Abstract
The growing demand for fresh-cut products has led to an increasing interest in the study of enhancing the quality of ready-to-eat products. Eggplants are consumed as fresh-cut vegetables, which represent an increasing consumption rate. To extend the shelf life of the product, combination treatments have been proposed to inhibit the browning index (BI). Moreover, the storage temperature (4, 16, 25 °C), the concentration of ascorbic acid (AA) (1, 2, 3, and 4 g/L), and modified atmosphere packaging (MAP) (MAP-1, O2: 80 Kpa + CO2: 0 Kpa; MAP-2, O2: 5 Kpa + CO2: 15 Kpa; MAP-3, O2: 10 Kpa + CO2: 10 Kpa; MAP-4, O2: 15 Kpa + CO2: 5 Kpa; MAP-5, O2: 0 Kpa + CO2: 80 Kpa) are screened through the BI of fresh-cut eggplant. Then, the effect of AA combined with MAP on the BI, phenolic content, and polyphenol oxidase (PPO) of fresh-cut eggplants is investigated over four days. In particular, two different areas of fresh-cut eggplant with seed and without seed were chosen to measure the BI. The result shows that the proper temperature (16 °C) maintains the BI of fresh-cut eggplant with seed during two days through screening. The screening of AA demonstrates that AA of 2 g/L is the better concentration to protect the color of fresh-cut eggplant with seed and without seed. AA of 2 g/L shows lower BI for fresh-cut eggplant with seed and without seed in MAP-2, MAP-3, MAP-4. The combination of AA (2 g/L) and MAP-2 significantly inhibited the browning of fresh-cut eggplants with seed. The application of AA (2 g/L) combined with MAP-2 inhibits the PPO and total phenol content activity over two and three days. Taken together, using AA combined with MAP may constitute a potential approach for maintaining the quality and inhibiting the browning of fresh-cut eggplants.
1. Introduction
Eggplant (Solanum melongena L.) is an important vegetable crop in Asia and Mediterranean countries [1]. The production is up to approximate 54 million tons these years all over the world [2]. A global survey conducted by the Food and Agriculture Organization (FAO) demonstrated that the majority of eggplants are supplied by India and China [3]. Eggplants are rich in phenolic compounds (caffeic and chlorogenic acids), flavonoids (nasunin), and antioxidants (anthocyanin), which are known to offer protection against some cancers and vision impairment [4,5]. Fresh-cut eggplants attract the interest of consumers due to their convenience and health-promotion properties. However, eggplants after cutting are prone to reduce quality including browning, tissue softening, water loss, and wound respiration during storage, transportation, and sale in the supply chain [6]. Browning is one of the main evaluation contents for acceptability of fresh-cut eggplants and adversely affect their sensory properties [7]. Browning of fresh-cut eggplants is mainly caused by enzyme action. Polyphenols and their oxidizing enzyme, polyphenol oxidase (PPO), play a key role in the browning process of fresh-cut eggplants [8]. The inhibition of enzymatic browning has been applied successfully by physical and chemical treatments in fresh-cut fruits and vegetables [9,10,11].
The combination of chemical and physical methods is more effective for controlling enzymatic browning, such as using some antioxidant agents and modified atmosphere packaging (MAP) [12]. Ascorbic acid (AA) is generally used as an anti-browning agent in dipping solutions because it is safe and nutritious. However, the chemical methods only provide temporary protection for the preservation of fresh-cut fruits and vegetables [13]. The combination of MAP and chemical dip could be chosen to enhance the anti-browning effect and quality of fresh-cut fruits and vegetables [7]. In recent years, MAP has been considered as the most highly effective method, which can extend the shelf life and retain the natural characteristics and freshness of fresh-cut fruits and vegetables, including cabbages and carrots [14,15]. A high-oxygen packaging atmosphere is particularly effective for preventing the access of anaerobic bacterial species, inhibiting enzymatic discoloration, and reducing microbial growth [16]. It is also used to maintain the texture of fresh-cut fruits and vegetables, such as iceberg pears and potatoes [17,18]. Super atmospheric O2 can prevent the microbiological spoilage and anaerobic on fresh-cut melons and cabbages [19,20]. Low O2 levels are considered to enhance the quality of fresh-cut fruits and vegetables by reducing the ethylene production and respiration rates [21]. However, the response to different kinds of atmospheres is highly dependent on the characteristics of the fruits and vegetables.
The objective of this study is to determine the effects of storage temperature, AA and MAP individually, as well as their combination on the browning of fresh-cut eggplants. Thereby, an effective method was developed to maintain the quality of fresh-cut eggplants.
2. Materials and Methods
2.1. Plant Material
Eggplants (Solanum melongena Linn. var. melogena) were obtained from the New-Mart supermarket in Dalian, at a stage of commercial maturity. Eggplant samples were selected according to the following criteria: undamaged, uniform size, shape, and color. The samples were sent to the laboratory within 30 min. The surface of fresh eggplants was sterilized with 75% (v/v) alcohol after washing. The sample was air-dried inside a biosafety cabinet for 10 min at 25 °C. They were cut into pieces (0.5 cm thickness) using a sharp stainless-steel knife. The upper part (approximately 3 cm from the top) was used as a sample of the fresh-cut eggplant without seeds. The bottom part (approximately 4 cm from the bottom) was used as a sample of the fresh-cut eggplant with seeds. Fresh-cut slices were organized into two categories (fresh-cut eggplants without and with seeds).
2.2. Samples Treatments
The following different treatment methods were applied: (1) every three fresh-cut eggplant slices with seed or without seed were separately placed in a plastic tray and wrapped with PVC (polyvinyl chloride) film. Three plastic trays were stored at different temperatures (4, 16, and 25 °C). (2) Fresh-cut eggplant slices were dipped, respectively, at AA (1, 2, 3, and 4 g/L) for 2 min. Then, these samples were put on sterile filter papers for drying. Every three fresh-cut eggplant slices were placed in a plastic tray after dipping with the same concentration of AA. (3) Every three fresh-cut eggplant slices were packaged with MAP (MAP-1, O2:80 Kpa + CO2:0 Kpa; MAP-2, O2:5 Kpa + CO2:15 Kpa; MAP-3, O2:10 Kpa + CO2:10 Kpa; MAP-4, O2:15 Kpa + CO2:5 Kpa; MAP-5, O2:0 Kpa + CO2:80 Kpa). The browning indices of the fresh-cut eggplant slices were measured at 0 d and 2 d with treatments (1), (2), and (3). (4) Fresh-cut eggplant slices were treated with the combination of AA and MAP. Every fifteen samples were packaged using MAP (MAP-2, O2:5 Kpa + CO2:15 Kpa; MAP-3, O2:10 Kpa + CO2:10 Kpa; MAP-4, O2:15 Kpa + CO2:5 Kpa) after dipping with 2 g/L of AA (based on the treatment 2). Every three samples were measured every day for 4 d. Fresh-cut eggplants weighing 5 g were homogenized using a homogenizer (T25, Guangzhou Guangpeng, Guangzhou, China) in 20 mL of 70% ethanol and subjected to magnetic stirring with 500 rpm for 1 h at 25 °C. The suspension was centrifuged with 12,000 r/min for 10 min at 4 °C (Allegra X-30R, Beckman Coulter, Indianapolis, IN, USA). The color and related biochemistry of samples were measured.
2.3. Browning Index (BI) Measurements
The color of the cut surface was determined using a CR400/CR410 colorimeter (Minolta, Tokyo, Japan). The center and edge of the fresh-cut eggplant pieces were selected as the detecting locations. The two types of samples, with and without seed, were selected as the detection samples (Figure 1). The color parameters (L*, a*, and b*) were determined. L*, a*, and b* indicate, respectively, lightness, red chromaticity, and yellow chromaticity. The decrease in L* indicated an enhancement in the degree of discoloration due to browning. Each test was performed on three different points for each sample. The BI was calculated using the following Equation (1) [22]:
BI = [100(x − 0.31)]/0.172
where x = (a* + 1.75 L*)/(5.645 L* + a* − 3.012 b*).
Figure 1.
The detection location of browning index of fresh-cut eggplant. (a) center with seed (black circle) and border with seed (black circle); (b) center without seed (black circle) and border without seed (black circle).
2.4. Total Phenolic Content
The total phenolic content of fresh-cut eggplant was measured according to the Folin–Ciocalteau method [23]. A total of 0.1 mL of extract was added into the tube with 3.9 mL of water. Then, Folin–Ciocalteau reagent (250 mL) and sodium carbonate solution (750 mL) were also added into the tube. The samples were incubated for 90 min at 25 °C in the dark following shocking with a vortex mixer. The absorbance of the liquid extract was measured at 750 nm by a spectrophotometer (Hitachi U-2800 Spectrophotometer, Tokyo, Japan). The total phenolic content of the samples was measured and expressed as the mass of gallic acid equivalents per fresh weight mass of the fruit (mg/kg).
2.5. Determination of Polyphenol Oxidase Activity (PPO)
The samples of fresh-cut eggplants (5 g) were added into a tube with ice-cold citric acid buffer of 20 mL (0.2 M, pH 6.8) and centrifuged with 12,000 r/min for 30 min at 4 °C. The PPO activity was determined based on the method previously described by Tian et al. [24]. The assay was performed using supernatant (2 mL), 4-methylcatechol (100 mM, 1 mL), and citric acid buffer (pH 6.8, 2 mL). The absorbance of the samples was obtained in 2 min at 398 nm at room temperature. The activity was expressed as units per kilogram of fresh weight (U/kg).
2.6. Statistical Analysis
All the experiments were conducted in triplicate as independent experiments. The data were analyzed using SPSS software (Version 14.0; SPSS, Chicago, IL, USA). The significance of differences between the variables was tested using one-way ANOVA. The means were compared using Duncan’s multiple range test. The significance difference of interaction between these factors was tested using two-way ANOVA. Statistical significance was determined at p < 0.05.
3. Results
3.1. The Effect of Different Temperatures on the Browning Index
The BI changes of fresh-cut eggplants stored at different temperatures (4, 16, and 25 °C) was showed in Figure 2. As presented in the figures, the obvious degradation of color and BI was observed at 25 °C from the center and border of the fresh-cut eggplant sample with seeds (Figure 2a,b). There is no significant difference for BI between fresh-cut eggplants at 4 °C and 16 °C during two days (p > 0.05), and the BI is significantly higher at 25 °C than others (p < 0.05) (Figure 2a). The BI of fresh-cut eggplant is the lowest at 16 °C during 2 days among different storage temperatures based on the interaction between temperatures and storage days (p < 0.05) (Figure 2b). Therefore, the lowest BI value at 16 °C indicated that a proper storage temperature maintains the exterior color of the fresh-cut eggplants with seed. On the other hand, the BI gradually increased over two days from the center and border of the fresh-cut eggplant without seeds (Figure 2c,d). The BI value of the fresh-cut eggplants at 25 °C was greater than those exposed to other storage temperatures, which presented an obvious browning (p < 0.05). The BI is lower at 4 °C than that at 16 °C with center of the fresh-cut eggplant without seeds (p < 0.05) (Figure 2c). The color at border of the fresh-cut eggplant sample without seeds exhibited a similar BI value at 4 °C and 16 °C at day 2 (p > 0.05) (Figure 2d). In conclusion, 16 °C is considered the more proper storage temperature compared with 4 °C according to the BI and chilling sensitivity of fresh-cut eggplant.
Figure 2.
The effect of different temperatures (4, 16, 25 °C) on browning index of fresh-cut eggplant. (a) center with seed; (b) border with seed; (c) center without seed; (d) border without seed. Means designated by the same letters (uppercase, among different treatments at the same time point; lowercase, among different storage times at the same treatment) are significantly difference according to Duncan’s test. Bars represent means ± SD (n = 3, p < 0.05).
3.2. The Effect of Different Concentrations of Ascorbic Acid (AA) on the Browning Index
Figure 3 exhibits the changes in the BI of fresh-cut eggplants dipped in AA (1, 2, 3, and 4 g/L). Fresh-cut eggplants that were not dipped in AA were considered as the control. The BI value was lower at the center of the fresh-cut eggplant with seeds treated with AA (1, 2, and 3 g/L) compared with that in AA of 4 g/L during two days (p < 0.05%) (Figure 3a). There is no significant difference in BI of fresh-cut eggplant treated with AA of 1 and 4 g/L (p > 0.5) (Figure 3b). The BI is lower in fresh-cut eggplant treated with AA of 3 g/L than that AA of 1 and 4 g/L (p < 0.5). The lowest BI value was observed in samples treated with AA of 2 g/L (p < 0.5). On the other hand, the BI value was higher for the sample dipped in 1 g/L and 4 g/L of AA compared to the fresh-cut eggplant sample without seeds treated with 2 g/L and 3 g/L of AA at 2 days (Figure 3c). The BI is higher in AA of 1 g/L than that in other treatments at the border of fresh-cut eggplant without seed (Figure 3d). Among the different treatments, 2 g/L of AA treatment maintained the color at the center of the fresh-cut eggplant sample without seeds (p < 0.5) (Figure 3c,d). Therefore, the results indicate that the browning of fresh-cut eggplants was better maintained in 2 g/L of AA than other treatments.
Figure 3.
The effect of different concentration of ascorbic acid (AA) on browning index of fresh-cut eggplant. (a) center with seed; (b) border with seed; (c) center without seed; (d) border without seed. Means designated by the same letters (uppercase, among different treatments at the same time point; lowercase, among different storage times at the same treatment) are significantly difference according to Duncan’s test. Bars represent means ± SD (n = 3, p < 0.05).
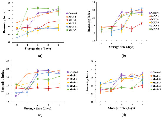
3.3. The Effect of Different Ratios of Modified Atmosphere Packaging (MAP) on the Browning Index
Figure 4 presents the changes in the BI of fresh-cut eggplants with MAP-1, MAP-2, MAP-3, MAP-4, and MAP-5. The BI at the center of the fresh-cut eggplant samples with seeds presented an increasing trend for control, MAP-1, and MAP-5 during four days (p < 0.05) (Figure 4a). It was obvious that the BI of the center with seeds in MAP-5 was the highest than that in other MAP ratios during 1–3 days. There is no significant different for BI between MAP-1 and MAP-5 at the 4th day. This might be due to the fact that MAP-5 with a high concentration of CO2 enhanced the anaerobic respiration of the fresh-cut eggplant and rapidly accelerated the browning rate. This demonstrates that the BI at the center of the fresh-cut eggplant with seeds in MAP-3 and MAP-4 was lower than that for the other treatments at the 4th day. At the border of the fresh-cut eggplant sample with seeds (Figure 4b), the BI value remained stable for 1 day. The browning of the border of the fresh-cut eggplant sample with seeds in the control, MAP-1, and MAP-5 significantly increased after 2 days and that in MAP-3 and MAP-4 after 3 days (p < 0.05). In comparison to the other MAP treatments, the MAP-2 sample presented a lower BI value at the 4th day. On the other hand, the BI changes at the center and border of the fresh-cut eggplant without seeds are presented in Figure 4c,d. It is obvious that the BI value of the center of the fresh-cut eggplant sample without seeds was higher in the control, MAP-1, MAP-4, and MAP-5 than that in the other treatment at the 4th day (p < 0.05). The BI value was lower in MAP-2 than that in MAP-3 for BI value after two days (p < 0.05) (Figure 4c). There is no significant difference for the BI of fresh-cut eggplant in MAP-2, MAP-3, and MAP-5 (p > 0.05) (Figure 4d). Therefore, the MAP-2, MAP-3, and MAP-4 treatments were chosen to be combined with AA of 2 g/L considering the negative effect of the high oxygen (MAP-1) and high carbon dioxide (MAP-5) on the browning of fresh-cut eggplant.
Figure 4.
The effect of different ratio of modified atmosphere packaging (MAP) on browning index of fresh-cut eggplant. (a) center with seed; (b) border with seed; (c) center without seed; (d) border without seed. MAP-1, O2: 80 Kpa + CO2: 0 Kpa; MAP-2, O2: 5 Kpa + CO2: 15 Kpa; MAP-3, O2: 10 Kpa + CO2: 10 Kpa; MAP-4, O2: 15 Kpa + CO2: 5 Kpa; MAP-5, O2: 0 Kpa + CO2: 80 Kpa. Bars represent means ± SD (n = 3, p < 0.05).
3.4. The Effect of the Combination of Ascorbic Acid (AA) and Modified Atmosphere Packaging (MAP) on the Browning Index
Figure 5 exhibits the BI value of fresh-cut eggplants in both a combination of AA and MAP-2, MAP-3, and MAP-4. The center and border of the fresh-cut eggplant sample with seeds dipped with AA and MAP-2 demonstrated the lowest BI value among other treatments at 4 d (Figure 5a,b) (p < 0.05). On the other hand, the BI value of center of the fresh-cut eggplant sample without seeds with a combination of AA dip (2 g/L) and MAP-3 or MAP-4 was lower than that in other treatments after four days (p < 0.05) (Figure 5c). There is no significant difference for BI of fresh-cut eggplant between MAP-3 and MAP-4 (p > 0.05). The lowest BI of fresh-cut eggplant was observed in AA combined with MAP-2 (p < 0.05) (Figure 5d). Therefore, the combination of AA and MAP-2 presented a good anti-browning for fresh-cut eggplant according to the product with seed and border of product without seed.
Figure 5.
The effect of combination of ascorbic acid (AA) and modified atmosphere packaging (MAP) on browning index of fresh-cut eggplant. (a) center with seed; (b) border with seed; (c) center without seed; (d) border without seed. MAP-2, O2:5 Kpa + CO2:15 Kpa; MAP-3, O2:10 Kpa + CO2:10 Kpa; MAP-4, O2:15 Kpa + CO2:5 Kpa. Bars represent means ± SD (n = 3, p < 0.05).
3.5. The Effect of the Combination of Ascorbic Acid (AA) and Modified Atmosphere Packaging (MAP) on Polyphenol Oxidase (PPO) and Phenolic Content
As shown in Figure 6a, lower PPO activities are obtained by the combination of AA and MAP-2, and the decrease in PPO activities is higher than that for other treatments after the beginning of storage (p < 0.05). The correlation between phenolic compounds and storage times is presented in Figure 6b. The total phenolic content shows the trend decreasing and increasing in the AA combined with MAP-2 during storage times (p < 0.05). The result indicates that the phenolic content correlates with the PPO activities. Similarly, it reduces the enzymatic activity treated with AA and MAP-2 compared with the control. Therefore, the surface color could be maintained by the combined treatment (AA and MAP-2) of fresh-cut eggplants. The combined treatment presented a stronger anti-browning effect for fresh-cut eggplants.
Figure 6.
The effect of combination of ascorbic acid (AA) and modified atmosphere packaging (MAP) on PPO (a) and Total phenolic content (b) of fresh-cut eggplant. MAP-2, O2:5 Kpa + CO2:15 Kpa; MAP-3, O2:10 Kpa + CO2:10 Kpa; MAP-4, O2:15 Kpa + CO2:5 Kpa. Bars represent means ± SD (n = 3, p < 0.05).
4. Discussion
Enzymatic browning occurs between phenolic compounds and polyphenol oxidase enzymes due to cell damage [25]. It is one of the key problems of evaluating the quality of fresh-cut eggplants during storage time. The browning rate of fresh-cut eggplants depends on the characteristics of the samples, the quantity of endogenous phenolic compounds, oxygen condition, and the activity of relevant enzymes [26]. The storage temperature affects the browning rate of fresh-cut eggplants. At room temperature, eggplants clearly exhibit shrinkage, water loss, and discoloration. Usually, the method of cold storage effectively maintains the sensory quality of fresh-cut fruits and vegetables [27]. Another study demonstrated that the pericarp of lychee fruits turned brown after one day at room temperature, whereas it was prone to present browning during cold storage after three weeks [28]. However, eggplants are chilling sensitive plants and subject to chilling injury at low temperature. Eggplants exhibit browning, sepal deterioration, epidermal atrophy, and some other symptoms [29]. At cold-stress temperatures, chilling injury decreases cell membrane integrity due to the membrane lipid transition from the fluid liquid-crystalline phase to the rigid solid-gel phase [30]. Thus, eggplants are cold-sensitive and susceptible to chilling injury at temperatures below 10 °C, which causes the skin shrinkage and browning of eggplants [31]. Other studies also indicated that the storage condition of 13 °C maintains the appearance, including inhibited sepal browning, of eggplants [1].
Color is a main determinant in evaluating the quality of fruit and vegetables with regard to the consumer. Ascorbic acid is frequently used to inhibit the browning rate of fresh-cut fruits and vegetables through reducing quinones to diphenols [32]. In this study, treatment with 1 g/L of AA exhibited low-dose anti-browning activity in fresh-cut eggplants. With an increase in the concentration of AA, the high dose might damage the tissues of fresh-cut eggplants and thus enhance the BI value. Another study showed that AA concentrations below 0.8% reduced the browning rate of fresh eggplants compared with the control, while higher concentrations caused tissue browning, likely due to oxidative damage induced by a pH of the antioxidant solution below 3 [33]. The oxidative stress caused by a low pH was also reported for other tissues, such as in pears and artichokes [34,35]. Other studies demonstrated that the application of 1% of AA caused a greater browning of eggplant cubes than other antioxidant treatments. The metabolism rate, including respiratory rate, enzymatic browning, and appearance quality, increased by peeling and cutting operations [36].
The quality of fresh-cut fruits and vegetables packaged with MAP is maintained by preventing air access and reducing quantity losses during storage [37]. This results in carbon dioxide accumulation and oxygen consumption around the commodity, which extends their shelf life. The significant difference in gas concentrations was observed for fresh-cut eggplants stored under the different storage condition. In this study, MAP-2 (O2:5Kpa + CO2:15Kpa) maintained the color appearance of the fresh-cut eggplant samples with and without seeds. Similarly, some reports demonstrated that low O2 MAP can inhibit the enzymatic browning of fresh-cut fruits and vegetables [38]. Lower O2 MAP levels maintain the quality and physiological changes by decreasing the browning rate, weight loss, respiration rate, and ethylene production [39].
Eggplants have a high antioxidant capacity due to their high phenolic compound content [40]. This antioxidant causes the surface of fresh-cut eggplants to brown extremely rapidly. It is well known that phenolic compounds, such as phenolic acids, flavonoids, and tannins, dominate the secondary metabolite composition of edible plants [41,42]. In general, PPO and phenolics are present in the chloroplast and vacuoles, respectively. In the presence of oxygen, PPO catalyzes the conversion of phenolic compounds to quinones after physical cutting, then, the secondary non-enzymatic reactions, melanin-like pigments accumulate, resulting in an undesirable brown color [43]. Cutting fruits and vegetables produce rapidly phenolic compounds as a wounding stress response [42]. The application of some preservation technologies can effectively reduce the production of phenolic content and prevent the browning of some fruits and vegetables. As shown in Figure 6a, lower PPO activity can be observed in AA-MAP-2 compared to the other treatments during the three days. Therefore, the combination of AA and MAP-2 reduced PPO activity and maintained the phenolic content of fresh-cut eggplants compared to the control. Moreover, dipping fresh-cut eggplants in the AA solution could remove surface reactants, such as phenolic compounds and enzymes, and thus decrease the oxidation and reduce the browning rate.
5. Conclusions
In this study, a combination anti-browning agents against fresh-cut eggplant was developed. For fresh-cut eggplants, browning is the biggest problem for the acceptability of consumers. Anti-browning agents, such as ascorbic acid, have been widely used. However, a chemical anti-browning agent such as ascorbic acid may not be very effective when applied to fresh-cut vegetables. Therefore, a combined treatment method combined with MAP was adopted. MAP could block oxygen, inhibit browning, and retain the natural characteristics and freshness of fresh-cut fruits and vegetables.
The combination of multiplex preservation technologies maintains effectively the quality of fresh-cut eggplants. According to the BI value of the center and border of the fresh-cut eggplant sample, a storage temperature at 16 °C, AA of 2 g/L, MAP-2, MAP-3, and MAP-4, respectively, maintained its color. The BI, PPO, and total phenolic content of fresh-cut eggplant were inhibited in AA combined with MAP. Among those, the combination of AA and MAP-2 maintained the BI of the fresh-cut eggplant samples. This has great potential application for maintaining a low BI for fresh-cut fruits and vegetables dipped in chemical reagent and subjected to MAP technology.
Author Contributions
Conceptualization, K.F. and W.H.; methodology, S. and K.F.; software, S. and K.F.; validation, W.H.; investigation, Y.L.; resources, W.H.; data curation, L.W. and C.Y.; writing—original draft preparation S.; writing—review and editing, W.H. and K.F.; supervision, W.H.; project administration, K.F. and W.H.; funding acquisition, S. All authors have read and agreed to the published version of the manuscript.
Funding
This study was supported by Zhuhai College of Science and Technology Innovation Capability Cultivation Project (Grant No. 2020XJCQ018), Doctor Promotion Program of Zhuhai College of Science and Technology, and Young Innovative Talents Project of “Innovation and Improving School Project” of Education Department of Guangdong Province (Grant No. 2019KQNCX197).
Institutional Review Board Statement
Not applicable.
Informed Consent Statement
Not applicable.
Data Availability Statement
The data used to support the findings of this study are available from the corresponding author upon request.
Conflicts of Interest
The authors declare no conflict of interest.
References
- Shi, J.Y.; Zuo, J.H.; Zhou, F.H.; Gao, L.P.; Wang, Q.; Jiang, A.L. Low-temperature conditioning enhances chilling tolerance and reduces damage in cold-stored eggplant (Solanum melongena L.) fruit. Postharvest Biol. Technol. 2018, 141, 33–38. [Google Scholar] [CrossRef]
- FAOSTAT (Food and Agriculture Organization of the United Nations). Available online: http://faostat.fao.org (accessed on 13 May 2022).
- Doğanlar, S.; Frary, A.; Daunay, M.C.; Huvenaars, K.; Mank, R.; Frary, A. High resolution map of eggplant (Solanum melongena) reveals extensive chromosome re-arrangement in domesticated members of the solanaceae. Euphytica 2014, 198, 231–241. [Google Scholar] [CrossRef]
- Ayaz, F.A.; Colak, N.; Topuz, M.; Tarkowski, P.; Jaworek, P.; Seiler, G.; Inceer, H. Comparison of nutrient content in fruit of commercial cultivars of eggplant (Solanum melongena L.). Pol. J. Food Nutr. Sci. 2015, 65, 251–260. [Google Scholar] [CrossRef]
- Jiang, M.; Ren, L.; Lian, H.; Liu, Y.; Chen, H. Novel insight into the mechanism underlying light-controlled anthocyanin accumulation in eggplant (solanum melongena L.). Plant Sci. 2016, 249, 46–58. [Google Scholar] [CrossRef]
- Watada, A.E.; Qi, L. Quality of fresh-cut produce. Postharvest Biol. Technol. 1999, 15, 201–205. [Google Scholar] [CrossRef]
- Oms-Oliu, G.; Rojas-Graü, M.A.; González, L.A.; Varela, P.; Soliva-Fortuny, R.; Isabel Hernando Hernando, M.; Munuera, I.P.; Fiszman, S.; Martín-Belloso, O. Recent approaches using chemical treatments to preserve quality of fresh-cut fruit: A review. Postharvest Biol. Technol. 2010, 57, 139–148. [Google Scholar] [CrossRef]
- Li, X.H.; Jiang, Y.Q.; Li, W.L.; Tang, Y.; Yun, J. Effects of ascorbic acid and high oxygen modified atmosphere packaging during storage of fresh-cut eggplants. Food Sci. Technol. Int. 2014, 20, 99–108. [Google Scholar] [CrossRef]
- Xu, Y.; Chen, X.; Li, X.; Du, B. The Research on modified atmosphere packaging preservation of fresh-cut iceberg lettuce. Adv. Graph. Commun. Packag. Technol. Mater. 2016, 369, 549–559. [Google Scholar]
- Wu, D.; Zhang, M.; Bhandari, B.; Guo, Z. Combined effects of microporous packaging and nano-chitosan coating on quality and shelf-life of fresh-cut eggplant. Food Biosci. 2021, 43, 101302. [Google Scholar] [CrossRef]
- Mishra, B.B.; Gautam, S.; Sharma, A. Browning of fresh-cut eggplant: Impact of cutting and storage. Postharvest Biol. Technol. 2012, 67, 44–51. [Google Scholar] [CrossRef]
- Son, S.; Moon, K.; Lee, C. Inhibitory effects of various antibrowning agents on apple slices. Food Chem. 2001, 73, 23–30. [Google Scholar] [CrossRef]
- Eleni, M.; Theodoros, V. Effect of storage conditions on the sensory quality, colour and texture of fresh-cut minimally processed cabbage with the addition of ascorbic acid, citric acid and calcium chloride. Food Nutr. Sci. 2011, 2, 956–963. [Google Scholar] [CrossRef]
- Amanatidou, A.; Slump, R.A.; Gorris, L.G.M.; Smid, E.J. High oxygen and high carbon dioxide modified atmospheres for shelf-life extension of minimally processed carrots. J. Food Sci. 2008, 65, 61–66. [Google Scholar] [CrossRef]
- Hu, W.Z.; Tanaka, S.; Uchino, T.; Nakamura, T.; Kawawaki, T.; Hamanaka, D.; Hori, Y. Effect of initial low oxygen concentration on respiration and quality of fresh-cut cabbages. J. Fac. Agric. Kyushu Univ. 2003, 48, 195–207. [Google Scholar] [CrossRef]
- Jacxsens, L.; Devlieghere, F.; Van der Steen, C.; Debevere, J. Effect of high oxygen modified atmosphere packaging on microbial growth and sensorial qualities of fresh-cut produce. Int. J. Food Microbiol. 2001, 71, 197–210. [Google Scholar] [CrossRef]
- Day, P.F. Industry guidelines for high oxygen MAP of fresh prepared produce. Acta Hortic. 2002, 599, 81–89. [Google Scholar] [CrossRef]
- Oms-Oliu, G.; Odrjozola-Serrano, I.; Soliva-Fortuny, R.; Martin-Belloso, O. Antioxidant content of fresh- cut pears stored in high O2 active packages compared with conventional low O2 active and passive modified atmosphere packaging. J. Agric. Food Chem. 2008, 56, 932–940. [Google Scholar] [CrossRef] [PubMed]
- Oms-Oliu, G.; Raybaudi-Massilia, R.M.; Soliva-Fortuny, R.; Martín-Belloso, O. Effect of superatmospheric and low oxygen modified atmospheres on shelf-life extension of fresh-cut melon. Food Control 2008, 19, 191–199. [Google Scholar] [CrossRef]
- Lee, H.H.; Hong, S.I.; Kim, D. Microbiological and visual quality of fresh-cut cabbage as affected by packaging treatments. Food Sci. Biotechnol. 2011, 20, 229–235. [Google Scholar] [CrossRef]
- Ratti, C.; Raghavan, G.S.V.; Gariépy, Y. Respiration rate model and modified atmosphere packaging of fresh cauliflower. J. Food Eng. 1996, 28, 297–306. [Google Scholar] [CrossRef]
- Palou, E.; López-Malo, A.; Barbosa-Cánovas, G.V.; Welti-Chanes, J.; Swanson, B.G. Polyphenoloxidase activity and color of blanched and high hydrostatic pressure treated banana puree. J. Food Sci. 1999, 64, 42–45. [Google Scholar] [CrossRef]
- Suresh, S.; Guizani, N.; Al-Ruzeiki, M.; Al-Hadhrami, A.; Al-Dohani, H.; Al-Kindi, I.; Rahman, M.S. Thermal characteristics, chemical composition and polyphenol contents of date-pits powder. J. Food Eng. 2013, 119, 668–679. [Google Scholar] [CrossRef]
- Tian, S.P.; Xu, Y.; Jiang, A.; Gong, Q.Q. Physiological and quality responses of longan fruit to high O2 or high CO2 atmospheres in storage. Postharvest Biol. Technol. 2002, 24, 335–340. [Google Scholar] [CrossRef]
- Massolo, J.F.; Concellón, A.; Chaves, A.R.; Vicente, A.R. 1-methylcyclopropene (1-MCP) delays senescence, maintains quality and reduces browning of non-climacteric eggplant (Solanum melongena L.) fruit. Postharvest Biol. Technol. 2011, 59, 10–15. [Google Scholar] [CrossRef]
- Ru, Z.H.; Lai, Y.Y.; Xu, C.J.; Li, L. Polyphenol oxidase (PPO) in early stage of browning of phalaenopsis leaf explants. J. Agric. Sci. 2013, 5, 57–64. [Google Scholar] [CrossRef]
- Aghdam, M.S.; Bodbodak, S. Physiological and biochemical mechanisms regulating chilling tolerance in fruits and vegetables under postharvest salicylates and jasmonates treatments. Sci. Hortic. 2013, 156, 73–85. [Google Scholar] [CrossRef]
- Fallik, E.; Temkin-Gorodeiski, N.; Grinberg, S.; Davidson, H. Prolonged low-temperature storage of eggplants in polyethylene bags. Postharvest Biol. Technol. 1995, 5, 83–89. [Google Scholar] [CrossRef]
- Bhushan, B.; Kumar, S.; Mahawar, M.K.; Jalgaonkar, K.; Dukare, A.S.; Bibwe, B.; Meena, V.S.; Negi, N.; Narwal, R.K.; Pal, A. Nullifying phosphatidic acid effect and controlling phospholipase D associated browning in litchi pericarp through combinatorial application of hexanal and inositol. Sci. Rep. 2019, 9, 2402. [Google Scholar] [CrossRef] [PubMed]
- Willing, R.P.; Leopold, A.C. Cellular expansion at low temperature as a cause of membrane lesions. Plant Physiol. 1983, 71, 118–121. [Google Scholar] [CrossRef] [PubMed]
- Concellón, A.; Añón, M.C.; Chaves, A.R. Effect of chilling on ethylene production in eggplant fruit. Food Chem. 2005, 92, 63–69. [Google Scholar] [CrossRef]
- Rodrigues, O.R.L.; Asquieri, E.R.; Orsi, D.C. Prevention of enzymatic browning of yacon flour by the combined use of anti-browning agents and the study of its chemical composition. Food Sci. Technol. 2014, 34, 275–280. [Google Scholar] [CrossRef]
- Ghidelli, C.; Mateos, M.; Rojas-Argudo, C.; Pérez-Gago, M.B. Extending the shelf life of fresh-cut eggplant with a soy protein-cysteine based edible coating and modified atmosphere packaging. Postharvest Biol. Technol. 2014, 95, 81–87. [Google Scholar] [CrossRef]
- Gomes, M.H.; Fundo, J.F.; Poças, M.F.; Almeida, D.P.F. Quality changes in fresh-cut “Rocha” pear as affected by oxygen levels in modified atmosphere packaging and the pH of antibrowning additive. Postharvest Biol. Technol. 2012, 74, 62–70. [Google Scholar] [CrossRef]
- Ghidelli, C.; Mateos, M.; Rojas-Argudo, C.; Pérez-Gago, M.B. Antibrowning effect of antioxidants on extract, precipitate, and fresh-cut tissue of artichokes. LWT-Food Sci. Technol. 2013, 51, 462–468. [Google Scholar] [CrossRef]
- Limbo, S.; Piergiovanni, L. Minimally processed potatoes Part 2. Effects of high oxygen partial pressures in combination with ascorbic and citric acid on loss of some quality traits. Postharvest Biol. Technol. 2007, 43, 221–229. [Google Scholar] [CrossRef]
- Ban, Z.; Li, L.; Guan, J.; Feng, J.; Wu, M.; Xu, X.; Li, J. Modified atmosphere packaging (MAP) and coating for improving preservation of whole and sliced Agaricus bisporus. J. Food Sci. Technol. 2014, 51, 3894–3901. [Google Scholar] [CrossRef][Green Version]
- Rojas-Graü, M.A.; Raybaudi-Massilia, R.M.; Soliva-Fortuny, R.; Martín-Belloso, O. The use of packaging techniques to maintain freshness in fresh-cut fruits and vegetables: A review. Int. J. Sci. Technol. 2009, 44, 875–889. [Google Scholar] [CrossRef]
- Toivonen, P.M.A.; DeDell, J.R. Physiology of fresh-cut fruits and vegetables. In Fresh-Cut Fruits and Vegetables. Science, Technology, and Market; Lamikanra, O., Ed.; CRC Press: Boca Raton, FL, USA, 2002; pp. 91–123. [Google Scholar]
- Cao, G.; Sofic, E.; Prior, R.L. Antioxidant capacity of tea and common vegetables. J. Agric. Food Chem. 1996, 44, 3426–3431. [Google Scholar] [CrossRef]
- Cueva, C.; Moreno-Arribas, M.V.; Martin-Alvarez, P.J.; Bills, G.; Vicente, M.F.; Basilio, A.; Rivas, C.L.; Requena, T.; Rodriguez, J.M.; Bartolome, B. Antimicrobial activity of phenolic acids against commensal, probiotic and pathogenic bacteria. Res. Microbiol. 2010, 161, 372–382. [Google Scholar] [CrossRef]
- Fankam, A.G.; Kuete, V.; Voukeng, I.K.; Kuiate, J.R.; Pages, J.M. Antibacterial activities of selected Cameroonian spices and their synergistic effects with antibiotics against multidrug-resistant phenotypes. BMC Complement. Altern. Med. 2011, 11, 104. [Google Scholar] [CrossRef]
- Martinez, M.V.; Whitaker, J.R. The biochemistry and control of enzymatic browning. Trends Food Sci. Technol. 1995, 6, 195–200. [Google Scholar] [CrossRef]
Publisher’s Note: MDPI stays neutral with regard to jurisdictional claims in published maps and institutional affiliations. |
© 2022 by the authors. Licensee MDPI, Basel, Switzerland. This article is an open access article distributed under the terms and conditions of the Creative Commons Attribution (CC BY) license (https://creativecommons.org/licenses/by/4.0/).





