Abstract
A 1,4-bis((9H-carbazol-9-yl)methyl)benzene (DCB)-containing homopolymer (P(DCB)) and four DCB- and ED-derivative (3,4-ethylenedioxythiophene (EDOT) and 3,4-ethylenedioxythiophene-methanol (EDm))-containing copolymers (P(DCB-co-ED), P(2DCB-co-ED), P(DCB-co-EDm), and P(2DCB-co-EDm)) were electropolymerized on ITO-polyethylene terephthalate (PET) substrates and their electrochromic performances were studied. DCB displays a lower Eonset than that of EDOT and EDm, conjecturing that the biscarbazole-containing DCB group shows a stronger electron-donating property than that of the ED derivatives. The P(2DCB-co-ED) film presents slate grey, dark khaki, and dark olive green at 0.0, 1.0, and 1.2 V. Bleaching-to-coloring switching studies of polymers show that P(2DCB-co-EDm) shows a high ΔT (31.0% at 725 nm) in solutions. Five dual-layer flexible electrochromic devices (ECDs) based on P(DCB), P(DCB-co-ED), P(2DCB-co-ED), P(DCB-co-EDm), and P(2DCB-co-EDm) as the anodic materials and PEDOT-PSS as the cathodic material are constructed. The P(2DCB-co-ED)/PEDOT-PSS flexible ECD shows a high ΔT (40.3% at 690 nm) and long-term electrochemical cycling stability, while the P(DCB-co-EDm)/PEDOT-PSS ECD shows a high ΔT (39.1% at 640 nm) and short response time (≤1.5 s). These findings offer us a new structural insight for the valuable design of conjugated polymers in high-contrast, flexible ECDs.
1. Introduction
Electrochromic materials have attracted notable attention for industry and academia owing to their promising applications on anti-dazzling rear view mirrors, smart glasses, electrochromic sunglasses, sensors, information displays, and memory devices [1,2,3]. Inorganic transition metal oxides (e.g., NiO, WO3, and V2O5), Prussian blue [PB, iron(III) hexacyanoferrate(II)], organic small molecules, and organic polymers are well-known electrochromic materials [4,5,6]. Compared to those electrochromic materials, organic conjugated polymers have already attracted increasing interest owing to their satisfied advantages, such as easy solution processability, short switching time, tunable optical properties through structural modifications, and large coloration efficiency [7].
The most common conjugated polymers utilized in optoelectronic devices are polytriphenylamine [8,9], polyaniline [10,11], polycarbazole [12,13], polyimide [14,15], polythiophene [16,17], polyindole [18,19], polyoxadiazole [20], and poly(3,4-ethylenedioxythiophene) (PEDOT) [21]. Among these polymers, polycarbazoles show a high hole transporting mobility and can be oxidized to generate dications and radical cations [22]. Rybakiewicz et al. published the electrochromic results of a naphthalene diimide core-functionalized polycarbazole (polyCNDI), which changed color from red (0.05 V) to orange (0.75 V) and green (0.95 V) during its oxidizing process. For the reduced process, polyCNDI film changes its color from red (−0.85 V) to brown (−1.15 V). Further polarization of polyCNDI film leads to a change of the color to green (−1.55 V). PolyCNDI shows a high ΔT (35% at 783 nm) during electrochromic switching. Moreover, PEDOT is a bicyclic derivative of polythiophenes and it shows low band gap, excellent transparency in the oxidized state, and high electrical conductivity [23]. Toppare et al. synthesized a carbazole-comprising monomer (M1), and 3,4-ethylenedioxythiophene (EDOT) and M1 were used to electrosynthesize electrochromic polymers (CoP1.5 and CoP1.3) with various feed monomer ratios [24]. CoP1.5 and CoP1.3 displayed various tones of violet colors in their reduced states, and the colors changed to blue upon oxidation. CoP1.3 shows a high ΔT (55% at 1050 nm), while CoP1.5 also displays a high ΔT (45% at 1170 nm). Armstrong et al. published the optical and electrochemical results of PEDOT, poly(EDOT-co-EDTM (3,4-ethylenedioxythiophene-methanol)), and PEDTM [25]. PEDTM displayed narrower voltammetric peak width than that of PEDOT. The λmax of reduced PEDTM redshifted slightly at 596 nm, compared to 580 nm observed for neutral PEDOT [26].
On the other hand, classical research works have focused on ECDs using conductive glass as a transparent substrate. Recently, more studies have been devoted to plastic substrates due to their flexibility. Mecerreyes et al. fabricated all-polymeric flexible ECDs, the configuration of which was PET plastic substrate|PEDOT|PEO combined with CF3SO3Li|PEDOT|PET plastic substrate [27]. Although the preliminary performances of optical contrast and cycling stability are not good enough, this strategy opens novel avenues in the evolution of flexible ECDs. Wen et al. published the experimental results of a flexible ECD with a configuration of PES((polyethersulfone)-ITO|PANI-PSS|electrolyte|PEDOT-PSS|PES-ITO. This flexible ECD maintained its electrochromic switching properties as it was situated at its bending state [28]. Xu et al. constructed and characterized flexible ECDs based on ITO–PET plastic. Similar to a glass-comprising ECD, the ITO-coated PET plastic-comprising ECD showed a rapid switching time (ca. 0.5 s) and long lifetime (more than 40,000 cycles) [29].
Conjugated polymers can be fabricated several ways, such as using electropolymerization, vapor phase polymerization, and oxidative chemical vapor deposition [30,31]. In this study, a biscarbazole (DCB)-containing homopolymer (P(DCB)) and four DCB- and ED-derivative (3,4-ethylenedioxythiophene (EDOT) and 3,4-ethylenedioxythiophene-methanol (EDm))-based copolymers (P(DCB-co-ED), P(2DCB-co-ED), P(DCB-co-EDm), and P(2DCB-co-EDm)) are coated electrochemically on ITO-coated PET plastic substrates. The absorption spectra and switching kinetics of the five DCB-containing electrode materials are investigated. Dual-layer flexible ECDs are constructed using P(DCB), P(DCB-co-ED), P(2DCB-co-ED), P(DCB-co-EDm), and P(2DCB-co-EDm) as the anodic polymers and PEDOT-PSS as the cathodic polymer. The absorption spectra, switching kinetics, and electrochemical oxidized and reduced stability of the P(DCB)/PEDOT-PSS, P(DCB-co-ED)/PEDOT-PSS, P(2DCB-co-ED)/PEDOT-PSS, P(DCB-co-EDm)/PEDOT-PSS, and P(2DCB-co-EDm)/PEDOT-PSS flexible ECDs are explored in detail.
2. Experimental
2.1. Materials and Electrosynthesis of P(DCB), P(DCB-co-ED), P(2DCB-co-ED), P(DCB-co-EDm), and P(2DCB-co-EDm)
EDm and EDOT were purchased from Tokyo Chemical Industry Co., Ltd (Tokyo, Japan). DCB was prepared according to previous methods [32]. The electrochemical deposition of P(DCB), P(DCB-co-ED), P(2DCB-co-ED), P(DCB-co-EDm), and P(2DCB-co-EDm) on ITO–PET substrates was implemented potentiostatically at 1.0 V in a 0.1 M LiClO4/acetonitrile (ACN)/dichloromethane (DCM) (DCM/ACN = 1:1, by volume), and the charge density was 20 mC/cm2. The feed ratios of DCB, EDOT, and EDm are listed in Table 1.
Table 1.
Feed species of polymer electrodes.
2.2. Instrumental Characterizations
The electrosynthesis and electrochemical characteristics of the P(DCB), P(DCB-co-ED), P(2DCB-co-ED), P(DCB-co-EDm), and P(2DCB-co-EDm) films were carried out using an electrochemical analyzer (CHI627E, CH Instruments, Austin, TX, USA). UV–Vis spectra (JASCO International Co., Ltd., Tokyo, Japan), electrochromic photoimages (JASCO International Co., Ltd., Tokyo, Japan) and the switching results of the P(DCB), P(DCB-co-ED), P(2DCB-co-ED), P(DCB-co-EDm), and P(2DCB-co-EDm) films and the P(DCB)/PEDOT-PSS, P(DCB-co-ED)/PEDOT-PSS, P(2DCB-co-ED)/PEDOT-PSS, P(DCB-co-EDm)/PEDOT-PSS, and P(2DCB-co-EDm)/PEDOT-PSS flexible ECDs were performed using a UV–Vis spectrophotometer (Jasco V–630) and an electrochemical analyzer (CHI627E).
2.3. Fabrication of Flexible ECDs
Electrolytes were prepared using a solution-cast method. 0.3 g LiClO4, 1.1 g propylene carbonate (PC), and 0.4 g PMMA (Mw = 350,000) were added into 2.5 mL ACN, and the mixture was stirred for 8 h. The solution was cast onto ITO–PET substrates, and the samples were dried at 60 °C for 1 day to eliminate ACN completely [33]. The anodic layers (P(DCB), P(DCB-co-ED), P(2DCB-co-ED), P(DCB-co-EDm), and P(2DCB-co-EDm)) were polymerized potentiostatically at 1.0 V on ITO–PET substrates, and the charge density was 13.3 mC cm−2. The PEDOT-PSS polymeric membrane was spin-coated on ITO–PET substrate with a rotational speed of 2000 rpm for 1 min. The cathodic and anodic ITO–PET substrates were isolated using a LiClO4/PC/PMMA composite film. The electrode areas of flexible ECDs were 1.5 cm2.
3. Results and Discussion
3.1. Electrosynthesis
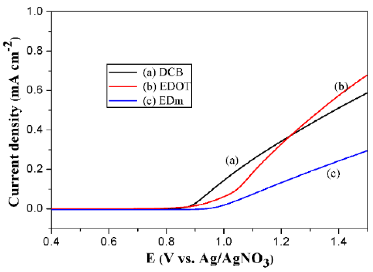
Figure 1 shows the electrochemical oxidation of DCB, EDOT, and EDm in three electrodes cells. The onset potentials for the electrochemical oxidation (Eonset) of DCB, EDOT, and EDm were 0.88, 0.98, and 0.96 V, respectively. DCB displayed a lower Eonset than that of EDOT and EDm, implying that the biscarbazole-containg DCB group shows stronger electron-donating property than that of the ED derivatives. Figure 2 displays the electrochemical potentiodynamic curves of P(DCB), P(DCB-co-ED), P(2DCB-co-ED), P(DCB-co-EDm), and P(2DCB-co-EDm). As the electrosynthesized CV cycles swept continued, the currents of the redox peaks in Figure 2 increased progressively, verifying that the electrochemical growth of P(DCB), P(DCB-co-ED), P(2DCB-co-ED), P(DCB-co-EDm), and P(2DCB-co-EDm) occurred on the ITO–PET substrates [34].
Figure 1.
LSV plots of (a) 2 mM DCB, (b) 2 mM EDOT, and (c) 2 mM EDm at 100 mV s−1.
Figure 2.
Electrosynthesized plots of (a) P(DCB), (b) P(DCB-co-ED), (c) P(2DCB-co-ED), (d) P(DCB-co-EDm), and (e) P(2DCB-co-EDm). The scan velocity is 100 mV s−1.
The oxidized peaks of P(DCB), P(DCB-co-ED), P(2DCB-co-ED), P(DCB-co-EDm), and P(2DCB-co-EDm) were located at 0.77, 0.72, 0.74, 0.73, and 0.72 V, while the reduced peaks of P(DCB), P(DCB-co-ED), P(2DCB-co-ED), P(DCB-co-EDm), and P(2DCB-co-EDm) were located at 0.38, 0.32, 0.36, 0.41, and 0.36 V, respectively. The shapes of CV curves, the potentials of oxidized and reduced peaks for P(DCB-co-ED), P(2DCB-co-ED), P(DCB-co-EDm), and P(2DCB-co-EDm), were different to those of P(DCB), verifying that the copolymers (P(DCB-co-ED), P(2DCB-co-ED), P(DCB-co-EDm), and P(2DCB-co-EDm)) were deposited electrochemically on the ITO–PET substrates. The proposed polymerization schemes of P(DCB), P(DCB-co-ED), P(2DCB-co-ED), P(DCB-co-EDm), and P(2DCB-co-EDm) are shown in Figure 3.
Figure 3.
Electrochemical polymerizations of (a) P(DCB), (b) P(DCB-co-ED), and (c) P(DCB-co-EDm).
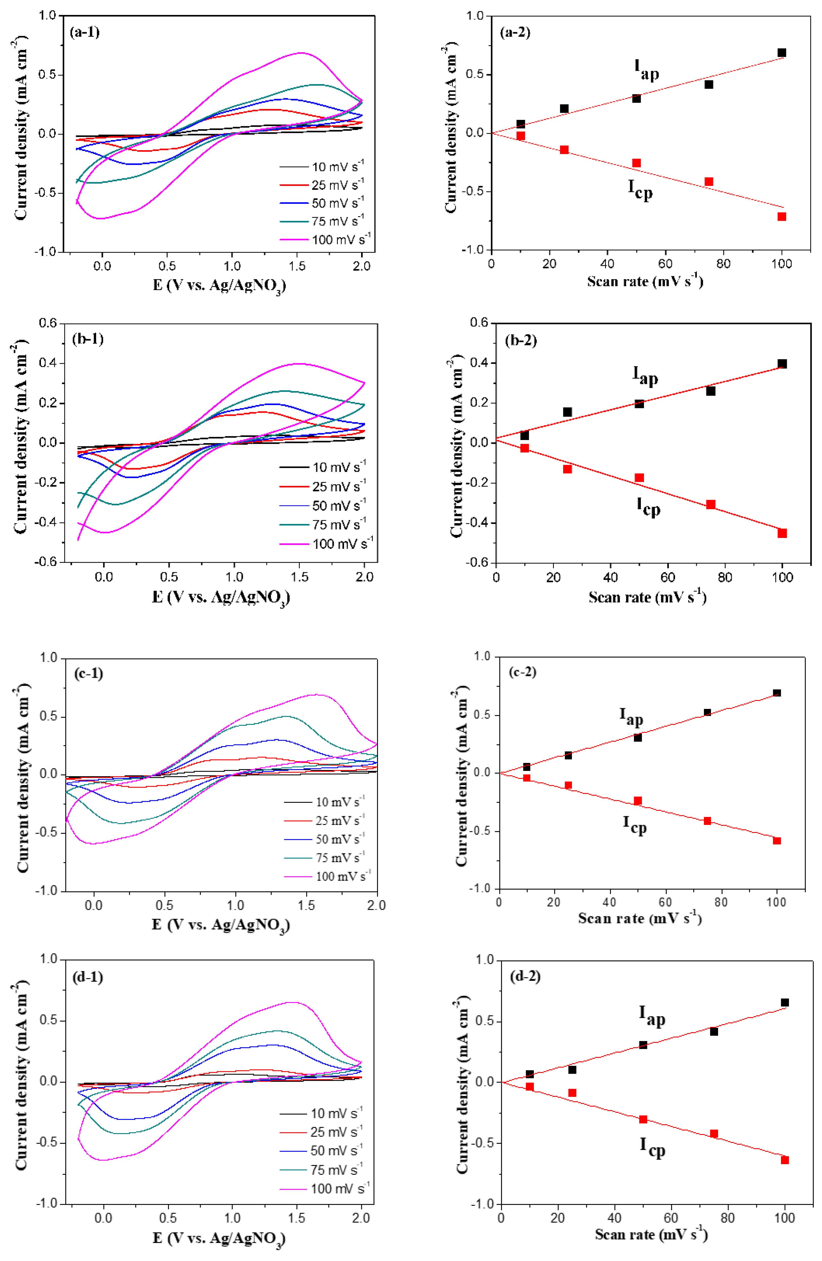
Figure 4(a-1)–(e-1) displays the CV plots of the P(DCB), P(DCB-co-ED), P(2DCB-co-ED), P(DCB-co-EDm), and P(2DCB-co-EDm) films at different sweep velocities, and Figure 4(a-2)–(e-2) exhibits the relationship figures of currents vs. sweep velocities. The current displays linearity with increasing scan rate, thus we can infer that P(DCB), P(DCB-co-ED), P(2DCB-co-ED), P(DCB-co-EDm), and P(2DCB-co-EDm) are affixed to the ITO–PET substrate compactly and the redox actions are non-diffusion controlled [35].

Figure 4.
CV curves of (a-1) P(DCB), (b-1) P(DCB-co-ED), (c-1) P(2DCB-co-ED), (d-1) P(DCB-co-EDm) and (e-1) P(2DCB-co-EDm) at different scan rates in a LiClO4/ACN solution. (a-2)–(e-2) show the dependence of currents on the sweep velocities of polymer membranes.
3.2. Spectra and Colour Switching Profiles of P(DCB), P(DCB-co-ED), P(2DCB-co-ED), P(DCB-co-EDm), and P(2DCB-co-EDm)
Figure 5 displays the UV–Vis spectra of P(DCB), P(DCB-co-ED), P(2DCB-co-ED), P(DCB-co-EDm), and P(2DCB-co-EDm) at several voltages. There is no conspicuous absorption peak of P(DCB) and PEDOT films at 0.0–0.4 V and at wavelengths of less than 480 nm. When the voltage increases from 0.4 V to 1.1 V, little by little, the absorption bands of Figure 5a appear at 410 and 750 nm, which can be ascribed to the generation of biscarbazole’s polarons (or bipolarons) [36]. The absorption peaks of P(DCB), P(DCB-co-ED), P(2DCB-co-ED), P(DCB-co-EDm), and P(2DCB-co-EDm) at 0.8 V show two peaks at around 400–450 nm, which can be attributed to the absorption band of biscarbazole groups at an oxidized state and EDOT derivatives at a neutral state. The insets of Figure 5 show the electrochromic photoimages of P(DCB), P(DCB-co-ED), P(2DCB-co-ED), P(DCB-co-EDm), and P(2DCB-co-EDm), from bleached to colored state, and the P(DCB) film is light khaki at 0.0 V, olive at 1.0 V, and mustard green at 1.3 V. In an identical situation, the P(DCB-co-ED) film reveals light gray at 0.0 V, dim gray at 0.8 V, and moss green at 1.2 V. The P(2DCB-co-ED) film is slate grey at 0.0 V, dark khaki at 1.0 V, and dark olive green at 1.2 V. The P(DCB-co-EDm) film is gray at 0.0 V, dark khaki at 0.9 V, and dark olive at 1.2 V. The P(2DCB-co-EDm) film is light gray at 0.0 V, dim gray at 0.7 V, and olive at 1.0 V. The chromaticity diagrams of P(DCB), P(DCB-co-ED), P(2DCB-co-ED), P(DCB-co-EDm), and P(2DCB-co-EDm) monitored at some voltages are summarized in Table 2.
Figure 5.
UV–Vis spectra of (a) P(DCB), (b) P(DCB-co-ED), (c) P(2DCB-co-ED), (d) P(DCB-co-EDm), and (e) P(2DCB-co-EDm).
Table 2.
Chromaticity charts of (a) P(DCB), (b) P(DCB-co-ED), (c) P(2DCB-co-ED), (d) P(DCB-co-EDm), and (e) P(2DCB-co-EDm).
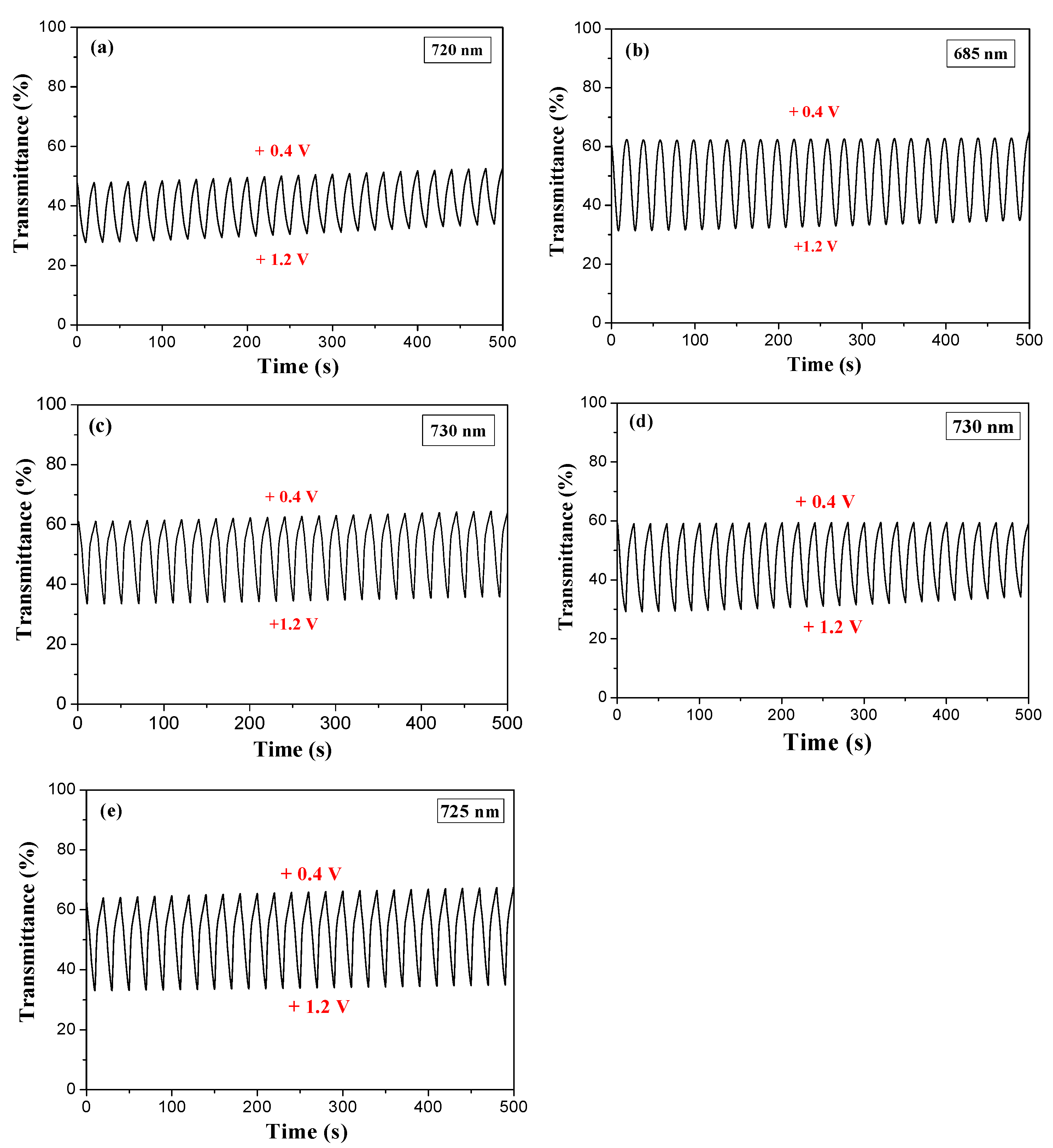
Figure 6 reveals the color-to-colorless switching properties of P(DCB), P(DCB-co-ED), P(2DCB-co-ED), P(DCB-co-EDm), and P(2DCB-co-EDm) between +0.4 V and +1.2 V. The time interval is 10 s. The bleached response time (τb) and colored response time (τc) of P(DCB), P(DCB-co-ED), P(2DCB-co-ED), P(DCB-co-EDm), and P(2DCB-co-EDm) are shown in Table 3, and the τc and τb are calculated at 90% of the entire transmittance variation. The τb and τc of these polymers at a visible light region were determined to be 2.3–4.9 s in solutions.
Figure 6.
Switching profiles of the (a) P(DCB), (b) P(DCB-co-ED), (c) P(2DCB-co-ED), (d) P(DCB-co-EDm), and (e) P(2DCB-co-EDm) electrodes.
Table 3.
Chromic parameters of electrodes.
The transmittance variations (ΔT) of P(DCB), P(DCB-co-ED), P(2DCB-co-ED), P(DCB-co-EDm), and P(2DCB-co-EDm) are 20.0% at 720 nm, 30.5% at 685 nm, 27.6% at 710 nm, 29.7% at 730 nm, and 31.0% at 725 nm, respectively, in solutions. The ED- and EDm-containing polymers display a higher ΔT than that of P(DCB) in a visible light zone. As listed in Table 4, the ΔT of the P(2DCB-co-EDm) film is greater than that published for PSNS-F (ΔT = 21.7% at 445 nm) [37], PBDO (ΔT = 24.5% at 610 nm) [38], and PDCP (ΔT = 19% at 1025 nm) [39]. However, the ΔT of the P(2DCB-co-EDm) film is lower than that published for P(SNS-PN-co-ProDOT) (ΔT = 42% at 850 nm) [40] and PMPS (ΔT = 68.4% at 855 nm) [41].
Table 4.
Transmittance changes and coloration efficiencies of polymers (or ECDs).
The variation of optical densities (ΔOD) and coloration efficiencies (η) can be evaluated using two formulas [42], as follows:
where Tc and Tb indicate the transmittance at colored and bleached states, respectively. The η of P(DCB), P(DCB-co-ED), P(2DCB-co-ED), P(DCB-co-EDm), and P(2DCB-co-EDm) is 124.5 cm2/C at 720 nm, 157.6 cm2/C at 685 nm, 97.9 cm2/C at 710 nm, 164.7 cm2/C at 730 nm, and 113.9 cm2/C at 725 nm, respectively. P(DCB-co-EDm) shows the highest η at 730 nm. The P(DCB) film shows a larger η than that published for PSNS-F (η = 107 cm2/C at 445 nm) [37], PBDO (η = 75.9 cm2/C at 610 nm) [38], and PDCP (η = 124 cm2/C at 1025 nm) [39]. However, the P(DCB) film shows a lower η than that published for P(SNS-PN-co-ProDOT) (η = 256 cm2/C at 850 nm) [40] and PMPS (η = 159.4 cm2/C at 855 nm) [41].
ΔOD = log(Tb/Tc)
η = ΔOD/Qd
3.3. Spectra and Colour Switching Properties of Flexible ECDs
Flexible ECDs were fabricated using anodically coloring polymers (P(DCB), P(DCB-co-ED), P(2DCB-co-ED), P(DCB-co-EDm), and P(2DCB-co-EDm)) and a cathodically coloring polymer (PEDOT-PSS), and their spectra and electrochromic switching figures were determined. As displayed in Figure 7, the P(DCB)/PEDOT-PSS, P(DCB-co-ED)/PEDOT-PSS, P(2DCB-co-ED)/PEDOT-PSS, P(DCB-co-EDm)/PEDOT-PSS, and P(2DCB-co-EDm)/PEDOT-PSS ECDs displayed two absorption peaks at around 600–700 nm at 2.0 V, which can be ascribed to the absorption of P(DCB), P(DCB-co-ED), P(2DCB-co-ED), P(DCB-co-EDm), and P(2DCB-co-EDm) in an oxidized state and cathodically coloring polymer in a neutral state.
Figure 7.
UV–Visible plots of the (a) P(DCB)/PEDOT-PSS, (b) P(DCB-co-ED)/PEDOT-PSS, (c) P(2DCB-co-ED)/PEDOT-PSS, (d) P(DCB-co-EDm)/PEDOT-PSS, and (e) P(2DCB-co-EDm)/PEDOT-PSS devices.
The P(DCB)/PEDOT-PSS ECD was bright gray at −0.5 V, dim gray at 1.2 V, and army blue at 2.0 V. The P(DCB-co-ED)/PEDOT-PSS ECD was silver gray at −0.7 V, bright slate gray at 1.2 V, and saxe blue at 2.0 V. The P(2DCB-co-ED)/PEDOT-PSS ECD was light gray at −0.5 V, azure at 1.8 V, and Wedgwood blue at 2.0 V. The P(DCB-co-EDm)/PEDOT-PSS ECD was Gainsboro gray at −1.0 V, army at 1.6 V, and grayish blue at 2.0 V. The P(2DCB-co-EDm)/PEDOT-PSS ECD was slate gray at −1.0 V, gray at 1.6 V, and peacock blue at 2.0 V. The chromaticity diagrams of P(DCB)/PEDOT-PSS, P(DCB-co-ED)/PEDOT-PSS, P(2DCB-co-ED)/PEDOT-PSS, P(DCB-co-EDm)/PEDOT-PSS, and P(2DCB-co-EDm)/PEDOT-PSS ECDs at several potentials are shown in Table 5.
Table 5.
Chromaticity diagrams of the (a) P(DCB)/PEDOT-PSS, (b) P(DCB-co-ED)/PEDOT-PSS, (c) P(2DCB-co-ED)/PEDOT-PSS, (d) P(DCB-co-EDm)/PEDOT-PSS, and (e) P(2DCB-co-EDm)/PEDOT-PSS ECDs.
Figure 8 shows the switching plots of the P(DCB)/PEDOT-PSS, P(DCB-co-ED)/PEDOT-PSS, P(2DCB-co-ED)/PEDOT-PSS, P(DCB-co-EDm)/PEDOT-PSS, and P(2DCB-co-EDm)/PEDOT-PSS ECDs, and the ΔT, ΔOD, η, and τ of the ECDs are displayed in Table 6.
Figure 8.
Switching profiles of the (a) P(DCB)/PEDOT-PSS, (b) P(DCB-co-ED)/PEDOT-PSS, (c) P(2DCB-co-ED)/PEDOT-PSS, (d) P(DCB-co-EDm)/PEDOT-PSS and (e) P(2DCB-co-EDm)/PEDOT-PSS devices.
Table 6.
Chromic switching parameters of devices.
The ΔT of the P(DCB)/PEDOT-PSS, P(DCB-co-ED)/PEDOT-PSS, P(2DCB-co-ED)/PEDOT-PSS, P(DCB-co-EDm)/PEDOT-PSS, and P(2DCB-co-EDm)/PEDOT-PSS ECDs at the third cycle was 30.1% at 690 nm, 37.1% at 650 nm, 40.3% at 690 nm, 39.1% at 640 nm, and 36.4% at 680 nm, respectively. The ΔTmax of the P(2DCB-co-ED)/PEDOT-PSS ECD is greater than that of the P(SNS-An-Fc-co-EDOT)/PEDOT ECD (ΔT = 22% at 601 nm) [43], P(BTC)/PEDOT ECD (ΔT = 26.3% at 580 nm) [44], P(dcb-co-cpdt)/PEDOT ECD (ΔT = 39.8% at 628 nm) [45], and P(DiC-co-CDTK)/PEDOT-PSS ECD (ΔT = 38%) [39]. However, the ΔTmax of the P(2DCB-co-ED)/PEDOT-PSS ECD is lower than that published for the P(ANIL-co-TTPA)/PProDOT-Et2 ECD (ΔT = 46.3% at 582 nm) [46]. On the other hand, the η of the P(DCB)/PEDOT-PSS, P(DCB-co-ED)/PEDOT-PSS, P(2DCB-co-ED)/PEDOT-PSS, P(DCB-co-EDm)/PEDOT-PSS, and P(2DCB-co-EDm)/PEDOT-PSS ECDs at the third cycle was calculated to be 215.9 cm2/C at 690 nm, 245.8 cm2/C at 650 nm, 260.0 cm2/C at 690 nm, 199.4 cm2/C at 640 nm, and 180.2 cm2/C at 680 nm, respectively. The P(2DCB-co-ED)/PEDOT-PSS ECD shows a lower η than that published for the P(SNS-An-Fc-co-EDOT)/PEDOT ECD (η = 484 cm2/C at 601 nm) [43], P(dcb-co-cpdt)/PEDOT ECD (η = 319.98 cm2/C at 628 nm) [45], P(ANIL-co-TTPA)/PProDOT-Et2 ECD (η = 625 cm2/C at 582 nm) [46], and P(DiC-co-CDTK)/PEDOT-PSS ECD (η = 634 cm2/C at 635 nm) [39]. This may be attributed to the substrate of the P(2DCB-co-ED)/PEDOT-PSS flexible ECD being an ITO-coated PET. Moreover, the τb and τc of the flexible ECDs calculated at the 3rd and the 60th cycles are shown in Table 6, and they are 0.4–1.5 s. The τb and τc of the flexible ECDs are faster than those of the polymer electrodes, implying that the distance between two electrodes in flexible ECDs is narrower than those in UV cells [47].
3.4. Redox Stability of Flexible ECDs
The redox stability of five flexible ECDs was monitored using CV in the range of −0.5 V ~ +2.0 V. As displayed in Figure 9, the P(DCB)/PEDOT-PSS, P(DCB-co-ED)/PEDOT-PSS, P(2DCB-co-ED)/PEDOT-PSS, P(DCB-co-EDm)/PEDOT-PSS, and P(2DCB-co-EDm)/PEDOT-PSS ECDs showed 96.3%, 96.8%, 97.2%, 91.7%, and 96.6%, respectively, of electroactivity preserved after the 500th cycle, and 90.4%, 95.9%, 96.3%, 79.6%, and 90.1%, respectively, of electroactivity preserved after the 1000th cycle, indicating that the P(DCB)/PEDOT-PSS, P(DCB-co-ED)/PEDOT-PSS, P(2DCB-co-ED)/PEDOT-PSS, P(DCB-co-EDm)/PEDOT-PSS, and P(2DCB-co-EDm)/PEDOT-PSS flexible ECDs displayed an adequate long-term redox stability.
Figure 9.
CV curves of the (a) P(DCB)/PEDOT-PSS, (b) P(DCB-co-ED)/PEDOT-PSS, (c) P(2DCB-co-ED)/PEDOT-PSS, (d) P(DCB-co-EDm)/PEDOT-PSS and (e) P(2DCB-co-EDm)/PEDOT-PSS devices.
4. Conclusions
Five biscarbazole-containing anodically coloring polymers (P(DCB), P(DCB-co-ED), P(2DCB-co-ED), P(DCB-co-EDm), and P(2DCB-co-EDm)) were electrocoated on ITO coated PET plastic. P(DCB-co-EDm) shows three definite color transitions from reduced to oxidized states (gray, dark khaki, and dark olive at 0.0 V, +0.9 V, and +1.2 V, respectively). The spectra and colour switching profiles of the polymeric membranes show that ED- and EDm-containing copolymers have a large ΔT in visible light regions. The dual polymer flexible P(2DCB-co-ED)/PEDOT-PSS ECD showed a large ΔT (40.3% at 690 nm) and sufficient redox stability. The P(DCB-co-EDm)/PEDOT-PSS ECD displayed a high ΔT (39.1% at 640 nm), rapid electrochromic switching time (less than 1.5 s), and distinct color transitions from Gainsboro gray (at −1.0 V) to army (at 1.6 V). These findings provide avenues for applications of the promising biscarbazole-containing anodically coloring polymers in paper-like, flexible ECDs.
Author Contributions
Conceptualization, C.-W.K.; Data curation, Y.-X.L., P.-Y.L., and T.-Y.W.; Formal analysis, C.-W.K., Y.-X.L., T.-Y.W., and T.-H.H.; Investigation, C.-W.K. and Y.-X.L.; Methodology, C.-W.K., J.-C.C., Y.-X.L., and P.-Y.L.; Resources, J.-C.C. and T.-H.H.; Writing—original draft, C.-W.K., Y.-X.L., and T.-Y.W.; Writing—review & editing, C.-W.K. and T.-Y.W. All authors have read and agreed to the published version of the manuscript.
Funding
This research was funded by the Ministry of Science and Technology of the Republic of China, Grant No. 110-2221-E-992-051 and 108-2221-E-224-049-MY3.
Institutional Review Board Statement
Not applicable.
Informed Consent Statement
Not applicable.
Data Availability Statement
Not applicable.
Conflicts of Interest
The authors declare no conflict of interest.
References
- Kortz1, C.; Hein, A.; Ciobanu, M.; Walder, L.; Oesterschulze, E. Complementary hybrid electrodes for high contrast electrochromic devices with fast response. Nat. Commun. 2019, 10, 4874. [Google Scholar] [CrossRef] [Green Version]
- Granqvist, C.G.; Arvizu, M.A.; Pehlivan, İ.B.; Qu, H.Y.; Wen, R.T.; Niklasson, G.A. Electrochromic materials and devices for energy efficiency and human comfort in buildings: A critical review. Electrochim. Acta 2018, 259, 1170–1182. [Google Scholar] [CrossRef] [Green Version]
- Cai, G.; Wang, J.; Lee, P.S. Next-generation multifunctional electrochromic devices. Acc. Chem. Res. 2016, 49, 1469–1476. [Google Scholar] [CrossRef]
- Wang, H.; Barrett, M.; Duane, B.; Gu, J.; Zenhausern, F. Materials and processing of polymer-based electrochromic devices. Mater. Sci. Eng. B 2018, 228, 167–174. [Google Scholar] [CrossRef]
- Shchegolkov, A.V.; Jang, S.-H.; Shchegolkov, A.V.; Rodionov, Y.V.; Sukhova, A.O.; Lipkin, M.S. A brief overview of electrochromic materials and related devices: A nanostructured materials perspective. Nanomaterials 2021, 11, 2376. [Google Scholar] [CrossRef]
- Mortimer, R.J. Electrochromic materials. Annu. Rev. Mater. Res. 2011, 41, 241–268. [Google Scholar] [CrossRef]
- Liu, F.H.; Bai, J.; Yu, G.; Ma, F.H.; Hou, Y.J.; Niu, H.J. Synthesis, electrochromic properties and flash memory behaviors of novel D-A-D polyazomethines containing EDOT and thiophene units. Org. Electron. 2020, 77, 105538. [Google Scholar] [CrossRef]
- Sun, T.-G.; Li, Z.-J.; Shao, J.-Y.; Zhong, Y.-W. Electrochromism in electropolymerized films of pyrene-triphenylamine derivatives. Polymers 2019, 11, 73. [Google Scholar] [CrossRef] [Green Version]
- Hsiao, S.H.; Huang, Y.P. Redox-active and fluorescent pyrene-based triarylamine dyes and their derived electrochromic polymers. Dyes Pigment. 2018, 158, 368–381. [Google Scholar] [CrossRef]
- Jamdegni, M.; Kaur, A. Electrochromic behavior of highly stable, flexible electrochromic electrode based on covalently bonded polyaniline-graphene quantum dot composite. J. Electrochem. Soc. 2019, 166, H502–H509. [Google Scholar] [CrossRef]
- Song, S.; Xu, G.; Wang, B.; Gu, J.; Wei, H.; Ren, Z.; Zhang, L.; Zhao, J.; Li, Y. Highly-flexible monolithic integrated infrared electrochromic device based on polyaniline conducting polymer. Synth. Met. 2021, 278, 116822. [Google Scholar] [CrossRef]
- Jiang, M.; Sun, Y.; Ning, J.; Chen, Y.; Wu, Y.; Hu, Z.; Shuja, A.; Meng, H. Diphenyl sulfone based multicolored cathodically coloring electrochromic materials with high contrast. Org. Electron. 2020, 83, 105741. [Google Scholar] [CrossRef]
- Xu, J.; Ji, Q.; Kong, L.; Du, H.; Ju, X.; Zhao, J. Soluble electrochromic polymers incorporating benzoselenadiazole and electron donor units (carbazole or fluorene): Synthesis and electronic-optical properties. Polymers 2018, 10, 450. [Google Scholar] [CrossRef] [Green Version]
- Zheng, R.; Huang, T.; Zhang, Z.; Sun, Z.; Niu, H.; Wang, C.; Wang, W. Novel polyimides containing flexible carbazole blocks with electrochromic and electrofluorescencechromic properties. RSC Adv. 2020, 10, 6992–7003. [Google Scholar] [CrossRef] [Green Version]
- Hsiao, S.H.; Lu, H.Y. Electrosynthesis of aromatic poly(amide-amine) films from triphenylamine-based electroactive compounds for electrochromic applications. Polymers 2017, 9, 708. [Google Scholar] [CrossRef] [Green Version]
- Chen, W.; Ning, J.; Sun, Y.; Zhou, G.; Murtaza, I.; Shuja, A.; He, Y.; Perepichka, I.F.; Meng, H. Thiophene-2,5-diesters as electrochromic materials: The effect of ester groups on the device performance and stability. Org. Electron. 2021, 96, 106188. [Google Scholar] [CrossRef]
- Chernyshev, A.; Acharya, U.; Pfleger, J.; Trhlíková, O.; Zedník, J.; Vohlídal, J. Iron (II) metallo-supramolecular polymers based on thieno[3,2-b]thiophene for electrochromic applications. Polymers 2021, 13, 362. [Google Scholar] [CrossRef]
- Nie, G.M.; Wang, L.; Liu, C.L. High performance electrochromic devices based on a polyindole derivative, poly(1H-benzo[g]indole). J. Mater. Chem. C 2015, 3, 11318–11325. [Google Scholar] [CrossRef]
- Kuo, C.W.; Wu, T.Y.; Fan, S.C. Applications of poly(indole-6-carboxylic acid-co-2,2’-bithiophene) films in high-contrast electrochromic devices. Coatings 2018, 8, 102. [Google Scholar] [CrossRef] [Green Version]
- Liu, J.; Shi, Y.; Wu, J.; Li, M.; Zheng, J.; Xu, C. Yellow electrochromic polymer materials with fine tuning electrofluorescences by adjusting steric hindrance of sidechains. RSC Adv. 2017, 7, 25444–25449. [Google Scholar] [CrossRef] [Green Version]
- Shi, J.; Zhu, X.; Xu, P.; Zhu, M.; Guo, Y.; He, Y.; Hu, Z.; Murtaza, I.; Yu, H.; Yan, L.; et al. A redox-dependent electrochromic material: Tetri-EDOT substituted thieno[3,2-b]thiophene. Macromol. Rapid Commun. 2016, 37, 1344–1351. [Google Scholar] [CrossRef] [PubMed]
- Bekkar, F.; Bettahar, F.; Moreno, I.; Meghabar, R.; Hamadouche, M.; Hernáez, E.; Vilas-Vilela, J.L.; Ruiz-Rubio, L. Polycarbazole and its derivatives: Synthesis and applications. A review of the last 10 years. Polymers 2020, 12, 2227. [Google Scholar] [CrossRef] [PubMed]
- Zhang, L.; Wen, Y.; Yao, Y.; Duan, X.; Xu, J. Electrosynthesis, characterization, and application of poly(3,4-ethylenedioxythiophene) derivative with a chloromethyl functionality. J. Appl. Polym. 2013, 130, 2660–2670. [Google Scholar] [CrossRef]
- Kalay, I.; Yiğit, D.; Güllü, M.; Depci, T.; Toppare, L.; Hacioglu, S.O. Enhancing electrochemical and electrochromic performances of carbazole comprising monomer via copolymerization with 3,4-ethylenedioxythiophene (EDOT). Synth. Met. 2020, 267, 116449. [Google Scholar] [CrossRef]
- Walter, J.D.; Ronald, J.W.; Neal, R.A.; Saavedra, S.S. Electrochemical copolymerization and spectroelectrochemical characterization of 3,4-ethylenedioxythiophene and 3,4-ethylenedioxythiophene−methanol copolymers on Indium−Tin oxide. Macromolecules 2006, 39, 4418–4424. [Google Scholar]
- Akoudad, S.; Roncali, J. Modification of the electrochemical and electronic properties of electrogenerated poly(3,4-ethylenedioxythiophene) by hydroxymethyl and oligo(oxyethylene) substituents. J. Electrochem. Commun. 2000, 2, 72–76. [Google Scholar] [CrossRef]
- Mecerreyes, D.; Marcilla, R.; Ochoteco, E.; Grande, H.; Pomposo, J.A.; Vergaz, R.; Sánchez Pena, J.M. A simplified all-polymer flexible electrochromic device. Electrochim. Acta 2004, 49, 3555–3559. [Google Scholar] [CrossRef]
- Huang, L.-M.; Chen, C.-H.; Wen, T.-C. Development and characterization of flexible electrochromic devices based on polyaniline and poly(3,4-ethylenedioxythiophene)-poly(styrene sulfonic acid). Electrochim. Acta 2006, 51, 5858–5863. [Google Scholar] [CrossRef]
- Ma, C.; Taya, M.; Xu, C. Flexible electrochromic device based on poly(3,4-(2,2-dimethylpropylenedioxy)thiophene). Electrochim. Acta 2008, 54, 598–605. [Google Scholar] [CrossRef]
- Brooke, R.; Edberg, J.; Crispin, X.; Berggren, M.; Engquist, I.; Jonsson, M.P. Greyscale and paper electrochromic polymer displays by UV patterning. Polymers 2019, 11, 267. [Google Scholar] [CrossRef] [Green Version]
- Gharahcheshmeh, M.H.; Gleason, K.K. Device fabrication based on oxidative chemical vapor deposition (oCVD) synthesis of conducting polymers and related conjugated organic materials. Adv. Mater. Interfaces. 2019, 6, 1801564. [Google Scholar] [CrossRef] [Green Version]
- Kuo, C.-W.; Chang, J.-C.; Lee, L.-T.; Lin, Y.-D.; Lee, P.-Y.; Wu, T.-Y. 1,4-Bis((9H-Carbazol-9-yl)methyl)benzene-containing electrochromic polymers as potential electrodes for high-contrast electrochromic devices. Polymers 2022, 14, 1175. [Google Scholar] [CrossRef] [PubMed]
- Kuo, C.W.; Chen, B.K.; Li, W.B.; Tseng, L.Y.; Wu, T.Y.; Tseng, C.G.; Chen, H.R.; Huang, Y.C. Effects of supporting electrolytes on spectroelectrochemical and electrochromic properties of polyaniline-poly(styrene sulfonic acid) and poly(ethylenedioxythiophene)-poly(styrene sulfonic acid)-based electrochromic device. J. Chin. Chem. Soc. 2014, 61, 563–570. [Google Scholar] [CrossRef]
- Idzik, K.R.; Frydel, J.; Beckert, R.; Ledwon, P.; Lapkowski, M.; Fasting, C.; Müller, C.; Licha, T. Synthesis and electrochemical properties of tetrathienyl-linked branched polymers with various aromatic cores. Electrochim. Acta 2012, 79, 154–161. [Google Scholar] [CrossRef]
- Soganci, T. Effects of N-substitution group on electrochemical, electrochromic and optical properties of dithienyl derivative. J. Electrochem. Soc. 2019, 166, H12–H18. [Google Scholar] [CrossRef]
- Wu, T.Y.; Tung, Y.H. Phenylthiophene-containing poly(2,5-dithienylpyrrole)s as potential anodic layers for high-contrast electrochromic devices. J. Electrochem. Soc. 2018, 165, H183–H195. [Google Scholar] [CrossRef]
- Cihaner, A.; Algi, F. Processable electrochromic and fluorescent polymers based on N-substituted thienylpyrrole. Electrochim. Acta 2008, 54, 665–670. [Google Scholar] [CrossRef]
- Wu, T.-Y.; Su, Y.-S. Electrochemical synthesis and characterization of 1,4-benzodioxan-based electrochromic polymer and its application in electrochromic devices. J. Electrochem. Soc. 2015, 162, G103–G112. [Google Scholar] [CrossRef]
- Kuo, C.W.; Wu, B.W.; Chang, J.K.; Chang, J.C.; Lee, L.T.; Wu, T.Y.; Ho, T.H. Electrochromic devices based on poly(2,6-di(9H-carbazol-9-yl)pyridine)-type polymer films and PEDOT-PSS. Polymers 2018, 10, 604. [Google Scholar] [CrossRef] [Green Version]
- Bingol, B.E.; Tekin, B.; Carbas, B.B. An investigation on electrochromic properties of new copolymers based on dithienylpyrrole and propylenedioxythiophene. J. Electroanal. Chem. 2017, 806, 107–115. [Google Scholar] [CrossRef]
- Kuo, C.W.; Chang, J.C.; Chang, J.K.; Huang, S.W.; Lee, P.Y.; Wu, T.Y. Electrosynthesis of electrochromic polymer membranes based on 3,6-di(2-thienyl)carbazole and thiophene derivatives. Membranes 2021, 11, 125. [Google Scholar] [CrossRef] [PubMed]
- Zhang, Y.; Kong, L.; Zhang, Y.; Du, H.; Zhao, J.; Chen, S.; Xie, Y.; Wang, Y. Ultra-low-band gap thienoisoindigo-based ambipolar type neutral green copolymers with ProDOT and thiophene units as NIR electrochromic materials. Org. Electron. 2020, 81, 105685. [Google Scholar] [CrossRef]
- Camurlu, P.; Gültekin, C. A comprehensive study on utilization of N-substituted poly(2,5-dithienylpyrrole) derivatives in electrochromic devices. Sol. Energy Mater. Sol. Cells 2012, 107, 142–147. [Google Scholar] [CrossRef]
- Kong, L.; Wang, Z.; Zhao, J.S.; Xu, J.Z. Multi-electrochromic 2,7-linked polycarbazole derivative and its application in electrochromic devices. Int. J. Electrochem. Sci. 2015, 10, 982–996. [Google Scholar]
- Chen, S.; Gao, Q.; Zhao, J.; Cui, C.; Yang, W.; Zhang, X. Electrosynthesis, characterizations and electrochromic properties of a novel copolymer of 4,4’-di(N-carbazoyl)biphenyl with 4H-cyclopenta[2,1-b:3,4-b’]dithiophene. Int. J. Electrochem. Sci. 2012, 7, 5256–5272. [Google Scholar]
- Wu, T.-Y.; Su, Y.-S.; Chang, J.-C. Dithienylpyrrole- and tris[4-(2-thienyl)phenyl]amine-containing copolymers as promising anodic layers in high-contrast electrochromic devices. Coatings 2018, 8, 164. [Google Scholar] [CrossRef] [Green Version]
- Kuo, C.W.; Chang, J.K.; Lin, Y.C.; Wu, T.Y.; Lee, P.Y.; Ho, T.H. Poly(tris(4-carbazoyl-9-ylphenyl)amine)/three poly(3,4-ethylenedioxythiophene) derivatives in complementary high-contrast electrochromic devices. Polymers 2017, 9, 543. [Google Scholar] [CrossRef] [Green Version]
Publisher’s Note: MDPI stays neutral with regard to jurisdictional claims in published maps and institutional affiliations. |
© 2022 by the authors. Licensee MDPI, Basel, Switzerland. This article is an open access article distributed under the terms and conditions of the Creative Commons Attribution (CC BY) license (https://creativecommons.org/licenses/by/4.0/).

















































