Zn–Mn-Doped Mesoporous Bioactive Glass Nanoparticle-Loaded Zein Coatings for Bioactive and Antibacterial Orthopedic Implants
Abstract
:1. Introduction
2. Materials and Methods
2.1. Materials
2.2. Suspension Preparation
2.3. Zeta Potential Measurement
2.4. Electrophoretic Deposition
2.5. Taguchi Design of Experiment (DoE) Approach
2.6. Characterization of Zein/Zn–Mn MBGN Composite Coating
2.6.1. Morphological Analysis
2.6.2. Fourier Transformation Infrared (FTIR) Analysis
2.6.3. Surface Roughness
2.6.4. Wettability Test
2.6.5. Adhesion Tests
2.6.6. Corrosion Behavior
2.6.7. Ion-Release Profile
2.6.8. Antibacterial Analysis (Colony Forming Unit)
2.6.9. In Vitro Bioactivity
2.6.10. In Vitro Cellular Studies
3. Results and Discussion
3.1. Morphology of the Synthesized Zn–Mn MBGNs
3.2. Suspension Stability
3.3. Deposition Mechanism of Zein/Zn–Mn Doped MBGNs
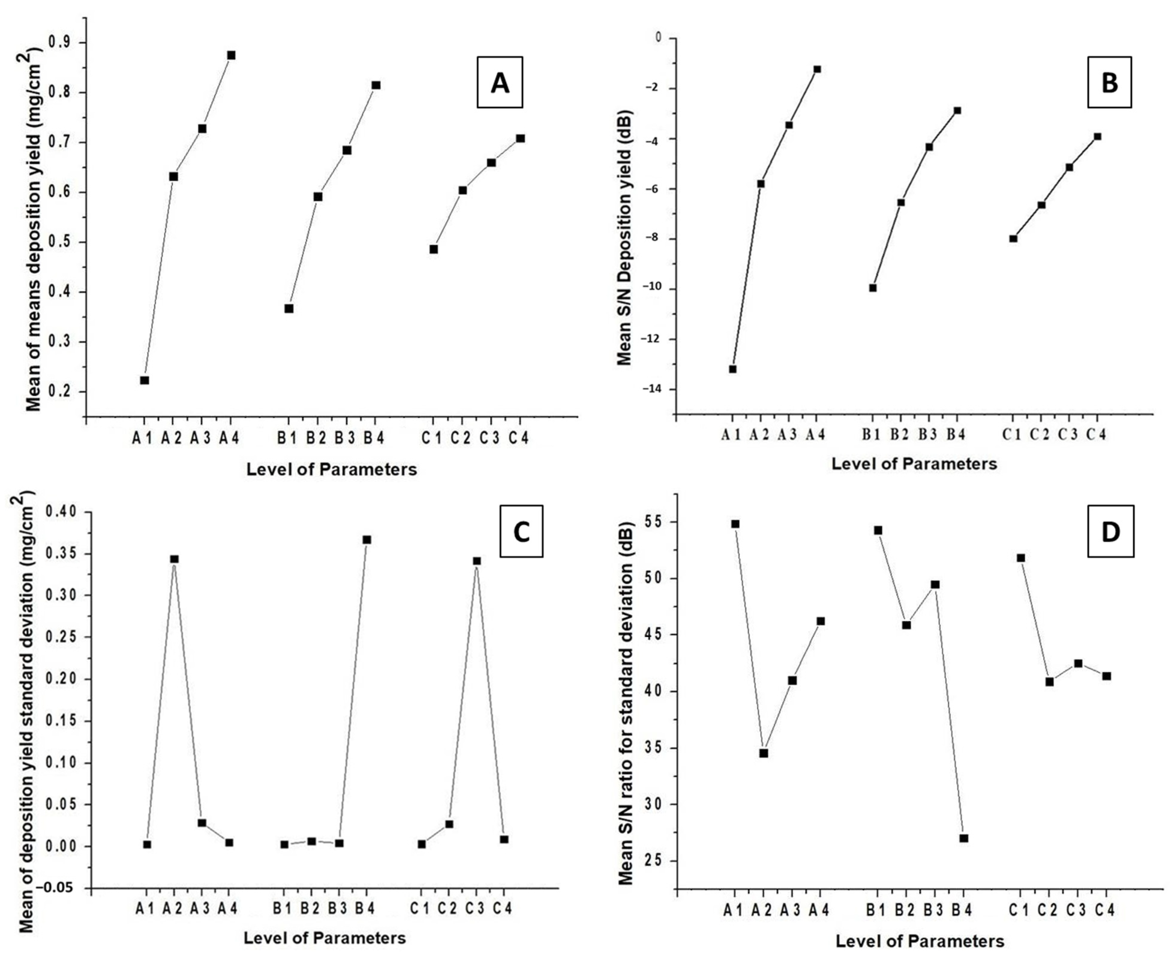
3.4. EPD of Zein/Zn–Mn MBGNs (DoE Approach)
3.5. Morphological Analysis of Zein/Zn–Mn MBGN Coatings
3.6. FTIR Analysis of Zein/Zn–Mn MBGN Coating
3.7. Surface Roughness Test
3.8. Wettability Test for Zein/Zn–Mn MBGN Coating
3.9. Adhesion of Zein/Zn–Mn MBGN Coating
3.10. Corrosion Behavior of Zein/Zn–Mn MBGN Coating
3.11. Ion Release from Zn–Mn MBGNs
3.12. Antibacterial Analysis (CFU)
3.13. In Vitro Bioactivity Test for Zein/Zn–Mn MBGN Coating
3.14. In Vitro Cytocompatibility Test for Zein/Zn–Mn MBGN Coating
4. Conclusions
- Zein/Zn–Mn MBGN composite coatings were deposited via EPD on 316L SS.
- The optimized parameters were obtained from the Taguchi DoE approach by running an array of experiments. The experiments deduced that coatings deposited at 20 V for 5 min with 4 g/L conc. of Zn–Mn MBGNs in zein suspension resulted in a high deposition yield.
- SEM/EDX analysis confirmed a uniform composite coating of thickness ≈18 µm.
- FTIR verified the hydrogen bonding of the zein polymer with Zn–Mn MBGNs, which resulted in the augmented adhesion strength of the composite coating with substrate.
- The surface roughness and wettability analysis affirmed the possibility of cell attachment and growth on composite coatings.
- For adhesion, the tape test, bend test, pencil hardness test, tensile test, and wear test were performed. The tests displayed favorable results according to ASTM standards.
- Corrosion behavior analysis of composite coatings showed that appreciable corrosion resistance was achieved.
- Ion-release profile confirmed the release of Si, Ca, Zn, and Mn ions from the MBGNs, which impart the required biocompatible, bioactive, antibacterial, and osteogenic properties to the composite coating.
- CFU test revealed the efficacy of Zn–Mn MBGNs in the zein coating against S. aureus and E. coli.
- Zein/Zn–Mn MBGN composite coatings formed a hydroxyapatite structure in SBF, proving the osteogenic potential of the composite coatings in bone tissue engineering.
Author Contributions
Funding
Conflicts of Interest
References
- Ahmed, Y.; Yasir, M.; Atiq, M.; Rehman, U. Fabrication and Characterization of Zein/Hydroxyapatite Composite Coatings for. Biomed. Appl. 2020, 5, 237–250. [Google Scholar]
- Wang, W.; Yeung, K.W.K.K. Bone grafts and biomaterials substitutes for bone defect repair: A review. Bioact. Mater. 2017, 2, 224–247. [Google Scholar] [CrossRef] [PubMed]
- Chew, K.-K.; Zein, S.H.S.; Ahmad, A.L. The corrosion scenario in human body: Stainless steel 316L orthopaedic implants. Nat. Sci. 2012, 04, 184–188. [Google Scholar] [CrossRef] [Green Version]
- Eliaz, N. Corrosion of Metallic Biomaterials: A Review. Materials 2019, 12, 407. [Google Scholar] [CrossRef] [PubMed] [Green Version]
- Goldmann, W.H. Biosensitive and antibacterial coatings on metallic material for medical applications. Cell Biol. Int. 2021, 3, 1604. [Google Scholar] [CrossRef] [PubMed]
- Wang, Z.; Thian, E.S.; Li, X.; Best, S. Bio-responsive materials for tissue regeneration. J. Phys. Mater. 2020, 3, 20201. [Google Scholar] [CrossRef]
- Gaharwar, A.K.; Singh, I.; Khademhosseini, A. Engineered biomaterials for in situ tissue regeneration. Nat. Rev. Mater. 2020, 5, 686–705. [Google Scholar] [CrossRef]
- Ghasemlou, M.; Daver, F.; Ivanova, E.P.; Rhim, J.-W.; Adhikari, B. Switchable Dual-Function and Bioresponsive Materials to Control Bacterial Infections. ACS Appl. Mater. Interfaces 2019, 11, 22897–22914. [Google Scholar] [CrossRef]
- Ramos, L.; Wang, W.; Yeung, K.W.K.K. Bioactive Materials copper based coatings for implantable stainless steel aimed at bone healing. Bioact. Mater. 2021, 6, 1479–1490. [Google Scholar] [CrossRef]
- Ferraris, S.; Daver, F.; Ivanova, E.P.; Rhim, J.-W. Bioactive materials: In vitro investigation of different mechanisms of hydroxyapatite precipitation. Acta Biomater. 2020, 102, 468–480. [Google Scholar] [CrossRef]
- Florea, D.A.; Albuleț, D.; Grumezescu, A.M.; Andronescu, E. Surface modification—A step forward to overcome the current challenges in orthopedic industry and to obtain an improved osseointegration and antimicrobial properties. Mater. Chem. Phys. 2020, 243, 122579. [Google Scholar] [CrossRef]
- Mansoorianfar, M.; Kasoju, N.; Nagarjuna, V. Surface modification of orthopedic implants by optimized fluorine-substituted hydroxyapatite coating: Enhancing corrosion behavior and cell function. Ceram. Int. 2020, 46, 2139–2146. [Google Scholar] [CrossRef]
- Arora, D.; Pant, P.; Sharma, P.K. Trends in Functional Biomaterials in Tissue Engineering and Regenerative Medicine BT—Biomaterials in Tissue Engineering and Regenerative Medicine: From Basic Concepts to State of the Art Approaches; Bhaskar, B., Rao, P.S., Kasoju, N., Nagarjuna, V., Baadhe, R.R., Eds.; Springer: Singapore, 2021; pp. 215–269. [Google Scholar]
- Shukla, R.; Cheryan, M. Zein: The industrial protein from corn. Ind. Crops Prod. 2001, 13, 171–192. [Google Scholar] [CrossRef]
- Müller, V.; Piai, J.F.; Fajardo, A.R.; Fávaro, S.L.; Rubira, A.F.; Muniz, E.C. Preparation and Characterization of Zein and Zein-Chitosan Microspheres with Great Prospective of Application in Controlled Drug Release. J. Nanomater. 2011, 2011, 928728. [Google Scholar] [CrossRef]
- Paliwal, R.; Palakurthi, S. Zein in controlled drug delivery and tissue engineering. J. Control. Release 2014, 189, 108–122. [Google Scholar] [CrossRef]
- Arango-Ospina, M.; Lasch, K.; Weidinger, J.; Boccaccini, A.R. Manuka Honey and Zein Coatings Impart Bioactive Glass Bone Tissue Scaffolds Antibacterial Properties and Superior Mechanical Properties. Front. Mater. 2021, 7, 449. [Google Scholar] [CrossRef]
- Batool, S.A.; Wadood, A.; Hussain, S.W.; Yasir, M.; Rehman, M.A.U. A Brief Insight to the Electrophoretic Deposition of PEEK-, Chitosan-, Gelatin-, and Zein-Based Composite Coatings for Biomedical Applications: Recent Developments and Challenges. Surfaces 2021, 4, 18. [Google Scholar] [CrossRef]
- Rivera, L.R.; Dippel, J.; Boccaccini, A.R. Formation of Zein/Bioactive Glass Layers Using Electrophoretic Deposition Technique. ECS Trans. 2018, 82, 73–80. [Google Scholar] [CrossRef]
- Ahmed, Y.; Rehman, M.A.U. Improvement in the surface properties of stainless steel via zein/hydroxyapatite composite coatings for biomedical applications. Surf. Interfaces 2020, 20, 100589. [Google Scholar] [CrossRef]
- Atiq, M.; Rehman, U. Zein/Bioactive Glass Coatings with Controlled Degradation of Magnesium under Physiological Conditions: Designed for Orthopedic Implants. Prosthesis 2020, 2, 211–224. [Google Scholar]
- Lim, P.N.; Tong, S.Y.; Ho, B.; Wang, W.; Thian, E.S. A functional apatite with antibacterial efficacy for bone tissue infections. J. Phys. Mater. 2019, 2, 34004. [Google Scholar] [CrossRef]
- Rehman, M.A.U.; Tong, S.Y.; Ho, B.; Wang, W. Antibacterial and Bioactive Coatings Based on Radio Frequency Co-Sputtering of Silver Nanocluster-Silica Coatings on PEEK/Bioactive Glass Layers Obtained by Electrophoretic Deposition. ACS Appl. Mater. Interfaces 2017, 9, 32489–32497. [Google Scholar] [CrossRef] [PubMed]
- Nawaz, A.; Tong, S.Y.; Wang, W. Ag-Mn doped mesoporous bioactive glass nanoparticles in corporated into the chitosan/gelatin coatings deposited on PEEK/bioactive glass layers for favorable osteogenic differentiation and antibacterial activity Materials Advances. Mater. Adv. 2020, 1, 1273–1284. [Google Scholar] [CrossRef]
- Saleem, O.; Wahaj, M.; Akhtar, M.A.; Rehman, M.A.U. Fabrication and characterization of Ag-Sr-substituted hydroxyapatite/chitosan coatings deposited via electrophoretic deposition: A design of experiment study. ACS Omega 2020, 5, 22984–22992. [Google Scholar] [CrossRef] [PubMed]
- Li, Y.; Ho, J.; Ooi, C.P. Antibacterial efficacy and cytotoxicity studies of copper (II) and titanium (IV) substituted hydroxyapatite nanoparticles. Mater. Sci. Eng. C 2010, 30, 1137–1144. [Google Scholar] [CrossRef]
- Seuss, S.; Heinloth, M.; Boccaccini, A.R. Development of bioactive composite coatings based on combination of PEEK, bioactive glass and Ag nanoparticles with antibacterial properties. Surf. Coat. Technol. 2015, 301, 100–105. [Google Scholar] [CrossRef]
- Boccaccini, A.R.; Keim, S.; Ma, R.; Li, Y.; Zhitomirsky, I. Electrophoretic deposition of biomaterials. J. R. Soc. Interface 2010, 7 (Suppl. S5). [Google Scholar] [CrossRef] [Green Version]
- Ferrari, B.; Moreno, R. EPD kinetics: A review. J. Eur. Ceram. Soc. 2010, 30, 1069–1078. [Google Scholar] [CrossRef]
- Maci, F.; Moskalewicz, T.; Kowalski, K.; Łukaszczyk, A.; Hadzhieva, Z.; Boccaccini, A.R. The Effect of Electrophoretic Deposition Parameters on the Microstructure and Adhesion of Zein Coatings to Titanium Substrates. Materials 2021, 14, 312. [Google Scholar] [CrossRef]
- Al-Dawalibi, A.; Al-Dali, I.H.; Alkhayyal, B.A. Best marketing strategy selection using fractional factorial design with analytic hierarchy process. MethodsX 2020, 7, 100927. [Google Scholar] [CrossRef]
- Terzyk, A.P.; Moskalewicz, T.; Kowalski, K. Recent Developments in the Electrophoretic Deposition of Carbon Nanomaterials BT—Porous Materials: Theory and Its Application for Environmental Remediation; Moreno-Piraján, J.C., Giraldo-Gutierrez, L., Gómez-Granados, F., Eds.; Springer International Publishing: Cham, Switzerland, 2021; pp. 113–137. [Google Scholar]
- Rehman, M.A.U.; Munawar, M.A.; Schubert, D.W.; Boccaccini, A.R. Electrophoretic deposition of chitosan/gelatin/bioactive glass composite coatings on 316L stainless steel: A design of experiment study. Surf. Coat. Technol. 2019, 358, 976–986. [Google Scholar] [CrossRef]
- Rehman, M.A.U.; Moskalewicz, T.; Munawar, M.A. Electrophoretic deposition of PEEK/bioactive glass composite coatings for orthopedic implants: A design of experiments (DoE) study. Mater. Des. 2017, 130, 223–230. [Google Scholar] [CrossRef]
- Kaya, S.; Boccaccini, A.R. Electrophoretic deposition of zein coatings. J. Coat. Technol. Res. 2017, 14, 683–689. [Google Scholar] [CrossRef]
- Bekmurzayeva, A.; Duncanson, W.J.; Azevedo, H.S.; Kanayeva, D. Surface modification of stainless steel for biomedical applications: Revisiting a century-old material. Mater. Sci. Eng. C 2018, 93, 1073–1089. [Google Scholar] [CrossRef] [PubMed]
- Zhang, E.; Zhao, X.; Hu, J.; Wang, R.; Fu, S.; Qin, G. Antibacterial metals and alloys for potential biomedical implants. Bioact. Mater. 2021, 6, 2569–2612. [Google Scholar] [CrossRef] [PubMed]
- Balasubramanian, P.; Büttner, T.; Miguez Pacheco, V.; Boccaccini, A.R. Boron-containing bioactive glasses in bone and soft tissue engineering. J. Eur. Ceram. Soc. 2018, 38, 855–869. [Google Scholar] [CrossRef]
- Westhauser, F.; Kaya, S.; Boccaccini, A.R. Impact of Zinc- or Copper-Doped Mesoporous Bioactive Glass Nanoparticles on the Osteogenic Differentiation and Matrix Formation of Mesenchymal Stromal Cells. Materials 2021, 14, 1864. [Google Scholar] [CrossRef]
- Li, W.; Zhao, D. Extension of the Stöber Method to Construct Mesoporous SiO2 and TiO2 Shells for Uniform Multifunctional Core–Shell Structures. Adv. Mater. 2013, 25, 142–149. [Google Scholar] [CrossRef]
- Bano, S.; Nawaz, Q.; Bastan, F.E. Synthesis and characterization of silver-strontium (Ag-Sr)-doped mesoporous bioactive glass nanoparticles. Gels 2021, 7, 34. [Google Scholar] [CrossRef]
- Pawlik, A.; Rehman, M.A.U.; Nawaz, Q.; Bastan, F.E.; Sulka, G.D.; Boccaccini, A.R. Fabrication and characterization of electrophoretically deposited chitosan-hydroxyapatite composite coatings on anodic titanium dioxide layers. Electrochim. Acta 2019, 307, 465–473. [Google Scholar] [CrossRef]
- Hum, J.; Naseri, S.; Boccaccini, A.R. Bioactive glass combined with zein as composite material for the application in bone tissue engineering. Biomed. Glas. 2018, 4, 72–81. [Google Scholar] [CrossRef]
- ASTM D3359-17; Standard Test Methods for Rating Adhesion by Tape Test. ASTM International: West Conshohocken, PA, USA, 2017.
- ASTM D4541-17; Standard Test Method for Pull-Off Strength of Coatings Using Portable Adhesion Testers. ASTM International: West Conshohocken, PA, USA, 2017.
- ISO. 4624:2016 and Adhesion. Paints and Varnishes—Pull-Off Test for Adhesion. Available online: https://www.iso.org/standard/62351.html (accessed on 13 July 2022).
- ASTM D3363-20; Standard Test Method for Film Hardness by Pencil Test. ASTM International: West Conshohocken, PA, USA, 2020.
- ASTM B571-97(2008)e1; Standard Practice for Qualitative Adhesion Testing of Metallic Coatings. ASTM International: West Conshohocken, PA, USA, 2008.
- Kokubo, T.; Takadama, H. How useful is SBF in predicting in vivo bone bioactivity? Biomaterials 2006, 27, 2907–2915. [Google Scholar] [CrossRef] [PubMed]
- Aqib, R.; Kiani, S.; Bano, S.; Wadood, A.; Rehman, M.A.U. Ag–Sr doped mesoporous bioactive glass nanoparticles loaded chitosan/gelatin coating for orthopedic implants. Int. J. Appl. Ceram. Technol. 2021, 18, 544–562. [Google Scholar] [CrossRef]
- Neščáková, Z.; Nawaz, Q.; Bastan, F.E. Multifunctional zinc ion doped sol–gel derived mesoporous bioactive glass nanoparticles for biomedical applications. Bioact. Mater. 2019, 4, 312–321. [Google Scholar] [CrossRef]
- Besra, L.; Liu, M. A review on fundamentals and applications of electrophoretic deposition (EPD). Prog. Mater. Sci. 2007, 52, 1–61. [Google Scholar] [CrossRef]
- Choudhary, R.; Khurana, D.; Kumar, A.; Subudhi, S. Stability analysis of Al2O3/water nanofluids. J. Exp. Nanosci. 2017, 12, 140–151. [Google Scholar] [CrossRef] [Green Version]
- Bouman, J.; Belton, P.; Venema, P.; van der Linden, E.; de Vries, R.; Qi, S. Controlled Release from Zein Matrices: Interplay of Drug Hydrophobicity and pH. Pharm. Res. 2016, 33, 673–685. [Google Scholar] [CrossRef] [Green Version]
- Pishbin, F.; Simchi, A.; Ryan, M.P.; Boccaccini, A.R. Electrophoretic deposition of chitosan/45S5 Bioglass® composite coatings for orthopaedic applications. Surf. Coat. Technol. 2011, 205, 5260–5268. [Google Scholar] [CrossRef]
- Sikkema, R.; Baker, K.; Zhitomirsky, I. Electrophoretic deposition of polymers and proteins for biomedical applications. Adv. Colloid Interface Sci. 2020, 284, 102272. [Google Scholar] [CrossRef]
- Meyer, N.; Rivera, L.R.; Ellis, T.; Qi, J.; Ryan, M.P.; Boccaccini, A.R. Bioactive and Antibacterial Coatings Based on Zein/Bioactive Glass Composites by Electrophoretic Deposition. Coatings 2018, 8, 27. [Google Scholar] [CrossRef] [Green Version]
- Sarkar, P.; Nicholson, P.S. Electrophoretic deposition (EPD): Mechanisms, kinetics, and application to ceramics. J. Am. Ceram. Soc. 1996, 79, 1987–2002. [Google Scholar] [CrossRef]
- Aguilar-Rabiela, A.E.; Leal-Egaña, A.; Nawaz, Q.; Boccaccini, A.R. Integration of mesoporous bioactive glass nanoparticles and curcumin into PHBV microspheres as biocompatible composite for drug delivery applications. Molecules 2021, 26, 3177. [Google Scholar] [CrossRef] [PubMed]
- Westhauser, F.; Leal-Egaña, A.; Nawaz, Q. Effect of manganese, zinc, and copper on the biological and osteogenic properties of mesoporous bioactive glass nanoparticles. J. Biomed. Mater. Res.—Part A 2021, 109, 1457–1467. [Google Scholar] [CrossRef] [PubMed]
- Westhauser, F.; Wilkesmann, S.; Nawaz, Q.; Schmitz, S.I.; Moghaddam, A.; Boccaccini, A.R. Osteogenic properties of manganese-doped mesoporous bioactive glass nanoparticles. J. Biomed. Mater. Res. A 2020, 108, 1806–1815. [Google Scholar] [CrossRef] [PubMed] [Green Version]
- Ahmed, Y.; Nawaz, A.; Virk, R.S.; Wadood, A.; Rehman, M.A.U. Fabrication and characterization of zein/bioactive glass deposited on pretreated magnesium via electrophoretic deposition. Int. J. Ceram. Eng. Sci. 2020, 2, 254–263. [Google Scholar] [CrossRef]
- Shaikh, S.; Khatri, Z.; Oh, K.W.; Kim, I.-S.; Kim, S. Zein/Cellulose Acetate Hybrid Nanofibers: Electrospinning and Characterization. Macromol. Res. 2014, 22, 971–977. [Google Scholar] [CrossRef]
- Mehdipour, M.; Afshar, A. A study of the electrophoretic deposition of bioactive glass-chitosan composite coating. Ceram. Int. 2012, 38, 471–476. [Google Scholar] [CrossRef]
- Ureña, J.; Tsipas, S.; Jiménez-Morales, A.; Gordo, E.; Detsch, R.; Boccaccini, A.R. Cellular behaviour of bone marrow stromal cells on modified Ti-Nb surfaces. Mater. Des. 2018, 140, 452–459. [Google Scholar] [CrossRef] [Green Version]
- Rehman, M.A.U.; Leal-Egaña, A.; Nawaz, Q. Electrophoretic deposition of PEEK/bioactive glass composite coatings on stainless steel for orthopedic applications: An optimization for in vitro bioactivity and adhesion strength. Int. J. Adv. Manuf. Technol. 2020, 108, 1849–1862. [Google Scholar] [CrossRef]
- Mariotti, C.E.; Ramos-Rivera, L.; Conti, B.; Boccaccini, A.R. Zein-Based Electrospun Fibers Containing Bioactive Glass with Antibacterial Capabilities. Macromol. Biosci. 2020, 20, 59. [Google Scholar] [CrossRef]
- Sadasivuni, K.K.; Saha, P.; Adhikari, J.; Deshmukh, K.; Ahamed, M.B.; Cabibihan, J.-J. Recent advances in mechanical properties of biopolymer composites: A review. Polym. Compos. 2020, 41, 32–59. [Google Scholar] [CrossRef]
- Edwards, M.; Tsipas, S.; Jiménez-Morales, A. The reproducibility of corrosion testing in supercritical water—Results of a second international interlaboratory comparison exercise. J. Nucl. Mater. 2022, 565, 153759. [Google Scholar] [CrossRef]
- Hoppe, A.; Güldal, N.S.; Boccaccini, A.R. A review of the biological response to ionic dissolution products from bioactive glasses and glass-ceramics. Biomaterials 2011, 32, 2757–2774. [Google Scholar] [CrossRef] [PubMed]
- Jeong, J.; Kim, J.H.; Shim, J.H.; Hwang, N.S.; Heo, C.Y. Bioactive calcium phosphate materials and applications in bone regeneration. Biomater. Res. 2019, 23, 4. [Google Scholar] [CrossRef] [PubMed] [Green Version]
- Rajendran, A.; Sugunapriyadharshini, S.; Mishra, D.; Pattanayak, D.K. Role of calcium ions in defining the bioactivity of surface modified Ti metal. Mater. Sci. Eng. C 2019, 98, 197–204. [Google Scholar] [CrossRef]
- Radda’a, N.S.; Hoppe, A.; Güldal, N.S. Electrophoretic deposition of tetracycline hydrochloride loaded halloysite nanotubes chitosan/bioactive glass composite coatings for orthopedic implants. Surf. Coat. Technol. 2017, 327, 146–157. [Google Scholar] [CrossRef]
- Rehman, M.A.U.; Batool, S.A. Development of sustainable antibacterial coatings based on electrophoretic deposition of multilayers: Gentamicin-loaded chitosan/gelatin/bioactive glass deposition on PEEK/bioactive glass layer. Int. J. Adv. Manuf. Technol. 2022, 120, 3885–3900. [Google Scholar] [CrossRef]













| Types of Suspensions | Composition | ||||
|---|---|---|---|---|---|
| Zn-Mn MBGNs (g/L) | Zein (g/50 mL) | Acetic Acid (mL/50 mL) | Ethanol (mL/50 mL) | Distilled Water (mL/50 mL) | |
| 1 | 1 | 3 | 10 | 37 | 3 |
| 2 | 2 | 3 | 10 | 37 | 3 |
| 3 | 3 | 3 | 10 | 37 | 3 |
| 4 | 4 | 3 | 10 | 37 | 3 |
| Symbol | Control Factors | Levels | |||
|---|---|---|---|---|---|
| 1 | 2 | 3 | 4 | ||
| A | Voltage (V) | 5 | 10 | 15 | 20 |
| B | Time (min) | 1 | 3 | 5 | 7 |
| C | Conc. of Zn–Mn MBGNs (g/L) | 1 | 2 | 3 | 4 |
| Run | Control Factors | Deposition Yield in mg/cm2 | S/N Ratio of Deposition Yield (dB) | Standard Deviation | S/N Ratio of Standard Deviation (dB) | ||
|---|---|---|---|---|---|---|---|
| Voltage (V) | Time (min) | MBGNs Conc. (g/L) | |||||
| 1 | 5 | 1 | 1 | 0.17 | −15.56 | 0.001 | 65.1485 |
| 2 | 5 | 3 | 2 | 0.20 | −14.11 | 0.003 | 50.6404 |
| 3 | 5 | 5 | 3 | 0.26 | −11.77 | 0.001 | 61.8456 |
| 4 | 5 | 7 | 4 | 0.27 | −11.28 | 0.008 | 41.9239 |
| 5 | 10 | 1 | 2 | 0.25 | −12.15 | 0.003 | 50.8454 |
| 6 | 10 | 3 | 1 | 0.28 | −10.97 | 0.006 | 44.7428 |
| 7 | 10 | 5 | 4 | 0.96 | −0.36 | 0.005 | 45.3928 |
| 8 | 10 | 7 | 3 | 1.04 | 0.34 | 1.363 | −2.6900 |
| 9 | 15 | 1 | 3 | 0.36 | −8.94 | 0.001 | 58.7529 |
| 10 | 15 | 3 | 4 | 0.90 | −0.90 | 0.016 | 35.8934 |
| 11 | 15 | 5 | 1 | 0.61 | −4.41 | 0.004 | 49.0038 |
| 12 | 15 | 7 | 2 | 1.05 | 0.46 | 0.095 | 20.4046 |
| 13 | 20 | 1 | 4 | 0.70 | −3.08 | 0.008 | 42.4813 |
| 14 | 20 | 3 | 3 | 0.99 | −0.12 | 0.002 | 52.2514 |
| 15 | 20 | 5 | 2 | 0.92 | −0.73 | 0.008 | 41.6981 |
| 16 | 20 | 7 | 1 | 0.90 | −0.96 | 0.004 | 48.5342 |
| Factors | Level 1 | Level 2 | Level 3 | Level 4 | Δ = Max.–Min. |
|---|---|---|---|---|---|
| Voltage (V) | −13.181 | −5.785 | −3.450 | −1.223 | 11.958 |
| Time (min) | −9.934 | −6.527 | −4.316 | −2.862 | 7.072 |
| Conc. of Zn–Mn MBGNs (g/L) | −7.977 | −6.632 | −5.124 | −3.906 | 4.071 |
| Factors | Level 1 | Level 2 | Level 3 | Level 4 | Δ = Max.–Min. |
|---|---|---|---|---|---|
| Voltage (V) | 54.89 | 34.57 | 41.01 | 46.24 | 20.32 |
| Time (min) | 54.31 | 45.88 | 49.49 | 27.04 | 27.26 |
| Conc. of Zn–Mn MBGNs (g/L) | 51.86 | 40.90 | 42.54 | 41.42 | 10.96 |
| Wave Numbers (cm–1) | Associated Bonds | Material | References |
|---|---|---|---|
| 800 | Si-O-Si | Zn-Mn MBGNs | [57,62] |
| 1040 | SiO2 | Zn-Mn MBGNs | [57,62] |
| 1067 | Si-O-Si | Zn-Mn MBGNs | [62] |
| 1230 | C-N | Zein | [57,62] |
| 1510 | N-H | Zein | [57,62,63] |
| 1650 | C=O | Zein | [57,62,63] |
| 2919 | C-H | Zein | [57,62,63] |
| 3292 | O-H | Zein | [57,62,63] |
Publisher’s Note: MDPI stays neutral with regard to jurisdictional claims in published maps and institutional affiliations. |
© 2022 by the authors. Licensee MDPI, Basel, Switzerland. This article is an open access article distributed under the terms and conditions of the Creative Commons Attribution (CC BY) license (https://creativecommons.org/licenses/by/4.0/).
Share and Cite
Batool, S.A.; Ahmad, K.; Irfan, M.; Ur Rehman, M.A. Zn–Mn-Doped Mesoporous Bioactive Glass Nanoparticle-Loaded Zein Coatings for Bioactive and Antibacterial Orthopedic Implants. J. Funct. Biomater. 2022, 13, 97. https://doi.org/10.3390/jfb13030097
Batool SA, Ahmad K, Irfan M, Ur Rehman MA. Zn–Mn-Doped Mesoporous Bioactive Glass Nanoparticle-Loaded Zein Coatings for Bioactive and Antibacterial Orthopedic Implants. Journal of Functional Biomaterials. 2022; 13(3):97. https://doi.org/10.3390/jfb13030097
Chicago/Turabian StyleBatool, Syeda Ammara, Khalil Ahmad, Muhammad Irfan, and Muhammad Atiq Ur Rehman. 2022. "Zn–Mn-Doped Mesoporous Bioactive Glass Nanoparticle-Loaded Zein Coatings for Bioactive and Antibacterial Orthopedic Implants" Journal of Functional Biomaterials 13, no. 3: 97. https://doi.org/10.3390/jfb13030097
APA StyleBatool, S. A., Ahmad, K., Irfan, M., & Ur Rehman, M. A. (2022). Zn–Mn-Doped Mesoporous Bioactive Glass Nanoparticle-Loaded Zein Coatings for Bioactive and Antibacterial Orthopedic Implants. Journal of Functional Biomaterials, 13(3), 97. https://doi.org/10.3390/jfb13030097

