4). In summary, the MSHOD method offers a valuable new tool for GLSN analysis.
2. Materials and Methods
This section first introduces the inherent higher-order Markov properties in GLSRFs. Subsequently, we propose the Multi-Scale Higher-Order Dependencies (MCHOD) approach, which comprises two components: the construction of the MSHODN and the method for identifying key nodes within the MSHODN.
2.1. The Higher-Order Markov Properties in GLSRFs
We begin with an example to illustrate the rich higher-order Markov properties inherent in GLSRFs.
In Figure 1, we treat different locations as distinct nodes. At Time 1, two types of GLSRFs are formed: one originating from France and the other from China , both passing through Singapore . The ship starting from reaches the United Kingdom , while the one from heads to the United States . Without considering higher-order effects, these routes would be segmented into four first-order edges (, , , and ), which could be used to construct FODN. At Time 2, if the ship from arrives at and the one from at , these routes would again be divided into the same four first-order edges as in Time 1. Consequently, after constructing FODN from the different GLSRF flows formed during Time 1 and 2, the probability of reaching and from either or via is . In Time 1, if we start sampling paths from within FODN, it would yield paths and . However, these paths do not exist in GLSRFs from Time 1. This discrepancy arises because the interactions between nodes within GLSRF are continuously changing and developing, clearly characterized by a temporal sequence. FODN overlooks the high-order information contained within the system, specifically disregarding the second-order path information in Time 1, such as and .
Next, we split the node from Time 1 and 2 into two higher-order nodes, and to distinguish the two different paths originating from and , effectively dividing the network into two disconnected segments. It can be seen that HODN constructed using second-order information accurately restores the path information in GLSRFs at Time 1. If the ship is currently at and its previous step was from , it will next head to ; if its previous step was from , it will proceed to .
Figure 1.
Schematic of higher-order Markov properties in GLSRFs.
Figure 1.
Schematic of higher-order Markov properties in GLSRFs.

2.2. Construction of the MSHODN
Based on the foundation established by BuildHON+ for constructing the HODN [25,26,27], we propose the use of BuildMSHODN to create the MSHODN and MSFODN. The output comprises a MSHODN generated for GLSRF (Small-scale Higher-Order Dependency Network (SSHODN), Intermediate-scale Higher-Order Dependency Network (ISHODN), and Large-scale Higher-Order Dependency Network (LSHODN)) along with MSFODN (Small-scale First-Order Dependency Network (SSFODN), Intermediate-scale First-Order Dependency Network (ISFODN), and Large-scale First-Order Dependency Network (LSFODN)). The specific steps of the BuildMSHODN are illustrated in Figure 2.
Figure 2.
BuildMSHODN algorithm. There are three steps in the algorithm: the extraction of higher-order dependency rules, edge reconfiguration, and the construction of higher-order dependency networks with multi-scale attributes.
Initially, we obtain the GLSRF as raw data, with the horizontal axis representing time and the vertical axis differentiated by the Maritime Mobile Service Identity (MMSI) to distinguish various ships. Different colors or letters on the nodes are used to represent the various ports that ships pass through.The extraction of higher-order dependency rules is divided into three main steps:
➀ Build observation and weight: This involves counting the occurrences (or weights) W of multivariate sequences of different orders in the raw data as Minimum Support , up to Maximum Order . For rules with only one direction of movement, it is unnecessary to recount their higher-order . As shown in Figure 2, the numbers and paths respectively indicate the frequency of occurrences of multivariate sequences and the details of paths from the first order to a higher order. This step corresponds to in Algorithm 1.
| Algorithm 1 Build MSHODN and MSFODN |
|
➁ Build distribution: This step involves calculating the transition probability distributions for the current higher-order nodes and the higher-order subsequence, corresponding to the function in Algorithm 1. The Kullback–Leibler divergence from information theory is chosen as the metric to assess the differences between the transition probability distributions of different subsequences:
where represents the transition probability distribution for the current higher-order node , and for the higher-order subsequence . , and denotes the orders of the higher-order node and the higher-order subsequence , respectively, with .
Subsequently, the calculation process is illustrated using the transition probability distribution P of a random walk from node to node a as an example:
where , and . Here, represents the state or position of the random walk particle at time t.
Next, set the dynamic threshold :
where denotes the frequency of occurrence of . When , replaces to become the new higher-order node; otherwise, remains the current higher-order node. This step corresponds to the function in Algorithm 1.
➂ Constructing higher-order nodes: Combining and , we illustrate the process of constructing the higher-order node in Figure 2. The subsequence becomes the current higher-order node (indicated by a dashed line), while the higher-order subsequence does not meet the dynamic threshold condition; thus, remains the current higher-order node. The even higher-order subsequence meets the dynamic threshold condition, making the new current higher-order node; this node , having satisfied , becomes the final higher-order node.
In the edges reconfiguration step in Figure 2, we carry out the reconfiguration of connections, which includes four steps: ➀ converting all first-order rules into edges; ➁ transforming all higher-order rules into edges and creating higher-order nodes; ➂ adding internal edges to newly created higher-order nodes; and ➃ since the target nodes of higher-order rules are first-order nodes, if a corresponding higher-order exists for a first-order node, then the edges are reconnected to the highest-order node. This step corresponds to the function in Algorithm 1.
Next, we construct the MSHODN. Initially, the SSHODN established in the aforementioned steps is denoted as in Figure 2 (➀: SSHODN), a directed graph where represents the set of higher-order nodes, and represents the set of directed edges. Based on the multi-scale attributes of small-scale nodes, they are aggregated into intermediate-scale nodes as shown in Figure 2 where the small-scale nodes b and e are both attributed to the intermediate-scale node A.
Here, we define an equivalence relation ∼ on such that each equivalence class represents a set of nodes in that share the same attributes with v. Moreover, is defined as the quotient set of , where each element is an equivalence class within .
This leads to the formation of the ISHODN graph , where , is constructed by merging nodes within specific attribute equivalence classes into a intermediate-scale unit in , and does not include self-loops. During the transition between different scale higher-order nodes, instances may occur where a higher-order node transitions to the same intermediate-scale node in two consecutive steps, such as in Figure 2 (➁: ISHODN), which leads us to eliminate redundant internal edges created by scaling up, changing it to . This modification is also applicable to LSHODN.
Next, define as a partition of , where each large-scale unit represents an aggregation of intermediate-scale nodes within . Construct the LSHODN graph , where is defined as:
is constructed by merging nodes within specific attribute equivalence classes into a large-scale unit in , and does not include self-loops. If a node satisfies the attributes of two large-scale node categories simultaneously, such as node B in Figure 2 (➂: LSHODN) which meets both I and , we then split B into two nodes, dividing in the diagram into and , ensuring that the attributes of this node are included in all relevant large-scale nodes involved. This step corresponds to the function in Algorithm 1.
2.3. The Method for Identifying Key Nodes within MSHODN
Based on the MSHODN constructed above, we next proceed with research on the key node identification methods. Initially, the adjacency matrix of the graph G constructed from MSFODN is given as:
where represents the adjacency relationship of the edge , with . When , the edge exists, indicating a path from node y to node x; when , the edge does not exist.
Next, we introduce the out-degree of G as follows:
where denotes the out-degree of node y. N represents the total number of nodes in the network.
Based on this, we define pagerank centrality as the metric for node importance in G:
where , denotes the pagerank centrality value of node x at time t. The damping factor ensures that the sum of values for all nodes is scaled by s, redistributing times the value equally among all nodes. Typically, s is set to 0.85.
We establish the correspondence between higher-order nodes and physical nodes through Figure 3. For instance, higher-order nodes such as , , , collectively form a physical node x, .
Figure 3.
Correspondence between higher-order nodes and physical nodes.
In the graph constructed by the MSHODN, the corresponding higher-order adjacency matrix is defined as follows:
where represents the higher-order adjacency relationship from node y to node x, and represents the adjacency relationship of the edge .
Next, we introduce the out-degree of as:
where denotes the out-degree of node . represents the total number of nodes in the higher-order dependency network .
Furthermore, we define the higher-order dependency pagerank centrality as the metric for node importance in :
where , and represents the pagerank centrality value of node x at time t.
For MSFODN, we have , , and . Therefore,
By combining Equation (6), it is easy to obtain ; furthermore, we obtain . Therefore, the pagerank centrality of MSHODN is also applicable to MSFODN. For more algorithm details, see Algorithm 2.
| Algorithm 2 Method for key nodes identification in MSFODN and MSHODN |
|
When the variation in the is minimal and there is a need to explain and amplify these subtle changes, the logarithmic higher-order dependency pagerank centrality can be used as the metric for node importance in :
To characterize the rate of change of the (logarithmic) higher-order dependency pagerank centrality in the MSHODN compared to the MSFODN, we use or as a measure:
In the case described by Equation (15), and , which implies . At this point, the constructed MSHODN is identical to the MSFODN, indicating that the MSHOD framework has not uncovered any higher-order interaction information. This suggests that the original flow data only conforms to Markovian properties.
3. Experiments and Analysis
This section will conduct an empirical analysis using the MCHOD method on the GLSRF real dataset. We utilize MCHOD to construct the MSHODN and MSFODN, through which we can effectively extract and characterize the complex dependencies within the network. Initially, we will focus on second-order and higher-order dependency paths that involve interactions among three or more elements. These insights significantly reveal the patterns of cargo movement within the global liner shipping system, the interactions between different ports/countries/organizations, and their policies’ contributions to global trade flows, which are crucial for understanding the stability and efficiency of the global supply chain [5]. Secondly, we analyze the impact of the MSHODN and MSFODN on key nodes identification and explore the differences between them. An in-depth analysis of the results and phenomena is conducted to explore the underlying mechanisms and reasons. This not only helps validate the effectiveness of the MCHOD method but also provides new perspectives and tools for understanding and optimizing the global liner shipping complex system. Additionally, it identifies critical transportation paths and potential weak links, thereby assisting industry professionals in making more informed decisions regarding improving GLSN efficiency and addressing emergent issues [28].
3.1. Dataset
We collected data for the years 2018, 2020, and 2023 from the liner shipping industry professional data platform ShipDT (https://www.shipdt.com/ (accessed on 25 December 2023) (Longboat (Beijing) Technology Co., Ltd., Beijing, China)) These data utilize global tracking technology to monitor container ships in real time and extract related information. The data encompass 15,908 shipping routes formed between 700 major container ports across 158 countries or regions and provide detailed descriptions of each route’s passage through different ports. The dataset excludes any port stop activities unrelated to cargo loading and unloading, ensuring high relevance to global maritime trade. Additionally, the ShipDT database also provides valuable information on the carrying capacity of each liner (measured in twenty-foot equivalent units (TEUs)) and the top 20 container ports worldwide by annual throughput.
3.2. Experiment Design
To explore the impact of higher-order Markov properties on key nodes identification, we designed an experiment. The MSFODN and MSHODN were constructed using Algorithm 1, and we chose the constructed SSFODN and SSHODN as examples for demonstration. Regarding parameters, we set , , .
The metrics for SSFODN and SSHODN are shown in Table 1. The constructed SSHODN contains 1411 higher-order nodes, and the generated SSFODN includes 700 first-order nodes. SSHODN has more nodes and edges, and a larger diameter, reflecting the growth of the network size from the SSFODN to SSHODN. Compared to the SSFODN, the SSHODN has a longer average path length and a lower clustering coefficient, indicating that the SSHODN is less compact and more robust when the network is subjected to disruptions [28]. Given the large scale of the entire network, we selected a portion of the SSFODN and SSHODN with Singapore as the source node to try to reveal the principles of how higher-order dependencies affect key nodes identification. Figure 4a,b show the SSFODN and SSHODN, where each node in the SSFODN is a first-order node, and at this point, the research on key nodes identification primarily focuses on analyzing the network’s topological structure. In the SSHODN, constructed of higher-order nodes, each node includes dependency relationship information among multiple entities, capturing non-explicit dynamic features within the network. This allows for the more accurate identification of nodes that are not significant in the SSFODN topology but play pivotal roles in the overall network functionality. Thus, the higher-order structures generated by these dependency relationships are the fundamental reason for the differences in key nodes identification methods. The key nodes identification method of the MSHODN not only expands the understanding of the network’s deeper structure and dynamics but also gradually changes how people analyze and design complex systems, making it more effective in predicting and managing the behavior of GLSN systems [5].
Table 1.
Statistical indicators of the SSFODN and SSHODN.
Figure 4.
(a) SSFODN and (b) SSHODN (using part of Singapore’s connectivity as an example).
4. Results
4.1. Small-Scale Experiments on GLSRF
First, Table 2 introduces the symbols and their meanings involved in the discussion. We use container ports within the GLSRF as fundamental units to construct the SSHODN and SSFODN using Algorithm 1, where each node in the constructed GLSN represents a different port, and edges denote the directed paths between ships at these ports.
Table 2.
Symbol meanings.
Figure 5 displays the second-order dependency paths mined with Singapore (port) as the hub node. In (a), with , the experiment reveals that dependency paths proportions originating from Klang and Shenzhen to Singapore are the highest, with and accounting for and of , respectively. However, the number of ports involved in the mined second-order dependency paths is excessive, and it is usually sufficient to reflect only the significant dependency paths, thus increasing . At , compared to (a), the proportion of in is increased by , mainly due to the overall reduction in the number of mined second-order paths. Meanwhile, the proportion for is decreased by because some second-order dependency paths from Klang through Singapore to other ports are excluded due to frequencies falling below the threshold. This approach helps to more clearly highlight important dependency path information. However, what remains unchanged is that and continue to be the two ports with the highest proportions in . The proportions of in are increased by , , and , respectively compared to (a), significantly highlighting the strong dependency relationships between Klang, Singapore, and Hong Kong/Laem Chabang/Tanjung Priok Port. This goes beyond the traditional network’s simple binary relationships, expanding into ternary or higher-order interactions. The SSHODN overcomes the traditional network’s limitation of only describing binary interactions; for instance, if a container ship is currently in Singapore and its last port was Klang, it has a relatively higher probability of heading next to Hong Kong/Laem Chabang/Tanjung Priok Port, forming a strongly dependent triplet.
Figure 5.
Example of second-order dependency relationships in the SSHODN. (a–d) Nodes on either side representing paths with dependency relationships using Singapore (port) as the hub node (). The percentage on the left node indicates the proportion of to . The percentage on the right node indicates the proportion of to .
Further, under the parameter setting of , the proportions of to are increased compared to (b) by , , and , respectively. This further optimizes the visibility of the primary second-order dependency paths, more significantly reflecting the tight dependency relationships among the involved ports. However, as is increased, the SSHODN constructed in (d) loses information on some crucial second-order dependency paths such as . At this point, it is also observed that the shipping routes passing through Singapore tend to return to their original ports, corresponding to the flow properties in the real world [15], demonstrating the precise depiction of SSHODN of GLSRF.
In summary, when conducting small-scale experiments within the GLSRF, setting proves effective for the subsequent mining of higher-order dependency paths and key nodes identification. Figure 5c reveals that the ports of Klang, Singapore, and Hong Kong exhibit strong second-order dependencies. After mining these dependencies through SSHODN, the impacts of these results are analyzed: Figure 6a,b represent networks constructed without and with the consideration of higher-order dependencies, respectively. In (a), if higher-order interactions are disregarded and assuming, Hong Kong suffers a passive behavior such as an internal crisis or external sanctions, impacting it negatively by four points; it is generally believed that Singapore and Haiphong, which have direct connections, may be negatively impacted by three points, while Port Klang, which lacks direct connections, may be negatively impacted by two points. However, the presence of dependency relationships between ports is crucial for overall network dynamics; thus, in (b), the mined Klang, Singapore, and Hong Kong are constructed as higher-order nodes for further network analysis. When Hong Kong experiences negative impacts, it is more likely to affect the ports of Klang and Singapore compared to Haiphong, significantly impacting their operations and development. This underscores the strong dependencies among them; hence, SSHODN could be used in the future to more accurately simulate the dynamic changes and impacts on GLSN when subjected to network attacks. Conversely, (c) and (d) illustrate that if Hong Kong faces more economic opportunities or policy support, compared to ports with less significant dependencies, Klang and Singapore might also gain greater developmental advantages.
Figure 6.
Example illustrating the importance of higher-order interactions in problem analysis.
Furthermore, additional details on the second-order dependency paths and ternary interactions among container ports can be further explored on GitHub. These results demonstrate the significant complex interdependencies among ports within the GLSN, providing valuable insights for future risk mitigation and resource allocation strategies.
Within GLSRFs, after completing the analysis of second-order dependency relationships, we further examine higher-order dependencies. Figure 7 illustrates related third-order dependency paths using Shanghai as an example. Figure 7a shows , revealing that container ships departing from Shanghai, if proceeding next to Keelung, tend to move to Taicang and Kaohsiung in the following steps, thus forming a complex quaternary interaction among Shanghai, Keelung, Taicang, and Kaohsiung. Similarly, if a ship moves next to Tokyo from Shanghai, it tends to move to Yokohama and then return to Shanghai, thereby forming a ternary interaction relationship through a third-order dependency path among Shanghai, Tokyo, and Yokohama. Figure 7b displays , yielding the following results: if two container ships are currently in Shanghai and one’s previous step was Ningbo-Zhoushan, it is more likely to move next to Tokyo and Tanjung Priok Port or to Busan and New York/New Jersey; if another ship’s previous step was from Taicang, it is more likely to return to Taicang. Thus, these two ships form different types and orders of multiple relationships within the GLSRF. Similarly, Figure 7c,d show related results for and .
Figure 7.
Third-order dependency relationships in SSHODN (using Shanghai as an example). (a–d) represent the nodes corresponding to the respective container ports.
Analyzing higher-order dependency paths provides decision-makers with more precise strategic guidance and helps analyze the levels of cooperation and interaction among different ports. More importantly, this methodology can be extended to international trade relationships, revealing dependency patterns within complex global trade networks [5]. It can illustrate the cascading effects within the globalized trade system, where a problem at a critical point may have profound impacts on the entire network. By analyzing higher-order dependency paths, policymakers can understand the roles and significance of each port in the global maritime economy, and using this information can help countries prepare in advance, thereby developing wiser trade and diplomatic strategies that ensure mutually beneficial regional cooperation. Utilizing higher-order dependency paths can also better prevent potential risks and supply chain disruptions within the trade network [28]. Detailed information on third-order dependency paths and multi-dimensional interactions can be further explored on GitHub.
Further analysis of GLSRFs has revealed that its highest-order dependency path is of the fourth order, and there is only one such path composed of a binary interaction between Hong Kong and Shenzhen (Hong Kong–Shenzhen–Hong Kong–Shenzhen–Hong Kong). The results indicate that in small-scale experiments within GLSRFs, the order of the higher-order dependency paths has a ceiling, which is limited to the fifth order.
When modeling GLSRFs using the MSFODN, the higher-order dependencies between multiple units are represented as first-order dependencies between two nodes. As such, MSFODN representations substantially simplify the system’s structure, thereby affecting the characteristic analysis of the GLSN. In contrast, the MSHODN transforms the higher-order dependencies among multiple units in the system into higher-order nodes and their connections, thus ensuring high accuracy in network representation. Furthermore, it fundamentally ensures the effectiveness of identifying key nodes with regional dependencies. Moving forward, we utilize the key nodes identification method of the SSHODN on the GLSN, demonstrating the superiority of the MCHOD method through its practical significance and functionality.
First, we primarily base our classification of global container ports on geographic location, while also taking into account multiple factors such as shipping routes, political economy, and trade connections. These ports are divided into nine regions: East Asia, Southeast Asia, West Asia/Middle East, Black Sea/Mediterranean Region, Northwestern Europe/Baltic Sea Region, North America, South America, Oceania, and Africa [1]. This categorization helps comprehensively reflect and analyze the significant roles and functions of different ports within regional liner shipping networks and GLSN. Second, using data collected from major global container ports in 2018, 2020, and 2023, we calculate the annual average throughput (Appendix A). Third, we compute and and conduct a comparative analysis; to eliminate the randomness of the algorithm, all simulations are independently repeated 10 times, with network topology generated 10 times, and or values are averaged over these 10 outcomes. Conclusions derived from SSHODN are denoted by , similarly, in ISHODN and LSHODN, they are indicated by or .
: Compared to SSFODN, using SSHODN to model GLSN allows for the identification of ports with significant regional dependencies. Figure 8a shows that in the key nodes identification using for the SSFODN, only Tokyo made it into the top 20 , with the other 19 ports having high annual throughput also remaining in the top 20 . On one hand, this shows a good correlation between the throughput and , but it also highlights the limitations of using traditional statistical indicators for identifying key nodes. This approach may overlook the higher-order dynamics and complex interactions within the network, leading to inaccuracies or timeliness issues in identifying key nodes.
Figure 8.
and results for the top 20 container ports by global average annual throughput. (a,b) The results of analyzing different ports using and , respectively, where gray bars represent , green bars represent , and pink lines indicate whether () is among the top 20. (c) The results of for the ports with the top 20 annual average throughputs.
In contrast, in Figure 8b, which considers higher-order structures and dependencies among ports, has identified more key ports that are crucial for global or regional dependencies. For instance, Foshan and Taicang in China entered the top 20 , reflecting the importance of their positions in the regional liner shipping network. These cities are located in China’s economically vibrant Pearl River Delta and Yangtze River Delta, respectively [29], where over the past decade, the Chinese government has made substantial investments and upgrades to the ports and surrounding infrastructure to support rapidly growing domestic and international trade demands. Furthermore, initiatives like China’s Belt and Road [30] and various multi-lateral agreements such as the Free Trade Agreements (FTA) and the Regional Comprehensive Economic Partnership (RCEP) with East Asian and Southeast Asian countries have greatly facilitated economic integration in these regions [31]. Economic integration [32] not only strengthens trade and investment flows within the region but also enhances the strategic importance and operational efficiency of regional ports. Foshan and Taicang can be seen as successful examples of regional economic development strategies. Similarly, Kobe and Osaka in East Asia have seen an increased importance in the global economy due to the growth in regional trade activities and deepening international cooperation. The method for identifying key nodes within the SSHODN not only highlights the ports’ central role in handling international trade but also reflects their crucial position in the global supply chain. Therefore, continued investment and strategic upgrades to the identified key ports are essential to ensure stable economic growth in the region and smooth operation of the global market.
: Ports with high annual average throughput generally exhibit strong dependencies in the GLSN. As can be derived from Figure 8c, among the top 20 ports by global annual average throughput, most of these high-throughput ports also demonstrate significant global dependencies in the GLSN, showing a . Analysis of this phenomenon suggests the following reasons: (1) Ports with large annual throughput are closely linked to the economic activities of GLSRF; their operational health directly impacts the stability and efficiency of the global supply chain, hence their strong dependency on GLSN. Any fluctuations in these ports can directly affect the operational efficiency and economic benefits of the GLSN [5]. (2) Ports with higher annual throughput are more likely to serve as major hubs in the maritime network, not only enhancing their influence within the GLSN but also increasing their dependence on the smooth functioning of the GLSN [33].
: can reveal key ports that may be overlooked by traditional methods, enriching our understanding of global trade dynamics. Unlike traditional statistical and network-based key node identification methods, considers the global structural characteristics of the GLSN (the importance of a port depends not only on the number of its direct connections but also on the quality of these connections) and can also effectively reveal the true status and role of ports in the global trade network by incorporating higher-order dependencies. In Figure 9a for the North America region, the Port of Balboa in Panama shows a . This increase is primarily attributed to Balboa’s location on the Pacific side of the Panama Canal, one of the most crucial ports of the Panama Canal. The Panama Canal [34] allows ships passing through Balboa to quickly enter the Atlantic or move from the Atlantic to the Pacific, significantly reducing the travel distance and time of international routes. Particularly, the maritime routes from China and Japan to the east coast of the United States heavily depend on the Panama Canal, thus playing a vital role in strengthening the links between Asian manufacturing and the markets in the Americas and Europe [35]. Although Balboa’s throughput is not among the highest globally, analysis identifies its significant strategic position from the perspectives of higher-order structure and global dependency. It shows that the MSHOD can reveal nodes that, despite having smaller cargo throughput, have a significant impact on global trade flows, thus providing a more comprehensive and deeper analytical perspective for the GLSN.
Figure 9.
Key nodes identification results using the SSHODN in GLSRFs. (a,b) The container ports with the largest changes in (circles) and (stars), excluding the top 20 by annual throughput. Different colors represent different geographical regions, and the size of the shapes indicates the magnitude of . (b) Dashed ellipse highlighting a zoomed-in section near Oceania. For more details, see Table 3.
: Ports with strong dependencies tend to be more evenly distributed along both the east and west coasts of the United States (US). In Figure 9a, Charleston and Auckland in the US are identified as key ports through . Interestingly, they are located on the east and west coasts, respectively, playing significant roles in transshipment and processing for shipping routes from Asia to the east coast and from Europe to the west coast [36]. Therefore, they are not only key nodes within the US maritime trade network but also indispensable hubs in the global supply chain.
The MSHOD is also applicable to other regions, identifying ports within each region that have significant increases in . These ports are usually not prominent in traditional throughput analyses and the SSFODN, but they hold greater importance in global dependency analysis.
: Geographical isolation and regional trade structures significantly influence port dependencies. Figure 9b displays results related to . Notably, among the 31 major container ports in Oceania studied, all but Melbourne exhibited (see Appendix B for more details). Several factors can explain this phenomenon [37,38]: (1) Major countries in Oceania like Australia and New Zealand are located in the Southern Hemisphere, far from global economic centers such as North America, Europe, and East Asia. This geographical remoteness and isolation limit their ports’ reliance on major global shipping routes, weakening their central role in the GLSN. (2) The trade structure of Oceania is unique, primarily exporting resources and agricultural products. Such goods do not require complex logistics and transshipment systems, resulting in lower demand and less comprehensive service requirements at ports compared to manufactured goods and high-tech products.
(3) Oceania’s ports mainly serve the regional interior or maintain specific point-to-point connections with Asia and the United States. Unlike ports located at global shipping hubs, Oceania’s ports lack extensive international route networks. This limitation in route radiance results in shorter dependency paths within the GLSN, affecting their position in the GLSN.
In East Asia and Southeast Asia, ports with are mainly smaller-scale or inland ports, such as Nanchang in China, which is consistent with reality [39]. Due to factors such as location and size, these ports typically do not have significant global influence, and their dependency paths or dependencies are relatively weak within the GLSN.
Overall, the MSHOD has refined traditional methods of key nodes identification, providing a more forward-looking and in-depth analytical perspective for GLSN research. Decision-makers can effectively identify the strength of connections between ports within a region, and the importance of shipping routes, and develop more targeted maritime trade strategies based on key ports. By thoroughly studying the interactions between regional ports, it also offers more scientific data support for the operational strategies of global ports, enabling them to enhance their own efficiency while effectively responding to external trade and situational changes [40].
4.2. Intermediate-Scale Experiments on GLSRF
In the intermediate-scale experiment, container ports are mapped to the national dimension based on attribute division, using Algorithm 1 to construct the ISHODN and ISFODN. In the resulting GLSN, each node represents a different country, with edges denoting the directed paths between countries. Similar to the small-scale experiment, we use Singapore as the hub node (in this context, Singapore represents a port in the SSHODN and a country in the ISHODN) and present the study of second-order dependency paths in the ISHODN in Figure 10. Analysis shows that selecting is effective for the subsequent mining of higher-order dependency paths and key nodes identification experiments. In Figure 10c, the dependency paths starting from China and Malaysia to Singapore have the highest proportions, with and accounting for and of , respectively. Furthermore, have proportions in of , , , , , and , respectively, indicating strong second-order dependencies between Klang, Singapore, and Australia/China/Malaysia/Indonesia/Vietnam/Thailand. The results demonstrate significant dependencies of Malaysia, Singapore, and China within the GLSN, with a high proportion of in .
Figure 10.
Example of second-order relationships in the ISHODN. (a–d) Nodes on either side representing paths with dependency relationships using Singapore (country) as the hub node (). The percentages on the left side of the nodes indicate the proportion of in . The percentages on the right side of the nodes represent the proportion of in .
: The exploration of high-order interactions to a certain extent can depict the effects of related policies. Figure 10 shows that the strong dependency of Malaysia, Singapore, and China within the GLSN is due not only to their strategic geographic locations and robust maritime infrastructure but also largely to the support of related policies. The “Maritime Silk Road” initiative, a crucial part of the “Belt and Road” strategy, aims to enhance maritime cooperation along the route and strengthen economic, trade, and cultural exchanges [41]. As one of the world’s largest trading countries, China’s efficiency in the GLSN is vital to the global supply chain [5], especially with the push of the initiative, which has further enhanced China’s international influence and deepened its maritime connections with countries along the route, particularly those in Southeast Asia. Simultaneously, the governments of Singapore and Malaysia actively participate in the construction of the “Belt and Road”, continuously enhancing their competitiveness and status in the international maritime network by forming higher-order structures with more countries [42,43]. The excavation of high-order interactions in GLSRFs reveals that the “Maritime Silk Road” initiative has promoted regional economic integration by strengthening cooperation within the region, demonstrating the immense success of the initiative. This not only reinforces economic dependencies among the participating countries but also contributes to building a more open and mutually beneficial global economic framework. Hence, the significance of Malaysia, Singapore, and China in the GLSN is not only reflected in their port throughput and efficient operations but also in the deep links among these countries and with the global economy.
This type of high-order dependency relationship indicates that a strongly interdependent high-order structure, when affected, can impact maritime and trade activities across an entire region or even more broadly, underscoring the importance of cooperation and coordination in the management of complex global maritime systems [44].
: Higher-order dependency interactions commonly occur in closed-loop routing. Closed-loop routing refers to shipping routes where the endpoint and starting point are the same, forming a circular route. Figure 11a demonstrates a third-order dependency relationship extracted from ISHODN, indicating that in the third step of , ships tend to return to China. This phenomenon is even more pronounced in the four-order dependencies shown in Figure 11b. Upon analysis, several reasons explain why dependencies are more likely to occur in closed-loop routes [45]: (1) From an economic perspective, the formation and operation of dependencies are directly influenced by cargo demand and supply chain efficiency. For example, the trade cycle between Japan and China is not merely a unidirectional flow of goods but a complex network of supply and demand relationships. This cyclicality of economic activity creates a strong feedback mechanism, making the route tend to form a closed loop to optimize logistics costs and time efficiency. (2) When selecting routes, factors such as cost, time, and reliability are considered. Once a route demonstrates economic and operational advantages, path dependency forms, and this routing pattern may be maintained even under changing external conditions. This adaptive behavior, a key concept in complex systems theory, suggests that systems adjust their behavior patterns based on historical experiences and current states. Additionally, this phenomenon can be seen in supply chain management as a manifestation of circular logistics [46], emphasizing the recycling of resources and the optimization of processes.
Figure 11.
Third-order and fourth-order dependency relationships in the ISHODN. (a,b) The four or five columns of nodes represent different countries. Different colors signify the extracted dependency paths, with (a) highlighted in blue representing .
Further analysis of GLSRFs reveals that within the ISHODN, the highest order dependency path is quintic, uniquely comprising a ternary interaction sequence involving South Korea, Japan, and China (South Korea–Japan–South Korea–China–South Korea–Japan). Notably, these three countries align precisely with those scrutinized in the large-scale experimental section (Section Large-Scale Experiments on GLSRF) on the China–Japan–South Korea Cooperation (CJK), highlighting the pivotal role of higher-order interactions mining in supporting GLSN. The findings suggest that in GLSRF intermediate-scale experiments, the order of higher-order dependency paths is capped at the fifth order.
Figure 12 depicts the changing significance of certain countries within the GLSN when higher-order interactions are considered. This analysis assists policymakers and economic planners in discerning vulnerabilities and strengths in the global maritime supply chain. Identifying countries with pronounced dependencies within the GLSN enables the formulation of effective risk management strategies, which are crucial for minimizing the risk of disruptions in the global supply chain due to node-specific issues [5,41]. Moreover, these findings are strategically important for bolstering international cooperation and economic diplomacy. By comprehending the roles and standings of different countries in the GLSN, efforts to forge multilateral trade agreements or establish bilateral relations can be intensified, thereby enhancing economic security and political influence [47]. Additionally, this knowledge is vital for maintaining global stability and peace. Understanding which countries are pivotal in the flow of global strategic resources allows the international community to implement preemptive measures during geopolitical tensions, securing the stability and safety of resource flows.
Figure 12.
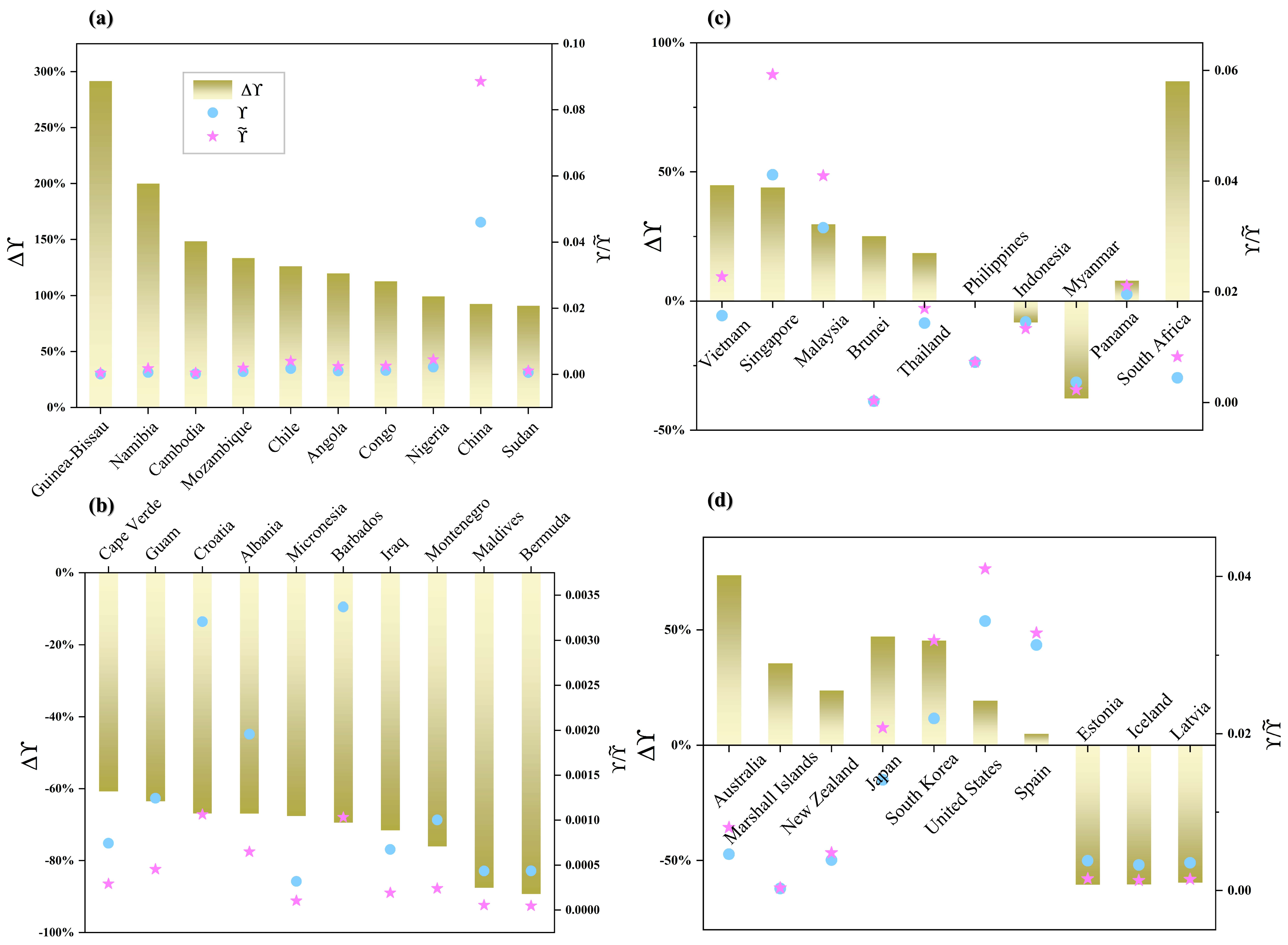
Key nodes identification results using ISHODN the GLSRF. (a–d) Yellow bars representing , blue circles for , and pink stars for . Each subplot has a left y-axis showing the percentage values for and a right y-axis for the values of or . (a) The top 10 countries or regions with the highest . (b) The bottom 10 countries or regions with . (c,d) Mainly Southeast Asia, Oceania, and other representative results.
: Countries in East and Southeast Asia demonstrate pronounced higher-order dependencies within the GLSN. As depicted in Figure 12a with Cambodia and China, Figure 12c featuring Vietnam, Singapore, Malaysia, Brunei, and Thailand, and Figure 12d including Japan and South Korea, there is a notable escalation in across these countries. This trend can be attributed to several key factors [48,49]: (1) These regions are strategically located on pivotal global maritime routes, such as the Strait of Malacca, positioning them at the crossroads of the Asian continent and the Pacific and Indian Oceans, thus forming a crucial maritime link between the East and West. (2) The economies of East and Southeast Asia are predominantly driven by export-oriented strategies, exemplified by China’s role as the world’s foremost goods trading country, which significantly influences the efficacy of the GLSN and the stability of the global manufacturing and supply chain. (3) According to complex systems theory, ports in these areas are not merely nodes but are central to the network’s higher-order dependencies.
To summarize, the higher-order interactions identified in East and Southeast Asia are collectively shaped by their strategically important geographical locations, extensive economic globalization, prominent network centrality, and regional cooperation strategies. These dependencies critically influence global economic stability and regional development.
: Differences between the SSHODN and ISHODN illustrate the dual circulation economic model of a country. In economics [50], domestic circulation encompasses the internal economic activities of a country, such as production, distribution, exchange, and consumption, focusing on self-sufficiency and expanding domestic demand. In contrast, international circulation includes cross-border economic activities like international trade, foreign direct investment, and global supply chain management, emphasizing global connectivity and cooperative benefits within an open economic system. In small-scale experiments, particularly at the port level, Oceania’s generally shows a decrease compared to . However, at the national level, as depicted in Figure 12d, prominent Oceanian countries like Australia, the Marshall Islands, and New Zealand exhibit significant increases in relative to . This significant discrepancy necessitates a deeper investigation, largely attributed to Oceania’s dual economic circulation model [51]. (1) Oceania’s economy heavily relies on the export of minerals and agricultural products, primarily to Asia, North America, and Europe, making international maritime transport pivotal in its transport system.
(2) Robust support from policies and trade agreements, including Australia’s active engagement in international trade agreements and regional economic collaborations such as the free trade agreement with China and the Trans-Pacific Partnership, has notably enhanced the expansion of international maritime transport.
In contrast, although domestic transportation is relatively advanced, it encounters challenges such as lengthy geographical distances and high costs, which curtail the scale and efficiency of internal cycles. Consequently, in numerous major countries in Oceania, the development of external cycles substantially outpaces that of internal cycles [51].
The results discussed above derive from analyzing a three-year dataset from GLSRFs. Additionally, we are intrigued by the evolutionary trends of across different years. Thus, we segment the data into three distinct sets for the years 2018, 2020, and 2023 for further analysis.
: In recent years, the dependency levels of traditionally maritime-developed countries have evolved towards greater uniformity. As shown in Figure 12d, countries that had higher values in 2018, such as China, Singapore, and the US, have seen these metrics gradually decrease and stabilize over time. Conversely, countries with lower values in 2018, like Turkey and Belgium, have experienced increases in these values, stabilizing at higher levels, indicating a reduction in the disparity of importance among global maritime powers. This trend can be attributed to several factors as analyzed through complex systems theory [5,52]: (1) The diversification of the global supply chain has encouraged many countries to seek varied supply and logistics channels, reducing dependence on a single market and leading to a redistribution of maritime significance, allowing more countries to play pivotal roles in the global logistics network. (2) A more uniform distribution of importance enhances the network’s resilience against geopolitical shifts and natural disasters. A reduction in reliance on a few key nodes diminishes the risk of systemic failures due to issues at any single node. (3) The equalization of within the GLSN fosters balanced global economic growth, benefiting more countries, particularly developing and marginalized economies. A balanced and diverse GLSN can more effectively respond to shifts in global market demands, thereby improving the overall efficiency and responsiveness of the supply chain.
: serves as a metric to measure the impact of sudden events on different countries. Taking the results from Russia and Ukraine in Figure 13e as examples, it is observable that in both countries, initially decreased and then increased over the past three years, yet it did not return to its 2018 levels. This fluctuation is likely due to the disruptions in trade routes, economic sanctions, and market access limitations triggered by the sudden events of 2020, which subsequently led to a decrease in foreign direct investment and significantly impacted the domestic trade markets. These impacts are not limited to the countries directly involved in the conflict but also have long-term negative effects on global economic and regional stability [53]. The interdependency of the globalized economy means that instability in any single country can affect the entire economic system, impacting global supply chains and market stability [54]. In the context of deepening globalization, countries should strive to resolve international disputes through multilateral cooperation and dialogue [55]. From this case study, it is evident that is an effective tool for measuring the extent of the impact that sudden events have on different countries, potentially aiding countries in preventing conflicts and fostering long-term peace.
Figure 13.
The evolution of across various years. (a–c) Heat maps of for various countries within GLSN for the years 2018, 2020, and 2023, respectively. Countries or regions colored grey indicate a value of 0 for the corresponding year, meaning they were not covered in GLSRF. The intensity of the colors in the heat maps reflects the degree of dependency of the countries in GLSN, with values ranging from . The x-axes in (d,e) represent different years, while the y-axes show the values of . (d) The values for traditionally maritime developed countries. (e) Data for a selection of representative countries.
Large-Scale Experiments on GLSRF
In the large-scale experiment, we map countries to organizations based on attribute classification, utilizing Algorithm 1 to construct LSHODN and LSFODN. In GLSN, each node represents a different organization, and the edges denote the directed paths of ship movements between organizations. Initially, we classify these countries into several major regional economies based on geographic location, economic development levels, political alliances, and other relevant factors. These regional economies typically comprise several countries with political, economic, and cultural similarities or dependencies (see Appendix C for more details).
: Compared to , more effectively distinguishes the importance of nodes within the LSHODN. According to Figure 14b, is shown to be ineffective due to the uniform connection of nodes within LSFODN as the scale of GLSN analysis expands, resulting in identical values across different nodes and thus failing to identify key nodes. In contrast, , by accounting for higher-order interactions and dependencies, remains effective within the GLSN, further demonstrating the superiority of .
Figure 14.
Key nodes identification results using the LSHODN in GLSRFs. (a) The geographical distribution of seven different organizations. (b) The results of key nodes identification, where pink represents and blue represents .
: In the GLSN, the Middle East and North Africa (MENA) region exhibits a strong global dependency. As illustrated in Figure 14b, the MENA region has a high value within GLSN, primarily due to the following reasons [56]: (1) The MENA region encompasses some of the world’s most critical maritime routes, such as the Suez Canal and the Strait of Hormuz [5,20,48]. These routes are vital for the global energy supply chain, especially for the transportation of oil and natural gas. Consequently, countries in this region are highly dependent on maritime transport to ensure the free flow through these crucial routes to maintain economic stability. (2) Many countries in the MENA region are heavily reliant on the export of oil and natural gas. For example, a significant portion of the export revenues of countries like Saudi Arabia, Iran, and the United Arab Emirates (UAE) comes from energy exports, which are almost entirely conducted via maritime transport. (3) Besides oil and natural gas, many MENA countries are also highly dependent on imports of food and manufactured goods. For instance, Egypt and Saudi Arabia need to import large quantities of food to meet domestic demands, typically imported via maritime transport. (4) Some countries in the MENA region, like Dubai in the UAE and Sohar in Oman, have made substantial investments in port infrastructure, turning these ports into significant international logistics and transshipment hubs. These investments not only reinforce the existing reliance on maritime transport but also serve future economic diversification strategies.
The dependency of the MENA region on global maritime shipping is influenced by multiple factors, including its strategic geographical importance, economic dependence on energy exports, security needs stemming from political instability, and significant investments in infrastructure. Understanding how these factors impact the global shipping network and regional economic and political stability is crucial.
: In GLSRFs, as the scale of MSCHOD analysis expands, the degree of higher-order dependencies within the GLSN gradually decreases. This primarily results from network abstraction and information loss, as the network transitions from a micro to a macro scale, leading to the neglect or simplification of details and small-scale dependencies [28]. Additionally, higher-order dependencies typically reveal complex interaction patterns and dependency paths within the network. In the SSHODN, these complex dependencies are more easily identified and analyzed because the functions and connections of each node are clearly defined. However, as the scale of analysis increases and nodes merge, these complex dependency paths may become obscured due to the merging of nodes, resulting in a reduction in higher-order interactions.
4.3. Further Discussion
In the 21st century, the science of liner shipping networks has rapidly and vigorously developed. However, research on using higher-order dependency networks for modeling and their dynamic behaviors is still in its infancy, with many unresolved issues. In the global maritime network analysis, as the scale of analysis expands, although it helps to more comprehensively handle and overview the entire network, it may overlook complex dependency relationships within the network. Therefore, when conducting network modeling and analysis, analysts need to consider the chosen scale and specific analysis objectives comprehensively to ensure that the identification of higher-order dependencies is not neglected, thereby enabling a more precise understanding and optimization of the operations and decision-making in global liner shipping networks.
Additionally, in the problem of identifying key nodes, the order and number of higher-order nodes corresponding to a physical node may vary. Therefore, the weight of each higher-order node attribute should also be differentiated. How to reasonably measure the weight of each higher-order node attribute is a topic worth exploring in depth. From another perspective, it is meaningful to investigate whether the transformation of higher-order dependency relationships into transition probabilities between physical nodes, including both short-range interactions between directly connected nodes and long-range interactions between non-directly connected nodes, can be used to identify key nodes in the network.
Author Contributions
Y.F. and X.L. (Xiang Li): Conceptualization; Y.F. and Q.H.: Methodology; X.L. (Xiongyi Lu) and X.D.: Software; J.L.: Formal analysis; Y.F. and X.L. (Xiang Li): Investigation; J.L. and Q.H.: Resources; Y.F. and X.D.: Data curation; Y.F. and M.Y.: Writing—original draft preparation; J.L. and Q.H.: Writing—review and editing; X.L. (Xiongyi Lu): Visualization; X.L. (Xiang Li) and Q.H.: Supervision; Y.F.: Project administration; Q.H. and J.L.: Funding acquisition. All authors have read and agreed to the published version of the manuscript.
Funding
This work was supported in part by the Science Foundation for Outstanding Youth Scholars of Hunan Province, Grant/Award Number: 2022JJ20047, and the National Natural Science Foundation of China, Grant/Award Number: 62103422, 6210023156, 72371244 and 72001209.
Data Availability Statement
All additional data supporting the results of this study are available at: https://github.com/fuyude2022/marine-result-data (accessed on 30 July 2024).
Acknowledgments
The authors thank the editor and the anonymous referees for their helpful comments and critiques.
Conflicts of Interest
The authors declare no conflicts of interest.
Appendix A. Table of the Top 20 Global Container Ports by Annual Throughput
The average annual throughput of container ports is an important statistical metric used to measure port efficiency and capacity. This metric represents the average volume of goods processed through the port each year, typically measured in twenty-foot equivalent units (TEUs). Furthermore, the average annual throughput serves as a critical indicator for assessing port operational performance, reflecting the port’s capability to handle cargo flow. Consequently, Table A1 lists the average annual throughput of global container ports over the past three years.
Table A1.
Annual average throughput.
Table A1.
Annual average throughput.
| Ports | TEU | Ports | TEU |
|---|---|---|---|
| Shanghai | 47.3 | Singapore | 37.3 |
| Ningbo-Zhoushan | 33.4 | Shenzhen | 30.0 |
| Qingdao | 25.7 | Guangzhou | 24.6 |
| Busan | 22.1 | Tianjin | 21.0 |
| Los Angeles/Long Beach | 19.0 | Hong Kong | 16.6 |
| Rotterdam | 14.5 | Dubai/Jebel Ali | 14.0 |
| Antwerp-Bruges | 13.5 | Kelang | 13.2 |
| Xiamen | 12.4 | Tanjung Priok Port | 10.5 |
| Kaohsiung | 9.5 | New York/New Jersey | 9.5 |
| Laem Chabang | 8.7 | Hamburg | 8.4 |
Appendix B. Table of Changes in ΔΘ for Oceania
Table A2 presents the results related to the changes in for the 31 main container ports in Oceania.
Table A2.
changes in Oceania’s container ports.
Table A2.
changes in Oceania’s container ports.
| Ports | Ports | ||||||
|---|---|---|---|---|---|---|---|
| Adelaide | 0.00066 | 0.00060 | −9.31% | Brisbane | 0.00196 | 0.00167 | −14.67% |
| Botany Bay | 0.00257 | 0.00214 | −16.72% | Lyttelton | 0.00100 | 0.00067 | −32.96% |
| Wellington | 0.00069 | 0.00041 | −41.18% | Fremantle | 0.00119 | 0.00067 | −43.31% |
| Tauranga | 0.00248 | 0.00139 | −43.81% | Auckland | 0.00235 | 0.00127 | −46.09% |
| Moresby | 0.00068 | 0.00036 | −47.15% | Napier | 0.00085 | 0.00044 | −48.43% |
| Nelson | 0.00106 | 0.00049 | −53.62% | Bluff | 0.00039 | 0.00017 | −56.51% |
| Lae | 0.00122 | 0.00050 | −58.98% | Townsville | 0.00040 | 0.00014 | −64.53% |
| Chalmers | 0.00078 | 0.00023 | −70.61% | Georgetown | 0.00037 | 0.00011 | −70.70% |
| Apia | 0.00090 | 0.00026 | −71.34% | Marsden Point | 0.00059 | 0.00017 | −71.60% |
| Suva | 0.00074 | 0.00020 | −73.09% | Nuku’alofa | 0.00051 | 0.00013 | −73.40% |
| Lautoka | 0.00120 | 0.00026 | −78.26% | Kimbe | 0.00038 | 0.00008 | −78.71% |
| Darwin | 0.00039 | 0.00008 | −80.45% | Timaru | 0.00074 | 0.00014 | −81.53% |
| Honiara | 0.00076 | 0.00014 | −82.07% | Vila | 0.00091 | 0.00015 | −83.95% |
| Newcastle | 0.00031 | 0.00004 | −87.76% | Esperance | 0.00053 | 0.00005 | −89.74% |
| Majuro | 0.00075 | 0.00008 | −89.96% | Koror | 0.00077 | 0.00006 | −92.08% |
Appendix C. Table of Major Global Economic Organizations
Table A3 shows the construction of LSHODN for the seven major global economic organizations.
Table A3.
Overview of Major Global Economic Organizations.
Table A3.
Overview of Major Global Economic Organizations.
| Complete Names and Abbreviations of Each Organization | List of Included Countries |
|---|---|
| North American Free Trade Agreement (NAFTA) | United States, Canada, Mexico. |
| European Union (EU) | Austria, Belgium, Bulgaria, Croatia, Cyprus, Czech Republic, Denmark, Estonia, Finland, France, Germany, Greece, Hungary, Ireland, Italy, Latvia, Lithuania, Luxembourg, Malta, Netherlands, Poland, Portugal, Romania, Slovakia, Slovenia, Spain, Sweden. |
| China-Japan-South Korea Cooperation (CJK) | China, Japan, South Korea. |
| Association of Southeast Asian Nations (ASEAN) | Indonesia, Malaysia, Philippines, Singapore, Thailand, Vietnam, Myanmar, Cambodia, Laos, Brunei. |
| Southern Common Market (Mercosur) | Argentina, Brazil, Paraguay, Uruguay. |
| Southern African Development Community (SADC) | Angola, Botswana, Comoros, Democratic Republic of the Congo, Eswatini, Lesotho, Madagascar, Malawi, Mauritius, Mozambique, Namibia, Seychelles, South Africa, Tanzania, Zambia, Zimbabwe. |
| Middle East and North Africa (MENA) | Algeria, Bahrain, Djibouti, Egypt, Iran, Iraq, Israel, Jordan, Kuwait, Lebanon, Libya, Malta, Morocco, Oman, Qatar, Saudi Arabia, Syria, Tunisia, United Arab Emirates, Palestine, Yemen. |
References
- Xu, M.; Pan, Q.; Muscoloni, A.; Xia, H.; Cannistraci, C.V. Modular gateway-ness connectivity and structural core organization in maritime network science. Nat. Commun. 2020, 11, 2849. [Google Scholar] [CrossRef] [PubMed]
- Qu, H.; Wang, X.; Meng, L.; Han, C. Liner Schedule Design under Port Congestion: A Container Handling Efficiency Selection Mechanism. J. Mar. Sci. Eng. 2024, 12, 951. [Google Scholar] [CrossRef]
- Wang, Y.; Zou, T. Optimization of Berth-Tug Co-Scheduling in Container Terminals under Dual-Carbon Contexts. J. Mar. Sci. Eng. 2024, 12, 684. [Google Scholar] [CrossRef]
- Ge, J.; Wang, X.; Shi, W. Link prediction of the world container shipping network: A network structure perspective. Chaos 2021, 31, 113123. [Google Scholar] [CrossRef] [PubMed]
- Verschuur, J.; Koks, E.E.; Hall, J. Ports’ criticality in international trade and global supply-chains. Nat. Commun. 2021, 13, 4351. [Google Scholar] [CrossRef] [PubMed]
- Sakita, B.M.; Helgheim, B.I.; Bråthen, S. The Principal-Agent Theoretical Ramifications on Digital Transformation of Ports in Emerging Economies. Logistics 2024, 8, 51. [Google Scholar] [CrossRef]
- Bakker, F.; van der Werff, S.; Baart, F.; Kirichek, A.; de Jong, S.; van Koningsveld, M. Port Accessibility Depends on Cascading Interactions between Fleets, Policies, Infrastructure, and Hydrodynamics. J. Mar. Sci. Eng. 2024, 12, 1006. [Google Scholar] [CrossRef]
- Bai, X.; Ma, Z.; Zhou, Y. Data-driven static and dynamic resilience assessment of the global liner shipping network. Transp. Res. Part E Logist. Transp. Rev. 2023, 170, 103016. [Google Scholar] [CrossRef]
- Liu, X.; Xu, Y.; Xu, M.; Deng, W.; Pan, L.; Ng, A.K.Y. Two-Hop Biconnected Components in the Global Liner Shipping Network Reveal International Trade Statuses. IEEE Trans. Netw. Sci. Eng. 2023, 10, 1564–1574. [Google Scholar] [CrossRef]
- Rodrigue, J. The governance of intermediacy: The insertion of Panama in the global liner shipping network. Res. Transp. Bus. Manag. 2017, 22, 21–26. [Google Scholar] [CrossRef]
- Lin, W.; Liu, W. Resilience Evaluation of Ports along the Maritime Silk Road from the Perspective of Investment and Construction. J. Adv. Transp. 2023, 2023, 8818667. [Google Scholar] [CrossRef]
- Mou, N.; Liu, C.; Zhang, L.; Fu, X.; Xie, Y.; Li, Y.; Peng, P. Spatial Pattern and Regional Relevance Analysis of the Maritime Silk Road Shipping Network. Sustainability 2018, 10, 977. [Google Scholar] [CrossRef]
- Li, X.; Zhao, C.; Hu, Z.; Yu, C.; Duan, X. Revealing the character of journals in higher-order citation networks. Scientometrics 2022, 127, 6315–6338. [Google Scholar] [CrossRef]
- Smirnov, D.A. Information transfers and flows in Markov chains as dynamical causal effects. Chaos 2024, 34, 3. [Google Scholar] [CrossRef] [PubMed]
- Rosvall, M.; Esquivel, A.V.; Lancichinetti, A.; West, J.D.; Lambiotte, R. Memory in network flows and its effects on spreading dynamics and community detection. Nat. Commun. 2013, 5, 4630. [Google Scholar] [CrossRef] [PubMed]
- Ducruet, C.; Notteboom, T.E. The worldwide maritime network of container shipping: Spatial structure and regional dynamics. Glob. Netw. 2012, 12, 395–423. [Google Scholar] [CrossRef]
- Kosowska-Stamirowska, Z. Network effects govern the evolution of maritime trade. Proc. Natl. Acad. Sci. USA 2020, 117, 12719–12728. [Google Scholar] [CrossRef] [PubMed]
- Tsiotas, D.; Polyzos, S. Analyzing the Maritime Transportation System in Greece: A Complex Network Approach. Netw. Spat. Econ. 2015, 15, 981–1010. [Google Scholar] [CrossRef]
- Chen, R.; Meng, Q.; Jia, P. Container port drayage operations and management: Past and future. Transp. Res. Part E Logist. Transp. Rev. 2022, 159, 102633. [Google Scholar] [CrossRef]
- Verschuur, J.; Koks, E.E.; Li, S.; Hall, J.W. Multi-hazard risk to global port infrastructure and resulting trade and logistics losses. Commun. Earth Environ. 2023, 4, 5. [Google Scholar] [CrossRef]
- Li, X.; Zhang, X.; Huangpeng, Q.; Zhao, C.; Duan, X. Event detection in temporal social networks using a higher-order network model. Chaos 2021, 31, 113144. [Google Scholar] [CrossRef]
- Li, J.; Lu, X. Measuring the Significance of Higher-Order Dependency in Networks. New J. Phys. 2024, 26, 033032. [Google Scholar] [CrossRef]
- Yang, Y.; Liu, W.; Xu, X. Identifying Important Ports in Maritime Silk Road Shipping Network from Local and Global Perspective. Transp. Res. Rec. 2022, 2676, 798–810. [Google Scholar] [CrossRef]
- Asadabadi, A.; Miller-Hooks, E. Maritime port network resiliency and reliability through co-opetition. Transp. Res. Part E-Logist. Transp. Rev. 2020, 137, 101916. [Google Scholar] [CrossRef]
- Xu, J.; Wickramarathne, T.L.; Chawla, N. Representing higher-order dependencies in networks. Sci. Adv. 2015, 2, e1600028. [Google Scholar] [CrossRef] [PubMed]
- Saebi, M.; Xu, J.; Kaplan, L.M.; Ribeiro, B.; Chawla, N. Efficient modeling of higher-order dependencies in networks: From algorithm to application for anomaly detection. EPJ Data Sci. 2017, 9, 15. [Google Scholar] [CrossRef]
- Gong, C.; Li, J.; Qian, L.; Li, S.; Yang, Z.; Yang, K. HMSL: Source localization based on higher-order Markov propagation. Chaos Solitons Fractals 2024, 182, 114765. [Google Scholar] [CrossRef]
- Xu, Y.; Peng, P.; Claramunt, C.; Lu, F.; Yan, R. Cascading failure modelling in global container shipping network using mass vessel trajectory data. Reliab. Eng. Syst. Saf. 2024, 249, 110231. [Google Scholar] [CrossRef]
- Gu, C.; Yu, W.; Hu, J.; Zhou, Z. On the Path of Increasing Farmer Income in the Yangtze River Delta Region under the Background of Digital Economy. Front. Bus. Econ. Manag. 2024, 13, 48–54. [Google Scholar] [CrossRef]
- Wang, R.; Lee, K.E.; Mokhtar, M.B.; Goh, T.L. The Transition of Belt and Road Initiative from 1.0 to 2.0: Challenges and Implications of Green Development. Fudan J. Humanit. Soc. Sci. 2023, 16, 293–328. [Google Scholar] [CrossRef]
- Zhang, Q.; Jiang, Y.; Ren, H.; Tang, H.; Tang, D.; Yuan, C.; Guerrero, J.M. Optimal Planning for Wind Turbines in Mega Seaports Considering Practical Application Constraints: A Case Study of Ningbo-Zhoushan Port. J. Mar. Sci. Eng. 2024, 12, 631. [Google Scholar] [CrossRef]
- le Blanc, D. Towards Integration at Last? The Sustainable Development Goals as a Network of Targets. Sustain. Dev. 2015, 23, 176–187. [Google Scholar] [CrossRef]
- Jiang, J.; Lee, L.H.; Chew, E.P.; Gan, C.C. Port connectivity study: An analysis framework from a global container liner shipping network perspective. Transp. Res. Part E-Logist. Transp. Rev. 2015, 73, 47–64. [Google Scholar] [CrossRef]
- Park, C.; Richardson, H.W.; Park, J. Widening the Panama Canal and U.S. ports: Historical and economic impact analyses. Marit. Policy Manag. 2020, 47, 419–433. [Google Scholar] [CrossRef]
- Carse, A. Nature as infrastructure: Making and managing the Panama Canal watershed. Soc. Stud. Sci. 2012, 42, 539–563. [Google Scholar] [CrossRef]
- Wang, Z.A.; Wanninkhof, R.; Cai, W.J.; Byrne, R.H.; Hu, X.; Peng, T.H.; Huang, W. The marine inorganic carbon system along the Gulf of Mexico and Atlantic coasts of the United States: Insights from a transregional coastal carbon study. Limnol. Oceanogr. 2013, 58, 325–342. [Google Scholar] [CrossRef]
- Sokolov, S. Foreign Trade Geographical Zones In Asia And The Pacific. In Proceedings of the International Scientific Conference “Far East Con” (ISCFEC 2018), Vladivostok, Russian, 2–4 October 2018; Atlantis Press: Amsterdam, The Netherlands, 2019. [Google Scholar]
- Dalsøren, S.B.; Eide, M.S.; Endresen, Ø.; Mjelde, A.; Gravir, G.; Isaksen, I.S.A. Update on emissions and environmental impacts from the international fleet of ships: The contribution from major ship types and ports. Atmos. Chem. Phys. 2008, 9, 2171–2194. [Google Scholar] [CrossRef]
- Zhuang, P.; Li, X.; Wu, J. The Spatial Value and Efficiency of Inland Ports with Different Development Models: A Case Study in China. Sustainability 2023, 15, 12677. [Google Scholar] [CrossRef]
- Almorza, D.; Prieto, J.M.; Amor-Esteban, V.; Piniella, F. Port State Control Inspections under the Paris Memorandum of Understanding and Their Contribution to Maritime Safety: Additional Risk Classifications and Indicators Using Multivariate Techniques. J. Mar. Sci. Eng. 2024, 12, 533. [Google Scholar] [CrossRef]
- Blanchard, J.M.F.; Flint, C. The Geopolitics of China’s Maritime Silk Road Initiative. Geopolitics 2017, 22, 223–245. [Google Scholar] [CrossRef]
- Liu, W.; Dunford, M.; Gao, B. A discursive construction of the Belt and Road Initiative: From neo-liberal to inclusive globalization. J. Geogr. Sci. 2018, 28, 1199–1214. [Google Scholar] [CrossRef]
- Yang, J. Research on Southeast Asia’s Maritime Thoroughfare Security in the Construction of the Belt and Road Initiative. In Proceedings of the 2016 International Conference on Education, Management Science and Economics, Singapore, 26–28 December 2016. [Google Scholar]
- Lee, P.T.W.; Hu, Z.H.; Lee, S.; Choi, K.S.; Shin, S.H. Research trends and agenda on the Belt and Road (B&R) initiative with a focus on maritime transport. Marit. Policy Manag. 2018, 45, 282–300. [Google Scholar]
- Govindan, K.; Salehian, F.; Kian, H.; Hosseini, S.T.; Mina, H. A location-inventory-routing problem to design a circular closed-loop supply chain network with carbon tax policy for achieving circular economy: An augmented epsilon-constraint approach. Int. J. Prod. Econ. 2023, 257, 108771. [Google Scholar] [CrossRef]
- Butt, A.S.; Ali, I.; Govindan, K. The role of reverse logistics in a circular economy for achieving sustainable development goals: A multiple case study of retail firms. Prod. Plan. Control 2023, 1–13. [Google Scholar] [CrossRef]
- Reid, W.V.; Chen, D.; Goldfarb, L.A.; Hackmann, H.; Lee, Y.T.; Mokhele, K.; Ostrom, E.; Raivio, K.O.; Rockström, J.; Schellnhuber, H.J.; et al. Earth System Science for Global Sustainability: Grand Challenges. Science 2010, 330, 916–917. [Google Scholar] [CrossRef] [PubMed]
- Majdin, M.F.M.; Osman, R.A.H.; Yaapar, M.S. The Strait of Malacca and Strait of Hormuz: A Brief Historical Review. Kemanus. Asian J. Humanit. 2023, 30, 1–20. [Google Scholar] [CrossRef]
- Gong, X. The Belt & Road Initiative and China’s influence in Southeast Asia. Pac. Rev. 2018, 32, 635–665. [Google Scholar]
- Xu, W.; Xie, Y.; Xia, D.; Ji, L.; Huang, G.G. Towards low-carbon domestic circulation: Insights from the spatiotemporal variations and socioeconomic determinants of emissions embedded within cross-province trade in China. J. Environ. Manag. 2022, 320, 115916. [Google Scholar] [CrossRef]
- Yifu, L.J.; Wang, X. Dual Circulation: A New Structural Economics view of development. J. Chin. Econ. Bus. Stud. 2021, 20, 303–322. [Google Scholar] [CrossRef]
- Javorcik, B. Reshaping of global supply chains will take place, but it will not happen fast. J. Chin. Econ. Bus. Stud. 2020, 18, 321–325. [Google Scholar] [CrossRef]
- Jagtap, S.; Trollman, H.; Trollman, F.; Garcia-Garcia, G.; Parra-López, C.A.; Duong, L.; Martindale, W.; Munekata, P.E.S.; Lorenzo, J.M.; Hdaifeh, A.; et al. The Russia-Ukraine Conflict: Its Implications for the Global Food Supply Chains. Foods 2022, 11, 2098. [Google Scholar] [CrossRef] [PubMed]
- Cong, L.; Zhang, H.; Wang, P.; Chu, C.; Wang, J. Impact of the Russia-Ukraine Conflict on Global Marine Network Based on Massive Vessel Trajectories. Remote Sens. 2024, 16, 1329. [Google Scholar] [CrossRef]
- Feenstra, R.; Taylor, A.M.; Baldwin, R.E. Globalization in an Age of Crisis: Multilateral Economic Cooperation in the Twenty-First Century; National Bureau of Economic Research: Cambridge, MA, USA, 2015. [Google Scholar]
- Djoundourian, S.S. Middle East and North Africa. Strateg. Surv. 2021, 121, 261–300. [Google Scholar]
Disclaimer/Publisher’s Note: The statements, opinions and data contained in all publications are solely those of the individual author(s) and contributor(s) and not of MDPI and/or the editor(s). MDPI and/or the editor(s) disclaim responsibility for any injury to people or property resulting from any ideas, methods, instructions or products referred to in the content. |
© 2024 by the authors. Licensee MDPI, Basel, Switzerland. This article is an open access article distributed under the terms and conditions of the Creative Commons Attribution (CC BY) license (https://creativecommons.org/licenses/by/4.0/).












