Corrosion Resistance of Mild Steel Coated with Phthalimide-Functionalized Polybenzoxazines
Abstract
1. Introduction
2. Materials and Methods
2.1. Materials
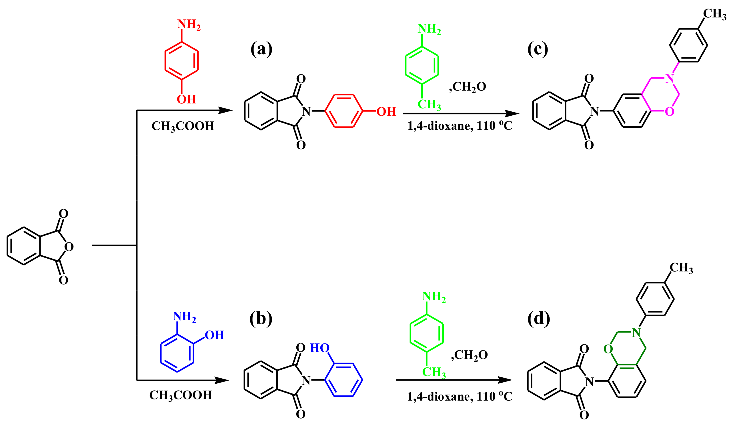
2.2. Synthesis of 2-(4-Hydoxyphenyl)isoindoline-1,3-dione (pPP)
2.3. Synthesis of 2-(2-Hydoxyphenyl)isoindoline-1,3-dione (oPP)
2.4. Synthesis of 2-(3-(p-Tolyl)-3,4-dihydro-2H-benzo[e][1,3]oxazin-6-yl)isoindoline-1,3-dione (pPP-BZ)
2.5. Synthesis of 2-(3-(p-Tolyl)-3,4-dihydro-2H-benzo[e][1,3]oxazin-8-yl)isoindoline-1,3-dione (oPP-BZ)
2.6. Preparation of poly(pPP-BZ) and poly(oPP-BZ)
2.7. Preparation of MS Samples Coated with poly(pPP-BZ) and poly(oPP-BZ)
2.8. Corrosion Tests
3. Results and Discussion
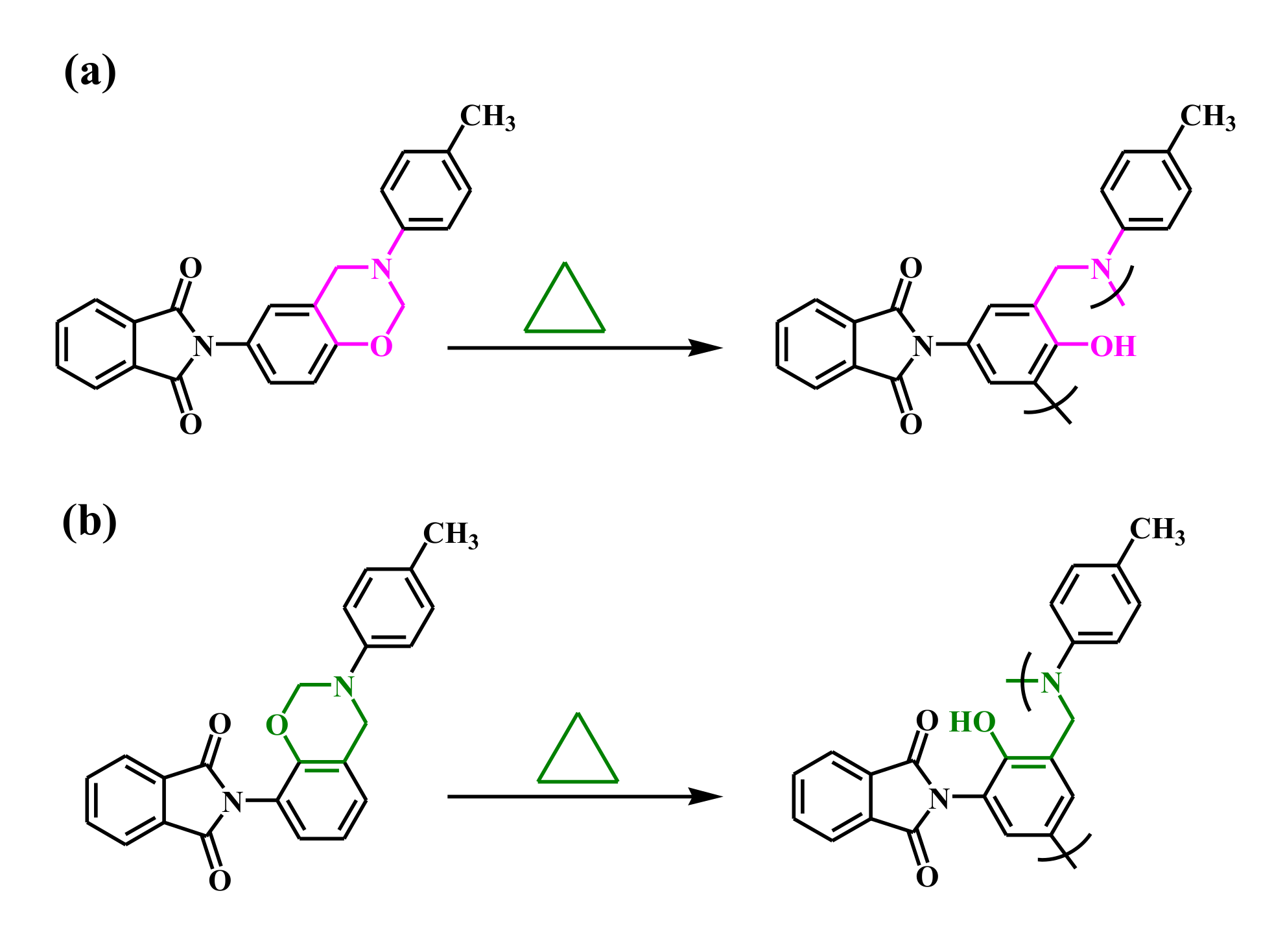
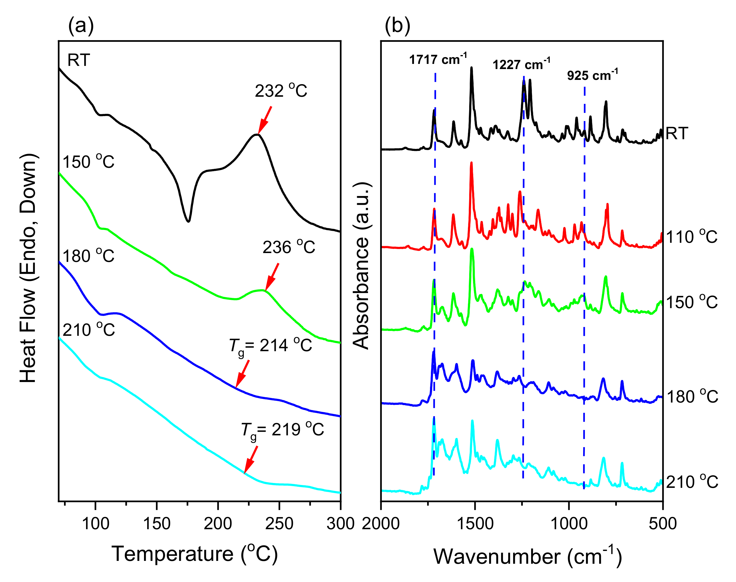
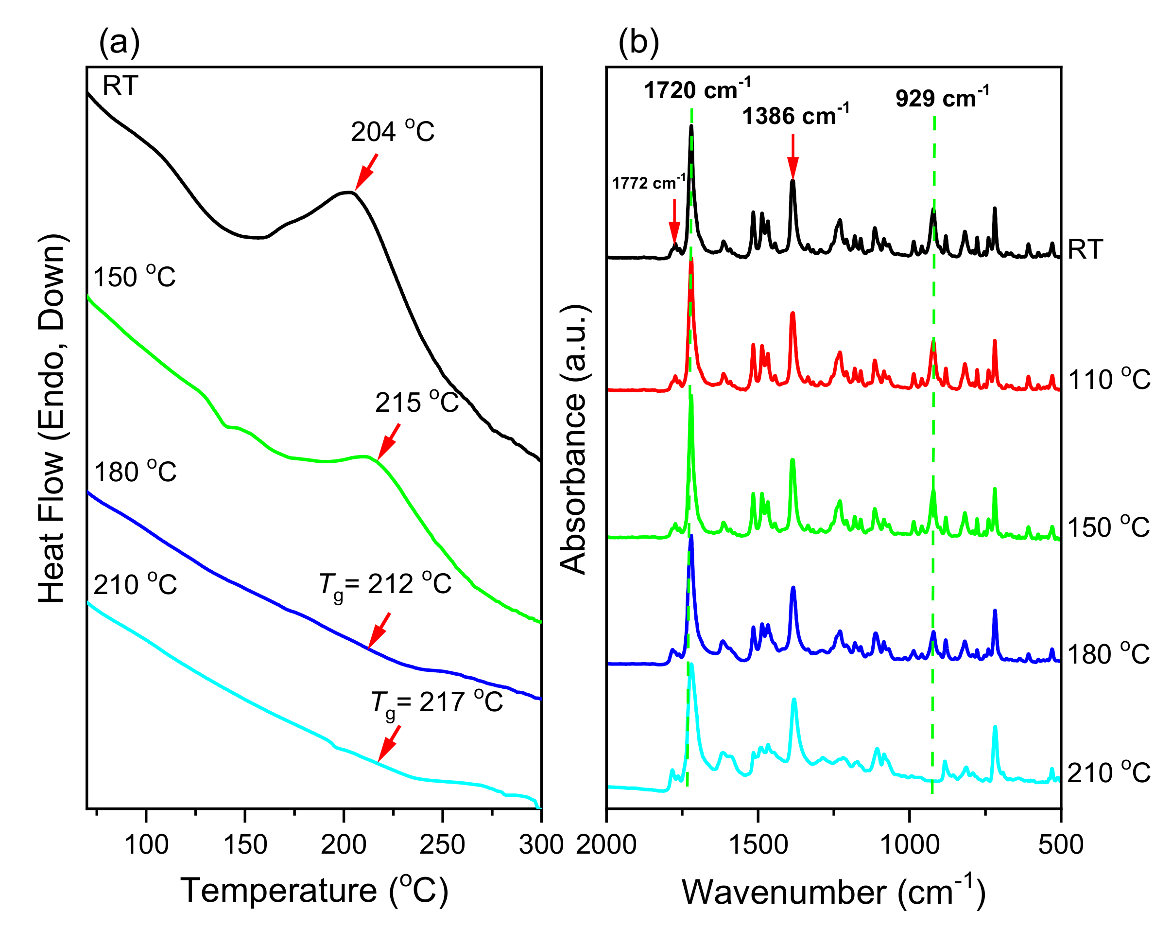
3.1. Synthesis of pPP-BZ and oPP-BZ
3.2. Surface Properties of MS Coated with poly(pPP-BZ) and poly(oPP-BZ)
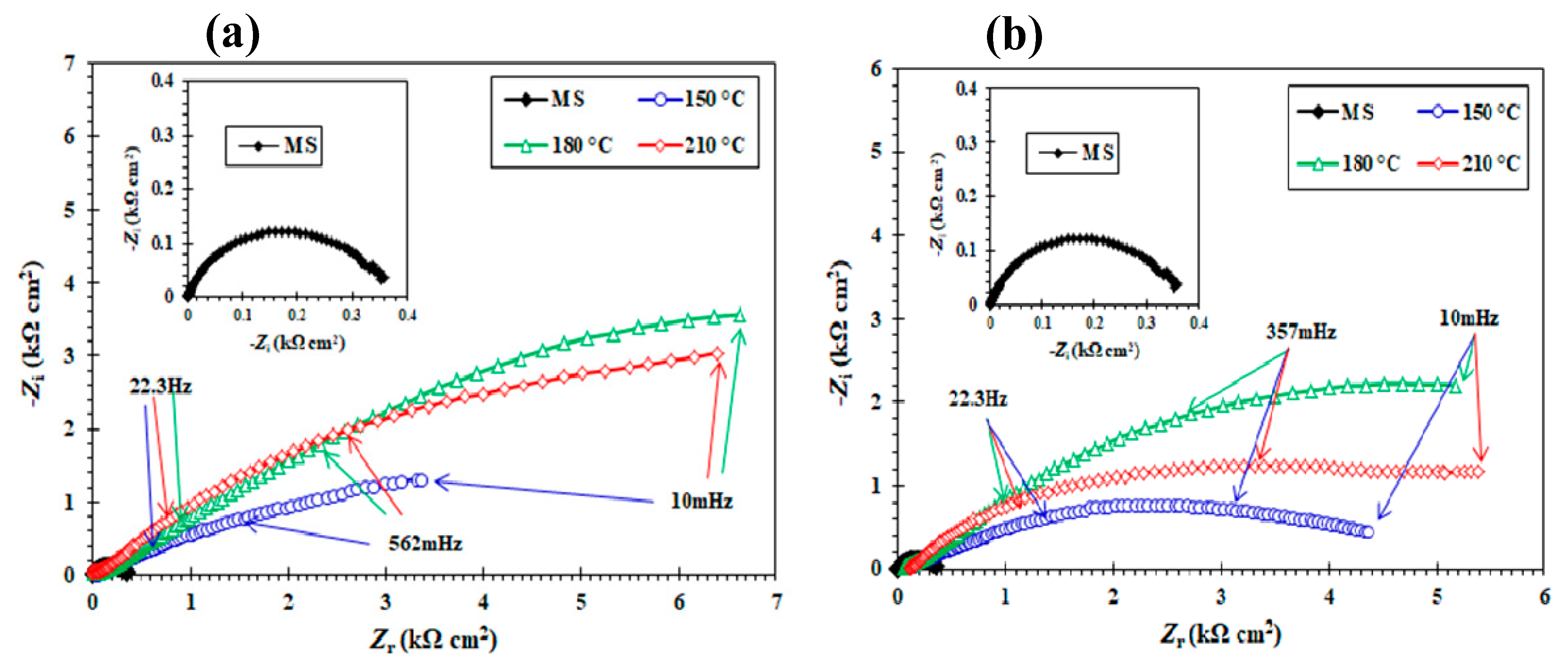
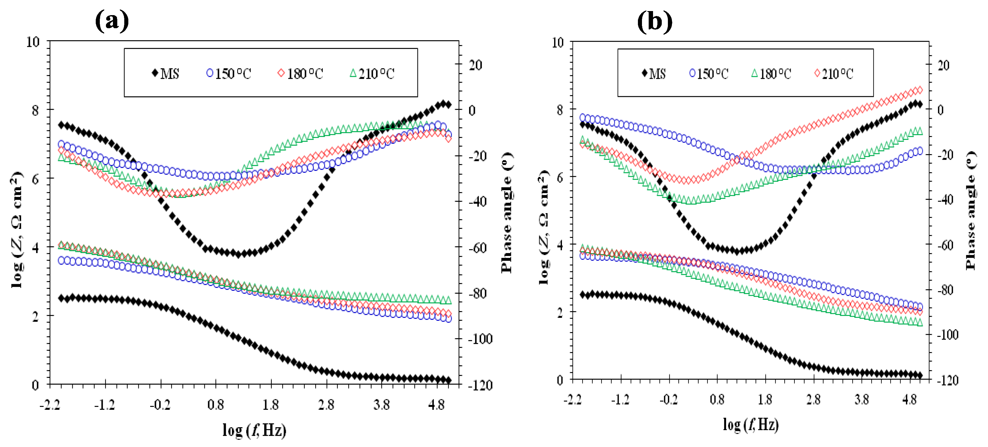
3.3. Corrosion Resistance of MS: Uncoated and Coated with poly(pPP-BZ) and poly(oPP-BZ)
4. Conclusions
Supplementary Materials
Author Contributions
Funding
Conflicts of Interest
References
- Lyu, Y.; Rachita, E.; Pogharian, N.; Froimowiczc, P.; Ishida, H. Electronic effects of asymmetric and meta-alkoxy substituents on the polymerization behavior of bis-benzoxazines. Polym. Chem. 2020, 11, 800–809. [Google Scholar] [CrossRef]
- Mohamed, M.G.; Kuo, S.W. Crown Ether-Functionalized Polybenzoxazine for Metal Ion Adsorption. Macromolecules 2020, 53, 2420–2429. [Google Scholar] [CrossRef]
- Ma, C.; Han, L.; Ma, Z.; Ishida, H. Preparation, and characterization of carbon fiber reinforced polybenzoxazine and polybenzoxazole composites from the same precursor: Use of a smart, ortho-substituted and amide-co-imide functional matrix. Compos. Sci. Technol. 2020, 195, 108205. [Google Scholar] [CrossRef]
- Bai, L.; Ge, Y.; Bai, L. Boron and Nitrogen Co-Doped Porous Carbons Synthesized from Polybenzoxazines for High-Performance Supercapacitors. Coatings 2019, 9, 657. [Google Scholar] [CrossRef]
- Zhang, K.; Liu, Y.; Han, L.; Wang, J.; Ishida, H. Synthesis and thermally induced structural transformation of phthalimide and nitrile-functionalized benzoxazine: Toward smart ortho-benzoxazine chemistry for low flammability thermosets. RSC Adv. 2019, 9, 1526–1535. [Google Scholar] [CrossRef]
- Zhang, X.; Mohamed, M.G.; Xin, Z.; Kuo, S.W. A tetraphenylethylene-functionalized benzoxazine and copper (II) acetylacetonate form a high-performance polybenzoxazine. Polymer 2020, 201, 122552. [Google Scholar] [CrossRef]
- Mohamed, M.G.; Hsu, K.C.; Kuo, S.W. Bifunctional polybenzoxazine nanocomposites containing photo-crosslinkable coumarin units and pyrene units capable of dispersing single-walled carbon nanotubes. Polym. Chem. 2015, 6, 2423–2433. [Google Scholar] [CrossRef]
- Zhang, K.; Ishida, H. Polymerization of an AB-Type Benzoxazine Monomer toward Different Polybenzoxazine Networks: When Diels–Alder Reaction Meets Benzoxazine Chemistry in a Single-Component Resin. Macromolecules 2019, 52, 7386–7395. [Google Scholar] [CrossRef]
- Mohamed, M.G.; Kuo, S.W. Functional Silica and Carbon Nanocomposites Based on Polybenzoxazines. Macromol. Chem. Phys. 2019, 220, 1800306–1800318. [Google Scholar] [CrossRef]
- Dai, J.; Yang, S.; Teng, N.; Liu, Y.; Liu, X.; Zhu, J.; Zhao, J. Synthesis of Eugenol-Based Silicon-Containing Benzoxazines and Their Applications as Bio-Based Organic Coatings. Coatings 2018, 8, 88. [Google Scholar] [CrossRef]
- Arslan, M.; Kiskan, B.; Yagci, Y. Benzoxazine-Based Thermoset with Autonomous Self-Healing and Shape Recovery. Macromolecules 2018, 5, 10095–10103. [Google Scholar] [CrossRef]
- Zhang, K.; Liu, Y.; Evans, C.J.; Yang, S. Easily Processable Thermosets with Outstanding Performance via Smart Twisted Small-Molecule Benzoxazines. Macromol. Rapid. Comm. 2020, 41, 1900625. [Google Scholar] [CrossRef] [PubMed]
- Akkus, B.; Kiskan, B.; Yagci, Y. Combining polybenzoxazines and polybutadienes via simultaneous inverse and direct vulcanization for flexible and recyclable thermosets by polysulfide dynamic bonding. Polym. Chem. 2019, 10, 5743–5750. [Google Scholar] [CrossRef]
- Liu, Y.; Yin, R.; Yu, X.; Zhang, K. Modification of solventless synthesized benzoxazine resin by phthalonitrile group: An effective approach for enhancing thermal stability of polybenzoxazines. Macromol. Chem. Phys. 2018, 220, 1800291–1800297. [Google Scholar] [CrossRef]
- Zhang, K.; Yu, X. Catalyst-Free and Low-Temperature Terpolymerization in a Single-Component Benzoxazine Resin Containing Both Norbornene and Acetylene Functionalities. Macromolecules 2018, 51, 6524–6533. [Google Scholar] [CrossRef]
- Zhang, T.; Bonnaud, L.; Raquez, T.M.; Poorteman, M.; Olivier, M.; Dubois, P. Cerium Salts: An Efficient Curing Catalyst for Benzoxazine Based Coatings. Polymers 2020, 12, 415. [Google Scholar] [CrossRef]
- Samy, M.M.; Mohamed, M.G.; Kuo, S.W. Pyrene-functionalized tetraphenylethylene polybenzoxazine for dispersing single-walled carbon nanotubes and energy storage. Compos. Sci. Technol. 2020, 199, 108360. [Google Scholar] [CrossRef]
- Mohamed, M.G.; Ebrahium, S.M.; Hammam, A.S.; Kuo, S.W.; Aly, K.I. Enhanced CO2 capture in nitrogen-enriched microporous carbons derived from Polybenzoxazines containing azobenzene and carboxylic acid units. J. Polym. Res. 2020, 27, 197. [Google Scholar] [CrossRef]
- Mohamed, M.G.; Kuo, S.W.; Mahdy, A.; Ghayd, I.M.; Aly, K.I. Bisbenzylidene cyclopentanone and cyclohexanone-functionalized polybenzoxazine nanocomposites: Synthesis, characterization, and use for corrosion protection on mild steel. Mater. Today Commun. 2020, 25, 101418. [Google Scholar] [CrossRef]
- Lin, R.C.; Mohamed, M.G.; Kuo, S.W. Benzoxazine/Triphenylamine-Based Dendrimers Prepared through Facile One-Pot Mannich Condensations. Macromol. Rapid Commun. 2017, 38, 1700251. [Google Scholar] [CrossRef]
- Vanherck, K.; Koeckelberghs, G.; Vankelecom, I.F. Crosslinking polyimides for membrane applications: A review. Prog. Polym. Sci. 2013, 38, 874–896. [Google Scholar] [CrossRef]
- Mohamed, M.G.; Kuo, S.W. Functional polyimide/polyhedral oligomeric silsesquioxane nanocomposites. Polymers 2019, 11, 26. [Google Scholar] [CrossRef] [PubMed]
- Yao, B.; Yan, X.; Ding, Y.; Lu, Z.; Dong, D.; Ishida, H.; Zhu, L. Synthesis of sulfonic acid-containing polybenzoxazine for proton ex proton exchange membrane in direct methanol fuel cells. Macromolecules 2014, 47, 1039–1045. [Google Scholar] [CrossRef]
- Takeichi, T.; Guo, Y.; Rimdusit, S. Performance improvement of polybenzoxazine by alloying with polyimide: Effect of preparation method on the properties. Polymer 2005, 46, 4909–4916. [Google Scholar] [CrossRef]
- Zhou, C.; Lin, J.; Lu, X.; Xin, Z. Enhanced corrosion resistance of polybenzoxazine coatings by epoxy incorporation. RSC Adv. 2016, 6, 28428–28434. [Google Scholar] [CrossRef]
- Van Westing, E.P.M.; Ferrari, G.M.; De Wit, J.H.W. The determination of coating performance with impedance measurements-I. Coating polymer properties. Corros. Sci. 1993, 34, 1511–1530. [Google Scholar] [CrossRef]
- Krishnan, S.; Arumugam, H.; Kuppan, C.; Goswami, A.; Chavali, M.; Muthukaruppan, A. Silane-functionalized polybenzoxazines: A superior corrosion resistant coating for steel plates. Mater. Corros. 2017, 68, 1343–1354. [Google Scholar] [CrossRef]
- Zhang, R.; Lu, X.; Lou, C.; Zhou, C.; Xin, Z. Preparation of diamine-based polybenzoxazine coating for corrosion protection on mild steel. J. Polym. Res. 2019, 26, 29. [Google Scholar] [CrossRef]
- Li, S.; Zhao, C.; Gou, H.; Li, H.; Li, Y.; Xiang, D. Synthesis and characterization of aniline-dimer-based electroactive benzoxazine and its polymer. RSC Adv. 2017, 7, 55796–55806. [Google Scholar] [CrossRef]
- Li, S.; Zhao, C.; Wang, Y.; Li, H.; Li, Y. Synthesis and electrochemical properties of electroactive aniline-dimer-based benzoxazines for advanced corrosion-resistant coatings. J. Mater. Sci. 2018, 53, 7344–7356. [Google Scholar] [CrossRef]
- Lu, X.; Liu, Y.; Zhang, W.; Zhang, X.; Zhou, C.; Xin, Z. Crosslinked main-chain-type polybenzoxazine coatings for corrosion protection of mild steel. J. Coat. Technol. Res. 2017, 14, 937–944. [Google Scholar] [CrossRef]
- Hamak, K.F. Synthetic of Phthalimides via the reaction of phthalic anhydride with amines and evaluating of its biological and anticorrosion activity. Int. J. Chem. Tech. Res. 2014, 6, 324–333. [Google Scholar]
- Hegazy, M.A. A novel Schiff base-based cationic gemini surfactants: Synthesis and effect on corrosion inhibition of carbon steel in hydrochloric acid solution. Corros. Sci. 2009, 51, 2610–2618. [Google Scholar] [CrossRef]
- Mohamed, M.G.; Tsai, M.Y.; Su, W.C.; EL-Mahdy, A.F.M.; Wang, C.F.; Huang, C.F.; Dai, L.; Chen, T.; Kuo, S.W. Nitrogen-Doped microporous carbons derived from azobenzene and nitrile-functionalized polybenzoxazines for CO2 uptake. Mater. Today Commun. 2020, 24, 101111. [Google Scholar] [CrossRef]
- Samy, M.M.; Mohamed, M.G.; Kuo, S.W. Directly synthesized nitrogen-and-oxygen–doped microporous carbons derived from a bio-derived polybenzoxazine exhibiting high-performance supercapacitance and CO2 uptake. Eur. Polym. J. 2020, 138, 109954. [Google Scholar] [CrossRef]
- Aly, K.I.; Mohamed, M.G.; Younis, O.; Mahross, M.H.; Hakim, M.A.; Sayed, M.M. Salicylaldehyde azine-functionalized polybenzoxazine: Synthesis, characterization, and its nanocomposites as coatings for inhibiting the mild steel corrosion. Prog. Org. Coat. 2020, 138, 105385. [Google Scholar] [CrossRef]
- Wang, H.; Liu, S.; Chung, T.S.; Chen, H.; Jean, Y.C.; Pramoda, K.P. The evolution of poly (hydroxyamide amic acid) to poly (benzoxazole) via stepwise thermal cyclization: Structural changes and gas transport properties. Polymer 2011, 52, 5127–5138. [Google Scholar] [CrossRef]
- Chen, W.C.; Kuo, S.W. Ortho-Imide and Allyl Groups Effect on Highly Thermally Stable Polybenzoxazine/Double-Decker-Shaped Polyhedral Silsesquioxane Hybrids. Macromolecules 2018, 51, 9602–9612. [Google Scholar] [CrossRef]
- Zhang, K.; Ishida, H. An anomalous trade-off effect on the properties of smart ortho-functional benzoxazines. Polym. Chem. 2015, 6, 2541–2550. [Google Scholar] [CrossRef]
- El-Mahdy, A.F.M.; Kuo, S.W. Direct synthesis of poly (benzoxazine imide) from an ortho-benzoxazine: Its thermal conversion to highly cross-linked polybenzoxazole and blending with poly (4-vinylphenol). Polym. Chem. 2018, 9, 1815–1826. [Google Scholar] [CrossRef]
- Nagata, T.; Kurowarabi, K.; Kawauchi, T.; Matsumoto, A.; Furukawa, N.; Takeichi, T. Takeichi, Preparation of Imide-modified Benzoxazines and Characterization of Cured Films. J. Photopolym. Sci. Technol. 2015, 28, 145–150. [Google Scholar] [CrossRef][Green Version]
- Lin, R.C.; Mohamed, M.G.; Hsu, K.C.; Wu, J.Y.; Jheng, Y.R.; Kuo, S.W. Multivalent photo-crosslinkable coumarin-containing polybenzoxazines exhibiting enhanced thermal and hydrophobic surface properties. RSC Adv. 2016, 6, 10683–10696. [Google Scholar] [CrossRef]
- Mohamed, M.G.; Hsiao, C.H.; Luo, F.; Dai, L.; Kuo, S.W. Multifunctional polybenzoxazine nanocomposites containing photoresponsive azobenzene units, catalytic carboxylic acid groups, and pyrene units capable of dispersing carbon nanotubes. RSC Adv. 2015, 5, 45201–45212. [Google Scholar] [CrossRef]
- Mohamed, M.G.; Hsiao, C.H.; Hsu, K.C.; Lu, F.H.; Shih, H.K.; Kuo, S.W. Supramolecular functionalized polybenzoxazines from azobenzene carboxylic acid/azobenzene pyridine complexes: Synthesis, surface properties, and specific interactions. RSC Adv. 2015, 5, 12763–12772. [Google Scholar] [CrossRef]
- Zhang, Y.; Liu, X.; Zhan, G.; Zhuang, Q.; Zhang, R.; Qian, J. Study on the synergistic anticorrosion property of a fully bio-based polybenzoxazine copolymer resin. Eur. Polym. J. 2019, 119, 477–486. [Google Scholar] [CrossRef]
- Phalak, G.A.; Patil, D.M.; Mhaske, S.T. Synthesis and characterization of thermally curable guaiacol based poly (benzoxazine-urethane) coating for corrosion protection on mild steel. Eur. Polym. J. 2017, 88, 93–108. [Google Scholar] [CrossRef]
- Lin, S.C.; Wu, C.S.; Yeh, J.M.; Liu, Y.L. Reaction mechanism and synergistic anticorrosion property of reactive blends of maleimide-containing benzoxazine and amine-capped aniline trimer. Polym. Chem. 2014, 5, 4235–4244. [Google Scholar] [CrossRef]
- Ruhi, G.; Modi, O.P.; Dhawan, S.K. Chitosan-polypyrrole-SiO2 composite coatings with advanced anticorrosive properties. Synth. Met. 2015, 200, 24–39. [Google Scholar] [CrossRef]
- Radhakrishnan, S.; Siju, C.R.; Mahanta, D.; Patil, S.; Madras, G. Conducting polyaniline–nano-TiO2 composites for smart corrosion resistant coatings. Electrochim. Acta 2009, 54, 1249–1254. [Google Scholar] [CrossRef]
- Vakili, H.; Ramezanzadeh, B.; Amini, R. The corrosion performance and adhesion properties of the epoxy coating applied on the steel substrates treated by cerium-based conversion coatings. Corros. Sci. 2015, 94, 466–475. [Google Scholar] [CrossRef]
- Chang, K.C.; Ji, W.F.; Lai, M.C.; Hsiao, Y.R.; Hsu, C.H.; Chuang, T.L.; Liu, W.R. Correction: Synergistic effects of hydrophobicity and gas barrier properties on the anticorrosion property of PMMA nanocomposite coatings embedded with graphene nanosheets. Polym. Chem. 2014, 5, 6865. [Google Scholar] [CrossRef]
- Hegazy, A.M.; Badawi, M.; El-Rehim, S.S.; Kamel, W.M. Influence of copper nanoparticles capped by cationic surfactant as modifier for steel anti-corrosion paints. Egypt. J. Pet. 2013, 22, 549–556. [Google Scholar] [CrossRef]
- Zhou, C.; Lu, X.; Xin, Z.; Liu, J.; Zhang, Y. Hydrophobic benzoxazine-cured epoxy coatings for corrosion protection. Prog. Org. Coat. 2013, 76, 1178–1183. [Google Scholar] [CrossRef]
- Hegazy, M.A.; Hefny, M.M.; Badawi, A.M.; Ahmed, M.Y. Nanosilicon dioxide/o-phenylenediamine hybrid composite as a modifier for steel paints. Prog. Org. Coat. 2013, 76, 827–834. [Google Scholar] [CrossRef]
- Zhou, C.; Lu, X.; Xin, Z.; Liu, J.; Zhang, Y. Polybenzoxazine/SiO2 nanocomposite coatings for corrosion protection of mild steel. Corros. Sci. 2014, 80, 269–275. [Google Scholar] [CrossRef]
- Dexter, S.C.; Gao, G. Effect of seawater biofilms on corrosion potential and oxygen reduction of stainless steel. Corrosion 1988, 44, 717–723. [Google Scholar] [CrossRef]
- Nikravesh, B.; Ramezanzadeh, B.; Sarabi, A.A.; Kasiriha, S.M. Evaluation of the corrosion resistance of an epoxy-polyamide coating containing different ratios of micaceous iron oxide/Al pigments. Corros. Sci. 2011, 53, 1592–1603. [Google Scholar] [CrossRef]
- Zhang, K.; Ishida, H. Smart synthesis of high-performance thermosets based on ortho-amide–imide functional benzoxazines. Front. Mater. 2015, 2, 5. [Google Scholar] [CrossRef][Green Version]
- Aramaki, K. Relation between Corrosion Inhibition Efficiency of Polar Organic Compounds for Some Non-transition Metals and the HSAB Principle. Corros. Eng. 1983, 32, 144–148. [Google Scholar] [CrossRef]
- Lu, X.; Liu, Y.; Zhou, C.; Zhang, W.; Xin, Z. Corrosion protection of hydrophobic bisphenol A-based polybenzoxazine coatings on mild steel. RSC Adv. 2016, 6, 5805–5811. [Google Scholar] [CrossRef]
- Kelly, R.G.; Scully, J.R.; Shoesmith, D.; Buchheit, R.G. Electrochemical Techniques in Corrosion Science and Engineering; CRC Press: Boca Raton, FL, USA, 2002. [Google Scholar]
- Qu, L.; Xin, Z. Preparation, and surface properties of novel low surface free energy fluorinated silane-functional polybenzoxazine films. Langmuir 2011, 27, 8365–8370. [Google Scholar] [CrossRef] [PubMed]
- Dong, H.; Xin, Z.; Lu, X.; Lv, Y. Effect of N-substituents on the surface characteristics and hydrogen bonding network of polybenzoxazines. Polymer 2011, 52, 1092–1101. [Google Scholar] [CrossRef]
- Hegazy, M.A.; Sami, R.M.; Labena, A.; Wadaan, M.A.M.; Hozzein, W.N. 4,4′-(((1E,5E)-pentane-1,5-diylidene)bis(azanylylidene))bis(1-dodecylpyridin-1-ium) bromide as a novel corrosion inhibitor in an acidic solution (Part I). Mater. Sci. Eng. C 2020, 110, 110673. [Google Scholar] [CrossRef] [PubMed]
- Qi, K.; Sun, Y.; Duan, H.; Guo, X. A corrosion-protective coating based on a solution-processable polymer-grafted graphene oxide nanocomposite. Corros. Sci. 2015, 98, 500–506. [Google Scholar] [CrossRef]
- Hegazy, M.A.; Abdallah, M.; Alfakeer, M.; Ahmed, H. Corrosion inhibition performance of a novel cationic surfactant for protection of carbon steel pipeline in acidic media. Int. J. Electrochem. Sci. 2018, 13, 6824–6842. [Google Scholar] [CrossRef]
- Bentiss, F.; Traisnel, M.; Lagrenee, M. The substituted 1, 3, 4-oxadiazoles: A new class of corrosion inhibitors of mild steel in acidic media. Corros. Sci. 2000, 42, 127–146. [Google Scholar] [CrossRef]
- Poorteman, M.; Renaud, A.; Escobar, J.; Dumas, L.; Bonnaud, L.; Dubois, P.; Olivier, M.G. Thermal curing of para-phenylenediamine benzoxazine for barrier coating applications on 1050 aluminum alloys. Prog. Org. Coat. 2016, 97, 99–109. [Google Scholar] [CrossRef]
- Zulkifli, F.; Yusof, M.S.M.; Isa, M.I.N.; Yabuki, A.; Nik, W.W. Henna leaves extract as a corrosion inhibitor in acrylic resin coating. Prog. Org. Coat. 2017, 105, 310–319. [Google Scholar] [CrossRef]














| Samples | Curing Temperature (°C) | Td5 (°C) | Td10 (°C) | Char Yield (%) | Tg/DSC (°C) | 
|---|---|---|---|---|---|
| pPP-BZ | RT | 179 | 215 | 13 | - | 
| 150 | 244 | 286 | 26 | - | |
| 180 | 259 | 286 | 33 | 214 ± 1 | |
| 210 | 296 | 321 | 37 | 219 ± 1 | |
| oPP-BZ | RT | 219 | 245 | 40 | - | 
| 150 | 234 | 256 | 42 | - | |
| 180 | 255 | 279 | 44 | 212 ± 1 | |
| 210 | 264 | 289 | 48 | 217 ± 1 | 
| Coating Samples | Ecorr mV | icorr µA·cm−2 | βa mV·dec−1 | βc mV·dec−1 | CR µm/Y | RP kΩ·cm2 | η % | 
|---|---|---|---|---|---|---|---|
| uncoated MS | −803.0 | 12.44 ± 0.09 | 282 ± 2 | −228 ± 2 | 145 ± 1 | 3.68 | - | 
| poly(pPP-BZ)150 | −738.3 | 0.46 ± 0.08 | 218 ± 2 | −319 ± 2 | 5 ± 1 | 145.09 | 96.3 | 
| poly(pPP-BZ)180 | −737.6 | 0.24 ± 0.05 | 343 ± 2 | −342 ± 2 | 3 ± 1 | 222.56 | 98.1 | 
| poly(pPP-BZ)210 | −762.7 | 0.31 ± 0.02 | 287 ± 2 | −289 ± 2 | 4 ± 1 | 200.84 | 97.5 | 
| poly(oPP-BZ)150 | −699.6 | 0.91 ± 0.07 | 227 ± 2 | −331 ± 2 | 11 ± 1 | 40.74 | 92.8 | 
| poly(oPP-BZ)180 | −676.6 | 0.61 ± 0.06 | 318 ± 2 | −374 ± 2 | 7 ± 1 | 100.89 | 95.1 | 
| poly(oPP-BZ)210 | −730.4 | 0.79 ± 0.03 | 296 ± 2 | −358 ± 2 | 9 ± 1 | 77.49 | 93.7 | 
| Coating Samples | Qc (µΩ−1·sn·cm−2) | n1 | Rp (kΩ·cm2) | Qdl (µΩ−1·sn·cm−2) | n2 | Rct (kΩ·cm2) | η1 (%) | 
|---|---|---|---|---|---|---|---|
| uncoated MS | - | - | - | 1.238 ± 0.009 | 0.77 | 0.35 ± 0.08 | - | 
| poly(pPP-BZ)150 | 2.7 × 10−2 | 0.38 | 0.479 ± 0.031 | 0.084 ± 0.008 | 0.67 | 8.22 ± 0.01 | 95.7 | 
| poly (pPP-BZ)180 | 2.1 × 10−3 | 0.71 | 0.084 ± 0.002 | 0.078 ± 0.005 | 0.50 | 29.55 ± 0.03 | 98.3 | 
| poly(pPP-BZ)210 | 1.4 × 10−2 | 0.57 | 0.010 ± 0.005 | 0.081 ± 0.004 | 0.60 | 11.67 ± 0.01 | 97.0 | 
| poly(oPP-BZ)150 | 6.0 × 10−2 | 0.38 | 0.039 ± 0.004 | 0.118 ± 0.006 | 0.71 | 4.98 ± 0.05 | 92.9 | 
| poly(oPP-BZ)180 | 8.9 × 10−3 | 0.51 | 4.381 ± 0.055 | 0.069 ± 0.003 | 0.58 | 9.84 ± 0.04 | 96.4 | 
| poly(oPP-BZ)210 | 3.9 × 10−2 | 0.57 | 0.341 ± 0.061 | 0.093 ± 0.002 | 0.43 | 6.40 ± 0.05 | 94.5 | 
| Publisher’s Note: MDPI stays neutral with regard to jurisdictional claims in published maps and institutional affiliations. | 
© 2020 by the authors. Licensee MDPI, Basel, Switzerland. This article is an open access article distributed under the terms and conditions of the Creative Commons Attribution (CC BY) license (http://creativecommons.org/licenses/by/4.0/).
Share and Cite
Aly, K.I.; Mahdy, A.; Hegazy, M.A.; Al-Muaikel, N.S.; Kuo, S.-W.; Gamal Mohamed, M. Corrosion Resistance of Mild Steel Coated with Phthalimide-Functionalized Polybenzoxazines. Coatings 2020, 10, 1114. https://doi.org/10.3390/coatings10111114
Aly KI, Mahdy A, Hegazy MA, Al-Muaikel NS, Kuo S-W, Gamal Mohamed M. Corrosion Resistance of Mild Steel Coated with Phthalimide-Functionalized Polybenzoxazines. Coatings. 2020; 10(11):1114. https://doi.org/10.3390/coatings10111114
Chicago/Turabian StyleAly, Kamal I., Abdulsalam Mahdy, Mohamed A. Hegazy, Nayef S. Al-Muaikel, Shiao-Wei Kuo, and Mohamed Gamal Mohamed. 2020. "Corrosion Resistance of Mild Steel Coated with Phthalimide-Functionalized Polybenzoxazines" Coatings 10, no. 11: 1114. https://doi.org/10.3390/coatings10111114
APA StyleAly, K. I., Mahdy, A., Hegazy, M. A., Al-Muaikel, N. S., Kuo, S.-W., & Gamal Mohamed, M. (2020). Corrosion Resistance of Mild Steel Coated with Phthalimide-Functionalized Polybenzoxazines. Coatings, 10(11), 1114. https://doi.org/10.3390/coatings10111114
 
        



 
       