Abstract
Reconfigurable mode converters are essential components in efficient higher-order mode sources for on-chip multimode applications. We propose an on-chip reconfigurable silicon waveguide mode conversion scheme based on the nonvolatile and low-loss optical phase change material antimony triselenide (Sb2Se3). The key mode conversion region is formed by embedding a tapered Sb2Se3 layer into the silicon waveguide along the propagation direction and further cladding with graphene and aluminum oxide layers as the microheater. The proposed device can achieve the TE0-to-TE1 mode conversion and reconfigurable conversion (no mode conversion) depending on the phase state of embedded Sb2Se3 layer, whereas such function could not be realized according to previous reports. The proposed device length is only 2.3 μm with conversion efficiency (CE) = 97.5%, insertion loss (IL) = 0.2 dB, and mode crosstalk (CT) = −20.5 dB. Furthermore, the proposed device scheme can be extended to achieve other reconfigurable higher-order mode conversions. We believe the proposed reconfigurable mode conversion scheme and related devices could serve as the fundamental building blocks to provide higher-order mode sources for on-chip multimode photonics.
1. Introduction
Silicon-on-insulator (SOI), a vital and mature material platform for silicon photonics, has pushed the development of photonic integrated circuits (PICs) based on its high refractive index contrast and CMOS compatible processing [1,2]. On-chip optical interconnects, data centers, and optical communications have been benefited greatly from the compact size, higher performance, and lower power-consumption of PICs [3,4,5]. Most of the current PICs operate in the single-mode state to avoid mode crosstalk and simplify the device design. However, the intrinsic mode degree of freedom of light is lost because of the single-mode operation. To satisfy the rapidly increasing demand on capacity, various on-chip multiplexing technologies have been developed, such as wavelength-division-multiplexing (WDM) [6,7], polarization-division-multiplexing (PDM) [8,9], and mode-division-multiplexing (MDM) [10,11], where the underlying mechanisms are based on the intrinsic properties of light (wavelength, polarization, and mode, respectively). Among these multiplexing technologies, WDM requires expensive multi-wavelength lasers and PDM has only two polarization states to be multiplexed [10,11,12]. In comparison, MDM is best suited for the on-chip multiplexing transmission since higher-order modes could provide new multiplexing channels for the on-chip MDM transmission and reveal unique features compared with commonly used fundamental modes [12]. Multimode photonics is an emerging research field in silicon photonics, and higher-order mode generators or converters represent one of the fundamental components to generate the higher-order mode sources for on-chip multimode applications [13,14].
Recently, various silicon waveguide mode converters based on different device structures or adding extra materials have been reported. For mode converters, Mach-Zehnder interferometer (MZI) waveguide and asymmetrical directional coupler (ADC) are the commonly used configurations [15,16]. MZI type mode converters normally require mode splitting, phase difference accumulation, and recombination, thus resulting in relatively long device lengths (e.g., >50 μm [15]). ADC type mode converters require the input mode and desired output mode to satisfy the wavelength-dependent phase matching condition, resulting in narrow working bandwidths and tight fabrication tolerances [16]. Mode conversion on a single strip waveguide avoids these drawbacks. For example, by introducing deeply or shallowly etched slots on the silicon waveguide, conversion from fundamental TE0 (TM0) mode to higher-order TE1 or TE2 (TM1 or TM2) modes have been demonstrated. The mode conversion length can be reduced to less than 10 μm [17,18,19,20]. Methods, such as inverse design [21], deep learning [22], and topology optimization [23], have been employed to find the optimum structure for mode conversion based on the silicon waveguide. However, the time-consuming iterative calculations and the device structure generated might pose a challenge for device fabrication [21,22,23]. For the mode conversion material, it has been shown that metal plasmonic materials are able to clearly change the mode distributions in the silicon waveguide and achieve the designed mode conversions [24]. High absorption loss, however, is the main disadvantage of these mode converters even for hybrid plasmonic waveguide structures [24,25]. Other high refractive index materials have also been embedded in the silicon waveguide to achieve mode conversion, but high transmission loss and complex fabrication processes remain the obstacles to be overcome [26]. Most of the reported mode converters to date perform a single mode conversion function only. They cannot perform two or more mode conversion functions, and are not reconfigurable, extensible, or programmable either [15,16,17,18,19,20,21,24,25,26]. These functions however are essential for the realization of on-chip multimode photonics.
Phase change material (PCM), such as widely used Ge2Sb2Te5 and Ge2Sb2Se4Te1, has tremendously different optical properties between the amorphous and crystalline phases. Both phase states can be transformed via using thermal, electrical, or optical stimulus, and every state is long-term stable without any power supply [27]. So, the PCM has been extensively used in the nonvolatile memory [28], optical switch [29], optical modulation [30], optical computing [31], and optical neural network [32]. We should note, however, that these widely used PCMs have a common serious problem for the optical applications, that is the material absorption loss is very large in the optical communication bands. To address this issue, a new PCM Sb2Se3 is developed recently which has quite low optical loss (imaginary part < 10−5) in the optical communication bands even at the high-loss crystalline state [33,34], and other features are similar with the commonly used PCMs. Therefore, the new material Sb2Se3 might be very promising for the development of new and high-performance photonic devices.
In this paper, we propose a compact on-chip reconfigurable silicon waveguide mode conversion scheme. The key mode conversion section is formed by embedding a taper made of the material Sb2Se3 into the silicon waveguide. The taper is embedded asymmetrically on one side relative to the centerline of the silicon waveguide to convert the input TE0 mode to TE1 mode at the output. We add graphene and alumina (Al2O3) layers on the top surface of the material Sb2Se3 to act as a microheater, which is required to achieve the phase transition of the material Sb2Se3. When the material Sb2Se3 operates at the crystalline state, its refractive index increases and is larger than that of silicon. The embedded asymmetrical tapering structure performs the TE0-to-TE1 mode conversion. When the material Sb2Se3 works at the amorphous state, its refractive index is very close to that of silicon. The embedded tapering structure has little impact on the mode transmission, resulting in TE0 mode at the output. Therefore, reconfigurable mode conversions between TE0 and TE1 mode can be achieved by controlling the operating state of the material Sb2Se3, while previous reports nearly do not have such reconfigurable function [15,16,17,18,19,20,21,24,25,26]. Our calculations show that the required mode conversion length is only 2.3 μm, which is quite shorter than most previous reports [15,16,17,19,20,21,24,25]. The mode conversion efficiency (CE), mode crosstalk (CT), and insertion loss (IL) are 97.5%, −20.5 dB, and 0.2 dB, respectively, at wavelength λ = 1550 nm for the TE0-to-TE1 mode conversion, where the achieved low IL is benefited from the quite low optical loss of material Sb2Se3 compared with other PCMs [33,34]. The performance for the reconfigurable function, i.e., TE0-to-TE0 mode, is better than that of TE0-to-TE1 mode conversion. Moreover, we can achieve reconfigurable TE0-to-TE2 mode conversion by changing the embedded tapering structures. Other reconfigurable mode conversions (TE0-to-TEn, n ≥ 3) can also be obtained in theory. Therefore, with the obvious advantages of reconfigurability, small size, high performance, and functional extensibility, the proposed mode conversion scheme can form the building blocks for on-chip multimode photonics in future reconfigurable and programmable PICs [35,36,37].
2. Device Structure and Principle
2.1. The Device Structure Design and Materials
Figure 1 shows the schematic of the proposed reconfigurable silicon waveguide mode converter. The insets show the enlarged cross-sectional view of the mode conversion region and side view of the embedded PCM layer. To create an efficient refractive index change on the silicon waveguide, we embedded a PCM taper into the silicon waveguide by using waveguide etching and magnetron sputtering [38,39], where the end widths and length of the PCM taper are W1, W2, and L, respectively, and the PCM thickness is T. The position of the embedded PCM taper should be located asymmetrically to one side relative to the centerline of the silicon waveguide, to allow accumulation of the required π phase difference for the TE0-to-TE1 mode conversion [18,19]. For the PCM, here we use a new Sb2Se3 material rather than the conventionally used VO2, Ge2Sb2Te5, and Ge2Sb2Se4Te1 [33,34,40,41,42]. The reason is that Sb2Se3 has quite low optical loss compared with other PCMs. Furthermore, the phase transition temperature and melting temperature of Sb2Se3 are lower than that of silicon, thus the silicon waveguide will not be damaged during the phase transition process. The material Sb2Se3 is nonvolatile which means the proposed device will not require static power consumption, because the phase state (crystalline or amorphous state) of the material Sb2Se3 can sustain a long time without any power being supplied. Furthermore, Sb2Se3 can be switched between the crystalline and amorphous state over 4000 cycles without obvious aging symptoms [33,34]. Therefore, the material Sb2Se3 enables the proposed reconfigurable mode converter to work at low loss and low power consumption.
Figure 1.
(a) Three-dimensional schematic of the proposed compact reconfigurable silicon waveguide mode converter. (b) Cross-sectional view of the mode conversion region of the proposed device. (c) Side view of the embedded PCM layer. (d) Enlarged view of the metal contacting components including the different material layers. The table shows the main device function. For input TE0 mode, the output can be switched between either TE1 or TE0 mode depending on the state of the PCM. The material and structural parameters of the proposed device are as labelled in the figures.
Further, we add graphene and Al2O3 layers atop the Sb2Se3. The thicknesses of the Al2O3 and graphene layers are H1 (=20 nm) and H3 (=0.35 nm), respectively. The graphene layer works as an efficient microheater because of its high thermal conductivity and low heat capacity [43,44]. The optical absorption loss of graphene could be quite low as the chemical potential of graphene is larger than 0.4 eV owing to the Pauli blocking mechanism [45,46]. The Al2O3 layer is used to prevent the graphene from oxidation. The thickness of the metal electrodes on both sides of the proposed device is chosen as H2 (=100 nm), and we also introduce a silicon slab layer with a thickness of H4 (=50 nm) to facilitate rapid heat dissipation when the Sb2Se3 layer changes from the crystalline state to amorphous state. The width and thickness of the input and output silicon waveguide are W (=1.1 μm) and H (=220 nm), respectively.
2.2. The Device Working Principle and Calculation Method
The device working principles are analyzed as follows. First when the Sb2Se3 layer is at the crystalline state, its optical refractive index is 4.05 at λ = 1.55 μm (imaginary part < 10−5) which is larger than that of silicon (~3.4) [33]. The asymmetrically placed Sb2Se3 layer relative to the centerline of the silicon waveguide creates two regions with different refractive index. One region is pure silicon with uniform refractive index distribution and the other region is silicon embedded with the Sb2Se3 layer with nonuniform refractive index distribution. The two regions are located on either side of the central axis along the waveguide transmission direction, as shown in Figure 2a. When the input TE0 mode enters the mode conversion region, it will be separated into two beams because of the different refractive indices at the end face of the mode conversion region. These two beams will then propagate along the two regions separately, i.e., the region with pure silicon waveguide and the other region which has a Sb2Se3 layer embedded in the silicon waveguide. Owing to different refractive index distribution between these two regions, the two transmitted beams will have different propagation constants and the phase difference between them will accumulate through the light propagation. When the accumulated phase difference between the beams in the two regions equals to π, we combine these two beams and connect to the output waveguide. The output is TE1 mode because the two beams have a π phase difference. The length of the mode conversion region is <3 μm and the conversion loss is <0.3 dB, because of the relatively large refractive index and low optical loss of Sb2Se3 material at the crystalline state.
Figure 2.
Schematic of mode conversion in the two phase states of the Sb2Se3 layer. (a) Mode conversion from input TE0 mode to output TE1 mode when the Sb2Se3 layer is in the crystalline state. (b) No mode conversion when the Sb2Se3 layer is in the amorphous state. Yellow (gray) color of Sb2Se3 layer represents the crystalline (amorphous) state. The symbols “+” and “−” represent the positive and negative phase of the electric field mode.
When the Sb2Se3 layer switches from crystalline sate to amorphous state, its optical refractive index is 3.28 at λ = 1.55 μm (the imaginary part negligible) which is close to the refractive index of silicon (~3.4) [33]. Such a small refractive index difference in a short propagation length (<3 μm) has negligible effect on the mode field transmission. As a result, the input TE0 mode will be transmitted through the mode conversion region without any mode conversion, as shown in Figure 2b. In summary, by switching between the phase states of the embedded Sb2Se3 layer, one can obtain either TE1 or TE0 mode at the device output for the same input TE0 mode, thus achieving reconfigurable mode conversion.
To analyze the device performance and optimize the device parameters, three-dimensional finite-difference time-domain (3D-FDTD) method was employed [47,48], which could well calculate the mode transmission and conversion performance of the proposed device. In the following sections, we will use the 3D-FDTD method to find the optimum structural parameters based on the above-mentioned device working principle.
3. Results and Discussion
Before we conduct the calculation and optimization of the device performance, the key device performance indictors should be defined at first. Here, we use the device performance indicators of mode CE, CT, and IL to characterize the device performance. For the TE0-to-TE1 mode conversion, the mode CE is defined as [19,20]
where PTE1 and Pout stand for the receiving power of TE1 mode and total output power at the device output port, respectively. Mode CT is defined as [19,20]
where POT represents the output power of the other interfering mode rather than TE1 at the device output port and we choose the maximum value as the mode CT for the proposed device. IL is defined as [19,20]
where Pin represents the power of the input TE0 mode at the device input port. If not otherwise specified, the working wavelength is set as 1.55 μm in the following discussion. We then carried out extensive numerical simulation to determine the structural parameters of the embedded Sb2Se3 layer for optimal device performance. The optimized values of embedded Sb2Se3 layer are as follows: the embedded taper end widths W1 = 340 nm and W2 = 100 nm, the layer thickness T = 340 nm, the lateral shift relative to the waveguide center S = 360 nm, and the taper length L = 2.3 μm.
Figure 3 shows the calculated mode CE, CT, and IL of the proposed device as a function of the PCM (Sb2Se3) taper length L, where the end widths and thickness of the Sb2Se3 layer are chosen at the respective optimal values W1 = 340 nm, W2 = 100 nm and T = 340 nm. For the TE0-to-TE1 mode conversion, the Sb2Se3 layer is in the crystalline state. From Figure 3, the mode conversion performance is closely related to the PCM taper length within the calculation range from L = 1.5 to 3.0 μm. The optimum performance is obtained at L = 2.3 μm with the highest CE = 97.5%, lowest CT = −20.5 dB, and lowest IL = 0.2 dB. For a fabrication error of ±0.2 μm, i.e., L varies from 2.1 to 2.5 μm, the device performance is still acceptable with CE > 95%, CT < −15 dB, and IL < 0.3 dB. The taper length L is chosen at 2.3 μm in the following discussion, where such conversion length is clearly shorter than most previous reports [15,16,17,19,20,21,24,25].
Figure 3.
Calculated mode CE, CT, and IL of the proposed mode converter as a function of the PCM (Sb2Se3) taper length L. The embedded Sb2Se3 layer works at the crystalline state and the inset shows the calculated taper length.
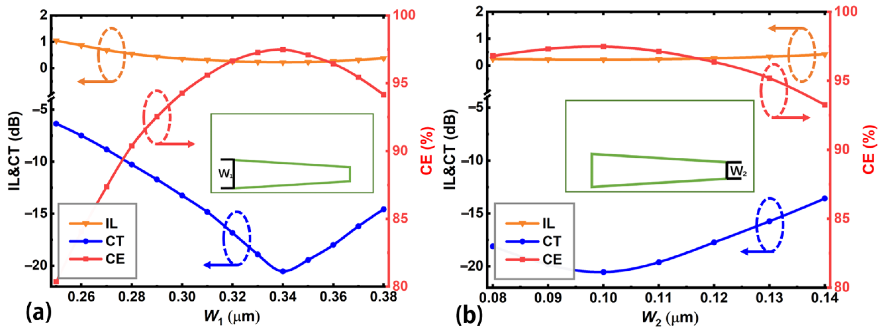
Figure 4 shows the effect of the end widths (W1, W2) of the embedded Sb2Se3 layer on the device performance. For W1, the Sb2Se3 layer will reach the waveguide boundary if W1 is larger than 380 nm. So, we set W1 ≤ 380 nm in the calculations. For W2, the achievable width depends on the state of fabrication technology. We choose W2 ≥ 80 nm, which could be achieved using current E-beam lithography and etching processes [49,50]. The Sb2Se3 layer thickness T and lateral shift S are set at the optimal values of 340 nm and 360 nm, respectively. Figure 4 shows that the input end width W1 has stronger effect on the device performance when compared with the output end width W2. The widths for the best device performance are at W1 = 340 nm and W2 = 100 nm, corresponding to CE = 97.5%, CT = −20.5 dB, and IL = 0.2 dB. Assuming a device performance of CE > 95%, CT < −15 dB, IL < 0.3 dB, W1 and W2 should be within the ranges of [310, 370] nm and [80, 130] nm, respectively. More detailed comparisons of the mode conversion performance (CE, CT, IL) with other reports can be found in the following Table 1.
Figure 4.
Device performance (mode CE, CT, and IL) as functions of the (a) input end width W1 and (b) output end width W2 of the embedded Sb2Se3 layer for the proposed mode converter. Insets show the definition of the device parameters being calculated.
Table 1.
Comparison of the proposed mode converter with typical mode converters reported in the literature.
Figure 5 plots the device performance versus the Sb2Se3 layer thickness T and lateral shift S of the embedded Sb2Se3 layer relative to the waveguide center. The taper widths W1 and W2 are set as 340 nm and 100 nm, respectively. The insets of Figure 5a,b show the definition of T and S, respectively. From Figure 5a, we find that the device performance would be very poor if the thickness of the Sb2Se3 layer T is the same as that of the silicon waveguide (H = 220 nm). So, it is necessary to choose different thicknesses which would require extra fabrication steps during device fabrication. The optimum thickness of Sb2Se3 layer is 340 nm, corresponding to the performance CE = 97.5%, CT = −20.5 dB, and IL = 0.2 dB. The inset in Figure 5a shows the definition of the Sb2Se3 layer thickness T. For the same device performance criteria mentioned above, i.e., CE > 95%, CT < −15 dB, IL < 0.3 dB, the thickness T can vary from 300 to 400 nm. The large tolerance in thickness T relaxes the constrains on device fabrication. Figure 5b shows that the lateral shift S of the embedded Sb2Se3 layer relative to the centerline of the waveguide has a strong effect on the device performance when compared with other parameters. The reason is that the lateral shift S determines the refractive index distribution in the mode conversion region. When the lateral shift changes, the corresponding refractive index distribution will change, strongly affecting the mode conversion performance [19,20]. The optimum lateral shift is found to be 360 nm relative to the centerline of the waveguide. Note that the embedded Sb2Se3 layer will be outside the silicon waveguide boundary for S > 380 nm. Thus, the calculation range of S should be less than 380 nm. In summary, the input end width W1 and lateral shift S should be carefully controlled during the fabrication process since their fabrication tolerances are relatively small.
Figure 5.
Device performance (mode CE, CT, and IL) as functions of the (a) Sb2Se3 layer thickness T and (b) lateral shift S of the embedded Sb2Se3 layer relative to the centerline of the waveguide. Insets show the definition of the device parameters being calculated.
Figure 6a depicts mode CE, CT, and IL as a function of wavelength for the proposed TE0-to-TE1 mode converter, when material dispersions are considered [33,51]. Figure 6b shows the reconfigurable function, i.e., no mode conversion when the embedded Sb2Se3 layer is at the amorphous state. Figure 6a shows a strong wavelength dependence in the range from 1.4 to 1.7 μm for the mode conversion from TE0 to TE1 mode. By contrast, Figure 6b shows that when no mode conversion takes place, the device performance exhibits only a small wavelength dependence. Again, for the same device performance criteria (CE > 95%, CT < −15 dB, IL < 0.3 dB), the allowable working wavelength range is from 1507 nm to 1616 nm (bandwidth = 109 nm) for the TE0-to-TE1 mode conversion. As for the reconfigurable function, the corresponding CE, CT, and IL are >98.5%, <−24 dB, and <0.23 dB, respectively, in the wavelength range from 1.4 to 1.7 μm. Thus, the proposed mode converter has a good reconfigurable function, and the allowable working bandwidth covers the main optical communication bands, which is larger than the working bandwidths of some reported mode converters [16,18,24,25].
Figure 6.
The mode CE, CT, and IL versus wavelength of the proposed mode converter working at the (a) crystalline sate and (b) amorphous state. The wavelength range is from 1.4 to 1.7 μm.
The main process to fabricate the proposed reconfigurable mode converter can be divided into three sections: fabricating the silicon waveguide, embedding the Sb2Se3 layer into the silicon waveguide, and depositing the graphene and Al2O3 layers atop the device including the metal contacts. We can start from a standard SOI wafer with a top silicon layer thickness of 220 nm and a buried oxide layer thickness of 2 μm. First, the silicon waveguide with a width of 1.1 μm and a slab layer thickness of 50 nm, including a taper slot, is fabricated on the SOI wafer using E-beam lithography and reactive ion etching processes [49,50]. Second, a Sb2Se3 layer with a thickness of 340 nm is deposited on the mode conversion region using magnetron sputtering [33,34], and then the Sb2Se3 material is removed except in the taper slot region such that the Sb2Se3 material will fill the etched slot region. More details about the film preparation and deposition of the Sb2Se3 material can refer to the work reported in [52]. Third, a graphene layer grown by the chemical vapor deposition is transferred onto the device surface. The metal contacts are added on both sides of the conversion region. Then, using atom layer deposition, a 20-nm-thick Al2O3 layer is deposited atop the graphene layer to prevent the graphene from oxidation [45]. Using these methods, we can realize the proposed reconfigurable silicon waveguide mode converter. Within these fabrication processes, if a small number of voids are introduced into the Sb2Se3 layer due to the sputtering error, the IL of the device might be slightly increased, but the mode CE and CT could be still guaranteed through further structural optimizations.
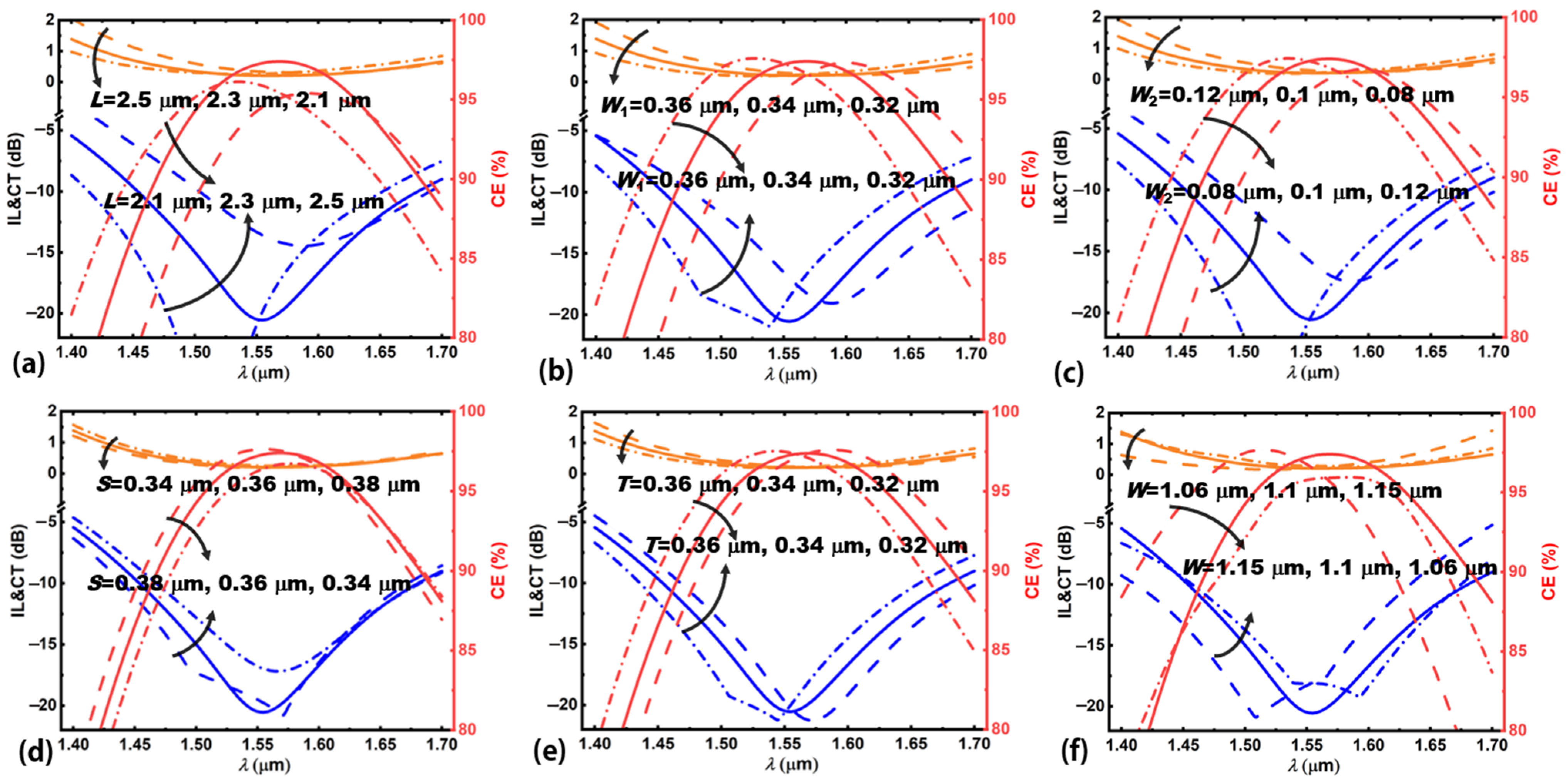
To study the deterioration of the device performance caused by fabrication errors in practice, we analyze the effect of the variations of the size of the embedded Sb2Se3 layer (ΔC) and silicon waveguide (ΔW) along the width direction (y-direction in Figure 1b) on the device performance. Figure 7 shows the device performance deteriorates as ΔC or ΔW deviates from their optimum values. Insets in Figure 7a,b show the definition of ΔC and ΔW, respectively. For the same device performance criteria of CE > 95%, CT < −15 dB, and IL < 0.3 dB, ΔC and ΔW should be controlled within the ranges of −22 to 14 nm, and −50 to 150 nm, respectively. These tolerance requirements can be achieved using current fabrication facilities [49,50]. Figure 8 shows the wavelength spectra of the proposed device when the structural parameters (L, W1, W2, S, T, W) change. For the analysis of every structural parameter, other structural parameters are fixed at their optimal values. From Figure 8, the optimum working wavelength will shift as these calculated structural parameters vary from their optimal values, and the corresponding device performance will also deteriorate. For optimum device performance, one should target the determined structural parameters when fabricating the device.
Figure 7.
Fabrication tolerance analyses. Device performance as a function of the variation in the size of the (a) embedded Sb2Se3 layer ΔC and (b) silicon waveguide ΔW along the width direction. Insets in Figure 7a,b show the definition of ΔC and ΔW in the calculated waveguide structures, respectively.
Figure 8.
Wavelength spectra of mode CE, CT, and IL of the proposed device as the following parameters change, (a) taper length L, (b) input end width W1, (c) output end width W2, (d) lateral shift S relative to the centerline of the waveguide, (e) Sb2Se3 layer thickness T, and (f) silicon waveguide with W. The wavelength range is calculated from 1.4 to 1.7 μm.
Figure 9 plots the evolution of the electric field along the propagation direction through the proposed reconfigurable mode converter. The mode conversion length is 2.3 μm and the 3D-FDTD method is used to perform the calculations. From Figure 9, either the TE1 or TE0 mode can be obtained at the device output port by switching the phase state of the embedded Sb2Se3 layer in the device. Because of the nonvolatile property of the Sb2Se3 material, either output (TE1 or TE0 mode) of the proposed device can be kept for a long time without consuming any energy, i.e., zero static power consumption [33,34,38,39]. When the Sb2Se3 layer is at the crystalline state, the input TE0 mode will be split into two beams when it enters the mode conversion region. The two beams transmit along the two channels. One channel is a pure silicon waveguide and the other channel is a silicon waveguide embedded with a Sb2Se3 layer. Because of the different mode propagation constants in these two channels, the split modes will accumulate phase difference between them during mode propagation. When the phase difference equals to π, the two beams are in opposite phase resulting in the TE1 mode, as shown in Figure 9a. When the Sb2Se3 layer is at the amorphous state, no mode conversion is observed and the input TE0 mode propagates through the device with little distortion as shown in Figure 9b. We obtain the TE0 mode at the output port of the device. Figure 9 shows that reconfigurable mode conversion can be achieved within a device length of only 2.3 μm. To the best of our knowledge, such reconfigurable function and conversion length have not been realized before [15,16,17,18,19,20,21,24,25,26].
Figure 9.
Evolutions of the electric field (dominant component: Ey) along the propagation direction (x-direction) through the proposed mode converter. (a) Sb2Se3 layer working at the crystalline state and (b) Sb2Se3 layer working at the amorphous state. The mode conversion length is 2.3 μm and the working wavelength is 1.55 μm.
Next, we analyze the phase change process between the crystalline state and amorphous state of the embedded Sb2Se3 layer. The electric-thermal phase transition method is employed based on the graphene micro-heater and the electric-thermal simulation is carried out using COMSOL Multiphysics [53]. Figure 10 shows the results of the electric-thermal simulation when the Sb2Se3 material undergoes the crystallization and amorphization process. The phase transition temperature of Sb2Se3 is 473 K and the melting temperature of Sb2Se3 is 893 K [33,34], where the upper temperature limit of the proposed device is 1100 K. From Figure 10, the required temperatures for the phase change of Sb2Se3 material can be achieved using the proposed graphene microheater. The graphene microheater is more efficient than other metal heaters because of the high thermal conductivity and low heat capacity of graphene [43,44]. In addition, the phase transition and melting temperatures of Sb2Se3 are clearly lower than the melting temperatures of silicon, silica, graphene, and Al2O3, thus the phase transition process will not damage the proposed device. For the switching time of the material Sb2Se3 based on the electric-thermal phase transition method, the commonly required pulse width is ~100 μs (120 μs for the trailing edge) from the amorphous state to crystalline state, while the pulse width is only ~400 ns (10 ns for the trailing edge) from the crystalline state to the amorphous state [44]. So, one switching cycle is <250 μs, including the trailing edge of the pulse. So, the proposed mode converter can therefore utilize the phase change property of Sb2Se3 to perform the reconfigurable mode conversion functions.
Figure 10.
Electric-thermal simulation for the proposed reconfigurable mode converter. The phase state of Sb2Se3 material changes (a) from the amorphous state to the crystalline state and (b) from the crystalline state to the amorphous state, respectively. T1 and T2 stand for the phase transition temperature and melting temperature of Sb2Se3, respectively. The upper temperature limit of the proposed device is 1100 K.
We then apply the principle of the proposed reconfigurable mode conversion scheme for TE0-to-TE1 to realize reconfigurable higher-order mode converters. We design a reconfigurable TE0-to-TE2 mode converter, in which two Sb2Se3 tapers are embedded into the silicon waveguide symmetrically with respect to the centerline of the silicon waveguide, as shown in Figure 11. The mode conversion length is still 2.3 μm. From the simulation results, the conversion performance from TE0 to TE2 mode is quite good with CE = 99.4%, CT < −25.2 dB, and IL = 0.11 dB at λ = 1.55 μm. When the Sb2Se3 layer switches from crystalline to amorphous state, the reconfigurable function can be obtained with no mode conversion. Thus, the reconfigurable function of the TE0-to-TE2 mode converter is achieved. Moreover, we also study the backward transmission processes of the proposed TE0-to-TE1 and TE0-to-TE2 reconfigurable mode converters, where the higher-order modes (TE1 mode and TE2 mode) are injected from the right port under two types of the phase state conditions, as illustrated in Figure 12. From Figure 12, we can clearly find that both TE1 and TE2 modes can be well converted to the fundamental TE0 mode when the Sb2Se3 layer works at the crystalline state. Meanwhile, no mode conversion can happen when the Sb2Se3 layer works at the amorphous state and the output modes are still TE1 mode and TE2 mode, respectively. In principle, other reconfigurable higher-order mode converters can also be designed by using our previously reported extension rule [54]. For the reconfigurable function of the present device, it is just like a mode switch, which can be switched between the output TE0 mode and TE1 (or TE2) mode. While some previously reported mode converters normally have only one function for a device [15,16,17,18,19,20,21,24,25,26] with quite low functional flexibility. When these devices are designed and fabricated, their functions are determined which cannot be further changed. If we program signals on these two outputting modes based on the proposed reconfigurable mode converter and combine with other components on the same chip, the whole chip could have a programmable function. Further, if we add more reconfigurable mode converters in the PIC, more functions will be obtained for the same PIC, which could support more applications (e.g., optical computing [31], optical neural network [32], optical imaging [55]).
Figure 11.
Evolutions of the electric field (dominant component: Ey) along the propagation direction (x-direction) through a reconfigurable TE0-to-TE2 mode converter. (a) The Sb2Se3 layer working at the crystalline state and (b) the Sb2Se3 layer working at the amorphous state. The mode conversion length is still 2.3 μm and the working wavelength is 1.55 μm.
Figure 12.
Backward transmission processes of the proposed reconfigurable mode converters. Evolutions of the electric field (dominant component: Ey) along the propagation direction (x-direction) through the reconfigurable TE1-to-TE0 mode converter, when the Sb2Se3 layer working at (a) the crystalline state and (b) the amorphous state, respectively. Evolutions of the electric field (dominant component: Ey) along the propagation direction (x-direction) through the reconfigurable TE2-to-TE0 mode converter, when the Sb2Se3 layer working at (c) the crystalline state and (d) the amorphous state, respectively.
Table 1 compares the proposed mode converters with typical mode converters reported recently in the literature. We consider the device structure, function, size, performance, and reconfigurability. From Table 1, the proposed devices have obvious advantages in conversion length, device performance, and reconfigurable functions. By comparison, we can also easily find the superiority of the proposed reconfigurable mode converters, which could well support the development of on-chip multimode photonics.
Finally, with the features of short conversion length (2.3 μm), high conversion performance (CE > 97%, CT < −20 dB, IL~0.2 dB), reconfigurable mode conversion, and functional extensibility, we believe the proposed reconfigurable silicon waveguide mode conversion scheme and related devices could find important applications in on-chip multimode photonics and be one of the fundamental building blocks for the reconfigurable multimode PICs [13,14].
4. Conclusions
In conclusion, we proposed a reconfigurable silicon waveguide mode conversion scheme, in which the reconfigurable function is achieved by using nonvolatile and low-loss optical phase change material Sb2Se3. A hybrid Sb2Se3-silicon waveguide is obtained by embedding a tapered Sb2Se3 layer into the silicon waveguide. To achieve the mode conversion from input TE0 to output TE1 mode, the embedded Sb2Se3 layer should be located on one side of the centerline of the silicon waveguide. When the Sb2Se3 layer works at the crystalline state, the input TE0 mode can be efficiently converted to TE1 mode at the output in a device length of only 2.3 μm, which is much shorter than most reports. When the Sb2Se3 layer works at the amorphous state, no mode conversion occurs, which corresponds to the reconfigurable mode conversion. Note that the reconfigurable function cannot be achieved using previous mode converters. From the simulation results, the device performance for the TE0-to-TE1 mode conversion is CE = 97.5%, CT < −20.5 dB, and IL = 0.2 dB, where the quite low IL is benefited from the low-loss feature of the employed material Sb2Se3. We also analyze the device working bandwidth and fabrication tolerance of key structural parameters, as well as carry out the electric-thermal simulation for the phase change process. In addition, the present device scheme can be extended to realize other reconfigurable higher-order mode conversions (e.g., TE0-to-TE2 mode conversion, CE = 99.4%, CT < −25.2 dB, and IL = 0.11 dB at λ = 1.55 μm), demonstrating the extensibility of the proposed scheme. With these advantages, the proposed device scheme can provide reconfigurable higher-order mode sources for on-chip multimode photonics.
Author Contributions
Conceptualization, Y.X.; methodology, Y.F., Y.X. and D.H.; investigation, Y.F., Y.X., Y.D., B.Z. and Y.N.; writing-original draft preparation, Y.F. and Y.X.; writing—review and editing, all authors; supervision, Y.X., D.H. and P.K.A.W.; project administration, Y.X., D.H. and P.K.A.W. All authors have read and agreed to the published version of the manuscript.
Funding
This research was funded by the National Key R&D Program of China, grant number 2019YFB1803904, National Natural Science Foundation of China, grant number 62205129, Natural Science Foundation of Jiangsu Province, grant number BK20200592, and Fundamental Research Founds for the Central Universities, grant number JUSRP12024.
Institutional Review Board Statement
Not appliable.
Informed Consent Statement
Not appliable.
Data Availability Statement
The data that support the findings of this study are available from the corresponding author upon reasonable request.
Conflicts of Interest
The authors declare no conflict of interest.
References
- Margalit, N.; Xiang, C.; Bowers, S.M.; Bjorlin, A.; Blum, R.; Bowers, J.E. Perspective on the future of silicon photonics and electronics. Appl. Phys. Lett. 2021, 118, 220501. [Google Scholar] [CrossRef]
- Siew, S.Y.; Li, B.; Gao, F.; Zheng, H.Y.; Zhang, W.; Guo, P.; Xie, S.W.; Song, A.; Dong, B.; Luo, L.W.; et al. Review of silicon photonics technology and platform development. J. Light. Technol. 2021, 39, 4374–4389. [Google Scholar] [CrossRef]
- Rickman, A. The commercialization of silicon photonics. Nat. Photonics 2014, 8, 579–582. [Google Scholar] [CrossRef]
- Thomson, D.; Zilkie, A.; Bowers, J.E.; Komljenovic, T.; Reed, G.T.; Vivien, L.; Marris-Morini, D.; Cassan, E.; Virot, L.; Fedeli, J.M.; et al. Roadmap on silicon photonics. J. Opt. 2016, 18, 073003. [Google Scholar] [CrossRef]
- Rahim, A.; Spuesens, T.; Baets, R.; Bogaerts, W. Open-access silicon photonics: Current status and emerging initiatives. Proc. IEEE 2018, 106, 2313–2330. [Google Scholar] [CrossRef]
- Dong, P. Silicon photonic integrated circuits for wavelength-division multiplexing applications. IEEE J. Sel. Top. Quantum Electron. 2016, 22, 6100609. [Google Scholar] [CrossRef]
- Luo, L.-W.; Ophir, N.; Chen, C.P.; Gabrielli, L.H.; Poitras, C.B.; Bergmen, K.; Lipson, M. WDM-compatible mode-division multiplexing on a silicon chip. Nat. Commun. 2014, 5, 3069. [Google Scholar] [CrossRef] [PubMed]
- Dai, D.; Li, C.; Wang, S.; Wu, H.; Shi, Y.; Wu, Z.; Gao, S.; Dai, T.; Yu, H.; Tsang, H.-K. 10-channel mode (de)multiplexer with dual polarizations. Laser Photonics Rev. 2018, 12, 1700109. [Google Scholar] [CrossRef]
- Tan, Y.; Wu, H.; Dai, D. Silicon-based hybrid (de)multiplexer for wavelength-/polarization-division-multiplexing. J. Light. Technol. 2018, 36, 2051–2058. [Google Scholar] [CrossRef]
- Han, X.; Xiao, H.; Liu, Z.; Zhao, T.; Jia, H.; Yang, J.; Eggleton, B.J.; Tian, Y. Reconfigurable on-chip mode exchange for mode-division multiplexing optical networks. J. Light. Technol. 2019, 37, 1008–1013. [Google Scholar] [CrossRef]
- Zhou, D.; Sun, C.; Lai, Y.; Yu, Y.; Zhang, X. Integrated silicon multifunctional mode-division multiplexing system. Opt. Express 2019, 27, 10798–10805. [Google Scholar] [CrossRef] [PubMed]
- Wu, X.; Huang, C.; Xu, K.; Shu, C.; Tsang, H.-K. Mode-division multiplexing for silicon photonic network-on-chip. J. Light. Technol. 2017, 35, 3223–3228. [Google Scholar] [CrossRef]
- Li, C.; Liu, D.; Dai, D. Multimode silicon photonics. Nanophotonics 2019, 8, 227–247. [Google Scholar] [CrossRef]
- Sun, C.; Ding, Y.; Li, Z.; Qi, W.; Yu, Y.; Zhang, X. Key multimode silicon photonic devices inspired by geometrical optics. ACS Photonics 2020, 7, 2037–2045. [Google Scholar] [CrossRef]
- Sun, C.; Yu, Y.; Chen, G.; Zhang, X. Integrated switchable mode exchange for reconfigurable mode-multiplexing optical networks. Opt. Lett. 2016, 41, 3257–3260. [Google Scholar] [CrossRef] [PubMed]
- Liu, L.; Ding, Y.; Yvind, K.; Hvam, J.M. Efficient and compact TE-TM polarization converter built on silicon-on-insulator platform with a simple fabrication process. Opt. Lett. 2011, 36, 1059–1061. [Google Scholar] [CrossRef]
- Hao, L.; Xiao, R.; Shi, Y.; Dai, P.; Zhao, Y.; Liu, S.; Lu, J.; Chen, X. Efficient TE-polarized mode-order converter based on high-index-contrast polygonal slot in a silicon-on-insulator waveguide. IEEE Photonics J. 2019, 11, 6601210. [Google Scholar] [CrossRef]
- Zhao, Y.; Guo, X.; Zhang, Y.; Xiang, J.; Wang, K.; Wang, H.; Su, Y. Ultra-compact silicon mode-order converters based on dielectric slots. Opt. Lett. 2020, 45, 3797–3800. [Google Scholar] [CrossRef]
- Xu, Y.; Zhu, C.; Hu, X.; Dong, Y.; Zhang, B.; Ni, Y. On-chip silicon shallowly etched TM0-to-TM1 mode-order converter with high conversion efficiency and low modal crosstalk. J. Opt. Soc. Am. B 2020, 37, 1290–1297. [Google Scholar] [CrossRef]
- Liu, L.; Xu, Y.; Wen, L.; Dong, Y.; Zhang, B.; Ni, Y. Design of a compact silicon-based TM-polarized mode-order converter based on shallowly etched structures. Appl. Opt. 2019, 58, 9075–9081. [Google Scholar] [CrossRef] [PubMed]
- Jia, H.; Chen, H.; Wang, T.; Xiao, H.; Ren, G.; Mitchell, A.; Yang, J.; Tian, Y. Multi-channel parallel silicon mode-order converter for multimode on-chip optical switching. IEEE J. Sel. Top. Quantum Electron. 2020, 26, 8302106. [Google Scholar] [CrossRef]
- Liu, D.; Tan, Y.; Khoram, E.; Yu, Z. Training deep networks for the inverse design of nanophotonic structures. ACS Photonics 2018, 5, 1365–1369. [Google Scholar] [CrossRef]
- Frellsen, L.F.; Ding, Y.; Sigmund, O.; Frandsen, L.H. Topology optimized mode multiplexing in silicon-on-insulator photonic wire waveguides. Opt. Express 2016, 24, 16866–16873. [Google Scholar] [CrossRef] [PubMed]
- Cheng, Z.; Wang, J.; Yang, Z.; Yin, H.; Wang, W.; Huang, Y.; Ren, X. Broadband and high extinction ratio mode converter using the tapered hybrid plasmonic waveguide. IEEE Photonics J. 2019, 11, 4900608. [Google Scholar] [CrossRef]
- Chen, R.; Bai, B.; Yang, F.; Zhou, Z. Ultra-compact hybrid plasmonic mode converter based on unidirectional eigenmode expansion. Opt. Lett. 2020, 45, 803–806. [Google Scholar] [CrossRef] [PubMed]
- Zhu, D.; Ye, H.; Yu, Z.; Li, J.; Yu, F.; Liu, Y. Design of compact TE-polarized mode-order converter in silicon waveguide with high refractive index material. IEEE Photonics J. 2018, 10, 6602907. [Google Scholar] [CrossRef]
- Wuttig, M.; Bhaskaran, H.; Taubner, T. Phase-change materials for non-volatile photonic applications. Nat. Photonics 2017, 11, 465–476. [Google Scholar] [CrossRef]
- Lian, C.; Vagionas, C.; Alexoudi, T.; Pleros, N.; Youngblood, N.; Rios, C. Photonic (computational) memories: Tunable nanophotonics for data storage and computing. Nanophotonics 2022, 11, 3823–3854. [Google Scholar] [CrossRef]
- Wu, C.; Yu, H.; Li, H.; Zhang, X.; Takeuchi, I.; Li, M. Low-loss integrated photonic switch using subwavelength patterned phase change material. ACS Photonics 2019, 6, 87–92. [Google Scholar] [CrossRef]
- Nisar, M.S.; Yang, X.; Lu, L.; Chen, J.; Zhou, L. On-chip integrated photonic devices based on phase change materials. Photonics 2021, 8, 205. [Google Scholar] [CrossRef]
- Brückerhoff-Plückelmann, F.; Feldmann, J.; Wright, C.D.; Bhaskaran, H.; Pernice, W.H.P. Chalcogenide phase-change devices for neuromorphic photonic computing. J. Appl. Phys. 2021, 129, 151103. [Google Scholar] [CrossRef]
- Feldmann, J.; Youngblood, N.; Wright, C.D.; Bhaskaran, H.; Pernice, W.H.P. All-optical spiking neurosynaptic networks with self-learning capabilities. Nature 2019, 569, 208–214. [Google Scholar] [CrossRef] [PubMed]
- Delaney, M.; Zeimpekis, I.; Lawson, D.; Hewak, D.W.; Muskens, O.L. A new family of ultralow loss reversible phase-change materials for photonic integrated circuits: Sb2S3 and Sb2Se3. Adv. Funct. Mat. 2020, 30, 2002447. [Google Scholar] [CrossRef]
- Delaney, M.; Zeimpekis, I.; Du, H.; Yan, X.; Banakar, M.; Thomson, D.J.; Hewak, D.W.; Muskens, O.L. Nonvolatile programmable silicon photonics using an ultralow-loss Sb2Se3 phase change material. Sci. Adv. 2021, 7, eabg3500. [Google Scholar] [CrossRef]
- Liu, W.; Li, M.; Guzzon, R.S.; Norberg, E.J.; Parker, J.S.; Lu, M.; Coldren, L.A.; Yao, J. A fully reconfigurable photonic integrated signal processor. Nat. Photonics 2016, 10, 190–195. [Google Scholar] [CrossRef]
- Bogaerts, W.; Pérez, D.; Capmany, J.; Miller, D.A.B.; Poon, J.; Englund, D.; Morichetti, F.; Melloni, A. Programmable photonic circuits. Nature 2020, 586, 207–216. [Google Scholar] [CrossRef] [PubMed]
- Xu, X.; Ren, G.; Feleppa, T.; Liu, X.; Boes, A.; Mitchell, A.; Lowery, A.J. Self-calibrating programmable photonic integrated circuits. Nat. Photonics 2022, 16, 595–602. [Google Scholar] [CrossRef]
- Fang, Z.; Chen, R.; Zheng, J.; Majumdar, A. Non-volatile reconfigurable silicon photonics based on phase-change materials. IEEE J. Sel. Top. Quantum Electron. 2022, 28, 8200317. [Google Scholar] [CrossRef]
- Parra, J.; Olivares, I.; Brimont, A.; Sanchis, P. Toward nonvolatile switching in silicon photonic devices. Laser Photonics Rev. 2021, 15, 2000501. [Google Scholar] [CrossRef]
- Jung, Y.; Han, H.; Sharma, A.; Jeong, J.; Parkin, S.S.P.; Poon, J.K.S. Integrated hybrid VO2-silicon optical memory. ACS Photonics 2022, 9, 217–223. [Google Scholar] [CrossRef]
- Wu, D.; Yang, X.; Wang, N.; Lu, L.; Chen, J.; Zhou, L.; Rahman, B.M.A. Resonant multilevel optical switching with phase change material GST. Nanophotonics 2022, 11, 3437–3446. [Google Scholar] [CrossRef]
- Miller, K.J.; Haglund, R.F.; Weiss, S.M. Optical phase change materials in integrated silicon photonics: Review. Opt. Mat. Express 2018, 8, 2415–2429. [Google Scholar] [CrossRef]
- Faneca, J.; Meyer, S.; Gardes, F.Y.; Chigrin, D.N. Graphene microheater for phase change chalcogenides based integrated photonic components. Opt. Mat. Express 2022, 12, 1991–2002. [Google Scholar] [CrossRef]
- Fang, Z.; Chen, R.; Zheng, J.; Khan, A.I.; Neilson, K.M.; Geiger, S.J.; Callahan, D.M.; Moebius, M.G.; Saxena, A.; Chen, M.E.; et al. Ultra-low-energy programmable non-volatile silicon photonics based on phase-change materials with graphene heaters. Nat. Nanotechnol. 2022, 17, 842–848. [Google Scholar] [CrossRef] [PubMed]
- Xu, Y.; Li, F.; Kang, Z.; Huang, D.; Zhang, X.; Tam, H.-Y.; Wai, P.K.A. Hybrid graphene-silicon based polarization-insensitive electro-absorption modulator with high-modulation efficiency and ultra-broad bandwidth. Nanomaterials 2019, 9, 157. [Google Scholar] [CrossRef] [PubMed]
- Shu, H.; Su, Z.; Huang, L.; Wu, Z.; Wang, X.; Zhang, Z.; Zhou, Z. Significantly high modulation efficiency of compact graphene modulator based on silicon waveguide. Sci. Rep. 2018, 8, 991. [Google Scholar] [CrossRef] [PubMed]
- Sullivan, D.M. Electromagnetic Simulation Using the FDTD Method; IEEE Press: Piscataway, NJ, USA, 2000. [Google Scholar]
- Lumerical FDTD Solutions. Available online: https://www.lumerical.com/products/fdtd/ (accessed on 12 August 2022).
- Stojanović, V.; Ram, R.J.; Popović, M.; Lin, S.; Moazeni, S.; Wade, M.; Sun, C.; Alloatti, L.; Atabaki, A.; Pavanello, F.; et al. Monolithic silicon-photonic platforms in state-of-the-art CMOS SOI processes. Opt. Express 2018, 26, 13106–13121. [Google Scholar] [CrossRef] [PubMed]
- Vieu, C.; Carcenac, F.; Pépin, A.; Chen, Y.; Mejias, M.; Lebib, A.; Manin-Ferlazzo, L.; Couraud, L.; Launois, H. Electron beam lithography: Resolution limits and applications. Appl. Surf. Sci. 2000, 164, 111–117. [Google Scholar] [CrossRef]
- Palik, E.D. Handbook of Optical Constants of Solids; American Academic Press: Salt Lake City, UT, USA, 1998. [Google Scholar]
- Gutiérrez, Y.; Ovvyan, A.P.; Santos, G.; Juan, D.; Rosales, S.A.; Junquera, J.; García-Fernández, P.; Dicorato, S.; Giangregorio, M.M.; Dilonardo, E.; et al. Interlaboratory study on Sb2S3 interplay between structure, dielectric function, and amorphous-to-crystalline phase change for photonics. iScience 2022, 25, 104377. [Google Scholar] [CrossRef] [PubMed]
- COMSOL Multiphysics. Available online: https://www.comsol.com/comsol-multiphysics/ (accessed on 5 September 2022).
- Xu, Y.; Liu, L.; Hu, X.; Dong, Y.; Zhang, B.; Ni, Y. Scalable silicon-based mode-order converters assisted by tapered metal strip layer. Opt. Laser Technol. 2022, 151, 108028. [Google Scholar] [CrossRef]
- He, Q.; Youngblood, N.; Cheng, Z.; Miao, X.; Bhaskaran, H. Dynamically tunable transmissive color filters using ultra-thin phase change materials. Opt. Express 2020, 28, 39841–39849. [Google Scholar] [CrossRef] [PubMed]
Publisher’s Note: MDPI stays neutral with regard to jurisdictional claims in published maps and institutional affiliations. |
© 2022 by the authors. Licensee MDPI, Basel, Switzerland. This article is an open access article distributed under the terms and conditions of the Creative Commons Attribution (CC BY) license (https://creativecommons.org/licenses/by/4.0/).











