Abstract
As concrete damage occurs frequently in the transition zone of bridge expansion joints, this paper discussed ultra-high-performance concrete (UHPC) based on composite cementitious materials system for the repair of the bridge expansion joint transition zone. The performance of UHPC based on composite cementitious materials system was studied by combining the macroscopic properties and microstructure of the material with the hydration mechanism of the cementitious material. The influence of sulphate aluminum cement (SAC) on composite cementitious materials system was studied. The experimental results showed that the appropriate amount of SAC can effectively reduce the setting time in the composite cementitious materials system. While SAC caused the strength to decrease, it has little effect on the mechanical properties of the composite cementitious materials system. When the ratio of SAC is 0.1 in the composite cementitious materials system, the setting time is shortened with maintaining the dense micro-structure observed by the SEM images. It can achieve fast hardening and have good early mechanical performance while retaining excellent long-term properties. Therefore, the addition of SAC can effectively make it possible to apply the excellent performance of UHPC for the repair of highway and bridge.
1. Introduction
Bridge expansion joints have a significant impact on the service life of the highway bridge since it is the connecting part. Due to the poor use environment of the bridge expansion joints, it is also one of the most vulnerable parts of highway bridge. Frequent maintenance of bridge expansion joints not only seriously affects traffic and significantly increases the maintenance cost of highway bridge, but also causes environmental problems such as waste of resources. The investigation and statistical analysis of the damage to bridge expansion joints show that the common damage to bridge expansion joints mostly occurs in the transition zone. Therefore, the development of new repair materials for the transition zone of bridge expansion joints is of great practical significance and urgency.
Many scholars have carried out relevant research on new repair materials for the transition zone of bridge expansion joints. Some research reported that the fatigue performance of epoxy resin concrete was better than cement-based materials [1]. The research of Chen et al. [1] reported an epoxy resin concrete that selected the type NPEL128 (E51) epoxy as the binder of the repair material for the transition zone of bridge expansion joints for rapid repair. Bisphenol A E-44 epoxy resin and phenolic amine T-31 curing agent are suitable for preparing high-performance epoxy resin concrete [2]. A steel fiber epoxy concrete obtained from modifying ordinary Portland cement (OPC) by E44 epoxy resin, ethylene diamine and dibutyl phthalate could complete the repair of bridge expansion joints [3]. The research is carried out from the perspective of polymers. A new polyurethane elastic concrete has good tensile property and compression resilience for the seamless expansion joint [4]. Some research reported that CRM concrete could significantly reduce the time of bridge expansion joints maintenance [5,6]. Numerical simulation showed that CRM concrete modified by polypropylene fibers and styrene-butadiene latex could meet the application requirements of transition zone of bridge expansion joints, but its practical application had not been really carried out [7]. Similarly, engineering cementitious composite (ECC) is also full of potential as the repair material in highway and bridge. ECC modified by emulsified asphalt (EA) can effectively reduce the impact of vehicle load since extending the service life of bridge expansion joint structure [8]. Double-layer concrete formed with ECC modified by polyvinyl alcohol fiber, mixed with a large amount of fly ash (FA), and steel fiber concrete showed good flexural and tensile properties, durability [9]. Here is the difference that the double-layer concrete formed by ultra-high toughness concrete (UTC) and traditional repaired concrete materials needs to make physical modification on the interface of traditional repaired concrete first, inserting shear keys and spraying concrete interface binder when necessary [10]. However, the above research has not yet formed systematic research. What it has in common is complicated preparation and long curing time, so it is difficult to form a large-scale application.
Some research showed that different types of cement mixing were practical for better performance of cement-based material. SAC and OPC modified by polymer have maturely applied for expansion joints repair in Gansu Province, China [11,12]. Sulphate aluminum cement (SAC) not only has low carbon dioxide emissions and energy consumption in the production process, but also has the advantages of high early strength, rapid strength development, corrosion resistance [13]. Many scholars expect to investigate composite cement system combining with sulphate aluminum cement. Due to the mutual promotion of hydration between SAC and Portland cement (PC), close mixing ratio of SAC and PC would have an adverse effect on the strength of composite cement paste [14]. Cement asphalt emulsion mixture (CAEM) based on OPC-SAC composite cement system could effectively improve its wear resistance and relative dynamic elastic modulus [15]. Ultra-light foam thermal insulation material based on ordinary Portland cement modified by sulphoaluminate cement has more stability and high early compressive strength, but the compressive strength in 28 days is limited [16]. High utilization solid-waste autoclaved aerated concrete (HUS-AAC) with SAC could effectively improve the stability of HUS-AAC blank and shorten the pre-curing time [17]. The iron tailing powder (ITP) could improve the compactness of the microstructure of cement paste [18]. ITP and SAC have been demonstrated the potential of replacing PC in UHPC production [19,20,21]. The above research shows that the composite cement system is practical, with easy preparation and short curing time. There are no comprehensive investigations of UHPC based on composite cementitious materials system for the transition zone of bridge expansion joints.
Some research attempted to explore the possibility of UHPC in the repair for the transition zone of bridge expansion joints. The service performance of expansion joints could be satisfied by UHPC mixed hybrid fiber used in repair [22]. The application of UHPC could well solve the concrete disease problem in the transition zone of bridge expansion joints [23]. UHPC has been applied in bridge expansion joints in some countries [24]. Ultra-high-performance concrete (UHPC) is regarded as a kind of high strength, high toughness and excellent durability of new cement-based materials [25,26]. UHPC for the application of highway bridge become the research focus [27,28]. Compared with the steel pile, UHPC pile can increase the axial bearing performance by nearly 86% and reduce the total number of piles for bridge foundation [29]. The prefabricated bridge deck connection applied UHPC basically eliminated connection failure and greatly improved the flexural and deformation resistance of bridge deck [30]. UHPC can repair and renovate steel bridges with severe end corrosion [31,32]. UHPC can repair corroded steel beam plates and restore the original bearing capacity of girder structure [33,34]. The research on fiber reinforced polymer (FRP) truss-UHPC hybrid bridge showed that the design can bear static road load and meet the design requirements of road load [35]. The effectiveness of the UHPC repaired overlay improving the fatigue life of orthotropic steel bridge panels was demonstrated by the equivalent standard axle cycles according to the Miner’s linear accumulative damage rule [36]. The wet joints of prefabricated bridge panels with UHPC applied to found that the application of UHPC could greatly enhance its cracking resistance [37]. It can be found from the above research that UHPC has great application potential in highway bridges repair.
UHPC has the advantages of high strength, hig toughness, good wear resistance, good dynamic strength [38] good impermeability and durability, but it is used to meet the demand of fast hardening and early strength by thermal curing. This will significantly increase energy consumption and construction costs [39]. If there is a fire during thermal curing, UHPC can be more vulnerable to explosive spalling under fire condition [40]. OPC and PC are generally used as the main cement materials in UHPC. Portland cement has the advantage of low cost and stable performance [41]. The above research shows that UHPC has an excellent performance level but it needs thermal curing to meet the demand of fast hardening. Combined with the research of the composite cement system, UHPC maybe meet the repair requirements of the bridge expansion joint transition zone based on the composite cementitious materials system. The assumption of UHPC based on composite cement system maybe create a new repair material.
Therefore, UHPC based on PC-SAC composite cementitious materials system was studied in order to meet the requirements of repair in the transition zone of bridge expansion joints. The reference design mix ratio of UHPC was determined based on particle densely-packing theory. The effects of SAC on its work performance, mechanical properties, shrinkage and hydration of UHPC were studied. A new fast hardening UHPC repair material was proposed based on the composite cementitious materials system.
2. Experimental Program
2.1. Materials
The raw material used in the study is Portland type II cement 52.5 (PC), 42.5 fast hard sulphoaluminate cement (SAC), silica fume (SF), fly ash (FA), water (W), quartz sand (QS), superplasticizer (SP), fine copper coated steel fiber (F). In the paper, PC, SAC, SF and FA are used as cementitious materials, their chemical composition is shown in Table 1. The particle size distribution of cementitious materials is shown in Figure 1.
Table 1.
Chemical composition of cementitious materials (wt.%).
Figure 1.
Particle size distribution of cementitious material: (a) Size distribution, (b) Frequency distribution.
PC has a density of 3.112 g/cm3 and specific surface area of 1186 m2/kg. SAC has a density of 2.9 g/cm3 and specific surface area of 2717.33 m2/kg. SP has a solid content of 35%, water-reduction rate as high as 35%. F has a length of 13 mm, diameter of 0.22 mm, without fracture. QS has a particle size of 0.125~0.850 mm, using 0.425~0.850 mm:0.180~0.425 mm:0.125~0.180 mm = 3:4:2.
2.2. Preparation of Geopolymer Recycled-Aggregate Pervious Concrete
2.2.1. Mixture Proportions
UHPC based on PC-SAC composite cementitious materials system is proposed to meet the requirements of repair in the transition zone of bridge expansion joints. It is important to investigate the influence of PC-SAC composite cementitious materials system on UHPC. So, there is an experiment designed to explore the effects of SAC on the working performance, mechanical properties, shrinkage and hydration products of UHPC based on PC-SAC composite cementitious materials system recorded in Table 2. Group A1 reference composition ratio is determined based on particle densely-packing theory through preliminary exploratory research.
Table 2.
Mix proportions of UHPC.
Group A1 is the reference group. Group A6 is used as the control group. In groups A2~A5, SAC is taken as a single variable. The range of SAC is controlled to be 0.05~0.3 [16,17,42,43]. The experiment program is shown in Figure 2.
Figure 2.
The experiment program.
2.2.2. Specimen Preparation
Firstly, PC, SAC, SF, QS and FA were dry-mixed slowly for 2 min to make dry-mixed cement-material mixture. SP and W were evenly added twice. Mixing slowly was added for 3 min for the first time and 3 min for the second time. Then, F was added for 5 min to mix fast for the preparation of UHPC as shown in Figure 3. Finally, UHPC was loaded into the molds with the dimension of 40 mm × 40 mm × 160 mm with film covered. It was placed in the standard curing chamber with a temperature of (20 ± 2) °C and relative humidity (≥95%) for 24 h to the specified age and demolded after 24 h. As shown in Figure 4, then it was placed in the standard curing chamber for curing until 28 days.
Figure 3.
The preparation of UHPC.
Figure 4.
UHPC in the standard curing chamber.
2.2.3. Testing Methods
- (1)
- Working performance and mechanical properties
Setting time test and slump flow test is used to evaluate the working performance of UHPC based on EN 480-2 [44] and EN 1015-3 [45]. 40 mm × 40 mm × 160 mm samples is adopted to measure the compressive strength and flexural strength based on EN 12390-3 [46] and EN 196-1 [47]. The compressive strength is given by the Equation (1) [46] as follows:
where fc is the compressive strength (MPa), F is the maximum load at failure (N), Ac is the cross-sectional area of the specimen on which the compressive force acts (mm2).
The flexural strength is given by the Equation (2) [47] as follows:
where Rf is the flexural strength (MPa), Ff is the maximum load at failure (N), l is the spacing between supporting shafts (mm), b is the length of the square section of the prism (mm).
- (2)
- Shrinkage and hydration temperature
40 mm × 40 mm × 160 mm samples is adopted to measure the shrinkage based on DN 52450-A [48].
The shrinkage rate is given by the Equation (3) [48] as follows:
where εat is the shrinkage in t days, Lo is the length of the samples demolded after 1 day (mm), Lt is the length of the samples in t days (mm).
In the hydration temperature test, EXVXE EX3016 multi-channel temperature instrument (EXVXE, Shenzhen, China) is used to measure the hydration temperature. UHPC was put in two layers in 100 mm × 100 mm × 100 mm molds, load it to half of the mold, put the temperature sensing plate, and continue to load the UHPC. The molds with UHPC and the temperature sensor were placed in the insulation box. The computer was connected with the temperature instrument for temperature measurement and data recording as shown in Figure 5.
Figure 5.
The EXVXE EX3016 multi-channel temperature instrument.
- (3)
- Mineralogical compositions and microstructure
The mineralogical compositions of specimens were monitored by X-ray diffraction (XRD) with a D/Max-RB diffractometer (Rigaku, Tokyo, Japan). SEM analysis was carried out to get a better understanding of the microstructure of UHPC mortar specimens. At the specified age, specimens for SEM investigations were obtained near the specimen smooth surface. After sampling, specimens were immersed in alcohol to prevent hydration. When starting the test, specimens were coated with a thin layer of platinum before observation, and the microstructure was investigated by a SU8010 scanning electron microscope (Hitachi, Tokyo, Japan).
3. Results
3.1. Working Performance
Group A1, groups A3~A4 and group A6 were tested, respectively, and the results are shown in Figure 6. The slump flow is the highest when the proportion of SAC is 0.2 in PC-SAC composite cement system. Moreover, its setting time also is the shortest.
Figure 6.
Working performance of UHPC based on composite cementitious material.
The specific surface area of SAC is bigger than that of PC and the fineness of SAC is obviously smaller than that of PC. Furthermore, SAC can better fill the void in PC particles, so that the water between PC particles can get release. Therefore, compared with UHPC in PC cement system, UHPC in PC-SAC composite cement system has more free water. Moreover, the surface of SAC can absorb more SP to reduce the surface energy of the paste [49]. The molecular main chain of SP molecules adsorbed on cement make cement particles charged, thus forming electrostatic repulsion. Its molecular branched chains can interact with the branched chains on the surface of particles in the paste to disperse the particles in the paste. SAC particles which can better fill the void in PC particles can better play the dispersing role of SP. Compared with UHPC in SAC cement system, its fluidity is much better than UHPC in PC cement system due to the physical characteristics of SAC. In conclusion, SAC can play a certain role in improving the working performance in PC-SAC composite cement system.
In UHPC in PC-SAC composite cement system, the small amount of SAC in the system is equivalent to adding a new mineral component: anhydrous calcium sulphoaluminate (). can directly hydrate to form ettringite () and aluminum glue ( ()) [50]. The hydration of is given by the Equations (4) and (5) [50] as follows:
when CaSO4·2H2O () is enough.
when is not enough.
With a large proportion of PC, it just forms an environment of high alkalinity to promote decomposition of in order to accelerate the hydration of , thus shortening the setting time [42]. This may be due to the fact that the alkalinity of SAC is lower than that of PC. With the addition of SAC, part of PC is replaced. So, the alkalinity of cement components is reduced, thus reducing the alkalinity of the overall cementitious material. In addition, the hydration of produces that is strong acid. It can consume part of calcium hydroxide (), thus reducing the alkalinity of the slurry [43]. It can better accelerate the hydration of tricalcium silicate () in PC to a certain extent, thus shortening the setting time. So, when adding a small amount of SAC, SAC and PC can promote its hydration process mutually, thus greatly shortening the setting time.
3.2. Mechanical Performance
The mechanical properties of group A1, groups A3~A4 and group A6 were tested, as shown in Figure 7. The standard deviation of the results is in acceptable range. The compressive strength of each group is increased with age, but the development space of the compressive strength of group A1 is much larger than that of groups A3~A4 and group A6. The long-term flexural strength of each group is decreased except for reference group A1 and group A3.
Figure 7.
Mechanical performance of UHPC based on composite cementitious material.
With the increase in the ratio of SAC in PC-SAC composite cement system, the hardening time is obviously shortened. The early mechanical properties of group A4 are excellent. The early mechanical properties of group A3 develop rapidly. Moreover, the mechanical properties of group A3 are more advantageous than those of group A4 in 3 days and 7 days.
Compared with group A4, SAC in group A3 accounts for a relatively small proportion in the PC-SAC composite cement system. SAC is equivalent to be in the environment with high alkalinity, so the early hydration process of group A3 is faster. In the PC-SAC composite cement system, and mutually promote hydration. It produces to form the skeleton and produces and C-S-H gel to fill with the skeleton, so that early strength is quickly formed.
The compressive strength of group A1, groups A3~A4 and group A6 all developed stably after the mechanical properties were formed in 3 days, but the flexural strength decreased first and then increased. The hydration of is always faster than the hydration of in the all-hydration system. This may be C-S-H gel formed by in early hydration rapidly. It wrapped dicalcium silicate () to a certain extent. However, with the hydration process, also gradually produces the hydration reaction in the PC-SAC composite cement system. The C-S-H gel initially produced may form micro interface structural defects in the interface transition zone between cement and QS in the PC-SAC composite cement system. As a result, its flexural strength decreases [49]. With the development of the hydration process, the C-S-H gel produced from will also gradually strengthen the micro interface bond and enhance the micro interface structure, resulting in the increase in the flexural strength in the PC-SAC composite cement system.
With the decrease in , the monosulfur calcium sulphoaluminate hydrate () gradually increased, leading to the decrease in strength [50]. The increasing proportion of SAC in PC-SAC composite cement system led to the increase in in the system. It gradually forms the microstructure defects in PC-SAC composite cement system to a certain extent, which may lead to the decrease in the flexural strength. However, the compressive strength of groups A3~A4 and group A6 did not decrease. This may be the volcanic ash reaction of SF and FA and the particles of SF and FA fully filled in PC-SAC composite cement system. It formed a relatively dense structure. Compared with group A1, groups A3~A4 are only slightly inferior. It can be inferred that the appropriate amount of SAC will not have a serious impact on PC-SAC composite cement system. Groups A3~A4 still have excellent mechanical properties, even though the long-term flexural strength decreases. The mechanical properties of UHPC in PC-SAC composite cement system are not much different from those of UHPC in PC cement system.
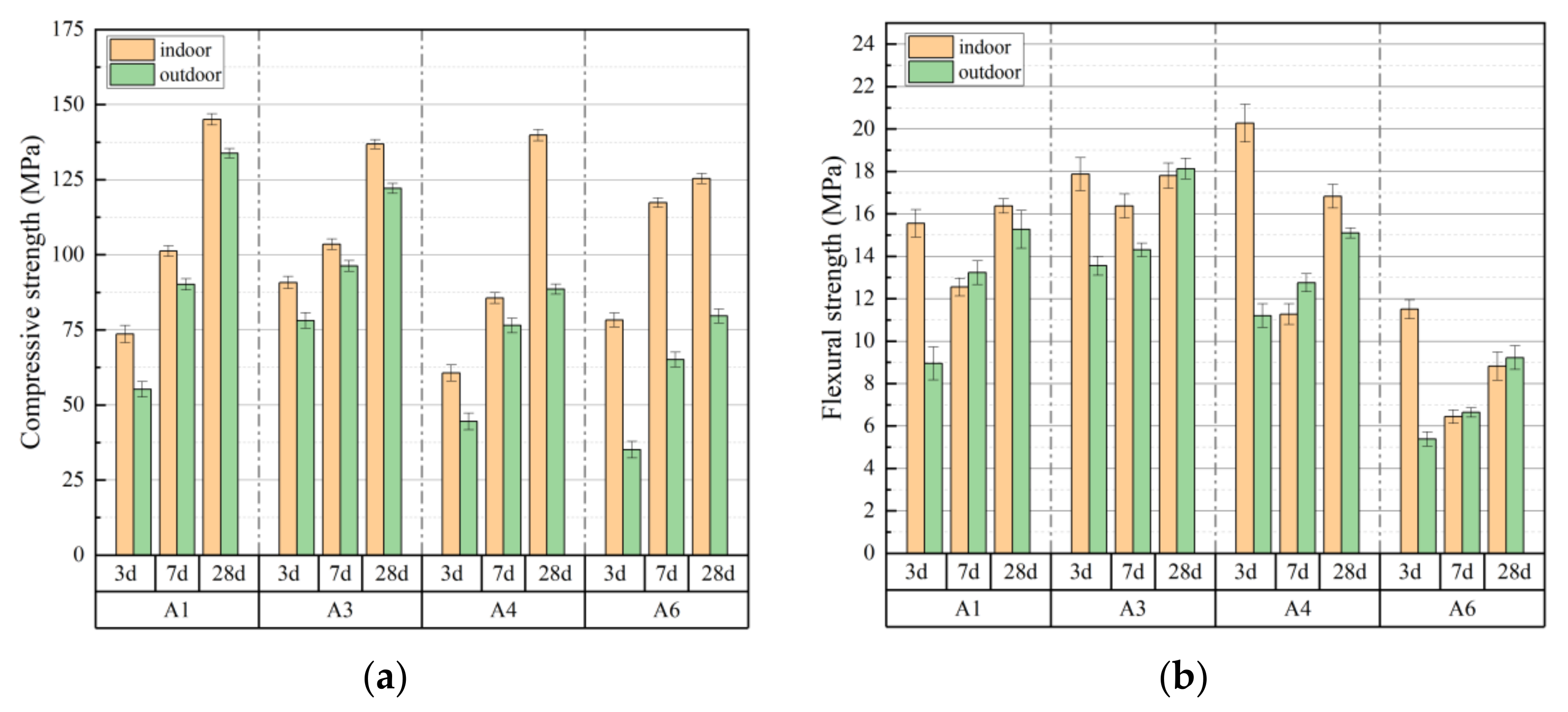
The indoor and outdoor mechanical properties of group A1, groups A3~A4 and group A6 were compared and analyzed, as shown in Figure 8. The compressive strength indoors and outdoors were increased with age, but the compressive strength indoor is significantly greater than the compressive strength outdoor. The flexural strength is not decreased outdoors and retains the steady development.
Figure 8.
Comparison of indoor and outdoor mechanical properties of UHPC based on composite cementitious material: (a) Compressive strength, (b) Flexural strength.
In order to simulate the actual construction environment, the demolded specimens of group A1, groups A3~A4 and group A6 were placed outdoors and only covered with film as shown in Figure 9. As shown in Figure 10, the outdoor temperature was generally lower than 20 °C. The relative humidity was generally lower than 95%. The average relative humidity was 77.86%, the maximum relative humidity could reach 97.43%, the minimum relative humidity was 50.52%. Outdoor temperature difference could be up to 15 °C in 11 days. The highest temperature was 23 °C and the lowest temperature was 8 °C in 11 days. The temperature and relative humidity outdoors are changed greatly randomly. It can simulate the influence of actual construction environment on mechanical properties of UHPC based on composite cementitious materials system to a certain extent.
Figure 9.
The demoulded specimens coverd with film outdoor.
Figure 10.
The temperature and relative humidity indoor and outdoor: Tindoor is the temperature of the standard curing chamber, RHindoor is the relative humidity of the standard curing chamber.
Compared with indoor curing, the temperature outdoors is lower and unstable. It is not conducive to the development of hydration process in the cement system. However, the hydration process may be limited in the system so that the hydration rate is restrained. and are relatively reduced. There is no long-term strength decrease phenomenon outdoor. The addition of proper amount of SAC in PC-SAC composite cement system may be beneficial to the uniform distribution of hydration products and the formation of a good interface transition zone structure in PC-SAC composite cement system. The flexural strength of group A3 outdoor is improved compared with that of group A1 outdoor. The flexural strength of group A3 outdoor is even higher than that of group A3 indoor and group A1 indoor in 28 days.
3.3. Mineralogical Compositions and Microstructure
As shown in Figure 11, by observing the crystal phase C-S-H, , , C-A-H and in XRD patterns, the influence of SAC on PC-SAC composite cement system was analyzed. It can be found that with the increase in the proportion of SAC in PC-SAC composite cement system, the diffraction peak of gradually is weakened, and the diffraction peak of and gradually is enhanced. Moreover, even appeared in group A4. This is indicated that SAC can effectively promote the hydration process and produce C-S-H gel in PC-SAC composite cement system. With the proportion of SAC in PC-SAC composite cement system increasing, the hydration heating rate is increased. Additionally, the production and later decomposition of is promoted so that C-A-H gel, , and other products are produced.
Figure 11.
XRD patterns of UHPC based on composite cementitious material: 1-C-S-H, 2-C2S, 3-C3S, 4-AFt, 5-, 6-C-A-H, 7-CH, 8-.
By observing SEM images in Figure 12 and Figure 13, it can be found that C-S-H gel and C-A-H gel in group A1, groups A3~A4 and group A6 are wrapped and filled by FA and SF particles in layers of blocks. It is indicated the filling effect of FA and SF particles. In comparison, group A1, groups A3~A4 and group A6 all show relatively dense microstructure. It is the guarantee of the mechanical properties. In SEM image of group A3, obvious voids were found. It may be microstructure defects due to rapid hydration and one of the reasons for long-term strength decreased. In SEM image of group A4, it can be found that is wrapped by part of C-S-H gel. It is verified that C-S-H gel produced by in early hydration of PC-SAC composite cement system would wrap part of . It is verified that the hydration of is always faster than the hydration of in the all-hydration system again.
Figure 12.
SEM images of UHPC based on composite cementitious material: (a) A1, (b) A3.
Figure 13.
SEM images of UHPC based on composite cementitious material: (a) A4, (b) A6.
As shown in Figure 14, it can be found that the diffraction peak of is weakened in group A1 outdoor. The diffraction peak of C-S-H gel, C-A-H gel and is enhanced in group A1 outdoor. Moreover, even disappeared in group A1 outdoor. This is verified that the above analysis of the mechanical performance of UHPC indoors and outdoors. Since the temperature outdoors was sometimes higher than 20 °C in curing time of UHPC. The decomposition of is promoted so that more C-A-H gel and other products are produced due to the unstable temperature outdoor.
Figure 14.
XRD patterns of UHPC based on composite cementitious material indoor and outdoor: 1-C-S-H, 2-C2S, 3-C3S, 4-AFt, 5-, 6-C-A-H, 7-CH, 8-.
By observing SEM images in Figure 15, it can be found that more C-S-H gel and C-A-H gel with little FA and SF particles in group A1 outdoor. In comparison, group A1 indoor has relatively denser microstructure. It can be found some cracks in SEM image of group A1 outdoor. It may be caused by the decomposition of . So, the mechanical performance of group A1 outdoor is worse than that of group A1 indoor. In SEM images of group A1 indoor and outdoor, it can be further verified above analysis of UHPC indoors and outdoors.
Figure 15.
SEM images of UHPC based on composite cementitious material indoor and outdoor.
3.4. Shrinkage and Hydration Temperature
As shown in Figure 16, relevant tests were conducted for the expansion rates of group A1 and groups A2~A3. The shrinkage rate of group A2~A3 is significantly lower than that of group A1. The shrinkage rate of groups A2~A3 remains stable after 28 days. It is earlier than that of group A1. Group A2 is in inflation in 3 days. The shrinkage rate of group A2 is slightly higher than that of group A3 after 28 days.
Figure 16.
Shrinkage of UHPC based on composite cementitious material.
Compared with UHPC in PC cement system, SAC can obviously enhance the shrinkage resistance of UHPC. Since UHPC adopts the particle densely-packing theory to design, it has a dense structure with good shrinkage resistance [51]. Compared with UHPC in PC cement system, in the early hydration of UHPC in PC-SAC composite cement system, SAC and PC can promote each other to make hydrate reaction so that it can produce more . SAC accounted for 0.05 in PC-SAC composite cement system in group A2. is produced fastest in the early stage of UHPC in PC-SAC composite cement system so that its shrinkage rate is in negative growth with inflation. With the development of the hydration process in PC-SAC composite cement system, the change in the long-term shrinkage rate is mainly the self-shrinkage effect of UHPC [52]. Therefore, the trend of long-term shrinkage rate is consistent with group A1. In group A3 is with the ratio of SAC in PC-SAC composite cement system of 0.10. Its rate of early hydration reaction of UHPC in PC-SAC composite cement system is significantly lower than that in group A2. Furthermore, group A3 was with no inflation. Compared with group A1, its shrinkage rate is lower but with the positive trend of growth. With the development of the hydration process in PC-SAC composite cement system, produced fills in the pores and provides a certain shrinkage resistance. Since the proportion of SAC of group A3 is larger than that of group A2 with more produced in group A3. Moreover, the shrinkage rate of group A3 is also significantly lower than that of group A2 and group A1.
As shown in Figure 17, the hydration temperature of group A2 is about 9 h earlier than that of group A1. Additionally, the temperature peak of group A2 is significantly lower than that of group A1. The trend and variation rate of hydration temperature tend to be close in group A1 and group A2. In the late hydration temperature change, the hydration temperature change rate of group A1 is faster than that of group A2. The variation rate of hydration temperature tends to be the same in group A1 and group A2 at about 44 h.
Figure 17.
Hydration temperature of UHPC based on composite cementitious material.
This further verifies the hydration interaction between SAC and PC in PC-SAC composite cement system. PC-SAC composite cement system reacts violently in the early stage. The addition of SAC leads to the rapid production of hydration products such as and C-S-H gel and so on. It provides a foundation for the early mechanical properties of UHPC in PC-SAC composite cement system and increases its shrinkage resistance.
4. Conclusions
In this study, a combination of laboratory experiments and the micro analysis was used to better understand UHPC based on composite cementitious material. The following conclusions were obtained as follows.
- (1)
- In UHPC based on composite cementitious materials system, SAC can contribute to improving the working performance, PC and SAC can promote their hydration process mutually, so as to greatly shorten the setting time. In the PC-SAC composite cementing material system, the effect of shortening the setting time with the ratio of SAC of 0.1 is far better with the ratio of SAC of 0.2;
- (2)
- When the ratio of SAC is between 0.1 and 0.2 in PC-SAC composite cement material system, its flexural strength has a certain degree of decrease with excellent mechanical properties still remaining. UHPC based on composite cementitious materials system has potential to apply in repair of highway and bridge. Depending on the actual requirements of the different application, the ratio of SAC can be varied in the PC-SAC composite cement material system;
- (3)
- The micro analysis of UHPC based on composite cementitious materials system can further prove that SAC plays a role in promoting the hydration of the system. The relatively dense microstructure assures the mechanical properties of UHPC based on composite cementitious materials system. However, more SAC is not better for the properties of UHPC based on composite cementitious materials system. The experimental results showed that UHPC based on composite cementitious materials system would have better properties when the ratio of SAC is 0.1~0.2;
- (4)
- UHPC will provide excellent mechanical performance indoors. However, the flexural strength of UHPC is not decreased outdoors. The rate of hydration is faster in UHPC outdoor so that more C-S-H gel produced will wrap in some extent. The decomposition of is promoted so that more C-A-H gel and other products are produced due to the unstable temperature outdoors. Moreover, C-A-H gel will also wrap in some extent. So, there was more C-S-H gel, C-A-H gel, in UHPC outdoor. The hydration of UHPC was not complete outdoors. The outdoor performance of UHPC will be optimized by the proper ratio of SAC in PC-SAC composite cement system;
- (5)
- The macroscopic properties and micro analysis of UHPC based on composite cementitious materials system could verify the influence of SAC on PC-SAC composite cement system and the influence of curing conditions on UHPC. It can also be the basic method on the analysis of the composite cementitious materials system. In the research, there are no comprehensive investigations of the UHPC based on composite cementitious materials system in the numerical simulation method. In the future, the research of UHPC based on composite cementitious materials system can be investigated in the numerical simulation method so that the research can be improved and universal in the research of UHPC for repair of highway and bridge.
Author Contributions
Methodology, data curation, writing—original draft, writing—review and editing, F.K.; funding acquisition, supervision, F.X.; project administration, resources, S.X.; data curation, Q.X.; visualization, X.L.; project administration, W.F.; software, Z.G. All authors have read and agreed to the published version of the manuscript.
Funding
This work was supported by Science and Technology Project of Hubei Transportation Department (2022-11-6-1), the Science and technology project of Shandong Hi-speed Group Co., Ltd. (HSB2020119), Enterprise Technology Innovation Project of Shandong Province (202060100083) and the Science and Technology Project of Shandong Expressway Bridge Maintenance Co., Ltd. (2020-07).
Institutional Review Board Statement
Not applicable.
Informed Consent Statement
Not applicable.
Data Availability Statement
The data presented in this study are available on request from the corresponding author.
Conflicts of Interest
The authors declare no conflict of interest.
References
- Chen, W.; Zheng, Y.B.; Tang, C.H.; Zhunge, W.J.; Xu, Y.D. Fatigue performance of epoxy-based concrete for bridge expansion joint rapid and the repaired concrete members. Ceram-Silikaty 2021, 65, 326–333. [Google Scholar] [CrossRef]
- Zhang, K. Research on the Preparation and Properties of Epoxy Resin Concrete in Bridge Expansion Joint Transition Zone. Master’s Thesis, Hebei University of Engineering, Handan, China, 15 December 2021. [Google Scholar]
- Cui, B.L. Research on the application of steel fiber epoxy concrete in repairing bridge expansion joints. Transp. World 2019, 12, 96–97. [Google Scholar]
- Zhang, T. Study on the Properties of New Polyurethane Elastic Concrete Expansion Joints. Master’s Thesis, Chongqing Jiaotong University, Chongqing, China, 12 June 2017. [Google Scholar]
- Yang, Y. Research of Rapid Repair Materials for Bridge Expansion Joints Rehabilitation. Master’s Thesis, Chongqing Jiaotong University, Chongqing, China, 14 June 2017. [Google Scholar]
- Zheng, X.G. Research on Highway Bridge Expansion Joint Transition Zone Rapid Repair Material. Master’s Thesis, Chongqing Jiaotong University, Chongqing, China, 16 June 2016. [Google Scholar]
- Li, Y. Study on Preparation and Properties of Self-Compacting Concrete Toughened with Fiber Polymer for Bridge Expansion Joint. Master’s Thesis, Chongqing Jiaotong University, Chongqing, China, 10 June 2019. [Google Scholar]
- Mao, Q.; Zhang, Z.G.; Ma, H. Flexural performance of emulsified-asphalt-modified ECC for expansion joint use. Adv. Civ. Eng. 2021, 2021, 6640167. [Google Scholar] [CrossRef]
- Liu, S.G.; Chang, Z.H.; Zhang, D.X.; Zhang, G.C.; Chai, Y.B. Application of high ductility fiber reinforced cementitious composites (PVA-ECC) material in bridge expansion joints engineering. China Concr. Cem. Prod. 2016, 2, 80–82. [Google Scholar]
- Wang, K.; Ge, C.C.; Li, B.D.; Ren, L.; Zhao, G.G. Repair technology for concrete in highway bridge expansion joint transition zone. Chin. Ceram. Soc. 2017, 8, 2838–2843. [Google Scholar]
- Cui, Y. Research and Application of Rapid Repair Material System for Bridge Expansion Joints. Master’s Thesis, Lanzhou Jiaotong University, Lanzhou, China, 17 September 2018. [Google Scholar]
- Ma, K.Y. Research and Application of Rapid Repairing Materials for Bridge Expansion Joints. Master’s Thesis, Lanzhou Jiaotong University, Lanzhou, China, 20 June 2019. [Google Scholar]
- Zhang, Z.T. Study on the performance of polycarboxylate water reducer on ordinary Portland cement-sulfoaluminate cement composite system. Concrete 2020, 1, 115–118. [Google Scholar]
- Yang, C.; Li, J.H.; Zhu, Z.; Wang, S.H.; Liu, Y.P. Characterization of sulphoaluminate cement-asphalt emulsion mortar for cement and asphalt mortar repair. Front. Mater. 2020, 7, 101. [Google Scholar] [CrossRef]
- Gan, Y.G.; Zhang, X.D.; Jiang, Z.L.; Lu, D.; Xu, N.; Han, L.J.; Han, X. Cementitious fillers in cement asphalt emulsion mixtures: Long-term performance and microstructure. Arab. J. Sci. Eng. 2022, 47, 4943–4953. [Google Scholar] [CrossRef]
- Zhao, C.Y.; Du, X.Y.; Sang, G.C. Development and performance characterization of ultra-light foam thermal insulation material based on ordinary Portland cement modified by sulphoaluminate cement. In Proceedings of the Asia Conference on Geological Research and Environmental Technology (GRET), Kamakura City, Japan, 10–11 October 2020. [Google Scholar]
- Cai, L.X.; Li, X.G.; Ma, B.G.; Lv, Y. Effect of binding materials on carbide slag based high utilization solid-wastes autoclaved aerated concrete (HUS-AAC): Slurry, physic-mechanical property and hydration products. Constr. Build. Mater. 2018, 188, 221–236. [Google Scholar] [CrossRef]
- Liu, Y.; Hao, W.R.; He, W.; Meng, X.; Shen, Y.L.; Du, T.; Wang, H. Influence of dolomite rock powder and iron tailings powder on the electrical resistivity, strength and microstructure of cement pastes and concrete. Coatings 2022, 12, 95. [Google Scholar] [CrossRef]
- Lu, D.; Zhong, J.; Yan, B.B.; Gong, J.; He, Z.Y.; Zhang, G.H.; Song, C.Z. Effects of curing conditions on the mechanical and microstructural properties of ultra-high-performance concrete (UHPC) incorporating iron tailing powder. Materials 2021, 14, 215. [Google Scholar] [CrossRef]
- Cai, Z.J.; Wang, H. Influence of NaCl freeze–thaw cycles on the mechanical strength of reactive powder concrete with the assembly unit of sulphoaluminate cement and ordinary Portland cement. Coatings 2021, 11, 1238. [Google Scholar] [CrossRef]
- Huang, G.P.; Wang, H.; Shi, F.T. Coupling effect of salt freeze-thaw cycles and carbonation on the mechanical performance of quick hardening sulphoaluminate cement-based reactive powder concrete with basalt fibers. Coatings 2021, 11, 1142. [Google Scholar] [CrossRef]
- Ren, L.; Liang, M.Y.; Wang, K.; He, Y.; Zhao, G.G. Key performance and application of ultra high performance concrete in bridge expansion joint. Bull. Chin. Ceram. Soc. 2018, 37, 2048–2052. [Google Scholar]
- Xu, W.; Zhang, B.H.; Chen, L.P. Application of UHPC in bridge expansion joint disease treatment project. China Constr. Soc. 2020, 6, 142–143. [Google Scholar]
- Zhou, M.; Lu, W.; Song, J.W.; Lee, G.C. Application of Ultra-High Performance Concrete in bridge engineering. Constr. Build. Mater. 2018, 186, 1256–1267. [Google Scholar] [CrossRef]
- Shi, C.J.; Wu, Z.M.; Xiao, J.F.; Wang, D.H. A review on ultra high performance concrete: Part I. Raw materials and mixture design. Constr. Build. Mater. 2015, 101, 741–751. [Google Scholar] [CrossRef]
- Du, J.; Meng, W.N.; Khayat, H.K.; Bao, Y.; Guo, P.W.; Lyu, Z.H.; Abu-obeidah, A.; Nassif, H.; Wang, H. New development of ultra-high-performance concrete (UHPC). Compos. Part. B Eng. 2021, 224, 109220. [Google Scholar] [CrossRef]
- Zhao, D.; Lian, L.Z.; Jin, J.L. A new mode of steel-concrete composite-UHPC: Part IV. Engineering and product application, value, potential and sustainable development. China Concr. 2014, 1, 48–64. [Google Scholar]
- Zhao, D.; Lian, L.Z.; Jin, J.L. A new mode of steel-concrete composite-UHPC: Part I. Present situation, problems and countermeasures of steel-concrete composite mode and development of UHPC. China Concr. 2013, 10, 56–69. [Google Scholar]
- Suleiman, M.T.; Vande, T.V.; Sritharan, S. Behavior of driven ultrahigh-performance concrete H-Piles subjected to vertical and lateral loadings. J. Geotech. Geoenviron. 2010, 136, 1403–1413. [Google Scholar] [CrossRef]
- Li, Y.; Jin, Z.R.; Ruan, X.; Ma, B.; Shi, X.F. A laboratory test of UHPC connection for precast bridge deck. In High Tech Concrete—Where Technology and Engineering Meet; Springer: Maastricht, The Netherlands, 2017; Volume 6, pp. 12–14. [Google Scholar]
- Kruszewski, D.; Wille, K.; Zaghi, A.E. Design considerations for headed shear studs embedded in ultra-high performance concrete as part of a novel bridge repair method. J. Constr. Steel Res. 2018, 149, 180–194. [Google Scholar] [CrossRef]
- Kruszewski, D.; Zaghi, A.E.; Wille, K. Durability evaluation of headed shear studs embedded in ultrahigh-performance concrete via electrochemical corrosion. J. Constr. Steel Res. 2019, 24, 04019038. [Google Scholar] [CrossRef]
- Zmetra, K.M.; McMullen, K.F.; Zaghi, A.E.; Wille, K. Experimental study of UHPC repair for corrosion-damaged steel girder ends. J. Bridge Eng. 2017, 22. [Google Scholar] [CrossRef]
- McMullen, K.F.; Zaghi, A.E. Experimental evaluation of full-scale corroded steel plate girders repaired with UHPC. J. Bridge Eng. 2020, 25, 04020011. [Google Scholar] [CrossRef]
- Zou, X.X.; Wang, J.Q. Experimental study on joints and flexural behavior of FRP truss-UHPC hybrid bridge. Compos. Struct. 2018, 203, 414–424. [Google Scholar] [CrossRef]
- Yuan, Y.; Wu, C.; Jiang, X. Experimental study on the fatigue behavior of the orthotropic steel deck rehabilitated by UHPC overlay. J. Constr. Steel Res. 2019, 157, 1–9. [Google Scholar] [CrossRef]
- Shah, Y.I.; Hu, Z.J.; Yin, B.S.; Li, X. Flexural performance analysis of UHPC wet joint of prefabricated bridge deck. Arab. J. Sci. Eng. 2021, 46, 11253–11266. [Google Scholar] [CrossRef]
- Khosravani, M.R.; Silani, M.; Weinberg, K. Fracture studies of ultra-high performance concrete using dynamic Brazilian tests. Theor. Appl. Fract. Mech. 2018, 93, 302–310. [Google Scholar] [CrossRef]
- Ding, B.; Ouyang, L.J.; Fang, Y.K. Review and prospect of early strength performance of concrete. China Concr. Cem. Prod. 2020, 9, 24–29. [Google Scholar]
- Li, Y.; Tan, H.K.; Yang, E.H. Influence of aggregate size and inclusion of polypropylene and steel fibers on the hot permeability of ultra-high performance concrete (UHPC) at elevated temperature. Constr. Build. Mater. 2018, 169, 629–637. [Google Scholar] [CrossRef]
- Lu, L.C.; Chen, X. Development of composite cement materials on Portland and sulphoaluminate minerals. J. Jinan Univ. Sci. Technol. 2004, 1, 24–27. [Google Scholar]
- Cui, S.P. Investigation on the Ailicate-Sulphoaluminate Compound System Cement. Ph.D. Thesis, Beijing University of Technology, Beijing, China, 1 March 2005. [Google Scholar]
- Nie, G.L.; Sun, S.B.; Yao, X.D.; Tian, Y.L. Performance research on mortar with ordinary Portland cement mixed with rapid hardening sulphoaluminate cement. China Concr. Cement. Prod. 2014, 3, 10–13. [Google Scholar]
- EN-480-2; Admixtures for Concrete, Mortar and Grout-Test Methods-Part 2: Determination of Setting Time. Institution-BSI CEN: London, UK, 2006.
- EN-1015-3; Methods of Test for Mortar for Masonry-Part 3: Determination of Consistence of Fresh Mortar (by Flow Table). Institution-BSI CEN: London, UK, 2007.
- EN 12390-3; Testing Hardened Concrete-Part 3: Compressive Strength of Test Specimens. Institution-BSI CEN: London, UK, 2009.
- EN-196-1; Methods of Testing Cement-Part 1: Determination of Strength. Institution-BSI CEN: London, UK, 2005.
- DIN 52-450; Determination of Shrinkage and Expansion of Small Test Specimens. Beuth Verlag: Berlin, Germany, 1985.
- Zhou, S.H. Effect of Ultra-Fine Powder (CaCO3 and SiO2) on Performance of Sulphoaluminate Cement. Master’s Thesis, Chongqing University, Chongqing, China, 8 April 2005. [Google Scholar]
- Fan, J.P. The Preparation and Performance of Super High Early Strength Cement-Based Materials. Master’s Thesis, Southeast University, Nanjing, China, 1 March 2015. [Google Scholar]
- Ding, X.Q.; Zhao, X.Y.; Xu, X.W.; Fang, Y.F. Effect of admixtures on properties of sulphoaluminate cement-common Portland cement composite system. New Build. Mater. 2020, 47, 40–44. [Google Scholar]
- Chen, B.C.; Li, C.; Huang, W.; An, M.Z.; Han, S.; Ding, Q.J. Review of ultra-high performance concrete shrinkage. J. Traffic Transp. Eng. 2018, 18, 13–28. [Google Scholar]
Publisher’s Note: MDPI stays neutral with regard to jurisdictional claims in published maps and institutional affiliations. |
© 2022 by the authors. Licensee MDPI, Basel, Switzerland. This article is an open access article distributed under the terms and conditions of the Creative Commons Attribution (CC BY) license (https://creativecommons.org/licenses/by/4.0/).
















