Abstract
Carbapenemase-producing Klebsiella pneumoniae (CPKP) isolated from influent (I) and effluent (E) of two wastewater treatment plants, with (S1) or without (S2) hospital contribution, were investigated. The strains belonged to the Kp1 phylogroup, their highest frequency being observed in S1, followed by S2. The phenotypic and genotypic hypervirulence tests were negative for all the strains tested. At least one carbapenemase gene (CRG), belonging to the blaKPC, blaOXA-48, blaNDM and blaVIM families, was observed in 63% of CPKP, and more than half co-harboured two to four CRGs, in different combinations. Only five CRG variants were observed, regardless of wastewater type: blaKPC-2, blaNDM-1, blaNDM-6, blaVIM-2, and blaOXA-48. Sequence types ST258, ST101 and ST744 were common for both S1 and S2, while ST147, ST525 and ST2502 were found only in S1 and ST418 only in S2. The strains tested were multi-drug resistant (MDR), all being resistant to beta-lactams, cephalosporins, carbapenems, monobactams and fluoroquinolones, followed by various resistance profiles to aminoglycosides, trimethoprim-sulphamethoxazole, tigecycline, chloramphenicol and tetracycline. After principal component analysis, the isolates in S1 and S2 groups did not cluster independently, confirming that the antibiotic susceptibility patterns and gene-type profiles were both similar in the K. pneumoniae investigated, regardless of hospital contribution to the wastewater type.
1. Introduction
Antibiotics are one of the most significant discoveries in microbiology, saving millions of lives by preventing and treating bacterial infections. Since their discovery, they have been used on a large scale in medicine, agriculture, growth promotion and to prevent diseases in animals. Eventually, this facilitated the progress of an antimicrobial resistance (AMR) phenomenon, which rapidly became a growing health safety issue worldwide [1]. Nowadays, AMR is constantly expanding, leading to infections that are more difficult to treat and to an increase in the associated mortality rate [2]. Over time, antibiotic resistance has been recognized for almost every class of antibiotic including carbapenems, which are often called “last line agents” due to their efficiency in treating serious, life-threatening infections caused by Gram-negative and Gram-positive bacteria [3]. Enzyme-mediated carbapenem resistance is the most important clinically, due to the ability of beta-lactamases to inactivate carbapenems, together with other beta-lactam antibiotics [4]. These enzymes fall under three Ambler classes, as follows: class A, with Klebsiella pneumoniae carbapenemase (KPC) being the most representative enzyme; class B, known as metallo-β-lactamases (MBLs), having Verona integron-encoded MBL (VIM), and New Delhi MBL (NDM) as most clinically relevant enzymes, and class D, represented by the OXA-type β-lactamases [5]. Moreover, carbapenemases are encoded by genes that are usually found on mobile genetic elements, thus increasing the potential of transmission to other bacteria.
The World Health Organization [2] published a global priority list of antibiotic-resistant bacteria (ARB) that pose the greatest risk to human health. One of the main ARB groups associated with serious and often deadly human infections is the carbapenem-resistant Klebsiella pneumoniae complex, composed of non-motile, encapsulated, Gram-negative bacteria, belonging to the Enterobacteriaceae family [6]. K. pneumoniae sensu lato is classified into seven phylogroups (Kp1–Kp7), with similar species [7]: Kp1-K. pneumoniae sensu stricto (K. pneumoniae subsp. pneumoniae, K. pneumoniae subsp. rhinoscleromatis, K. pneumoniae subsp. ozaenae); Kp2-K. quasipneumoniae subsp. quasipneumoniae; Kp3-K. variicola subsp. variicola; Kp4-K. quasipneumoniae subsp. similipneumoniae; Kp5-K. variicola subsp. tropica; Kp6-K. quasivariicola and Kp7-K. africana, [7,8].
The dissemination of antibiotic resistance genes (ARGs) worldwide, especially the carbapenemase family (CRG), became an urgent global health threat [9,10], mostly because their presence was detected in both clinical and environmental settings [11]. Wastewaters represent a hotspot for the development and dissemination of AMR and ARGs [12], being a key factor in this process [13]. Clinical isolates reaching wastewaters contribute to spreading ARGs to non-pathogenic bacteria, leading to new generations of ARBs with different and more aggressive resistance patterns [14,15]. Recent studies [16,17] reported the presence of multi-drug resistant (MDR) Klebsiella pneumoniae in different aquatic environments such as rivers, hospital effluents, and post-hospital wastewater. It was suggested that wastewaters are important reservoirs of AMR that contribute to the dissemination of ARBs and ARGs in the environment and from there to the general population [17,18], calling for an increased attention to a possible correlation between clinical isolates and those found in wastewaters or even in surface waters [19,20]. Also, even though hypervirulent K. pneumoniae clones (HvKp) are frequently encountered among clinical isolates and a convergence of MDR and virulence factors can occur, there is little information on the prevalence of MDR HvKp in non-hospital sources. To the best of our knowledge, no comparative analysis has been performed among wastewaters that do or do not receive hospital input regarding carbapenem resistance and virulence factors in Gram-negative bacteria. Thus, the purpose of this study was to assess the molecular epidemiology of carbapenemase-producing Klebsiella pneumoniae isolated from the influent and effluent of two wastewater treatment plants (WWTPs) with and without hospital contribution.
2. Results and Discussion
2.1. Carbapenemase Diversity and Hypervirulence of Klebsiella Pneumoniae in the Investigated Wastewaters
In the present study, 74 presumptive carbapenemase-producing K. pneumoniae strains were isolated from the influent (I) and effluent (E) of two wastewater treatment plants over a period of six months: S1—received input from multiple hospitals; S2—had no hospital input. A total of 52 isolates (70%) showed positive carbapenemase activity after the mCIM test, 41 (79%) from I and 11 (21%) from E. The highest number of strains with carbapenemase activity were isolated from S1 (41/79%; I: 32/62%, E: 9/17%) and S2 (11/21%; I: 9/17%, E: 2/4%). After molecular fingerprinting using partial dnaJ gene fragments, the topology of the neighbor-joining method (NJ) tree pointed out seven clusters which overlapped the seven phylogroups of Klebsiella with high bootstrap values (Figure 1). The 52 sequences derived from this study fell into the cluster of Klebsiella pneumoniae sensu stricto (Kp1), a common inhabitant of wastewater [12,19]. Discussions regarding carbapenemase-producing Klebsiella pneumoniae from clinical settings have dominated research in recent years, but the presence of this important pathogen in the environment has rarely been studied. The existence of carbapenem-resistant Enterobacteriaceae in Romania, primarily Klebsiella pneumoniae, was reported previously [21] in clinical isolates, hospital, and urban wastewater [20,22], but only in the South-Eastern part of the country.
Figure 1.
Neighbor Joining tree built on partial dnaJ sequences. Bootstrap values (>60%) are shown adjacent to each Klebsiella phylogroup. The annotations of the GenBank taxa were abbreviated as follows: K. pneumoniae (K. p.), K. pneumoniae subsp. pneumoniae (K. p. subsp. p), K. pneumoniae subsp. ozaenae (K. p. subsp. o), K. pneumoniae subsp. rhinoscleromatis (K. p. subsp. r), K. quasipneumoniae subsp. quasipneumoniae (K. q. subsp. q), K. quasipneumoniae subsp. similipneumoniae (K. q. subsp. s), K. variicola (K. v.), K. variicola subsp. variicola (K. v. subsp. v.), K. variicola subsp. tropica (K. v. subsp. t.), K. quasivariicola (K. q.) and K. africana (K. a.). The codes for the isolates from this study represent: Kle—Klebsiella genus; S1, S2—wastewater treatment plants (WWTPs); Ma—March; M—May; I—June; J—July; A—August; S—September. Black font—influent; red font—effluent.
The molecular screening by polymerase chain reaction (PCR), targeting the presence of specific CRGs (blaKPC, blaOXA-48, blaNDM and blaVIM), showed that 33 (63%) out of the 52 isolates possess at least one CRG (Table 1, Supplementary Table S1A), while 19 (37%) most likely have different carbapenem hydrolysis determinants (Supplementary Table S1A). Overall, 15 isolates carried only one CRG, the most frequent being Ambler class A (blaKPC, 10 isolates), followed by Ambler class D (blaOXA-48, four isolates) and subclass B1 metallo-β-lactamases (MBLs) (blaNDM, one isolate). The remaining 18 isolates co-harbored two to four CRGs, in different combinations (Table 1).
Table 1.
The distribution of carbapenemase genes (CRGs) in Klebsiella pneumoniae isolates.
Samples from station S1, that receives hospital wastewaters, contained all types of investigated CRGs, in both influent and effluent. It is worth mentioning that all four tested CRGs were present in S2 isolates as well, even if no hospital input is associated, with the exception that only blaKPC was observed in the S2 effluent (Table 1). Overall, these findings agree with the results presented previously [18], that undertook a comparison between the presence of these genes from clinical isolates and isolates recovered from aquatic environments to determine their transfer routes from clinical settings to surface waters. Of particular concern is the presence of K. pneumoniae isolates with two or multiple CRGs (Table 1), present mainly in the influent, but also in effluent samples. WWTP S2, even if it receives only community wastewater, without hospital contribution, had either a single CRG (blaKPC, blaNDM or blaOXA-48) carrying isolates, in both influent and effluent (blaKPC) or just influent (blaNDM, blaOXA-48) or a combination of penicillinases and metallo-β-lactamases (Table 1).
Out of the 52 K. pneumoniae Kp1 isolates, 33 that presented at least one of the targeted CRGs were selected for in-depth characterization, i.e., detection of CRG variants, multilocus sequence typing (MLST), and antibiotic susceptibility profiling. Only five CRG variants were observed, regardless of the wastewater type investigated: blaKPC-2, blaNDM-1, blaNDM-6, blaVIM-2, and blaOXA-48 (Supplementary Table S1B). Almost all variants, except blaNDM-6, were observed in hospital and urban wastewaters [23,24]. blaKPC-2, initially described as a variant of blaKPC-1, but afterward revised as coding for identical enzymes, was observed in all K. pneumoniae isolates from this study, in either raw or treated wastewater. This type of class A CRGs hydrolyze extended-spectrum cephalosporins and all carbapenems, KPC-producing isolates being widespread among various taxonomic groups (Enterobacteriaceae, Pseudomonas aeruginosa, Acinetobacter baumannii) and geographical locations (USA, Central, and South America, Europe, Asia) [25]. blaNDM-1 and its variant blaNDM-6 are quite common in Enterobacteriaceae, especially blaNDM-1, which was first described in K. pneumoniae and E. coli isolated from a patient returning to Sweden from India [26]. Both are associated with different types of plasmids, being easily transmitted to other Gram-negative bacteria. Thus, since their discovery they have spread worldwide, blaNDM-1 in particular. The difference between blaNDM-1 and blaNDM-6 consists of a single substitution of alanine to valine at position 233, and this was first reported in India, in an Escherichia coli isolate [27]. Also, previous research demonstrates that these substitutions that occur in blaNDM variants can increase the hydrolytic activity against carbapenems [28]. A few years later, blaNDM-6 was detected in a Klebsiella pneumoniae isolate in Iran [29], and recently was found in Europe, in a clinical isolate of Acinetobacter baumanii [30]. Moreover, to our knowledge, no study has revealed the presence of blaNDM-6 in clinical isolates from Romania, so the existence of this gene variant in wastewater effluents that are discharged in natural environments is worthy of future investigation. The VIM family is composed of integron-associated MBLs. Even though blaVIM-2 is a variant of blaVIM-1 originally associated with P. aeruginosa, it is starting to be reported in the Enterobacteriaceae family as well, including K. pneumoniae [31]. blaOXA-48 was first described in K. pneumoniae, which together with E. coli and E. cloacae, are the main drivers of worldwide dissemination of this class of CRGs [32].
The phenotypic and genotypic hypervirulence tests were performed on all Klebsiella spp. isolates, with negative results for the String test and PCR amplification of specific genes (data not shown).
2.2. Klebsiella Pneumoniae Sequence Types
After MLST investigation, seven different sequence types (STs) were identified in the K. pneumoniae isolates (Figure 2, Supplementary Table S1B). The most prevalent was ST101 (14 isolates), followed by ST258 (eight isolates), both being observed in raw and treated wastewaters as well. ST525, ST744, ST2502, ST147 and ST418 have lower incidence, the majority being held by one or two isolates only. Treated wastewater samples were composed of isolates belonging to only three distinct STs, i.e., ST101, ST258 and ST525. In addition, a different distribution of STs was observed regarding each tested WWTP: ST258, ST101 and ST744 were common for both S1 and S2 stations, while ST147, ST525 and ST2502 were found only in S1; ST418 appeared only in S2. For three isolates, no ST could be attributed and are currently under investigation for the possible description of novel STs within the K. pneumoniae Kp1 phylogroup (data not shown).
Figure 2.
K. pneumoniae Sequence Type diversity and the association with carbapenemase genes in raw (influent-I) and treated (effluent-E) wastewaters.
ST258, ST101 and ST147 are considered MDR, but not hypervirulent high-risk clones [33,34,35], this being in agreement with our findings regarding the lack of hypervirulence traits. Even though these clones mainly cause severe infections in hospitals, they were common in the wastewaters investigated in this study, regardless of the presence/absence of hospital input. The diversity of K. pneumoniae STs and the association with specific CRGs is presented in Figure 2. ST258 is generally associated with blaKPC-2 [22]. However, in this study, besides blaKPC-2, K. pneumoniae isolates within ST258 were associated with other CRGs as well, such as blaOXA-48, blaNDM-1, blaNDM-6 and blaVIM-2, in both influent and effluent of S1 and S2. ST101, catalogued as an emerging high-risk clone, was reported frequently in association with blaKPC-2, blaOXA-48 and blaOXA-181 [36], thus agreeing with the results obtained in this study. Moreover, several ST101 isolates from this investigation co-harbored class A, B and D carbapenemases, in raw or treated wastewater from S1. ST147 (blaOXA-48) is often associated with clinical and environmental (wastewater and river water) settings [37], but with a lower frequency compared to ST258 and ST101.
Clinical isolates from ST418, ST525 and ST2502 were previously described containing CRGs, such as blaKPC-2/3 [38] or blaOXA-48 [37]. However, this is the first time they were isolated from wastewaters, with (ST525, ST2502) or without (ST418) hospital contribution. Moreover, K. pneumoniae ST2502 isolated in this study, a newly proposed high-risk clone [38], carries all four CRGs investigated (blaKPC-2/blaOXA-48/blaNDM-1/blaVIM-2). Besides this, to the best of our knowledge, it is the first time that K. pneumoniae ST744 was observed incorporating a CRG (blaKPC-2), as this association has not been described previously either in clinical or environmental isolates.
2.3. Antimicrobial Susceptibility Profiling and Comparative Analysis among Wastewater Types
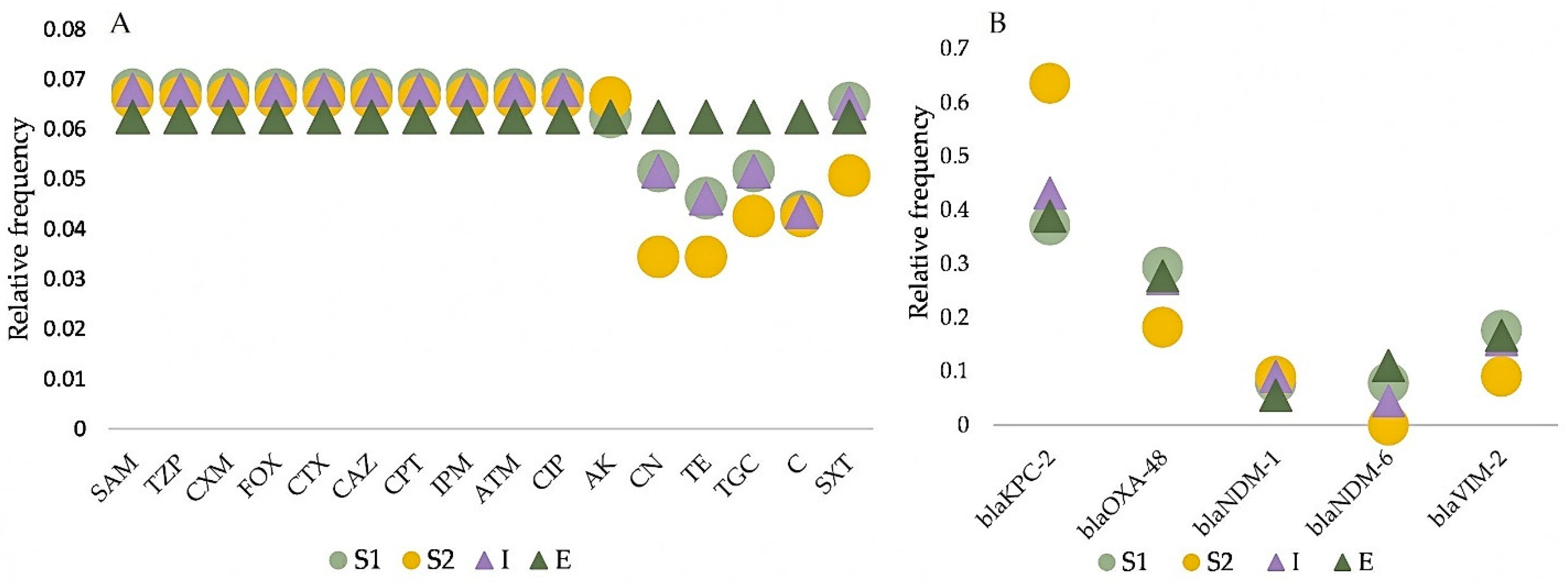
Antimicrobial susceptibility testing revealed that all K. pneumoniae isolates described in this study are MDR [39] (Supplementary Table S2). All strains were resistant to beta-lactam antibiotics, including penicillins (ampicillin-sulbactam, piperacillin-tazobactam); cephalosporins (cefuroxime, cefoxitin, cefotaxime, ceftazidime, ceftaroline); carbapenems (imipenem); monobactams (aztreonam) and fluoroquinolones (ciprofloxacin), in both raw and treated wastewaters. A lower percentage of resistance was observed to the following antimicrobials, but only in the case of influent isolates: aminoglycosides—94% (31/33) amikacin and 67% (23/33) gentamicin; 94% (31/33) trimethoprim-sulphamethoxazole; 73% (24/33) tigecycline, 64% (21/33) chloramphenicol and 64% (21/33) tetracycline (Supplementary Table S2). The lowest relative frequencies of resistance were observed with gentamicin and tetracycline in wastewaters without hospital input and with chloramphenicol in isolates from raw wastewaters (Figure 3A). Notably, all the isolates which originate in the effluent of both S1 and S2 WWTPs showed 100% resistance to all the antibiotics tested. These ARBs end up in surface waters, and this could lead to important health issues as some strains of K. pneumoniae can act as opportunistic pathogens. Our results are consistent with those of previous studies testing the antimicrobial resistance in Klebsiella isolates recovered from wastewaters. They were defined as MDR, being resistant to almost all tested antimicrobial agents [10,17,40]. Besides the resistance to all penicillins, beta-lactamase inhibitors, non-extended spectrum cephalosporins (1st and 2nd generation), extended-spectrum cephalosporins (3rd and 4th generation), broad-spectrum cephalosporins (5th generation), carbapenems, monobactams, fluoroquinolones, we encountered a high percentage (73%) of resistance to tigecycline (TGC). Nowadays, TGC is one of the last resort drugs that can be used for treating the severe infections caused by carbapenem-resistant Enterobacteriaceae, mostly Klebsiella pneumoniae [41]. Having a broad spectrum of antimicrobial activity, TGC can overcome the other antibiotic resistance mechanism such as efflux pumps or ribosomal protection used by Enterobacteriaceae against tetracyclines [41]. The results of the present study showed that all the isolates from the treated wastewaters with and without hospital input were resistant to TGC, including important K. pneumoniae STs such as ST101, ST258, ST418, ST2502, together with ST744, which was not previously associated with antibiotic resistance. These findings strengthen the previous observations [42] that TGC resistance is growing and soon will become a serious health problem in the population.
Figure 3.
Relative frequency of antibiotic resistance (A) and carbapanemase resistance genes (B) in K. pneumoniae Kp1 isolated from wastewaters. S1 = wastewaters with hospital input; S2 = wastewaters without hospital input; I = wastewater influent; E = wastewater effluent; SAM = ampicillin-sulbactam; TZP = piperacillin-tazobactam; CXM = cefuroxime; FOX = cefoxitin; CTX = cefotaxime; CAZ = ceftazidime; CPT = ceftaroline; IPM = imipenem; ATM = aztreonam; CIP = ciprofloxacin; AK = amikacin; CN = gentamycin; TE = tetracycline; TGC = tigecycline; C = chloramphenicol; SXT = trimethoprim-sulfamethoxazole.
Regarding the CRGs, blaKPC-2 and blaOXA-48 were the most usually found CRGs in K. pneumoniae isolated from the two wastewater types, while blaNDM-1 and blaNDM-6 were the least common (Figure 3B). Comparing the AMR frequencies, no significant differences were observed between S1 and S2 groups. The differences between I and E were statistically significant for tetracycline, chloramphenicol (p = 0.012), gentamycin and tigecycline (p = 0.0386). Selection of ARB is known to occur during conventional wastewater treatment [13]. Differences between groups were not statistically significant for CRG frequencies (Chi-square test, Fischer’s exact test).
The proportional abundance and diversity of antibiotic resistance in K. pneumoniae populations from wastewaters are presented in Table 2. Bacterial isolates displayed increased levels of antibiotic resistance, the average number of antibiotics to which a strain was resistant being 14.55 out of 16 tested. Small variation was observed in the antimicrobial susceptibility of different groups of K. pneumoniae. Shannon’s information index (SI) varied between 0 and 0.212. The Gini–Simpson index (GSI) of diversity was between 0.934 and 0.938. The frequency and diversity of resistant phenotypes were very similar in Klebsiella spp. isolated from different types of wastewaters. Relying mostly on richness, Shannon’s information index showed a low entropy of AMR profiles, despite the high level of antibiotic resistance. SI was 0 in E due to the lack of elements of surprise, all bacteria from wastewater effluents being resistant to all antibiotics tested. Emphasizing the evenness or balance, the Gini–Simpson index revealed great diversity in AMR profiles in all groups, due to many resistant phenotypes being evenly distributed.
Table 2.
Proportional abundance of antibiotic resistance phenotypes and carbapanemase genes in K. pneumoniae Kp1 isolated from wastewaters.
The average number of CRGs per strain was 1.879 with the highest abundance in bacterial strains from S1 (2.04). The highest degree of variation in the carbapenemase-type profiles was observed between S1 (SI = 0.551; GSI = 0.731) and S2 groups (SI = 0.339; GSI = 0.545). When analyzing the carbapenemase resistance profiles between groups, the highest richness and greatest diversity were found in bacteria from wastewater with hospital input, while those originating in the wastewater without hospital input had the lowest gene frequency and diversity. A slight increase in the abundance and diversity of CRG profiles in K. pneumoniae was observed after wastewater treatment. Despite the observed variation, the difference between groups was not statistically significant (Wilcoxon signed-rank test).
Principal component analysis (PCA) (Figure 4) showed that the isolates in S1 and S2 groups did not cluster independently, confirming that the antibiotic susceptibility patterns and gene-type profiles were both similar in K. pneumoniae isolated from different sources, i.e., similar profiles were observed regardless of hospital contribution to the overall wastewater type. The variation of antibiotic susceptibility was mainly due to the first two components, which contributed with more than 71% of the variance (Figure 4A). The first component correlated with tetracycline (0.657), gentamycin (0.607), and chloramphenicol (–0.310). The second component correlated with chloramphenicol (0.739) and tigecycline (0.540). In the CRG analysis (Figure 4B), the first two components accounted for almost 66% of the variance, where the first component was strongly influenced by blaOXA-48 (0.834) and less by blaNDM-1 (0.292), while the second one was strongly influenced by blaVIM-2 (0.851) and moderately by blaKPC-2 (0.502).
Figure 4.
Principal component analysis (PCA) clustering of K. pneumoniae isolates according to the susceptibility to 16 antibiotics (A) and to the abundance of seven CRGs (B). Black dots—S1; gray dots—S2. ATM = aztreonam; AK = amikacin; CN = gentamycin; TE = tetracycline; TGC = tigecycline; C = chloramphenicol; SXT = trimethoprim-sulfamethoxazole.
2.4. Study Limitations
The authors acknowledge the limitations of this study, mainly the reduced number of WWTPs and bacterial isolates targeted. Also, the size (volume of water processed) of each WWTP might have an influence on the number of K. pneumoniae isolated. Future studies should consider including several WWTPs of different sizes and degrees of hospital input and, if available, the types and volumes of antimicrobials used in both the hospitals and the community, and test possible correlations among these factors. Overall, our study can be considered a good starting point for implementing a wastewater-based molecular epidemiology survey model to reflect the behaviour of MDR, carbapenemase-producing Klebsiella pneumoniae in the community.
3. Materials and Methods
3.1. Sampling and Strain Isolation
The wastewater samples were collected from the influents and effluents of two different wastewater treatment plants (WWTP) from Cluj County, Romania, during six months in 2020. Station S1 receives hospital input and is designed to process around 115,000 cubic metres (cbm) of wastewater/24h from an average of 400,000 inhabitants. Station S2 has no hospital input, and is currently treating approximately 864 cbm/24h, from around 10,000 inhabitants. Raw and treated 24h-composite wastewater samples were collected using automated refrigerated samplers and transported in a portable cooler to the Environmental Microbiology Laboratory at the Institute of Biological Research Cluj-Napoca, where they were processed on the same day. A volume of 40 mL of raw wastewater and 160 mL of treated wastewater were centrifuged for 20 min at 5000 rpm. After centrifugation, the pellet was resuspended in 1 mL of MacConkey broth. Serial dilutions (10−1 to 10−3) were performed and a volume of 100 μL was inoculated on 20 mL MacConkey Agar plates, supplemented with 9 μg/mL meropenem (MEM) as per the European Committee on Antimicrobial Susceptibility Testing (EUCAST) guidelines, and incubated overnight at 37 °C. To isolate the presumptive Klebsiella spp. strains, only colonies expressing distinct morphological characteristics such as mucoid, lactose fermenting (pink colonies) [43] were selected and inoculated again on MacConkey agar to obtain pure cultures. A total of 77 isolates were selected for further analyses.
3.2. Phenotypic Investigation of Carbapenemase Activity and Hypervirulence
The presumptive Klebsiella spp. isolates were tested for carbapenemase activity through the modified Carbapenem Inactivation Method (mCIM) [44,45]. A total of 62 isolates showed positive carbapenemase activity and were selected for molecular identification. To detect a phenotypic trait of hypervirulence, the String test method was applied [46,47]. Of note is the mucoviscous phenotype of the AbBAS-1 colonies when grown on agar plates generating a viscous string >5 mm in length between a colony and an inoculation loop (string test), a phenotype that has been associated with hypervirulent K. pneumoniae strains [48].
3.3. Molecular Identification of Strains
All the presumptive Klebsiella spp. isolates were grown overnight at 37 °C on tryptic soy agar (TSA) plates. A 10 μL loop of pure culture was used for DNA extraction using the Quick-DNA Fecal/Soil Microbe Miniprep Kit (ZymoResearch, Irvine, CA, USA), according to the manufacturer’s instructions. The obtained DNA samples were stored at –20 °C and used for molecular analysis.
The dnaJ genetic marker [49] was partially amplified by polymerase chain reaction (PCR), using the specific primers listed in Table 3, and used for taxonomic identification of Klebsiella spp. isolates. The PCR assay was performed using the following conditions: initial denaturation at 94 °C for 10 min, followed by 35 cycles of denaturation at 94 °C for 30 s, annealing at 50 °C for 40 s, extension at 72 °C for 50 s and final extension at 72 °C for 5 min [50]. After amplification, the PCR products were verified by electrophoresis in a 1.5% agarose gel and purified using the SAP-Exo Kit (Jena Bioscience GmbH, Thuringia, Germany) by following the provided protocol. The purified amplicons were sequenced by the Sanger method using the service of Macrogen Europe (Amsterdam, Netherlands).
The evolutionary history was inferred using the neighbor-joining method (NJ) [51]. The percentage of replicate trees in which the associated taxa clustered together in the bootstrap test (1000 replicates) is shown next to the branches [52]. The evolutionary distances were computed using the Tamura 3-parameter method [53] which was the best substitution model with the lowest BIC (Bayesian information criterion) score. The rate variation among sites was modelled with a gamma distribution (shape parameter = 0.39). All positions containing gaps and missing data were eliminated (complete deletion option). There were a total of 304 positions in the final dataset. Evolutionary analyses were conducted in MEGA X [54]. The consensus tree was edited with FigTree version 1.4.4 software (Edinburgh, Scotland). The analysis involved 78 nucleotide sequences (52 from the resent study) and 26 from GenBank [55] database. Partial dnaJ gene fragment from Escherichia albertii 2013C-4143 (Acc. No. CP030787.2) was used as outgroup. Sequences of dnaJ genes from each representative phylogroup were selected from GenBank as follows: Kp1 (CP040993.1, ACZD01000243.1, CDJH01000053.1, CP054780.1, CP054303.1, CP054268.1, CP052309.1, CP040861.1, CP046949.1), Kp2 (CP030171.1, CP043928.1, CCDF01000065.1), Kp3 (NZ_CP010523.2, CP063898.1, CP026013.1), Kp4 (CBZR010000003.1, SGRH01000005.1, VOIK01000054.1), Kp5 (NZ_CAAHGJ010000005.1, CP048379.1), Kp6 (JADODF010000012.1, CP022823.1, WHZK01000073.1) and Kp7 (CAAHGQ010000001.1, CP059391.1).
Table 3.
Primer sequences of target genes for species molecular identification, carbapenemase-encoding genes, hypervirulence genes and their amplicon size.
Table 3.
Primer sequences of target genes for species molecular identification, carbapenemase-encoding genes, hypervirulence genes and their amplicon size.
| Target Gene | Primer Sequence 5′–3′ | Amplicon Size (bp) | Reference |
|---|---|---|---|
| dnaJ | DJF: CNG+GYG+ATYTGTAYGTWCAGGT DJR: T+CRT+CRA+ARAAYTTYTTNACNC | 385 | [50] |
| blaKPC | KPC Fm: CGTCTAGTTCTGCTGTCTTG KPC Rm: CTTGTCATCCTTGTTAGGCG | 232 | [56] |
| blaOXA-48 | OXA-48 F: GCGTGGTTAAGGATGAACAC OXA-48 R: CATCAAGTTCAACCCAACCG | 438 | |
| blaNDM | NDM F: GGTTTGGCGATCTGGTTTTC NDM R: CGGAATGGCTCATCACGATC | 621 | |
| blaVIM | VIM F: GATGGTGTTTGGTCGCATA VIM R: CGAATGCGCAGCACCAG | 390 | |
| iucA | F1: AATCAATGGCTATTCCCGCTG R1: CGCTTCACTTCTTTCACTGACAGG | 239 | [57] |
| iroB | F1: ATCTCATCATCTACCCTCCGCTC R1: GGTTCGCCGTCGTTTTCAA | 235 | |
| peg-344 | F: CTTGAAACTATCCCTCCAGTC R: CCAGCGAAAGAATAACCCC | 508 | |
| prmpA | F: GAGTAGTTAATAAATCAATAGCAAT R: CAGTAGGCATTGCAGCA | 332 | |
| prmpA2 | F: GTGCAATAAGGATGTTACATTA R: GGATGCCCTCCTCCTG | 430 |
3.4. Molecular Investigation of Hypervirulence Genes and the Diversity of Carbapenemases
Detection of CRGs (blaKPC, blaOXA-48, blaNDM and blaVIM) and hypervirulence genes (iucA, iroB, peg-344, prmpA and prmpA2) was performed by PCR reaction using the specific primers listed in Table 3 and the following conditions: initial denaturation at 94 °C for 10 min followed by 35 cycles of denaturation at 94 °C for 30 s, annealing at 60 °C for 40 s, extension at 72 °C for 50 s and final extension at 72 °C for 5 min for CRGs and initial denaturation at 95 °C for 2 min followed by 25 cycles of denaturation at 95 °C for 30 s, annealing at 50–59 °C (according to each primer, previously described [57]) for 40 s, extension at 72 °C for 40 s, and final extension at 72 °C for 10 min for hypervirulence genes, respectively. After amplification, the presence of targeted markers was verified by electrophoresis in a 1.5% agarose gel. If a positive amplification was observed, the CRG amplicons were purified using the SAP-Exo Kit (Jena Bioscience GmbH, Thuringia, Germany) as per the manufacturer’s instructions. The purified fragments were sequenced by the Sanger method at Macrogen Europe (Amsterdam, Netherlands). The CRG variants were identified using blastX in the National Center for Biotechnology Information (NCBI) database.
3.5. Antimicrobial Susceptibility Testing
Antimicrobial susceptibility testing was carried out on selected Klebsiella spp. isolates following the Kirby–Bauer disk diffusion method [58]. The selected strains were grown overnight at 37 °C on TSA plates and suspended in 0.85% NaCl sterile solution at a cell density corresponding to 0.5 McFarland standard. Afterwards, 20 mL Muller–Hinton agar plates were inoculated using a sterile cotton swab immersed in the bacterial solution. Antibiotic disks were placed on the inoculated plates, followed by overnight incubation at 37 °C. The standardized approach previously proposed [39] was used, with the following antimicrobials: ampicillin-sulbactam (SAM) (10–10 μg), piperacillin-tazobactam (TZP) (30–6 μg), cefuroxime (CXM) (30 μg), cefoxitin (FOX) (30 μg), cefotaxime (CTX) (5 μg), ceftazidime (CAZ) (10 μg), ceftaroline (CPT) (5 μg), imipenem (IPM) (10 μg), aztreonam (ATM) (30 μg), ciprofloxacin (CIP) (5 μg), amikacin (AK) (30 μg), gentamicin (CN) (10 μg), tetracycline (TE) (30 μg), tigecycline (TGC) (15 μg), chloramphenicol (C) (30 μg), trimethoprim-sulfamethoxazole (SXT) (1,25–23,75 μg). Escherichia coli ATCC 25922 was used as a quality-control strain. The inhibition zone was measured in mm and the results were interpreted according to EUCAST [39]. As an exception to EUCAST, the tetracycline and tigecycline inhibition zones were interpreted according to the specifications of the Clinical and Laboratory Standards Institute (CLSI) [59] and the British Society for Antimicrobial Chemotherapy (BSAC) [60], respectively.
3.6. Identification of Sequence Types (STs)
A multilocus sequence typing (MLST) assay was performed to characterize the sequence type diversity of Klebsiella pneumoniae Kp1 isolates, using the housekeeping genes: rpoB, gapA, infB, mdh, pgi, phoE, and tonB [61]. The genes were amplified by PCR using the primers and protocol described on the Klebsiella pneumoniae MLST website [62]. The PCR amplicons were purified using SAP-Exo Kit (Jena Bioscience GmbH, Thuringia, Germany) following the manufacturer’s protocol. After purification, the PCR products were sequenced by the Sanger method using the service of Macrogen Europe, (Amsterdam, Netherlands). The final results were analysed using the database of the Pasteur Institute (Paris, France) and the Public databases for molecular typing and microbial genome diversity, PubMLST [63].
3.7. Statistical Analysis
Antimicrobial susceptibility patterns as well as the CRG type results for each isolate were converted to binary matrices (1, 0) and were further analysed for each group. Groups were set as Klebsiella spp. from wastewaters with/without hospital input and bacteria from raw/treated wastewater. The variability was assessed in GenAlEx 651b2 (Canberra, Australia) [64] by the proportion of resistant phenotypes/CRGs and Shannon’s information index. Additionally, the weighted Gini–Simpson index of diversity was calculated based on the relative abundance of resistant phenotypes/CRGs. Principal component analysis (PCA) was performed in PAST 3.18 [65] to extract the most informative components that contribute to variation and to explore the clustering of Klebsiella isolates. Detection of significant associations between bacterial populations from wastewater with/without hospital input or wastewater inlet/outlet, according to AMR or CRG frequencies, were carried out based on Fisher’s exact test. The significance of differences in diversity indices between groups were analysed using the Wilcoxon signed-rank test. Significance testing (at p < 0.05) was performed using Real Statistics Resource Pack software (Release 7.2), copyright (2013–2020), Charles Zaiontz [66].
4. Conclusions
The aim of this study was to perform a comparative molecular epidemiology investigation among carbapenemase-producing Klebsiella pneumoniae isolated from influent (I) and effluent (E) of two wastewater treatment plants, with (S1) or without (S2) a hospital contribution. From the carbapenem-resistant Klebsiella spp. isolates, 70% were carbapenemase-producing (CPKP), belonging to the Kp1 phylogroup based on partial dnaJ sequences. The highest number of CPKP were isolated from S1 (79%; I: 62%, E: 17%), followed by S2 (21%; I: 17%, E: 4%). The phenotypic and genotypic hypervirulence tests were negative for all the strains tested, thus being considered non-hypervirulent. At least one carbapenemase encoding gene (CRG), belonging to the blaKPC, blaOXA-48, blaNDM and blaVIM families, was observed in 63% of CPKP, and more than half co-harboured two to four CRGs, in different combinations. Only five CRG variants were observed, regardless of wastewater type: blaKPC-2, blaNDM-1, blaNDM-6, blaVIM-2, and blaOXA-48. To the best of our knowledge this is the first time that blaNDM-6 has been detected in wastewaters, moreover in effluents that are discharged in natural environments. Seven sequence types were observed, some included in the high-risk (ST258, ST101, ST147) or emerging high-risk (ST525 and ST2502) categories, in influent and/or effluent. ST258, ST101 and ST744 were common for both S1 and S2, while ST147, ST525 and ST2502 were found only in S1 and ST418 only in S2. Some of the associations observed in these samples between sequence types and carbapenemase genes have not been described before. The strains tested were MDR, all being resistant to beta-lactams, cephalosporins, carbapenems, monobactams and fluoroquinolones, followed by various resistance profiles to aminoglycosides, trimethoprim-sulphamethoxazole, tigecycline, chloramphenicol and tetracycline. Klebsiella pneumoniae from sewage with hospital input carry more abundant and diverse carbapenem resistance genes, compared to isolates from wastewaters without hospital input, but the differences between groups are not statistically significant. Conventional wastewater treatment contributed to the selection of bacterial strains with increased phenotypic resistance but did not affect the genetic profile of carbapenem resistance in Klebsiella populations. After principal component analysis, the isolates in S1 and S2 groups did not cluster independently, confirming that the antibiotic susceptibility patterns and gene-type profiles were both similar in the K. pneumoniae investigated, regardless of hospital contribution to the wastewater type.
Supplementary Materials
The following are available online at https://www.mdpi.com/article/10.3390/antibiotics10040361/s1, Supplementary Table S1A: Presence/absence of CRGs in Klebsiella pneumoniae Kp1 isolates after PCR screening (n = 52); Supplementary Table S1B: In-depth characterization of selected Klebsiella pneumoniae Kp1 isolates (n = 33), Table S2: Antimicrobial susceptibility profiling of Klebsiella pneumoniae selected isolates.
Author Contributions
Conceptualization, C.C and A.T.-M.; methodology, A.T.-M., C.C.; validation, A.T.-M., A.F., A.H., A.B., M.P.; investigation, A.T.-M., A.B., E.S.; data curation, A.F., A.H., A.B., E.S.; writing—original draft preparation, A.T.-M.; writing—review and editing, all authors. All authors have read and agreed to the published version of the manuscript.
Funding
This work was supported through the grant 117/2020 of the Romanian National Authority for Scientific Research and Innovation, CCCDI-UEFISCDI, project number ERANET-BIODIVHEALT-ANTIVERSA, within PNCDI III. AH was partially supported by the core programme PN2019–2022-BIODIVERS 3, grant 25 N/2019-BIOSERV.
Institutional Review Board Statement
Not applicable.
Informed Consent Statement
Not applicable.
Data Availability Statement
Representative sequences for both taxonomy and CRGs were deposited in GenBank, NCBI, under the accession numbers: MW536488, MW536489, MW527079-MW527085.
Acknowledgments
The authors wish to thank Compania de Apa Somes S.A. for their help and support in the sampling campaign and Charlotte Briddon for proofreading the manuscript.
Conflicts of Interest
The authors declare no conflict of interest. The funders had no role in the design of the study; in the collection, analyses, or interpretation of data; in the writing of the manuscript; or in the decision to publish the results.
References
- Bardhan, T.; Chakraborty, M.; Bhattacharjee, B. Prevalence of colistin-resistant, carbapenem-hydrolyzing proteobacteria in hospital water bodies and out-falls of west Bengal, India. Int. J. Environ. Res. Public Health 2020, 17, 1007. [Google Scholar] [CrossRef] [PubMed]
- World Health Organization. Global Priority List of Antibiotic-Resistant Bacteria to Guide Research, Discovery, and Development of New Antibiotics 2017. Available online: http://www.who.int/medicines/publications. (accessed on 19 February 2021).
- Papp-Wallace, K.; Endimiani, A.; Taracila, M.; Bonomo, R. Carbapenems: Past, present, and future. Antimicrob. Agents. Chemother. 2011, 55, 4943–4960. [Google Scholar] [CrossRef] [PubMed]
- Meletis, G. Carbapenem resistance: Overview of the problem and future perspectives. Ther. Adv. Infect. Dis. 2015, 3, 1521. [Google Scholar] [CrossRef] [PubMed]
- Codjoe, F.S.; Donkor, E.S. Carbapenem resistance: A review. J. Med. Sci. 2017, 6, 1. [Google Scholar] [CrossRef]
- Effah, C.Y.; Sun, T.; Liu, S.; Wu, Y. Klebsiella pneumoniae: An increasing threat to public health. Ann. Clin. Microbiol. Antimicrob. 2020, 19, 1. [Google Scholar] [CrossRef] [PubMed]
- Rodrigues, C.; Passet, V.; Rakotondrasoa, A.; Diallo, T.A.; Criscuolo, A.; Brisse, S. Description of Klebsiella africanensis sp. nov., Klebsiella variicola subsp. tropicalensis subsp. nov. and Klebsiella variicola subsp. variicola subsp. nov. Res. Microbiol. 2019, 170. [Google Scholar] [CrossRef]
- Brisse, S.; Passet, V.; Grimont, P.A.D. Description of Klebsiella quasipneumoniae sp. nov., a novel species isolated from human infections, with two subspecies Klebsiella quasipneumoniae subsp. quasipneumoniae subsp. nov. and Klebsiella quasipneumoniae subsp. similipneumoniae subsp. nov., and demonstration that Klebsiella singaporensis is a junior heterotypic synonym of Klebsiella variicola. Int. J. Syst. Evol. Microbiol. 2014, 64, 3146–3152. [Google Scholar] [CrossRef]
- Ballash, G.A.; Lee, S.; Mollenkopf, D.F.; Mathys, D.A.; Albers, A.L.; Sechrist, E.; Feicht, S.M.; Van Balen Rubio, J.C.; Sullivan, S.M.P.; Lee, J.; et al. Pulsed electric field application reduces carbapenem- and colistin-resistant microbiota and blaKPC spread in urban wastewater. J. Environ. Manag. 2020, 265, e110529. [Google Scholar] [CrossRef]
- Ebomah, K.E.; Okoh, A.I. Detection of carbapenem-resistance genes in Klebsiella species recovered from selected environmental niches in the Eastern Cape Province, South Africa. Antibiotics 2020, 9, 425. [Google Scholar] [CrossRef]
- Van Duin, D.; Doi, Y. The global epidemiology of carbapenemase-producing Enterobacteriaceae. Virulence 2017, 8, 460–469. [Google Scholar] [CrossRef]
- Alexander, J.; Hembach, N.; Schwartz, T. Evaluation of antibiotic resistance dissemination by wastewater treatment plant effluents with different catchment areas in Germany. Sci. Rep. 2020, 10, 8952. [Google Scholar] [CrossRef] [PubMed]
- Pazda, M.; Kumirska, J.; Stepnowski, P.; Mulkiewicz, E. Antibiotic resistance genes identified in wastewater treatment plant systems—A review. Sci. Total Environ. 2019, 697. [Google Scholar] [CrossRef] [PubMed]
- Marti, E.; Variatza, E.; Balcazar, J.L. The role of aquatic ecosystems as reservoirs of antibiotic resistance. Trends Microbiol. 2014, 22, 36–41. [Google Scholar] [CrossRef] [PubMed]
- Cornejova, T.; Venglovsky, J.; Gregova, G.; Kmetova, M.; Kmet, V. Extended spectrum beta-lactamases in Escherichia coli from municipal wastewater. Ann. Agric. Environ. Med. 2015, 22, 447–450. [Google Scholar] [CrossRef] [PubMed]
- Cahill, N.; O’Connor, L.; Mahon, B.; Varley, Á.; McGrath, E.; Ryan, P.; Cormican, M.; Brehony, C.; Jolley, K.A.; Maiden, M.C.; et al. Hospital effluent: A reservoir for carbapenemase-producing Enterobacterales? Sic. Tot. Environ. 2019, 672, 618–624. [Google Scholar] [CrossRef] [PubMed]
- Furlan, J.P.R.; Savazzi, E.A.; Stehling, E.G. Genomic insights into multidrug-resistant and hypervirulent Klebsiella pneumoniae co-harboring metal resistance genes in aquatic environments. Ecotoxicol. Environ. Saf. 2020, 201. [Google Scholar] [CrossRef] [PubMed]
- Khan, F.A.; Hellmark, B.; Ehricht, R.; Söderquist, B.; Jass, J. Related carbapenemase-producing Klebsiella isolates detected in both a hospital and associated aquatic environment in Sweden. Eur. J. Clin. Microbiol. Infect. Dis. 2018, 37, 2241–2251. [Google Scholar] [CrossRef] [PubMed]
- Müller, H.; Sib, E.; Gajdiss, M.; Klanke, U.; Lenz-Plet, F.; Barabasch, V.; Albert, C.; Schallenberg, A.; Timm, C.; Zacharias, N.; et al. Dissemination of multi-resistant Gram-negative bacteria into German wastewater and surface waters. FEMS Microbiol. Ecol. 2018, 94. [Google Scholar] [CrossRef] [PubMed]
- Popa, L.I.; Gheorghe, I.; Barbu, I.C.; Surleac, M.; Paraschiv, S.; Marutescu, L.; Popa, M.; Pircalabioru, G.G.; Talapan, D.; Nita, M.; et al. Multidrug resistant Klebsiella pneumoniae ST101 clone survival chain from inpatients to hospital effluent after chlorine treatment. Front. Microbiol. 2021, 11, 1–11. [Google Scholar] [CrossRef]
- Braun, S.D.; Dorneanu, O.S.; Vremeră, T.; Reißig, A.; Monecke, S.; Ehricht, R. Carbapenemase-producing Enterobacteriaceae: A 2-year surveillance in a hospital in Iaşi, Romania. Future Microbiol. 2016. [Google Scholar] [CrossRef]
- Surleac, M.; Czobor Barbu, I.; Paraschiv, S.; Popa, L.I.; Gheorghe, I.; Marutescu, L.; Popa, M.; Sarbu., I.; Talapan, D.; Nita, M.; et al. Whole genome sequencing snapshot of multi-drug resistant Klebsiella pneumoniae strains from hospitals and receiving wastewater treatment plants in Southern Romania. PLoS ONE 2020, 15. [Google Scholar] [CrossRef] [PubMed]
- Zurfluh, K.; Bagutti, C.; Brodmann, P.; Alt, M.; Schulze, J.; Fanning, S.; Stephan, R.; Nüesch-Inderbinen, M. Wastewater is a reservoir for clinically relevant carbapenemase- and 16s rRNA methylase-producing Enterobacteriaceae. Int. J. Antimicrob. Agents. 2017, 50, 436–440. [Google Scholar] [CrossRef] [PubMed]
- Khan, M.A.; Mohamed, A.M.; Faiz, A.; Ahmad, J. Enterobacterial infection in Saudi Arabia: First record of Klebsiella pneumoniae with triple carbapenemase genes resistance. J. Infect. Dev. Ctries 2019, 13, 334–341. [Google Scholar] [CrossRef] [PubMed]
- Bedenić, B.; Sardelić, S. Carbapenemases-Provisional chapter. Web Sci. 2018. [Google Scholar] [CrossRef]
- Yong, D.; Toleman, M.A.; Giske, C.G.; Cho, H.S.; Sundman, K.; Lee, K.; Walsh, T.R. Characterization of a new metallo-beta-lactamase gene, bla(NDM-1), and a novel erythromycin esterase gene carried on a unique genetic structure in Klebsiella pneumoniae sequence type 14 from India. Antimicrob. Agents. Chemother. 2009, 53, 5046–5054. [Google Scholar] [CrossRef] [PubMed]
- Khan, A.U.; Maryam, L.; Zarrilli, R. Structure, genetics and worldwide spread of New Delhi Metallo-β-lactamase (NDM): A threat to public health. BMC Microbiol. 2017, 17, 101. [Google Scholar] [CrossRef]
- Gamal, D.; Fernández-Martínez, M.; El-Defrawy, I.; Ocampo-Sosa, A.A.; Martínez-Martínez, L. First identification of NDM-5 associated with OXA-181 in Escherichia coli from Egypt. Emerg. Microbes. Infect. 2016, 5, 30. [Google Scholar] [CrossRef]
- Bahramian, A.; Shariati, A.; Azimi, T.; Sharahi, J.Y.; Bostanghadiri, N.; Gachkar, L.; Ghalavand, Z.; Chirani, A.S.; Erfanimanesh, S.; Hashemi, A. First report of New Delhi metallo-β-lactamase-6 (NDM-6) among Klebsiella pneumoniae ST147 strains isolated from dialysis patients in Iran. Infect. Genet. Evol. 2019, 142–145. [Google Scholar] [CrossRef]
- Xanthopoulou, K.; Urrutikoetxea-Gutiérrez, M.; Vidal-Garcia, M.; Diaz de Tuesta Del Arco, J.L.; Sánchez-Urtaza, S.; Wille, J.; Seifert, H.; Higgins, P.G.; Gallego, L. First report of New Delhi Metallo-β-Lactamase-6 (NDM-6) in a clinical Acinetobacter baumannii Isolate from Northern Spain. Front. Microbiol. 2020, 11, 589253. [Google Scholar] [CrossRef] [PubMed]
- Matsumura, Y.; Peirano, G.; Devinney, R.; Bradford, P.A.; Motyl, M.R.; Adams, M.D.; Chen, L.; Kreiswirth, B.; Pitout, J.D.D. Genomic epidemiology of global VIM-producing Enterobacteriaceae. J. Antimicrob. Chemother. 2017, 72, 2249–2258. [Google Scholar] [CrossRef] [PubMed]
- Pitout, J.D.D.; Peirano, G.; Kock, M.M.; Strydom, K.A.; Matsumura, Y. The global ascendency of OXA-48-Type carbapenemases. Clin. Microbiol. Rev. 2019, 33, e00102–e00119. [Google Scholar] [CrossRef] [PubMed]
- Navon-Venezia, S.; Kondratyeva, K.; Carattoli, A. Klebsiella pneumoniae: A major worldwide source and shuttle for antibiotic resistance. FEMS Microbiol. Rev. 2014, 41, 252–275. [Google Scholar] [CrossRef] [PubMed]
- Wyres, K.L.; Holt, M.K.E. Klebsiella pneumoniae as a key trafficker of drug resistance genes from environmental to clinically important bacteria. Curr. Opin. Microbiol. 2018, 45, 131–139. [Google Scholar] [CrossRef] [PubMed]
- Roe, C.C.; Vazquez, A.J.; Esposito, E.P.; Zarrilli, R.; Sahl, J.W. Diversity, virulence and antimicrobial resistance in isolates from the newly emerging Klebsiella pneumoniae ST101 lineage. Front. Microbiol. 2019, 2, 542. [Google Scholar] [CrossRef] [PubMed]
- Can, F.; Menekse, S.; Ispir, P.; Atac, N.; Albayrak, O.; Demir, T.; Karaaslan, D.C.; Karahan, S.N.; Kapmaz, M.; Kurt Azap, O.; et al. Ergonul, O. Impact of the ST101 clone on fatality among patients with colistin-resistant Klebsiella pneumoniae infection. J. Antimicrob. Chemother. 2018, 73, 1235–1241. [Google Scholar] [CrossRef] [PubMed]
- Messaoudi, A.; Haenni, M.; Bouallègue, O.; Saras, E.; Chatre, P.; Chaouch, C.; Boujâafar, N.; Mansour, W.; Madec, J.Y. Dynamics and molecular features of OXA-48-like-producing Klebsiella pneumoniae lineages in a Tunisian hospital. J. Glob. Antimicrob. Resist. 2020, 20, 87–93. [Google Scholar] [CrossRef]
- Arena, F.; Di Pilato, V.; Vannetti, F.; Fabbri, L.; Antonelli, A.; Coppi, M.; Pupillo, R.; Macchi, C.; Rossolini, G.M. Population structure of KPC carbapenemase-producing Klebsiella pneumoniae in a long-term acute-care rehabilitation facility: Identification of a new lineage of clonal group 101, associated with local hyperendemicity. Microb. Genom. 2020, 6. [Google Scholar] [CrossRef]
- Magiorakos, A.P.; Srinivasan, A.; Carey, R.B.; Carmeli, Y.; Falagas, M.E.; Giske, C.G.; Harbarth, S.; Hindler, J.F.; Kahlmeter, G.; Olsson-Liljequist, B.; et al. Multidrug-resistant, extensively drug-resistant and pandrug-resistant bacteria: An international expert proposal for interim standard definitions for acquired resistance. Clin. Microbiol. Infect. 2012, 18, 268–281. [Google Scholar] [CrossRef]
- Ragheb, S.M.; Tawfick, M.M.; El-Kholy, A.A.; Abdulall, A.K. Phenotypic and genotypic features of Klebsiella pneumoniae harboring carbapenemases in Egypt: OXA-48-Like carbapenemases as an Investigated Model. Antibiotics 2020, 9, 852. [Google Scholar] [CrossRef]
- Lv, L.; Wan, M.; Wang, C.; Gao, X.; Yang, Q.; Partridge, S.R.; Wang, Y.; Zong, Z.; Doi, Y.; Shen, J.; et al. Emergence of a plasmid-encoded resistance-nodulation-division efflux pump conferring resistance to multiple drugs, including tigecycline, in Klebsiella pneumoniae. Mbio 2020, 11, e02930-19. [Google Scholar] [CrossRef]
- Park, Y.; Choi, Q.; Kwon, G.C.; Koo, S.H. Molecular epidemiology and mechanisms of tigecycline resistance in carbapenem-resistant Klebsiella pneumoniae isolates. J. Clin. Lab. Anal. 2020, 34, 23506. [Google Scholar] [CrossRef]
- Elazhary, M.A.S.Y.; Saheb, S.A.; Roy, R.S.; Lagace, A. A simple procedure for the preliminary identification of aerobic Gram-negative intestinal bacteria with special reference to the Enterobacteriaceae. Can. J. Comp. Med. 1973, 37, 43–46. [Google Scholar]
- Jing, X.; Zhou, H.; Min, X.; Zhang, X.; Yang, Q.; Du, S.; Li, Y.; Yu, F.; Jia, M.; Zhan, Y.; et al. The simplified carbapenem inactivation method (sCIM) for simple and accurate detection of carbapenemase-producing Gram-negative bacilli. Front. Microbiol. 2018, 9, 1–7. [Google Scholar] [CrossRef] [PubMed]
- Workneh, M.; Yee, R.; Simner, P.J. Phenotypic methods for detection of carbapenemase production in carbapenem-resistant organisms: What method should your laboratory choose? Clin. Microbiol. News 2019, 41, 11–22. [Google Scholar] [CrossRef]
- Shon, A.S.; Bajwa, R.P.; Russo, T.A. Hypervirulent (hypermucoviscous) Klebsiella pneumoniae: A new and dangerous breed. Virulence 2013, 4, 107–118. [Google Scholar] [CrossRef] [PubMed]
- Hadano, Y. String test. BMJ Case. Rep. 2013, 2013. [Google Scholar] [CrossRef]
- Fang, C.T.; Chuang, Y.P.; Shun, C.T.; Chang, S.C.; Wang, J.T. A novel virulence gene in Klebsiella pneumoniae strains causing primary liver abscess and septic metastatic complications. J. Exp. Med. 2004, 199, 697–705. [Google Scholar] [CrossRef] [PubMed]
- Nhung, P.H.; Shah, M.M.; Ohkusu, K.; Noda, M.; Hata, H.; Sun, X.S.; Iihara, H.; Goto, K.; Masaki, T.; Miyasaka, J.; et al. The dnaJ gene as a novel phylogenetic marker for identification of Vibrio species. Syst. Appl. Microbiol. 2007, 30, 309–315. [Google Scholar] [CrossRef] [PubMed]
- McLean, K.; Rosenthal, C.A.; Sengupta, D.; Owens, J.; Cookson, B.T.; Hoffman, N.G.; Salipante, S.J. Improved species-level clinical identification of Enterobacteriaceae through broad-range dnaJ PCR and sequencing. J. Clin. Microbiol. 2019, 23, 1–22. [Google Scholar] [CrossRef]
- Saitou, N.; Nei, M. The neighbor-joining method: A new method for reconstructing phylogenetic trees. Mol. Biol. Evol. 1987, 4, 406–425. [Google Scholar] [CrossRef]
- Felsenstein, J. Confidence limits on phylogenies: An approach using the bootstrap. Evolution 1985, 39, 783–791. [Google Scholar] [CrossRef] [PubMed]
- Tamura, K. Estimation of the number of nucleotide substitutions when there are strong transition-transversion and G+C-content biases. Mol. Biol. Evol. 1992, 9, 678–687. [Google Scholar] [CrossRef] [PubMed]
- Kumar, S.; Stecher, G.; Li, M.; Knyaz, C.; Tamura, K. MEGA X: Molecular evolutionary genetics analysis acrosscomputing platforms. Mol. Biol. Evol. 2018, 35, 1547–1549. [Google Scholar] [CrossRef] [PubMed]
- Benson, D.A.; Cavanaugh, M.; Clark, K.; Karsch-Mizrachi, I.; Lipman, D.J.; Ostell, J.; Sayers, E.W. GenBank. Nucleic Acids Res. 2013, 41, 36–42. [Google Scholar] [CrossRef] [PubMed]
- Nordmann, P.; Naas, T.; Poirel, L. Global spread of carbapenemase producing Enterobacteriaceae. Emerg. Infect. Dis. 2011, 17, 10. [Google Scholar] [CrossRef]
- Russo, T.A.; Olson, R.; Fang, C.T.; Stoesser, N.; Miller, M.; MacDonald, U.; Hutson, A.; Barker, J.H.; La Hoz, R.M.; Johnson, J.R. Identification of biomarkers for differentiation of hypervirulent Klebsiella pneumoniae from classical K. pneumoniae. J. Clin. Microbiol. 2018, 56. [Google Scholar] [CrossRef]
- Hudzicki, J. Kirby-Bauer disk diffusion susceptibility test protocol. ASM 2009, 1–23. Available online: https://asm.org/Protocols/Kirby-Bauer-Disk-Diffusion-Susceptibility-Test-Pro (accessed on 1 March 2020).
- Osei Sekyere, J.; Govinden, U.; Bester, L.A.; Essack, S.Y. Colistin and tigecycline resistance in carbapenemase-producing Gram-negative bacteria: Emerging resistance mechanisms and detection methods. J. Appl. Microbiol. 2016, 121, 601–617. [Google Scholar] [CrossRef] [PubMed]
- Sader, H.S.; Ferraro, M.J.; Reller, L.B.; Schreckenberger, P.C.; Swenson, J.M.; Jones, R.N. Reevaluation of clinical and laboratory standards institute disk diffusion breakpoints for tetracyclines for testing Enterobacteriaceae. J. Clin. Microbiol. 2007, 45, 1640–1643. [Google Scholar] [CrossRef]
- Diancourt, L.; Passet, V.; Verhoef, J.; Grimont, P.A.; Brisse, S. Multilocus sequence typing of Klebsiella pneumoniae nosocomial isolates. J. Clin. Microbiol. 2005, 43, 4178–4182. [Google Scholar] [CrossRef]
- Institut Pasteur. Genomic-Based Strain Taxonomy and nomenclature Platform of Institut Pasteur. Available online: https://bigsdb.pasteur.fr/klebsiella/primers_used.html (accessed on 19 February 2021).
- Pub MLST. Public Databases for Molecular Typing and Microbial Genome Diversity. Available online: https://pubmlst.org/ (accessed on 19 February 2021).
- Peakall, R.; Smouse, P.E. GenAlEx 6.5: Genetic analysis in Excel. Population genetic software for teaching and research—An update. Bioinformatics 2012, 28, 2537–2539. [Google Scholar] [CrossRef] [PubMed]
- Hammer, Ø.; Harper, D.A.T.; Ryan, D.P. PAST: Paleontological statistics software package for education and data analysis. Palaeontol. Electron. 2001, 4, 9. [Google Scholar]
- Real Statistics. Real Statistics Using Excel. Available online: https://www.real-statistics.com/ (accessed on 19 February 2021).
Publisher’s Note: MDPI stays neutral with regard to jurisdictional claims in published maps and institutional affiliations. |
© 2021 by the authors. Licensee MDPI, Basel, Switzerland. This article is an open access article distributed under the terms and conditions of the Creative Commons Attribution (CC BY) license (http://creativecommons.org/licenses/by/4.0/).



