Next Article in Journal
Immediate Hypersensitivity Reactions to Paraformaldehyde Used as a Dental Material
Next Article in Special Issue
Influence of Wax and Silver Nanoparticles on Preservation Quality of Murcott Mandarin Fruit during Cold Storage and after Shelf-Life
Previous Article in Journal
Multiscale Simulation of Shot-Peening-Assisted Low-Pressure Cold Spraying Based on Al-Zn-Al2O3 Coatings
Previous Article in Special Issue
The Application of Aloe vera Gel as Coating Agent to Maintain the Quality of Tomatoes during Storage
 
 
Font Type:
Arial Georgia Verdana
Font Size:
Aa Aa Aa
Line Spacing:
Column Width:
Background:
Article

Screening of Essential Oils and Effect of a Chitosan-Based Edible Coating Containing Cinnamon Oil on the Quality and Microbial Safety of Fresh-Cut Potatoes

1
School of Pharmacy and Food Science, Zhuhai College of Science and Technology, Zhuhai 519041, China
2
LiveRNA Therapeutics Inc., Zhuhai 519041, China
3
College of Life Science and Technology, Huazhong Agricultural University, Wuhan 430070, China
*
Authors to whom correspondence should be addressed.
Coatings 2022, 12(10), 1492; https://doi.org/10.3390/coatings12101492
Submission received: 13 September 2022 / Revised: 5 October 2022 / Accepted: 5 October 2022 / Published: 7 October 2022
(This article belongs to the Special Issue Coatings on Food Packaging and Shelf Life)

Abstract

Fresh-cut potatoes (Solanum tuberosum L.) are a popular food owing to their freshness, convenience, and health benefits. However, they might present a potentially high health risk to consumers during transportation, processing, and marketing. In the current study, 18 essential oils (EOs) were screened to test their antimicrobial activity against Listeria monocytogenes (LM), Salmonella typhimurium (ST), Staphylococcus aureus (SA), and Escherichia coli O157:H7 (EC O157:H7). The antibacterial effectiveness of a chitosan edible coating (EC) containing cinnamon oil was evaluated against microorganisms on fresh-cut potatoes. Fresh-cut potatoes were treated with chitosan EC and chitosan EC containing different concentrations (0, 0.2, 0.4, and 0.6%, v/v) of cinnamon oil, and uncoated samples served as the control. The viability of naturally occurring microorganisms and artificially inoculated LM on fresh-cut potatoes was evaluated, as were the colour, weight loss, and firmness of potatoes, every 4 days for a total of 16 days at 4 °C. The results demonstrate that the inhibition zones of cinnamon, oregano, and pomelo oils were 16.33–30.47 mm, 22.01–31.31 mm, and 21.75–35.18 mm, respectively. The cinnamon oil exhibits the lowest MIC (0.313 μL/mL) for four foodborne pathogens compared with oregano and pomelo oils. The chitosan EC containing 0.2% cinnamon oil effectively maintains the quality of fresh-cut potatoes including inhibiting the browning, preventing the weight loss, and maintaining the firmness. The decline of total plate counts, yeast and mould counts, total coliform counts, lactic acid bacteria count, and Listeria monocytogenes in EC containing 0.2% cinnamon oil were 2.14, 1.92, 0.98, 0.73, and 1.94 log cfu/g, respectively. Therefore, the use of chitosan EC containing cinnamon oil might be a promising approach for the preservation of fresh-cut potatoes.

1. Introduction

The potato (Solanum tuberosum L.) is a type of grain and vegetable crop with high starch, high protein, high vitamin, and low calorie contents that plays an important role in our daily life [1,2]. Potato has been the vital economic crop in many countries. China, India, the Russian Federation, Ukraine, and the United States of America were the top five highest average potato production countries during 2000 to 2019 [3]. Potato processing has shown a tremendous growth in the recent past. Post-harvest processing of sweet potato involves grading and sorting, cleaning, peeling, drying or secondary processing, and storage [4]. Fresh-cut fruits and vegetables, having been cleaned, peeled, and cut, with the maintenance of the characteristics of freshness and nutrition, are therefore healthy and ready to eat and use [5]. Hence, they are increasingly becoming the focus of consumer attention. In this context, an increase in fresh-cut potatoes as a type of fresh-cut fruit and vegetable appears an inevitable future trend in the potato industry. The potato is the largest vegetable crop, grown in 79% of the countries of the world [6]. In 2016, approximately 21 kg (46 lbs) of potatoes was consumed per capita in the United States, with almost half of that consumption represented by fresh potatoes [7]. However, cutting potatoes causes the cells and tissues to rupture due to mechanical damage [8]. In terms of appearance, they show a softening of texture; there is a loss of flavour, there is microbial infection, and there are other problems, resulting in a shortened shelf life and reduced quality [9]. Therefore, it is urgent to develop effective and environmentally friendly methods to maintain the quality of fresh-cut potatoes during their shelf life.
An edible coating (EC) is an oxygen and moisture barrier that can improve the shelf life and quality of fresh-cut fruits and vegetables [10]. The gas exchange, migration of moisture and solutes, respiration, and oxidative reactions of the surface of fruits and vegetables can be reduced through coating [11]. Different types of ECs, such as chitosan, pectin, starch, alginates, gums, and carrageenan, have been widely studied for the preservation of fresh-cut fruits and vegetables [12,13,14,15]. Among these, chitosan EC has received a great deal of attention from the food industries. This derivative of chitin is a copolymer of N-acetylglucosamine and glucosamine residues linked by β-1,4-glycosidic bonds that is insoluble in dilute acids. The main properties of chitosan include film forming, antimicrobial activity, its nontoxic nature, biodegradability, and biocompatibility [16]. As a preservative coating for fruits and vegetables, chitosan has been proven to be edible and biologically safe [17]. In the form of a semipermeable film, chitosan EC can alter the internal atmosphere, reduce transpiration loss, and delay the ripening of fruits and vegetables. These properties make chitosan a superior edible coating [18]. Several recent studies have also indicated that chitosan has beneficial effects in food preservation [19].
According to the Food and Drug Administration, essential oils (EOs) are safe for human consumption [20]. It is widely recognised that EOs contain a broad range of antiparasitic, antibacterial, antifungal, and antiviral constituents [21]. Cinnamon oil is mainly extracted from the bark, leaves, and twigs of cassia that is predominantly grown in China, Indonesia, Vietnam, and Sri Lanka [22,23]. The main components of cinnamon oil are cinnamaldehyde, cinnamyl ester, salicylaldehyde, eugenol, vanillin, and other components [24]. It exhibits antimicrobial activity against several bacteria, yeasts, and fungi. Some studies have indicated that cinnamon oil can damage the cell wall and cell membrane of bacteria, leading to the increased permeability of cell membranes, leakage of cell contents, and reduced rates of bacterial survival [25]. In addition, the volatilisation properties of cinnamon oils can easily enhance the antibacterial activity against pathogenic and spoilage organisms on fresh-cut fruits and vegetables for preservation. However, the strong smell of cinnamon oil can affect the flavour of fresh-cut fruits and vegetables and their acceptability in terms of sensory evaluation. It is, therefore, necessary to combine cinnamon oil with other technologies to reduce its adverse effects on fresh-cut fruits and vegetables. The preservation effects of lemongrass, rosemary, cinnamon, tea tree, mint, palmarosa, oregano, and vanilla oils incorporated into EC have been evaluated on some fresh-cut fruits such as Fuji apples, pineapple, melon, and citrus [26,27,28,29,30].
In this study, the antibacterial activity of eighteen essential oils was screened against Salmonella typhimurium, Staphylococcus aureus, Listeria monocytogenes, and Escherichia coli O157:H7, and cinnamon oil showed the strongest antibacterial activity. In the preservation of fruits and vegetables, the chitosan edible coating has great prospects in maintaining the quality of fruits and vegetables among various types of edible coatings. However, no published studies have reported on the effects of the incorporation of cinnamon oil into chitosan edible coating for fresh-cut potatoes. Therefore, the current study aimed at evaluating the effects of different concentrations of cinnamon oil incorporated into chitosan edible coating on the quality, naturally occurring microorganisms, and artificially inoculated Listeria monocytogenes (Figure 1). The quality change of fresh-cut potatoes was assessed by measuring the colour, weight loss, and firmness. The safety of fresh-cut potatoes was evaluated through analysing the number of total plate counts, yeast and mould counts, total coliform counts, and lactic acid bacteria counts; and Listeria monocytogenes. The antibacterial and preservation agents of chitosan EC containing cinnamon oil were developed to provide a safe, convenient, and low-cost preservative for fresh-cut potatoes.

2. Materials and Methods

2.1. Bacterial Strains and Preparation of Bacterial Inoculum

Salmonella typhimurium (ST, CICC 21484), Staphylococcus aureus (SA, CICC 21600), Listeria monocytogenes (LM, CICC 21633), and Escherichia coli O157:H7 (EC O157:H7, CICC 21530) were obtained from China Center of Industrial Culture Collection (CICC, Beijing, China). LM was cultured in tryptic soy broth with yeast extract (TSB-YE) for 12 h at 37 °C. ST, EC O157:H7, and SA were cultured in tryptic soy broth (TSB) for 12 h at 37 ℃. The suspension of LM was centrifuged at 2795× g for 5 min at 4 °C and washed with 0.1% (w/v) peptone water (Aobox Biotechnology, Beijing, China) three times. The suspension was diluted 1:10 with 0.1% (w/v) peptone water to obtain the proper inoculum. The bacterial counts are represented as log cfu/mL [31].

2.2. Vegetables

Potatoes of uniform size and colour, and free of defects, were purchased from a New-Mart in Dalian City (China). All samples were kept at low temperature (approximately 4 °C) before processing [32].

2.3. Antimicrobial Activity of Essential Oils

2.3.1. Essential Oils

Eighteen EOs were used for this study. Cinnamon oil (Cinnamomum cassia), oregano oil (Origanum vulgare), clove oil (Eugenia caryophyllus), and tea tree oil (Melaleuca alternifolia), pomelo oil (Citrus maxima (Burm.) Merr.), jasmine oil (Jasminum sambac (L.) Ait.), eucalyptus oil (Eucalyptus globulus), sweet orange oil (Citrus sinensis (Linn.) Osbeck), sea buckthorn pulp oil (Hippophae rhamnoides L.), sweet osmanthus oil (Osmanthus fragrans (Thunb.) Lour.), lavender oil (Lavandula angustifolia), petitgrain oil (Citurs sinensis L. Osbeck), grapefruit oil (Citrus paradisi Macf.), rose oil (Rosa rugosa Thunb.), and citrus oil (Citrus reticulata Blanco) were obtained from Ji’an (Ji’an Zhongxiang Natural Plant, Ji’an, China). Some EOs obtained from Tongren (Miaoyao Biotech Co., Ltd., GuiZhou, China) were blumea oil (Blumea balsamifera), rosemary oil (Rosmarinus officinalis), and valeriana oil (Valeriana officinalis). Prior to their use in experiments, each EO was filtered using a 0.22 mm filter membrane (Millex-GP Filter Unit; Merck Millipore, Darmstadt, Germany) and stored at room temperature.

2.3.2. Disc Diffusion Assay

Paper disc agar plate assays were used to determine the antimicrobial activities of eighteen EOs against ST, SA, LM, and EC O157:H7 [33]. The bacterial suspension of 8 log cfu/mL was uniformly spread on a TSA plate. Sterile filter paper discs (6 mm) impregnated with EOs of 5 μL were placed on the surface of the TSA plate. After 24 h of incubation at 37 °C, the inhibition zone diameter (mm) on the TSA plate was measured. Inhibition zones were classified according to size as low (<12 mm), moderate (12–20 mm), and strong (≥20 mm) [34]. Three measurements were taken to determine the average results.

2.3.3. Determination of the Minimal Inhibitory Concentration (MIC)

The MIC was determined using a modified method [35]. Briefly, EOs were mixed in dimethylsulfoxide (DMSO, 0.8% v/v) (Kemiou, Tianjin, China) and added into the tube containing TSB using a two-fold dilution method (10 to 0.0195 μL/mL) [36]. Then, 100 μL bacterial suspensions (5 log cfu/mL) were respectively added to each tube. The MIC was determined after enrichment by measuring the turbidity of the culture media.

2.4. Preparation of Chitosan Edible Coating

The chitosan EC was prepared by mixing 2% (w/v) chitosan (food-grade, 50 KD, Henan Qiang Li Chemical Products Co., Ltd., Zhengzhou, China), 1.5% (w/v) glycerol, and 2% (w/v) calcium chloride solution (food-grade) containing 1% (w/v) ascorbic acid (food-grade) and 1% (w/v) citric acid (food-grade) in ultrapure water and stirred at 70 °C until the solution became transparent [28,37]. Citric acid and ascorbic acid were mixed into chitosan EC as both antioxidants and colour fixatives. Cinnamon oil was incorporated into chitosan EC at different concentrations (0.2%, 0.4%, and 0.6% v/v). Homogenisation of the final solutions was achieved at 12,500 rpm for three minutes using an Ultra Turrax T25 mixer (IKA® WERKE, Staufen, Germany).

2.5. Processing and Packaging of Fresh-Cut Potatoes

The surface of fresh potatoes was sterilised with 75% (v/v) alcohol after washing. The sample was air-dried inside a biosafety cabinet for 10 min at 25 °C. Potato cubes (1 cm3) were prepared using a sterile knife. Samples were soaked in chitosan solution for two minutes. Samples coated with chitosan EC or chitosan EC containing cinnamon oil of 0.2%, 0.4%, and 0.6% were subsequently assessed. Uncoated potatoes were evaluated as a control. For 16 days at 4 °C, the fresh-cut potatoes were packaged on polystyrene trays (255 mL) wrapped in PVC films.

2.6. Determination of Potato Colour, Weight Loss, and Firmness

2.6.1. Colour

The colour parameters of potato cubes, including L* (lightness), a* (+a* = redness, −a* = greenness), and b* (+b* = yellowness, −b* = blueness), were detected using a CR400/CR410 colorimeter (Minolta, Tokyo, Japan) [38]. The experiments were conducted in triplicate.

2.6.2. Weight Loss

Potato cubes were placed on polystyrene trays and weighed using a digital balance (PL-2002, METTLER TOLEDO, Greifensee, Switzerland) during storage [39]. The weight loss rate equation is given by Equation (1):
Weight loss rate (%) = [(m1 − m2)/m1] × 100
where m1 is the initial weight (g), and m2 is the weight at the specified time point (g).

2.6.3. Firmness

The firmness of potato cubes was measured using a TA.XT texture analyser (Stable Micro Systems Ltd., Godalming, UK). We measured the firmness of the cube based on the force (N) exerted on the slices in triplicates using the compression probe P5 (5 mm diameter), at a speed of 1.0 mm s−1, and a penetration distance of 8 mm [40]. Each sample was duplicated three times.

2.7. Naturally Occurring Microorganisms

Each sample treated with chitosan EC containing cinnamon oil underwent microbiological analysis after 0, 4, 8, 12, and 16 days of storage. For the analysis, potato cubes were disrupted in a sterile blender containing 90 mL of 0.1% peptone water.
Suspensions of 0.1 mL from the potato cubes were cultured and counted on plate count agar (PCA) for total plate counts at 37 °C for 48 h, on potato dextrose agar (PDA) at 28 °C for 48–96 h for yeast and mould counts, on violet-red bile dextrose agar (VRBDA) at 37 °C for 24 h for total coliform counts, and on Lactobacilli MRS agar at 37 °C for 48 h for Lactobacillus counts [41,42]. All culturing media were purchased from Qingdao Hopebio Giotechnology Co., Ltd. (Qingdao, China).

2.8. Inoculation and Analysis of Listeria monocytogenes

The potatoes were cut into cubes (approximately 10 g per cube) and uniformly inoculated in petri dishes. The entire top surface of the potato cubes was inoculated with suspensions of LM (8.84 log cfu/mL, 500 μL each cube) for a challenge study. In a biosafety cabinet, the samples were air-dried at 25 °C for 1 h. Then, the samples were coated with EC or EC containing cinnamon oil as previously described. The control group consisted of fresh-cut potatoes without a coating. Each potato cube was placed in a blender bag and stored at 4 °C for 16 days. A triplicate of each experiment was conducted, with samples being analysed every 4 days for 16 days. The population of LM inoculated into fresh-cut potatoes was counted on an Oxford agar base (Qingdao Hopebio Giotechnology Ltd. Company, Qingdao, China). All the plates were incubated at 37 °C for 24 h. The number of microorganisms is expressed as log cfu/g [43].

2.9. Statistical Analysis

All experiments were performed in triplicate, and the data are presented as mean ± standard deviation. SPSS software was used to analyse the data (Version 14.0; SPSS, Chicago, IL, USA). The significance of the differences between variables was tested using one-way ANOVA (between groups) and repeated-measures ANOVA (within group). The means were compared using Duncan’s multiple range test. The statistical significance was determined at p < 0.05.

3. Results and Discussion

3.1. Antimicrobial Assay of Essential Oils

The method of agar disc diffusion was used to evaluate the antibacterial activity of eighteen EOs against four pathogens. There were differences among these EOs in terms of their antibacterial properties (Table 1). The size of the inhibition zones of cinnamon, oregano, and pomelo oils ranged from 16.33 to 35.18 mm, representing the strongest antibacterial activity among the eighteen EOs. Cinnamon oil had the strongest inhibition effect on SA with an inhibition zone diameter of 30.47 mm. Oregano oil strongly inhibited SA and LM with an inhibition zone diameter of 31.31 mm for SA and 30.01 mm for LM. Pomelo oil demonstrated the highest antibacterial activity against ST, with an inhibition zone diameter of 35.18 mm. Some essential oils including clove, eucalyptus, sweet orange, and blumea oils exhibited moderate antibacterial activity against foodborne pathogens (inhibition zone is 12–20 mm). There was no antibacterial activity against foodborne pathogens from jasmine, sea buckthorn pulp, sweet osmanthus, and citrus oils. Other essential oils showed a low to strong antibacterial activity against four foodborne pathogens. Some reports have demonstrated that essential oils exhibited different antibacterial effects, and different foodborne pathogens have different resistance against essential oils [44]. The antibacterial effect of essential oils depends on the type and content of antibacterial components contained in essential oils [45]. Therefore, the individual components and concentrations of EOs play an important role in the aspect of antimicrobial activity. Some studies have demonstrated that the principal constituents of cinnamon, oregano, and pomelo oils are cinnamaldehyde, thymol, and limonene, respectively [46,47,48]. Cinnamaldehyde and thymol usually have a broad spectrum of antibacterial activity, and they have a significant antibacterial effect on pathogenic bacteria such as Escherichia coli, Staphylococcus aureus, and Listeria monocytogenes [49,50]. The antimicrobial mechanism of the EOs including cinnamon, oregano, and pomelo oils is related to the disturbance of membrane permeability, which results in the release of cellular contents in the form of some inhibition enzymes such as ATPase, histidine decarboxylase, and amylase [51].

3.2. Determination of Minimal Inhibitory Concentration

Cinnamon, oregano, and pomelo oils were evaluated for their MIC against four pathogens (Table 2). The results show that the MIC of cinnamon oil was 0.313 μL/mL for LM, ST, SA, and EC O157:H7, which is the lowest MIC against the four pathogens of all other tested EOs. The MIC of oregano oil was 0.625 μL/mL against ST and 1.25 μL/mL against LM, SA, and EC O157:H7. The MIC of pomelo oil was 1.25 μL/mL against ST and 2.5 μL/mL against LM, SA, and EC O157:H7. In this study, cinnamon oil has a lower MIC for four foodborne pathogens compared with oregano and pomelo oils. As reported in other studies, cinnamon oil also exhibits strong antimicrobial properties [52]. Cinnamon oil among six essential oils (rosemary, cinnamon, ginger, pepper mint, sweet orange, and tahiti lemon oils) showed the lowest MIC values of 6.25%, 3.12%, and 3.12% (v/v) for Staphylococcus aureus, Escherichia coli, and Salmonella enterica, respectively [33]. Another research reported that cinnamon oil showed also the lowest MIC values for four fungal species, four yeasts species, and two bacteria species, thereby confirming its higher inhibitory activity compared with clove oils [53]. The mechanism of cinnamon oil inhibiting the microorganism is mainly through denaturing proteins in cell membranes, interfering with the activity of enzymes in cell walls [54]. In many studies, cinnamon oil as a bioactive component positively inhibited microbial growth in food matrices. It also indicated that cinnamon oil could be applied for inhibiting microorganism growth on food and ensuring safety [55]. However, high concentrations of essential oils produce more intense flavour due to their volatility, which might affect the acceptability of food (such as fruits and vegetables) for the consumer. Therefore, a cinnamon essential oil with the lowest MIC was chosen for evaluating further the preservation of fresh-cut potatoes in this study.

3.3. Effects of Cinnamon Oil on the Quality of Fresh-Cut Potatoes

3.3.1. Colour

Colour is a key determinant of consumer acceptability in fruit products. The L* in colour represents the brightness of fresh-cut potatoes. L* is one of the indicators of surface darkening caused by enzymatic browning or pigment gathered during storage [56]. The lower the L* value, the greater the browning. L* and b* showed a significant decrease, and a* showed a significant increase with the extension of storage time (Figure 2A–C) (p < 0.05). The L* of fresh-cut potatoes treated with chitosan-based EC was higher than that of control. The L* was higher for fresh-cut potatoes treated with chitosan-based EC containing 0.2% cinnamon oil than for the other groups, and the decline (7.70) in L* was the slowest during storage time. a* is the lower (0.99) and b* is the higher (16.25) on fresh-cut potatoes treated with chitosan-based EC containing 0.2% cinnamon oil compared with that in other groups. The L* of fresh-cut potatoes treated with the chitosan-based EC containing 0.4% and 0.6% cinnamon oil was reduced 23.5 and 25.4, respectively. The a* of fresh-cut potatoes in EC containing 0.4% and 0.6% cinnamon oil was increased 7.71 and 9.08, respectively. The b* of fresh-cut potatoes in EC containing 0.4% and 0.6% cinnamon oil was reduced 7.65 and 8.10, respectively. In addition, the appearance changes of fresh-cut potatoes were observed on the 16th day in this study (Figure 2D). The appearance of fresh-cut potatoes treated with chitosan-based EC, or chitosan-based EC containing 0.2% cinnamon oil, was better than other treatments. The obvious dark browning of fresh-cut potatoes was observed in potatoes treated with chitosan-based EC containing 0.4% and 0.6% cinnamon oil.
When potatoes are cut, the tissue cells are broken, and enzymes such as polyphenol oxidases (PPOs) are liberated and brought into contact with their substrates, causing browning [57]. The browning depends on the characteristics of the samples, amount of endogenous phenolic compound, oxygen condition, and activity of relevant enzymes [58]. The browning has a slight change from L* and appearance of fresh-cut potatoes coated with chitosan-based EC compared with the control. These results were in agreement with other studies in which chitosan coatings delayed browning in fresh-cut rose apple and litchi in comparison with noncoating [59]. The reason may be that chitosan-based EC prevents oxygen from reaching the surface of the potato and reduces browning [60]. However, the browning has caused a strong change from L* and appearance of fresh-cut potatoes treated with chitosan-based EC containing high concentration of cinnamon oil (0.4% and 0.6%). One study demonstrated that a high concentration of cinnamon oil damages the tissue structure of fresh-cut potatoes and causes serious browning [61]. The reason was may be that the high concentration of cinnamon oil accelerated the browning of fresh-cut potatoes. PPO oxidises phenolics in the presence of oxygen on the cut surface of potatoes, producing quinones, which autopolymerise to form brown-coloured pigments [62]. The other reason was that a high concentration of cinnamon oil might produce phytotoxic effect for fresh-cut potatoes. Several studies reported similar results; the phytotoxic effects of EOs might affect fresh-cut lettuce and fresh-cut apples [36,63]. Therefore, the chitosan-based EC containing lower doses of cinnamon oil would be recommended for maintaining the colour of fresh-cut potatoes.

3.3.2. Weight Loss

Weight loss is an important indicator for evaluating the quality of fresh-cut fruits and vegetables during storage times. The weight loss was evaluated in fresh-cut potatoes treated with chitosan-based EC and chitosan-based EC containing different concentration of cinnamon oil during storage time (Figure 3). The weight loss of fresh-cut potatoes significantly increased during storage times (p < 0.05). There is no significant difference in weight loss of fresh-cut potatoes among chitosan-based EC, chitosan-based EC containing 0.2% and 0.4% cinnamon oil, and control (p > 0.05). However, the weight loss of the fresh-cut potatoes treated with the chitosan-based EC containing 0.6% cinnamon oil was significantly higher than that in other groups (p < 0.05). Results also indicate that the concentration of cinnamon oil affected the weight loss. Fresh-cut potatoes treated with a low concentration of cinnamon oil incorporated into chitosan-based EC lost less water than samples treated with that EC with 0.6% cinnamon oil. The weight loss of the fresh-cut potatoes treated with chitosan-based EC containing 0.6% cinnamon rapidly increased after 4 days of storage, possibly due to the fact that the high concentration of EOs can cause potential toxicity of fresh-cut potatoes and accelerate the decay of samples [64].

3.3.3. Firmness

Fruit firmness is closely related to the cell composition and cell-wall structure. Fruit softening is a consequence of the disassembly of the middle lamella and primary cell-wall structures [65]. Fruit softening is a process of starch hydrolysis to sugar and pectin degradation. It is an important factor in the quality of fresh-cut fruits and vegetables and their acceptability to consumers. The firmness of fresh-cut potatoes showed a significant decrease in different treatment groups during storage times (p < 0.05) (Figure 4). The decline of firmness is 3.80 N in chitosan coating and 8.20 N in the control during storage time. The result demonstrates that chitosan-coating treatments mitigated the firmness decrease to a greater degree than the control. There is no significant difference in the firmness of fresh-cut potatoes treated with chitosan-based EC and chitosan-based EC containing 0.2% and 0.4% cinnamon oil at 16 days (p > 0.05). However, the firmness of fresh-cut potatoes in the group treated with the chitosan-based EC containing 0.6% cinnamon oil was reduced 10.20 N during storage time. In this study, the result agreed with other studies that reported that the application of chitosan-based coatings inhibited the fruit and vegetable softening process [66,67,68]. Cutting operation might cause the increase in pectinase activity in potatoes’ tissue. Under the action of pectinase, pectin in the cell wall is decomposed and tissue is softened. The coating treatments may allow firmness to be maintained by inhibiting water loss due to the activities of pectin-degrading enzymes and by reducing the rate of metabolic processes during senescence [69]. On the other hand, high concentrations of cinnamon oils damage the tissue of fresh-cut potatoes, causing them to be more susceptible to spoilage and fruit softening [64].

3.4. Microbiological Analysis

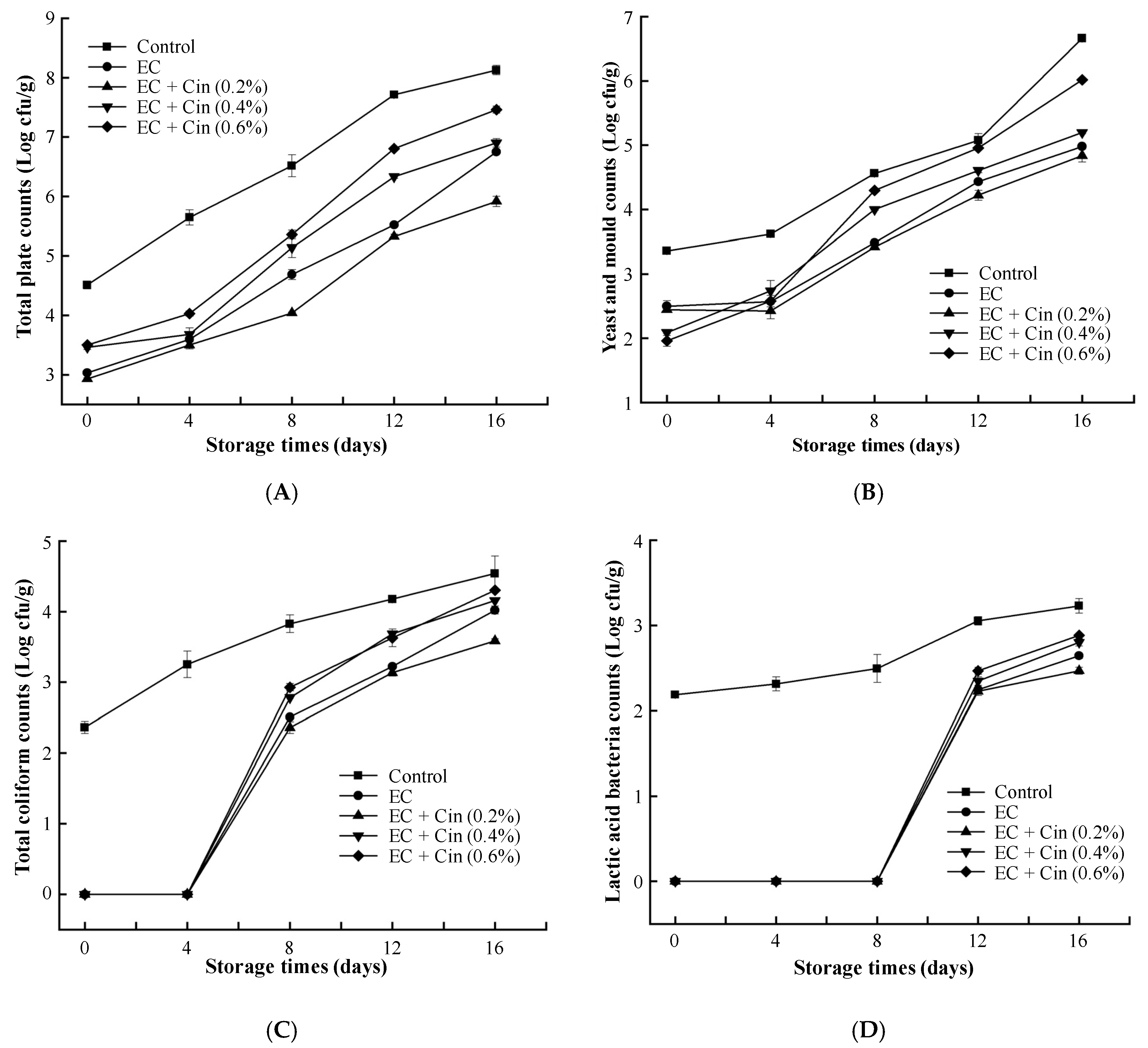
The population of naturally occurring microorganisms on fresh-cut potatoes treated with chitosan EC with or without cinnamon oil was evaluated (Figure 5). The population of total plate counts, yeast and mould counts, total coliform counts, and lactic acid bacteria counts on the fresh-cut potatoes considerably increased with the prolongation of storage time (p < 0.05); the increment is 3.57, 3.37, 2.14, and 1.07 log cfu/g, respectively. This may be because nutrients released from the fresh-cut potatoes after cutting provide suitable growth conditions for microorganisms. Some reports have also shown that pathogens and spoilage microorganisms can grow on fresh, frozen, dried, ready-to-serve, and minimally processed potato products [70,71]. The total plate counts, yeast and mould counts, total coliform counts, and lactic acid bacteria counts during storage time were significantly lower for fresh-cut potatoes treated with chitosan EC than those for fresh-cut potatoes in the control group (p < 0.05), the decrease is 1.44, 1.72, 0.57, and 0.56 log cfu/g, respectively. Some studies have also demonstrated that chitosan has antibacterial activity, and involving chitosan coatings reduced microbial growth on mangoes, papaya, and strawberry [72,73,74]. The mechanism of chitosan EC is mainly the leakage of electrolytes and intracellular protein constituents caused by interactions between chitosan with positive charge and the surface of bacterial cells with negative charge [75,76]. According to the total plate counts, yeast and mould counts, total coliform counts, and lactic acid bacteria counts, the populations were significantly lower in chitosan-based EC containing 0.2% cinnamon oil among the different treatment groups at 16 days (p < 0.05), the decrease is 2.14, 1.92, 0.98, and 0.73 log cfu/g, respectively. The population of the decrement of naturally occurring microorganisms on chitosan-based EC containing 0.2% cinnamon oil is more than that on chitosan-based EC. It demonstrated that the combination of chitosan EC and cinnamon oil exhibited a synergetic antibacterial effect against naturally occurring microorganisms. Other studies reported that chitosan coating incorporating several common essential oils can enhance antimicrobial activity. It also showed that the compatibility of cinnamon oil with chitosan in film formation was better than that of other essential oils with chitosan [37]. However, the populations showed a gradual increase with the increase in cinnamon oil concentration (0.4% and 0.6%). It might be that cinnamon oil at a higher concentration of 0.4% and 0.6% damages the cell structure of fresh-cut potatoes. The pulp of fruits and vegetables provides rich nutrient content for microorganism growth [77]. Therefore, microorganisms can easily grow on fresh-cut potatoes treated with chitosan-based EC containing 0.4% and 0.6% cinnamon oil during storage. Interestingly, no coliform nor lactic acid bacteria were observed on the fresh-cut potatoes treated with chitosan-based EC containing cinnamon oil for 4 or 8 days. However, the populations of coliform and lactic acid bacteria on the fresh-cut potatoes in the control group significantly increased after 4 and 8 days. This demonstrates that chitosan-based EC and chitosan-based EC containing cinnamon oil had antibacterial activity against coliform and lactic acid bacteria and inhibited their growth on fresh-cut potatoes. Moreover, according to the standard of the Institute of Food Science and Technology (IFST), 6 log cfu/g of natural microorganisms is considered the limit of acceptance for the shelf life of a fruit product [78]. This is the reason why toxic substances may be produced when microbiological counts exceed 6.0 log cfu/g [79]. In this study, the population of total plate counts on fresh-cut potatoes is less than 6.0 log cfu/g in chitosan EC containing cinnamon oil during 16 days. Therefore, the acceptance of fresh-cut potatoes treated with chitosan EC containing 0.2% cinnamon oil was extended to 16 days.

3.5. Listeria monocytogenes Analysis

The growth of L. monocytogenes on the fresh-cut potatoes treated with chitosan EC and chitosan EC containing cinnamon oil was evaluated (Figure 6). The number of L. monocytogenes on the fresh-cut potatoes treated with chitosan-based EC and containing cinnamon oil was reduced approximately 1 log cfu/g compared with that on the control at the initial day. That reason is that L. monocytogenes inoculated on the surface of fresh-cut potatoes may have been removed after soaking with the chitosan-based EC treatment [80]. L. monocytogenes was reduced 2.17 log cfu/g on fresh-cut potatoes treated with chitosan-based EC at 16 days (p < 0.5). It indicated that chitosan EC exhibits antimicrobial activity against L. monocytogenes. This result is in agreement with those of other research studies in which the chitosan-based film reduced 2 log cfu and 1.3 log cfu against E. coli and L. monocytogenes, respectively [81]. L. monocytogenes was reduced at 1.94, 2.44, and 2.92 log cfu/g in chitosan-based EC containing 0.2, 0.4, and 0.6% cinnamon oil, respectively, compared with that in the control group during storage time (p < 0.05). In this study, higher antibacterial activity was shown in EC-added cinnamon oil (the decrease is 2.92 log cfu/g) than only EC (the decrease is 2.17 log cfu/g) against L. monocytogenes. Therefore, the combination of EC and essential oils shows a synergistic effect of antibacterial activity against L. monocytogenes. The volatile component of cinnamon oil may have strong antibacterial activity. The cinnamon oil destroyed membrane phospholipids and permeability of cell membranes, eventually causing the cytoplasm to leak and the cell to die [54]. The cinnamaldehyde in cinnamon oil is an aromatic aldehyde that can reduce the survival of foodborne pathogens through the inhibition of amino acid decarboxylase activity [82]. Some studies reported that cinnamon incorporated into polymer-based films (fish gelatin films, chitosan gelatin blend films, polymer film) has enhanced the antimicrobial effect of the film [83,84,85].

4. Conclusions

We demonstrated that the use of chitosan EC containing cinnamon oil maintained the quality, reduced the deterioration, and thus extended the shelf life of fresh-cut potatoes. Chitosan EC containing 0.2% cinnamon oil reduced the degree of browning and delayed the weight loss and softening of the fresh-cut potatoes. Moreover, the addition of cinnamon oil increased the antibacterial activity of chitosan EC against naturally occurring microorganisms and LM.
Accordingly, the effective antibacterial activity of chitosan EC incorporated with cinnamon oil indicates its potential and extended application in fresh-cut fruits and vegetables preservation. It can further be applied to other types of fresh-cut fruits and vegetables, owing to the characteristics of cinnamon oil as a GRAS compound and being easily obtainable. Higher concentrations of cinnamon oil can inhibit a wide range of microorganisms. However, the EO components may impact on the quality such as colour, firmness, taste, and odour of the coated fruit. Therefore, chitosan EC incorporated with lower concentrations of cinnamon oil may be the optimum formula for maintaining the quality of fresh-cut potatoes. It also provides a strategy for designing new preservation agents and achieving the ultimate goal of commercialization of food products.

Author Contributions

Conceptualization, K.F. and W.H.; methodology, S. and K.F.; software, S. and K.F.; validation, W.H.; investigation, Y.L.; resources, W.H.; data curation, L.W. and C.Y.; writing—original draft preparation, S.; writing—review and editing, W.H. and K.F.; supervision, W.H.; project administration, K.F. and W.H.; funding acquisition, S. All authors have read and agreed to the published version of the manuscript.

Funding

This study was supported by Zhuhai College of Science and Technology Innovation Capability Cultivation Project (Grant No. 2020XJCQ018), Doctor Promotion Program of Zhuhai College of Science and Technology, and Young Innovative Talents Project of “Innovation and Improving School Project” of Education Department of Guangdong Province (Grant No. 2019KQNCX197).

Institutional Review Board Statement

Not applicable.

Informed Consent Statement

Not applicable.

Data Availability Statement

The data used to support the findings of this study are available from the corresponding author upon request.

Conflicts of Interest

The authors declare no conflict of interest.

References

  1. Li, Y.; Zhao, D. Transcriptome analysis of scions grafted to potato rootstock for improving late blight resistance. BMC Plant Biol. 2021, 21, 272. [Google Scholar] [CrossRef]
  2. Dogbe, W.; Revoredo-Giha, C. Nutritional implications of trade-offs between fresh and processed potato products in the United Kingdom (UK). Front. Nutr. 2021, 7, 614176. [Google Scholar] [CrossRef] [PubMed]
  3. Zheng, Z.Q.; Zhao, H.B.; Liu, Z.D.; He, J.; Liu, W.Z. Research progress and development of mechanized potato planters: A review. Agriculture 2021, 11, 521. [Google Scholar] [CrossRef]
  4. Vithu, P.; Sanjaya, K.D.; Kalpana, R. Post-harvest processing and utilization of sweet potato: A review. Food Rev. Int. 2019, 35, 726–762. [Google Scholar]
  5. Van Haute, S.; Sampers, I.; Holvoet, K.; Uyttendaele, M. Physicochemical quality and chemical safety of chlorine as a reconditioning agent and wash water disinfectant for fresh-cut lettuce washing. Appl. Environ. Microbiol. 2013, 79, 2850–2861. [Google Scholar] [CrossRef] [PubMed]
  6. Batool, T.; Ali, S.; Seleiman, M.F.; Naveed, N.H.; Ali, A.; Ahmed, K.; Abid, M.; Rizwan, M.; Shahid, M.R.; Alotaibi, M.; et al. Plant growth promoting rhizobacteria alleviates drought stress in potato in response to suppressive oxidative stress and antioxidant enzymes activities. Sci. Rep. 2020, 10, 16975. [Google Scholar] [CrossRef] [PubMed]
  7. Ciccone, M.; Chambers, D.; Iv, E.C.; Talavera, M. Determining which cooking method provides the best sensory differentiation of potatoes. Foods 2020, 9, 451. [Google Scholar] [CrossRef] [PubMed]
  8. Kang, W.; Robitaille, M.C.; Merrill, M.; Teferra, K.; Kim, C.; Raphael, M.P. Mechanisms of cell damage due to mechanical impact: An in vitro investigation. Sci. Rep. 2020, 10, 12009. [Google Scholar] [CrossRef] [PubMed]
  9. Agriopoulou, S.; Stamatelopoulou, E.; Sachadyn-Król, M.; Varzakas, T. Lactic acid bacteria as antibacterial agents to extend the shelf life of fresh and minimally processed fruits and vegetables: Quality and safety aspects. Microorganisms 2020, 8, 952. [Google Scholar] [CrossRef] [PubMed]
  10. Blancas-Benitez, F.J.; Montaño-Leyva, B.; Aguirre-Güitrón, L.; Moreno-Hernández, C.L.; Fonseca-Cantabrana, Á.; Romero-Islas, L.; González-Estrada, R. Impact of edible coatings on quality of fruits: A review. Food Control 2022, 139, 109063. [Google Scholar] [CrossRef]
  11. Valencia-Chamorro, S.A.; Palou, L.; Del Río, M.A.; Pérez-Gago, M.B. Antimicrobial edible films and coatings for fresh and minimally processed fruits and vegetables: A review. Crit. Rev. Food Sci. 2011, 51, 872–900. [Google Scholar] [CrossRef] [PubMed]
  12. Chen, G.; Zhang, B.; Zhao, J. Dispersion process and effect of oleic acid on properties of cellulose sulfate-oleic acid composite film. Materials 2015, 8, 2346–2360. [Google Scholar] [CrossRef]
  13. Petriccione, M.; Mastrobuoni, F.; Pasquariello, M.S.; Zampella, L.; Nobis, E.; Capriolo, G.; Scortichini, M. Effect of chitosan coating on the postharvest quality and antioxidant enzyme system response of strawberry fruit during cold storage. Foods 2015, 4, 501–523. [Google Scholar] [CrossRef] [PubMed]
  14. Duan, C.; Meng, X.; Meng, J.; Khan, M.I.H.; Dai, L.; Khan, A.; An, X.; Zhang, J.; Huq, T.; Ni, Y. Chitosan as a preservative for fruits and vegetables: A review on chemistry and antimicrobial properties. J. Bioresour. Bioprod. 2019, 4, 11–21. [Google Scholar] [CrossRef]
  15. Oyom, W.; Zhang, Z.; Bi, Y.; Tahergorabi, R. Application of starch-based coatings incorporated with antimicrobial agents for preservation of fruits and vegetables: A review. Prog. Org. Coat. 2022, 166, 106800. [Google Scholar] [CrossRef]
  16. Kumar, P.; Sethi, S.; Sharma, R.R.; Singh, S.; Varghese, E. Improving the shelf life of fresh-cut ‘Royal Delicious’ apple with edible coatings and anti-browning agents. J. Food Sci. Technol. 2018, 55, 3767–3778. [Google Scholar] [CrossRef] [PubMed]
  17. Tharanathan, R.N.; Kittur, F.S. Chitin—The undisputed biomolecule of great potential. Crit. Rev. Food Sci. Nutr. 2003, 43, 61–87. [Google Scholar] [CrossRef]
  18. Tokatlı, K.; Demirdöven, A. Effects of chitosan edible film coatings on the physicochemical and microbiological qualities of sweet cherry (Prunus avium L.). Sci. Hortic. 2020, 259, 108656. [Google Scholar] [CrossRef]
  19. Jeon, Y.I.; Kamil, J.Y.V.A.; Shahidi, F. Chitosan as an edible invisible film for quality preservation of herring and Atlantic cod. J. Agric. Food Chem. 2002, 20, 5167–5178. [Google Scholar] [CrossRef] [PubMed]
  20. Daglia, M. Polyphenols as antimicrobial agents. Curr. Opin. Biotechnol. 2012, 23, 174–181. [Google Scholar] [CrossRef] [PubMed]
  21. Zhang, Y.; Ma, Q.; Critzer, F.; Davidson, P.M.; Zhong, Q. Organic thyme oil emulsion as an alternative washing solution to enhance the microbial safety of organic cantaloupes. Food Control 2016, 67, 31–38. [Google Scholar] [CrossRef]
  22. Liu, Y.; Liang, X.; Zhang, R.; Lan, W.; Qin, W. Fabrication of electrospun polylactic acid/cinnamaldehyde/β-cyclodextrin fibers as an antimicrobial wound dressing. Polymers 2017, 9, 464. [Google Scholar] [CrossRef]
  23. Kawatra, P.; Rajagopalan, R. Cinnamon: Mystic powers of a minute ingredient. Pharmacogn. Res. 2015, 7, S1–S6. [Google Scholar] [CrossRef] [PubMed]
  24. Kosari, F.; Taheri, M.; Moradi, A.; Alni, R.H.; Alikhani, M.Y. Evaluation of cinnamon extract effects on clbB gene expression and biofilm formation in Escherichia coli strains isolated from colon cancer patients. BMC Cancer 2020, 20, 267. [Google Scholar] [CrossRef]
  25. Vasconcelos, N.G.; Croda, J.; Simionatto, S. Antibacterial mechanisms of cinnamon and its constituents: A review. Microb. Pathog. 2018, 120, 198–203. [Google Scholar] [CrossRef] [PubMed]
  26. Rojas-Graü, M.A.; Raybaudi-Massilia, R.M.; Soliva-Fortuny, R.C.; AvenaBustillos, R.J.; McHugh, T.H.; Martní-Belloso, O. Apple puree-alginate edible coating as carrier of antimicrobial agents to prolong shelf-life of fresh-cut apples. Postharvest Biol. Technol. 2007, 45, 254–264. [Google Scholar] [CrossRef]
  27. Raybaudi-Massilia, R.M.; Mosqueda-Melgar, J.; Martín-Belloso, O. Edible alginate-based coating as carrier of antimicrobials to improve shelf-life and safety of fresh-cut melon. Int. J. Food Microbiol. 2008, 121, 313–327. [Google Scholar] [CrossRef]
  28. Azarakhsha, N.; Osmana, A.; Ghazalia, H.M.; Tan, C.P.; Adzahan, N.M. Lemongrass essential oil incorporated into alginate-based edible coating for shelf-life extension and quality retention of fresh-cut pineapple. Postharvest Biol. Technol. 2014, 88, 1–7. [Google Scholar] [CrossRef]
  29. Salvia-Trujillo, L.; Rojas-Graü, M.A.; Soliva-Fortuny, R.; Martín-Belloso, O. Use of antimicrobial nanoemulsions as edible coatings: Impact on safety and quality attributes of fresh-cut Fuji apples. Postharvest Biol. Technol. 2015, 105, 8–16. [Google Scholar] [CrossRef]
  30. Zhang, W.; Lin, M.; Feng, X.; Yao, Z.; Wang, T.; Xu, C. Effect of lemon essential oil-enriched coating on the postharvest storage quality of citrus fruits. Food Sci. Technol. 2022, 42, e125421. [Google Scholar] [CrossRef]
  31. Joshua, P.V.; Di, L.; Linda, J.H.; Donald, W.S.; Michelle, D.D. Fate of Escherichia coli O157:H7, Listeria monocytogenes, and Salmonella on fresh-cut celery. Food Microbiol. 2013, 34, 151–157. [Google Scholar]
  32. Shen, X.; Zhang, M.; Devahastin, S.; Guo, Z. Effects of pressurized argon and nitrogen treatments in combination with modified atmosphere on quality characteristics of fresh-cut potatoes. Postharvest Biol. Technol. 2019, 149, 159–165. [Google Scholar] [CrossRef]
  33. Ferreira, L.R.; Rosário, D.K.A.; Silva, P.I.; Carneiro, J.C.S.; Pimentel Filho, N.J.; Bernardes, P.C. Cinnamon essential oil reduces adhesion of food pathogens to polystyrene. Int. Food Res. J. 2019, 26, 1103–1110. [Google Scholar]
  34. Rota, M.C.; Herrera, A.; Martínez, R.M.; Sotomayor, J.A.; Jordán, M.J. Antimicrobial activity and chemical composition of Thymus vulgaris, Thymus zygis and Thymus hyemalis essential oils. Food Control 2008, 19, 681–687. [Google Scholar] [CrossRef]
  35. Somrani, M.; Inglés, M.C.; Debbabi, H.; Abidi, F.; Palop, A. Garlic, Onion, and Cinnamon Essential Oil Anti-biofilms’ Effect against Listeria monocytogenes. Foods 2020, 9, 567. [Google Scholar] [CrossRef] [PubMed]
  36. Sarengaowa; Hu, W.Z.; Jiang, A.L.; Xiu, Z.L.; Feng, K. Effect of thyme oil–alginate-based coating on quality and microbial safety of fresh-cut apples. J. Sci. Food Agric. 2018, 98, 2302–2311. [Google Scholar] [CrossRef] [PubMed]
  37. Wang, L.; Liu, F.; Jiang, Y.; Chai, Z.; Li, P.; Cheng, Y.; Jing, H.; Leng, X. Synergistic antimicrobial activities of natural essential oils with chitosan film. J. Agric. Food Chem. 2011, 59, 12411–12419. [Google Scholar] [CrossRef] [PubMed]
  38. Liu, P.; Xu, N.; Liu, R.; Liu, J.; Peng, Y.; Wang, Q. Exogenous proline treatment inhibiting enzymatic browning of fresh-cut potatoes during cold storage. Postharvest Biol. Technol. 2022, 184, 111754. [Google Scholar] [CrossRef]
  39. Zhao, S.; Han, X.; Liu, B.; Wang, S.; Guan, W.; Wu, Z.; Theodorakis, P.E. Shelf-life prediction model of fresh-cut potato at different storage temperatures. J. Food Eng. 2022, 317, 110867. [Google Scholar] [CrossRef]
  40. Ji, Y.; Hu, W.; Liao, J.; Jiang, A.; Xiu, Z.; Saren, G.; Guan, Y.; Yang, X.; Feng, K.; Liu, C. Effect of atmospheric cold plasma treatment on antioxidant activities and reactive oxygen species production in postharvest blueberries during storage. J. Sci. Food Agric. 2020, 100, 5586–5595. [Google Scholar] [CrossRef] [PubMed]
  41. Gómez, P.L.; Salvatori, D.M. Pulsed light treatment of cut apple: Dose effect on color, structure, and microbiological stability. Food Bioprocess Technol. 2012, 5, 2311–2322. [Google Scholar] [CrossRef]
  42. Siroli, L.; Patrignani, F.; Serrazanetti, D.I.; Tabanelli, G.; Montanari, C.; Gardini, F.; Lanciotti, R. Lactic acid bacteria and natural antimicrobials to improve the safety and shelf-life of minimally processed sliced apples and lamb’s lettuce. Food Microbiol. 2015, 47, 74–84. [Google Scholar] [CrossRef]
  43. Sarengaowa; Hu, W.; Feng, K.; Xiu, Z.; Jiang, A.; Lao, Y. Efficacy of thyme oil-alginate-based coating in reducing foodborne pathogens on fresh-cut apples. Int. J. Food Sci. Technol. 2019, 54, 3128–3137. [Google Scholar] [CrossRef]
  44. Antunes, M.D.C.; Cavaco, A.M. The use of essential oils for postharvest decay control: A review. Flavour Frag. J. 2010, 25, 351–366. [Google Scholar] [CrossRef]
  45. Yuan, Y.; Huang, M.; Pang, Y.X.; Yu, F.L.; Chen, C.; Liu, L.W.; Chen, Z.X.; Zhang, Y.B.; Chen, X.L.; Hu, X. Variations in essential oil yield, composition, and antioxidant activity of different plant organs from Blumea balsamifera (L.) DC. at different growth times. Molecules 2016, 21, 1024. [Google Scholar] [CrossRef] [PubMed]
  46. He, J.; Wu, D.; Zhang, Q.; Chen, H.; Li, H.; Han, Q.; Lai, X.; Wang, H.; Wu, Y.; Yuan, J.; et al. Efficacy and mechanism of cinnamon essential oil on inhibition of colletotrichum acutatum isolated from ‘hongyang’ kiwifruit. Front. Microbiol. 2018, 9, 1288. [Google Scholar] [CrossRef] [PubMed]
  47. Simirgiotis, M.J.; Burton, D.; Parra, F.; López, J.; Muñoz, P.; Escobar, H.; Parra, C. Antioxidant and antibacterial capacities of origanum vulgare L. essential oil from the arid andean region of Chile and its chemical characterization by GC-MS. Metabolites 2020, 10, 414. [Google Scholar] [CrossRef] [PubMed]
  48. He, W.; Li, X.; Peng, Y.; He, X.; Pan, S. Anti-oxidant and anti-melanogenic properties of essential oil from peel of Pomelo cv. Guan Xi. Molecules 2019, 24, 242. [Google Scholar] [CrossRef]
  49. Osaili, T.M.; Hasan, F.; Dhanasekaran, D.K.; Obaid, R.S.; Al-Nabulsi, A.A.; Ayyash, M.; Karam, L.; Savvaidis, I.N.; Holley, R. Effect of active essential oils added to chicken tawook on the behaviour of Listeria monocytogenes, Salmonella spp. and Escherichia coli O157:H7 during storage. Int. J. Food Microbiol. 2021, 337, 108947. [Google Scholar] [CrossRef] [PubMed]
  50. Kosakowska, O.; Węglarz, Z.; Pióro-Jabrucka, E.; Przybył, J.L.; Kraśniewsk, K.; Gniewosz, M.; Bączek, K. Antioxidant and antibacterial activity of essential oils and hydroethanolic extracts of Greek oregano (O. vulgare L. subsp. hirtum (link) ietswaart) and Common oregano (O. vulgare L. subsp. vulgare). Molecules 2021, 26, 988. [Google Scholar] [PubMed]
  51. Scollard, J.; McManamon, O.; Schmalenberger, A. Inhibition of Listeria monocytogenes growth on fresh-cut produce with thyme essential oil and essential oil compound verbenone. Postharvest Biol. Technol. 2016, 120, 61–68. [Google Scholar] [CrossRef]
  52. Zhang, Y.; Liu, X.; Wang, Y.; Jiang, P.; Quek, S.Y. Antibacterial activity and mechanism of cinnamon essential oil against Escherichia coli and Staphylococcus aureus. Food Control 2016, 59, 282–289. [Google Scholar] [CrossRef]
  53. Matan, N.; Rimkeeree, H.; Mawson, A.J.; Chompreeda, P.; Haruthaithanasan, V.; Parker, M. Antimicrobial activity of cinnamon and clove oils under modified atmosphere conditions. Int. J. Food Microbiol. 2006, 107, 180–185. [Google Scholar] [CrossRef] [PubMed]
  54. Burt, S. Essential oils: Their antibacterial properties and potential applications in foods—A review. Int. J. Food Microbiol. 2004, 94, 223–253. [Google Scholar] [CrossRef] [PubMed]
  55. Nabavi, S.F.; Di Lorenzo, A.; Izadi, M.; Sobarzo-Sánchez, E.; Daglia, M.; Nabavi, S.M. Antibacterial effects of cinnamon: From farm to food, cosmetic and pharmaceutical industries. Nutrients 2015, 7, 7729–7748. [Google Scholar] [CrossRef] [PubMed]
  56. Dovene, A.K.; Wang, L.; Bokhary, S.U.F.; Madebo, M.P.; Yonghua, Z.; Jin, P. Effect of cutting styles on quality and antioxidant activity of stored fresh-cut sweet potato (Ipomoea batatas L.) cultivars. Foods 2019, 8, 674. [Google Scholar] [CrossRef] [PubMed]
  57. Olivas, G.I.; Mattinson, D.S.; Barbosa-Cánovas, G.V. Alginate coatings for preservation of minimally processed ‘Gala’ apples. Postharvest Biol. Technol. 2007, 45, 89–96. [Google Scholar] [CrossRef]
  58. Ru, Z.H.; Lai, Y.Y.; Xu, C.J.; Li, L. Polyphenol oxidase (PPO) in early stage of browning of phalaenopsis leaf explants. J. Agric. Sci. 2013, 5, 57–64. [Google Scholar] [CrossRef]
  59. Zhang, D.; Quantick, P.C. Effects of chitosan coating on enzymatic browning and decay during postharvest storage of litchi (Litchi chinensis Sonn.) fruit. Postharvest Biol. Technol. 1997, 12, 195–202. [Google Scholar] [CrossRef]
  60. Sahraee, S.; Milani, J.M.; Regenstein, J.M.; Kafil, H.S. Protection of foods against oxidative deterioration using edible films and coatings: A review. Food Biosci. 2019, 32, 100451. [Google Scholar] [CrossRef]
  61. Nea, F.; Kambiré, D.A.; Genva, M.; Tanoh, E.A.; Wognin, E.L.; Martin, H.; Brostaux, Y.; Tomi, F.; Lognay, G.C.; Tonzibo, Z.F.; et al. Composition, seasonal variation, and biological activities of Lantana camara essential oils from Côte d’Ivoire. Molecules 2020, 25, 2400. [Google Scholar] [CrossRef] [PubMed]
  62. Massolo, J.F.; Concellón, A.; Chaves, A.R.; Vicente, A.R. 1-methylcyclopropene (1-MCP) delays senescence, maintains quality and reduces browning of non-climacteric eggplant (Solanum melongena L.) fruit. Postharvest Biol. Technol. 2011, 59, 10–15. [Google Scholar] [CrossRef]
  63. Scollard, J.; Francis, G.A.; O’Beirne, D. Some conventional and latent antilisterial effects of essential oils, herbs: Carrot and cabbage in fresh-cut vegetable systems. Postharvest Biol. Technol. 2013, 77, 87–93. [Google Scholar] [CrossRef]
  64. Sánchez-González, L.; Vargas, M.; González-Martínez, C.; Chiralt, A.; Cháfer, M. Use of essential oils in bioactive edible coatings: A review. Food Eng. Rev. 2011, 3, 1–16. [Google Scholar] [CrossRef]
  65. Jackmen, R.L.; Stanley, D.W. Perspectives in the textural evaluation of plant foods. Trends Food Sci. Technol. 1995, 6, 187–194. [Google Scholar] [CrossRef]
  66. Zhang, L.; Chen, F.; Lai, S.; Wang, H.; Yang, H. Impact of soybean protein isolate-chitosan edible coating on the softening of apricot fruit during storage. LWT-Food Sci. Technol. 2018, 96, 604–611. [Google Scholar] [CrossRef]
  67. Eshghi, S.; Hashemi, M.; Mohammadi, A.; Badii, F.; Mohammadhoseini, Z.; Ahmadi, K. Effect of nanochitosan-based coating with and without copper loaded on physicochemical and bioactive components of fresh strawberry fruit (Fragaria x ananassa Duchesne) during storage. Food Bioprocess Technol. 2014, 7, 2397–2409. [Google Scholar] [CrossRef]
  68. Gardesh, A.S.K.; Badii, F.; Hashemi, M.; Ardakani, A.Y.; Maftoonazad, N.; Gorji, A.M. Effect of nanochitosan based coating on climacteric behavior and postharvest shelf-life extension of apple cv Golab Kohanz. LWT-Food Sci. Technol. 2016, 70, 33–40. [Google Scholar] [CrossRef]
  69. Zhou, R.; Mo, Y.; Li, Y.; Zhao, Y.; Zhang, G.; Hu, Y. Quality and internal characteristics of Huanghua peers (Pyrus pyrifolia Nakai, cv. Huanghua) treated with different kinds of coatings during storage. Postharvest Biol. Technol. 2008, 49, 171–179. [Google Scholar]
  70. Tamminga, S.K.; Beumer, R.R.; Keijbets, M.J.H.; Kampelmacher, E.M. Microbial spoilage and development of food poisoning bacteria in peeled, completely or partly cooked vacuum- packed potatoes. Arch. Lemensmittelhyg 1978, 29, 215–219. [Google Scholar]
  71. Doan, C.H.; Davidson, P.M. Microbiology of potatoes and potato products: A review. J. Food Prot. 2000, 63, 668–683. [Google Scholar] [CrossRef]
  72. Chien, P.; Sheu, F.; Yang, F. Effects of edible chitosan coating on quality and shelf life of sliced mango fruit. J. Food Eng. 2007, 78, 225–229. [Google Scholar] [CrossRef]
  73. Gonzalez-Aguilar, G.A.; Valenzuela-Soto, E.; Lizardi-Mendoza, J.; Goycoole, F.; Martinez-Tellez, M.A.; Villegas-Ochoa, M.A.; Monroy-Garcia, I.N.; Ayala-Zavala, J.F. Effect of chitosan coating in preventing deterioration and preserving the quality of fresh-cut papaya ‘Maradol’. J. Sci. Food Agric. 2009, 89, 15–23. [Google Scholar] [CrossRef]
  74. Hernandez-Munoz, P.; Almenar, E.; Ocio, M.J.; Gavara, R. Effect of calcium dips and chitosan coatings on postharvest life of strawberries (Fragaria x ananassa). Postharvest Biol. Technol. 2006, 39, 247–253. [Google Scholar] [CrossRef]
  75. Devlieghere, F.; Vermeulen, A.; Debevere, J. Chitosan: Antimicrobial activity, interactions with food components and applicability as a coating on fruit and vegetables. Food Microbiol. 2004, 21, 703–714. [Google Scholar] [CrossRef]
  76. Jung, E.J.; Youn, D.K.; Lee, S.H.; No, H.K.; Ha, J.G.; Prinyawiwatkul, W. Antibacterial activity of chitosans with different degrees of deacetylation and viscosities. Int. J. Food Sci. Technol. 2010, 45, 676–682. [Google Scholar] [CrossRef]
  77. Feng, K.; Hu, W.Z.; Jiang, A.L.; Sarengaowa; Xu, Y.P.; Ji, Y.R.; Shao, W.J. Growth of Salmonella spp. and Escherichia coli O157:H7 on fresh-cut fruits stored at different temperatures. Foodborne Pathog. Dis. 2017, 14, 510–517. [Google Scholar] [CrossRef] [PubMed]
  78. IFST. Development and Use of Microbiological Criteria for Foods; Institute of Food Science and Technology: London, UK, 1999; 76p. [Google Scholar]
  79. Wu, Z.S.; Zhang, M.; Wang, S. Effects of high pressure argon treatments on the quality of fresh-cut apples at cold storage. Food Control 2012, 23, 120–127. [Google Scholar] [CrossRef]
  80. Zhang, C.L.; Cao, W.; Hung, Y.C.; Li, B.M. Application of electrolyzed oxidizing water in production of radish sprouts to reduce natural microbiota. Food Control 2016, 67, 177–182. [Google Scholar] [CrossRef]
  81. Roy, S.; Rhim, J. Fabrication of bioactive binary composite film based on gelatin/chitosan incorporated with cinnamon essential oil and rutin. Colloids Surf. B 2021, 204, 111830. [Google Scholar] [CrossRef]
  82. Wendakoon, C.N.; Sakaguchi, M. Inhibition of amino acid decarboxylase activity of Enterobacter aerogenes by active components of spices. J. Food Prot. 1995, 58, 280–283. [Google Scholar] [CrossRef]
  83. Wu, J.; Sun, X.; Guo, X.; Ge, S.; Zhang, Q. Physicochemical properties, antimicrobial activity and oil release of fish gelatin films incorporated with cinnamon essential oil. Aquac. Fish. 2017, 2, 185–192. [Google Scholar] [CrossRef]
  84. Haghighi, H.; Biard, S.; Bigi, F.; De Leo, R.; Bedin, E.; Pfeifer, F.; Siesler, H.W.; Licciardello, F.; Pulvirenti, A. Comprehensive characterization of active chitosan gelatin blend films enriched with different essential oils. Food Hydrocoll. 2019, 95, 33–42. [Google Scholar] [CrossRef]
  85. Sharma, S.; Barkauskaite, S.; Jaiswal, S.; Duffy, B.; Jaiswal, A.K. Development of essential oil incorporated active film based on biodegradable blends of poly (lactide)/poly (butylene adipate-co-terephthalate) for food packaging application. J. Packag. Technol. Res. 2020, 4, 235–245. [Google Scholar] [CrossRef]
Figure 1. Diagram of experimental method.
Figure 1. Diagram of experimental method.
Coatings 12 01492 g001
Figure 2. Changes in colour of fresh-cut potatoes coated with chitosan-based EC containing cinnamon oil. (A) L*; (B) a*; (C) b*; (D) appearance on the 16th day. Control: uncoated; EC: edible coating; Cin: cinnamon oil. Bars represent means ± SD (n = 3, p < 0.05).
Figure 2. Changes in colour of fresh-cut potatoes coated with chitosan-based EC containing cinnamon oil. (A) L*; (B) a*; (C) b*; (D) appearance on the 16th day. Control: uncoated; EC: edible coating; Cin: cinnamon oil. Bars represent means ± SD (n = 3, p < 0.05).
Coatings 12 01492 g002
Figure 3. Changes in weight loss of fresh-cut potatoes coated with chitosan-based EC containing cinnamon oil. Control: uncoated; EC: edible coating; Cin: cinnamon oil. Bars represent means ± SD (n = 3, p < 0.05).
Figure 3. Changes in weight loss of fresh-cut potatoes coated with chitosan-based EC containing cinnamon oil. Control: uncoated; EC: edible coating; Cin: cinnamon oil. Bars represent means ± SD (n = 3, p < 0.05).
Coatings 12 01492 g003
Figure 4. Changes in firmness of fresh-cut potatoes coated with chitosan-based EC containing cinnamon oil. Control: uncoated; EC: edible coating; Cin: cinnamon oil. Bars represent means ± SD (n = 3, p < 0.05).
Figure 4. Changes in firmness of fresh-cut potatoes coated with chitosan-based EC containing cinnamon oil. Control: uncoated; EC: edible coating; Cin: cinnamon oil. Bars represent means ± SD (n = 3, p < 0.05).
Coatings 12 01492 g004
Figure 5. Population of naturally occurring microorganisms on fresh-cut potatoes coated with chitosan-based EC containing cinnamon oil. (A) Total plate counts; (B) yeast and mould counts; (C) total coliform counts; (D) lactic acid bacteria counts. Control: uncoated; EC: edible coating; Cin: cinnamon oil. Bars represent means ± SD (n = 3, p < 0.05).
Figure 5. Population of naturally occurring microorganisms on fresh-cut potatoes coated with chitosan-based EC containing cinnamon oil. (A) Total plate counts; (B) yeast and mould counts; (C) total coliform counts; (D) lactic acid bacteria counts. Control: uncoated; EC: edible coating; Cin: cinnamon oil. Bars represent means ± SD (n = 3, p < 0.05).
Coatings 12 01492 g005
Figure 6. Reduction in Listeria monocytogenes on fresh-cut potatoes coated with chitosan-based EC containing cinnamon oil. Control: uncoated; EC: edible coating; Cin: cinnamon oil. Bars represent means ± SD (n = 3, p < 0.05).
Figure 6. Reduction in Listeria monocytogenes on fresh-cut potatoes coated with chitosan-based EC containing cinnamon oil. Control: uncoated; EC: edible coating; Cin: cinnamon oil. Bars represent means ± SD (n = 3, p < 0.05).
Coatings 12 01492 g006
Table 1. Diameter (mm) of inhibition zones of essential oils against the four pathogenic strains.
Table 1. Diameter (mm) of inhibition zones of essential oils against the four pathogenic strains.
Essential OilLatin NameStrains Tested (mm)
SASTLMEC O157:H7
CinnamonCinnamomum cassia30.47 ± 0.14 b26.07 ± 0.63 bc26.8 ± 0.18 b16.33 ± 0.19 f
OreganoOriganum vulgare31.31 ± 0.23 a26.87 ± 0.53 b30.01 ± 0.25 a22.01 ± 0.91 b
CloveEugenia caryophyllus14.76 ± 0.01 f15.98 ± 0.51 h13.99 ± 0.62 e12.43 ± 0.94 g
Tea treeMelaleuca alternifolia10.75 ± 0.47 h18.65 ± 0.93 f12.74 ± 0.04 f20.89 ± 0.26 c
PomeloCitrus maxima (Burm.) Merr. 21.75 ± 0.30 c35.18 ± 0.01 a30.05 ± 0.85 a27.01 ± 0.99 a
JasmineJasminum sambac (L.) Ait. ----
EucalyptusEucalyptus globulus17.84 ± 0.95 e19.86 ± 0.10 e12.45 ± 0.37 g16.33 ± 0.55 f
RosemaryRosmarinus officinalis9.49 ± 0.99 i10.75 ± 0.51 j7.75 ± 0.76 h12.11 ± 0.75 g
Sweet orangeCitrus sinensis (Linn.) Osbeck 11.99 ± 0.29 g17.67 ± 0.51 g17.65 ± 0.93 d17.49 ± 0.48 d
Sea buckthorn pulpHippophae rhamnoides L.----
Sweet osmanthusOsmanthus fragrans (Thunb.) Lour. ----
LavenderLavandula angustifolia8.65 ± 0.54 j25.06 ± 0.83 d--
PetitgrainCiturs sinensis L. Osbeck 7.78 ± 0.52 k7.83 ± 0.59 l--
GrapefruitCitrus paradisi Macf. 8.91 ± 0.45 j14.19 ± 0.91 i8.13 ± 0.98 g8.29 ± 0.01 hi
RoseRosa rugosa Thunb.17.35 ± 0.89 e17.7 ± 0.002 g12.09 ± 0.87 fg8.85 ± 0.05 h
CitrusCitrus reticulata Blanco ----
BlumeaBlumea balsamifera18.11 ± 0.21 d17.97 ± 0.04 g20.36 ± 0.17 c16.66 ± 0.59 e
ValerianValeriana officinalis10.64 ± 0.84 h9.96 ± 0.46 k12.41 ± 0.04 f7.88 ± 0.82 i
Data are means of diameters of inhibition zones ± standard deviation. Values in the same column not followed by the same lowercase letter are significantly different (p < 0.05). LM, Listeria monocytogenes; ST, Salmonella typhimurium; SA, Staphylococcus aureus; EC O157:H7, Escherichia coli O157:H7. -, no inhibition zones.
Table 2. Minimal inhibitory concentrations (MIC) of cinnamon, oregano, and pomelo peel oils.
Table 2. Minimal inhibitory concentrations (MIC) of cinnamon, oregano, and pomelo peel oils.
Essential OilStrains TestedConcentrations of Essential Oils (μL/mL)MIC
1052.51.250.6250.3130.1560.0780.0390.020
Cinnamon oilLM------+++++0.313
ST------+++++0.313
SA------+++++0.313
EC O157:H7-----++++++0.313
Oregano oilLM----+++++++++++1.25
ST-----++++++++0.625
SA----++++++++++1.25
EC O157:H7----+++++++++++1.25
Pomelo peel oilLM---++++++++++2.5
ST--- +++++++++1.25
SA---++++++++++2.5
EC O157:H7---++++++++++2.5
LM, Listeria monocytogenes; ST, Salmonella typhimurium; SA, Staphylococcus aureus; EC O157:H7, Escherichia coli O157:H7. -: no growth; +: minor growth; ++: major growth.
Publisher’s Note: MDPI stays neutral with regard to jurisdictional claims in published maps and institutional affiliations.

Share and Cite

MDPI and ACS Style

Sarengaowa; Wang, L.; Liu, Y.; Yang, C.; Feng, K.; Hu, W. Screening of Essential Oils and Effect of a Chitosan-Based Edible Coating Containing Cinnamon Oil on the Quality and Microbial Safety of Fresh-Cut Potatoes. Coatings 2022, 12, 1492. https://doi.org/10.3390/coatings12101492

AMA Style

Sarengaowa, Wang L, Liu Y, Yang C, Feng K, Hu W. Screening of Essential Oils and Effect of a Chitosan-Based Edible Coating Containing Cinnamon Oil on the Quality and Microbial Safety of Fresh-Cut Potatoes. Coatings. 2022; 12(10):1492. https://doi.org/10.3390/coatings12101492

Chicago/Turabian Style

Sarengaowa, Liying Wang, Yumeng Liu, Chunmiao Yang, Ke Feng, and Wenzhong Hu. 2022. "Screening of Essential Oils and Effect of a Chitosan-Based Edible Coating Containing Cinnamon Oil on the Quality and Microbial Safety of Fresh-Cut Potatoes" Coatings 12, no. 10: 1492. https://doi.org/10.3390/coatings12101492

APA Style

Sarengaowa, Wang, L., Liu, Y., Yang, C., Feng, K., & Hu, W. (2022). Screening of Essential Oils and Effect of a Chitosan-Based Edible Coating Containing Cinnamon Oil on the Quality and Microbial Safety of Fresh-Cut Potatoes. Coatings, 12(10), 1492. https://doi.org/10.3390/coatings12101492

Note that from the first issue of 2016, this journal uses article numbers instead of page numbers. See further details here.

Article Metrics

Back to TopTop